Abstract
Background/Objectives: Data on the real-world effectiveness and safety of selective JAK inhibitors (JAKis) in ulcerative colitis (UC) and Crohn’s disease (CD) are limited. Methods: We conducted a multicentre, retrospective study to assess clinical, biochemical, and endoscopic outcomes of selective JAKis in bio-experienced UC and CD. Results: A total of 246 patients (mean age: 40.5 ± 14.5 years; 131 UC and 115 CD) were included with a median follow-up of 7.5 months. Among the CD patients receiving upadacitinib (n = 115), 76.2% achieved clinical remission (CR) at week 12. Furthermore, 59.5% of the upadacitinib-treated UC patients (n = 100) experienced CR at week 8. Corticosteroid-free CR (CSFCR) was achieved by 76.9% of the CD patients and 80.6% of the UC patients at week 24, while 50.0% and 36.1% experienced endoscopic remission. At week 52, 66.7% of the CD and 86.2% of the UC patients achieved CSFCR, whereas 54.5% and 52.9% had endoscopic remission. In UC, the effectiveness of upadacitinib was not compromised by prior tofacitinib failure, while the upadacitinib-treated CD patients with stricturing and penetrating disease were less likely to achieve CR by the end of the induction phase (p = 0.04). C-reactive protein (p[CD] < 0.0001; p[UC] < 0.0001) and faecal calprotectin (p[CD] < 0.0001; p[UC] = 0.02) decreased significantly in both patient groups as early as week 2. Among the filgotinib-treated UC patients (n = 31), 28.6% were in CR at week 12. At week 24 and 52, 59.1% and 60% achieved CSFCR, while 0.0% and 20.0% had endoscopic remission. Both C-reactive protein (p = 0.04) and faecal calprotectin (p = 0.04) decreased significantly by week 12. Hyperlipidaemia (9.7–9.8%) was the most common adverse event. Conclusions: Selective JAKis are rapidly effective and safe for treating refractory, moderate-to-severe CD and UC.
1. Introduction
Rapid advances in our understanding of the immune aetiopathogenesis of inflammatory bowel diseases (IBDs) in the last two decades have translated into a dramatic increase in our therapeutic armamentarium, with biological and small molecule therapies intercepting and abrogating the immune–inflammatory cascade. However, a significant proportion of patients do not respond favourably (primary non-response [PNR]), or eventually experience a loss of response (LOR) to these agents, often as a result of anti-drug antibodies or various pharmacokinetic and pharmacodynamic mechanisms [1]. Among novel small molecule agents, Janus kinase inhibitors (JAKis) offer rapid onset of action and no risk of immunogenicity [2,3,4,5].
Compared to previously approved biologics, JAKis can block multiple cytokine pathways, which could potentially improve their effectiveness [3]. Members of the JAK family (JAK1, JAK2, JAK3, and tyrosine kinase 2 [TYK2]) are involved in a variety of physiological functions, including the regulation of inflammatory response, haematopoiesis, and immunohomeostasis. The dysregulation of JAK/STAT signalling has been described in several systemic disorders, including IBD [6,7,8]. Previous studies on panJAKi tofacitinib (TOFA) have shown it to be an effective therapeutic option in moderate-to-severe UC patients, even after anti-TNF failure [9,10]. Presumably, the inhibition of JAK2 and JAK3 is associated with a higher risk of adverse events (AEs), leading to the introduction of selective JAK1 inhibitors, including upadacitinib (UPA) and filgotinib (FILGO) [7,11,12,13,14]. In contrast to UPA, which has been shown to be effective in both UC and CD in clinical studies, FILGO has not been approved for CD as the induction cohorts in the registrational trial (DIVERSITY) failed to meet the coprimary endpoints of endoscopic response and clinical remission at week 10 [15,16,17,18].
Although the data on the efficacy and safety of selective JAKis in clinical trials are promising [16,17,18,19,20], evidence from real-world studies in IBD patients remains limited [21,22,23,24,25].
To address this unmet need, we conducted a multicentre, retrospective, real-world study that aimed to evaluate the effectiveness and safety of selective JAKis in bio-experienced, moderate-to-severe UC and CD patients. Furthermore, we also aimed to assess whether the effectiveness of selective JAKis was affected by the prior failure of TOFA.
2. Materials and Methods
2.1. Study Design and Settings
Data were collected from 22 tertiary centres in Europe and Canada from July 2022 to June 2024. The required data were retrieved from local medical record systems and entered into a purpose-designed, unified database by all investigators. The follow-up time was estimated from the initiation of the selective JAKi to the last IBD-related medical visit in the study period.
2.2. Participants
Patients diagnosed with CD and UC (based on clinical, biochemical, endoscopic, and histological findings) ≥18 years of age were included [26,27]. Disease phenotype was defined according to the Montreal classification [28]. Clinical disease activity was evaluated using the partial Mayo score (pMayo) in UC and the Crohn’s Disease Activity Index (CDAI) in CD patients, while endoscopic disease activity was assessed using the Mayo endoscopic subscore (eMayo) and the Simple Endoscopic Score (SES-CD) [29,30,31]. The indication for selective JAKi treatment was moderately to severely active luminal CD or UC. All enrolled patients were treated with at least one biologic or small molecule agent before the initiation of the selective JAKi. Participants with acute severe UC (based on the Truelove–Witts criteria [32]) at the initiation of UPA or FILGO, and patients who were bio-naive or received UPA or FILGO for extraintestinal manifestations or for isolated perianal disease without any luminal activity, were excluded, as were those UC patients who underwent colectomy prior to selective JAKi therapy. Patients receiving selective JAKis in combination with other biologics or small molecules were also excluded. All participants were required to have at least 2 weeks of follow-up.
2.3. Data Collection
The following patient- and disease-related data were collected: date of birth, sex, smoking habits, date of IBD diagnosis, age at diagnosis, and disease extent and severity at diagnosis and during follow-up. The previous therapeutic regime was also documented. The type and duration of selective JAKi therapy and the reason for treatment discontinuation were recorded. Serum albumin, C-reactive protein (CRP), and faecal calprotectin (FC) levels were assessed at the time of treatment initiation (within one week) and during the follow-up, while the complete blood count, parenchymal liver enzymes, serum cholesterol, and triglyceride levels were examined at the start of treatment (within one week) and at week 12 post-initiation. The use of concomitant corticosteroids (CSs) was also noted, along with the need and date for dose escalation. Furthermore, the date and indication of surgical interventions were recorded. The type and severity of AEs that occurred during selective JAKi therapy were also documented. The need for IBD-related hospitalisations during the follow-up period was also assessed.
2.4. Outcomes
The primary outcome was to evaluate the short-term effectiveness of selective JAKi in bio-experienced, moderate-to-severe CD and UC patients through clinical outcomes (clinical response, clinical remission [CR]) at weeks 2, 8, and 12. The secondary outcome was to monitor the changes in FC and serum CRP levels during the course of treatment. The tertiary outcome was to assess the rate of corticosteroid-free clinical remission (CSFCR) and endoscopic remission at weeks 24 and 52. We also investigated various factors that may predict CR with selective JAKis at week 12 in CD and at week 8 in UC. In addition, we assessed treatment persistence with selective JAKis.
2.5. Definitions
Clinical response was defined as a decrease in pMayo from baseline of ≥30% or ≥3 points in UC patients, while in CD patients, it was defined as a reduction in CDAI scores of ≥70 points. CSFCR was defined as CR (CDAI < 150 in CD, and pMayo score ≤ 2 with a rectal bleeding subscore of 0 in UC) and not receiving local and systemic steroids ≥ 90 days before the assessment time point. Biochemical remission was strictly defined as a serum CRP level of ≤5 mg/L and an FC level of ≤150 µg/g. CRP and FC levels above these values were considered as biochemical activity. The definition of endoscopic response in UC patients was a decrease in the eMayo score of ≥ 1, and for endoscopic remission, an eMayo score of 0, while in CD patients, an endoscopic response was defined as a decrease in SES-CD > 50% from baseline, and endoscopic remission as an SES-CD of ≤4 points. Complete remission was reported in the presence of clinical, biochemical, and endoscopic remission. The Perianal Disease Activity Index (PDAI) was reported at each timepoint in CD patients with active perianal fistula.
2.6. Statistical Methods
All statistical analyses were carried out using the program SPSS (IBM Statistical Package for Social Sciences for Windows, version 29.0, IBM Corp., Armonk, NY, USA). Descriptive statistical analysis was presented as median with interquartile range (IQR) or mean with standard deviation (SD) for continuous variables. Categorical variables were summarised using frequency and percentage. Differences in continuous variables were assessed using the paired-sample t-test. The chi-square test was used to determine the associations between patient groups and categorical variables. Kaplan–Meier analyses were performed to assess the rates of treatment persistence. Demographic and clinical factors associated with the achievement of clinical remission at the end of the induction phase were analysed via univariable and multivariable logistic regression models. Variables from the univariable analysis with a p < 0.15 were fitted and entered into the multivariable analysis. Hosmer–Lemeshow goodness of fit test was created to determine the performance of the final model, and the value of Nagelkerke R2 was also reported. A p-value < 0.05 was considered significant. The therapeutic response was only assessed in patients who had required data available at the specific time point (“as observed analysis”). At each predetermined time point, we indicated how many of the patients with a sufficient follow-up had the necessary parameters to assess therapeutic response or had biochemical or endoscopic data available (“number of patients with available data/number of patients with sufficient follow-up”). Incomplete or missing data were not imputed. All patients who achieved remission were also counted as responders.
2.7. Ethical Approval
Ethical approval for this study was obtained from the National Institute of Pharmacy and Nutrition according to the Scientific Research Ethics Committee of the Hungarian Medical Research Council’s proposal (Registration number: NNGYK/GYSZ/19841-1/2024 and BM/13035-3/2024). This research was conducted according to The Code of Ethics of the World Medical Association (Declaration of Helsinki).
3. Results
3.1. Baseline Characteristics
A total of 246 patients (Figure 1; 131 UC and 115 CD; mean age: 35.3 ± 14.7 years; male/female ratio: 133/113) were included in this study.
Figure 1.
Flowchart for the enrolment and follow-up of participants.
The median follow-up time was 7.5 months (IQR: 5.1–11.6). Patient demographics and disease characteristics are shown in Table 1.
Table 1.
Baseline demographic and clinical data of the cohort study.
All patients received the dosage of selective JAKis recommended by the European Medicines Agency (UPA: 45 mg daily for induction, 15 mg/30 mg daily for maintenance; FILGO: 200 mg daily for induction, 100 mg/200 mg daily for maintenance).
3.2. Effectiveness of Selective JAK Inhibitors in Crohn’s Disease
A total of 115 CD patients received UPA. Of the 97/110 patients who had data on the therapeutic response at week 12, 92.8% (90/97) of the patients showed a clinical response, and 76.2% (70/97) achieved CR (Figure 2).
Figure 2.
The changes in CDAI, C-reactive protein, and faecal calprotectin levels at the first 3 months of upadacitinib therapy in Crohn’s disease. The rate of clinical response and clinical remission at weeks 2, 8, and 12. The median CDAI decreased from 360 [418–267] at baseline to 288 [339–180] at week 2 (p < 0.0001), to 203 [258–133] at week 8 (p < 0.0001), and to 145 [180–100] at week 12 (p < 0.0001). The mean FC level decreased from 1379.0 ± 1267.0 µg/g at baseline to 1003.0 ± 716.6 µg/g at week 2 (p < 0.0001), to 525.7 ± 411.2 µg/g at week 8 (p < 0.0001), and to 388.1 ± 366.6 µg/g at week 12 (p < 0.0001). The mean CRP level decreased from 38.0 ± 44.4 mg/L at baseline, to 27.3 ± 27.1 mg/L at week 2 (p < 0.0001), to 11.3 ± 11.5 mg/L at week 8 (p < 0.0001), and to 10.0 ± 17.4 mg/L at week 12 (p < 0.0001).
After the induction phase, 21.8% (24/110) of the patients received a maintenance dose of 15 mg, while 78.2% (86/110) were on a maintenance dose of 30 mg. The median CDAI (p < 0.0001) and mean FC (p < 0.0001) and CRP (p < 0.0001) levels decreased significantly from baseline during the first 3 months of UPA treatment (Figure 2). Data on both biomarkers were available for 33/80, 49/92, and 58/97 patients at weeks 2, 8, and 12, respectively. Biochemical remission was reported in 30.3% of (10/33) the patients at week 2, 22.5% (11/49) of the patients at week 8, and 29.3% (17/58) of the patients at week 12.
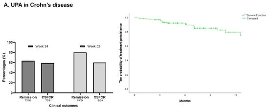
At week 24, 91.2% (83/91) of the patients had a clinical response, and 80.2% (73/91) showed CR. CSFCR was documented in 76.9% (70/91) of the patients (Figure 3A).

Figure 3.
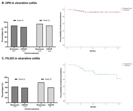
(A) The rate of clinical remission and corticosteroid-free clinical remission at weeks 24 and 52 in Crohn’s disease patients receiving upadacitinib. The probability of treatment persistence over 12 months post-initiation of upadacitinib. (B) The rate of clinical remission and corticosteroid-free clinical remission at weeks 24 and 52 in ulcerative colitis patients receiving upadacitinib. The probability of treatment persistence over 12 months post-initiation of upadacitinib. (C) The rate of clinical remission and corticosteroid-free clinical remission at weeks 24 and 52 in ulcerative colitis patients receiving filgotinib. The probability of treatment persistence over 12 months post-initiation of filgotinib.
Biochemical activity was observed in 53.4% (39/73) of the patients who had CR. At week 24, colonoscopy was performed in 46 patients, of which 58.7% (27/46) showed an endoscopic response and 28.3% (13/46) had endoscopic remission. Clinical, biochemical, and endoscopic data were available in 42/91 patients, of which 38.1% (16/42) had reached complete remission.
At week 52, 79.2% (19/24) of the patients experienced CR, while 66.7% (16/24) had CSFCR. (Figure 3A). In 52.6% (10/19) of the patients with CR, biochemical activity was detected. At week 52, endoscopy was performed in 11 patients. Overall, 63.6% (7/11) of the patients achieved an endoscopic response, while 54.5% (6/11) of the patients showed endoscopic remission. Clinical, biochemical, and endoscopic data were available in 11/24 patients, and 45.5% (5/11) had complete remission.
Clinical remission rates stratified by disease location are presented as Supplementary Material (Table S1). Among the 19 CD patients who had active perianal disease in addition to luminal activity at initiation of UPA therapy (median PDAI: 4 [11–2]), 13 (68.4%) patients achieved a PDAI score of 0 by week 24.
Dose escalation was reported in 41.7% (5/12) of the CD patients treated with 15 mg UPA, on average 5.9 (±2.4) months after treatment initiation. IBD-related hospitalisation was reported in 8.7% (10/115) of the patients during follow-up. Intestinal resection was required in 3.5% (4/115) of the patients. Seton drainage was required in two patients and fistula repair in one patient with perianal disease. The probability of treatment persistence with UPA was 90.5% and 79.0% at weeks 24 and 52, respectively (Figure 3A). UPA was discontinued in 16.5% (19/115) of the patients by the end of the follow-up period, mostly due to LOR (36.8%), PNR (26.3%), and AEs (26.3%).
3.3. Effectiveness of Selective JAK Inhibitors in Ulcerative Colitis
Overall, 76.3% (100/131) of the patients with UC were treated with UPA, while 23.7% (31/131) received FILGO therapy. Directly prior to initiating UPA, 45% (45/100) of the UC patients received TOFA, while all patients receiving FILGO were TOFA-naive.
3.3.1. Upadacitinib
Data on therapeutic response were available for 84/97 patients at week 8, of which 92.9% (78/84) of the patients achieved clinical response and 59.5% (50/84) of the patients CR (Figure 4A).
Figure 4.
(A) The changes in pMayo and CRP and FC levels at the first 3 months of upadacitinib therapy in ulcerative colitis. The rate of clinical response and clinical remission at weeks 2, 8, and 12. The median pMayo decreased from 6 [6–5] at baseline to 4 [5–3] at week 2 (p < 0.0001), to 2 [4–1] at week 8 (p < 0.0001), and to 1 [2–0] at week 12 (p < 0.0001). The mean FC level decreased from 1319.0 ± 147.0 µg/g at baseline to 674.7 ± 697.1 µg/g at week 2 (p = 0.02), to 246.6 ± 197.8 µg/g at week 8 (p < 0.0001), and to 273.3 ± 403.0 µg/g at week 12 (p < 0.0001). The mean CRP level decreased from 17.2 ± 23.3 mg/L at baseline, to 13.7 ± 14.3 mg/L at week 2 (p < 0.0001), to 5.8 ± 6.8 mg/L at week 8 (p < 0.0001), and to 4.0 ± 4.2 mg/L at week 12 (p < 0.0001). (B) The changes in pMayo and CRP and FC levels at the first 3 months of FILGO therapy in UC. The rate of clinical response and clinical remission at weeks 2, 8, and 12. The median pMayo decreased from 6 [7–5] at baseline to 4 [7–5] at week 2 (p = 0.004), to 4 [5–2] at week 8 (p < 0.0001), and to 4 [5–2] at week 12 (p = 0.003). At week 2, no data on FC and CRP levels were available for any patients. The mean FC level decreased from 576.8 ± 584.6 µg/g at baseline to 466.5 ± 589.0 µg/g at week 8 (p = 0.23) and to 383.9 ± 586.1 µg/g at week 12 (p = 0.04). The mean CRP level increased from 8.4 ± 9.9 mg/L at baseline to 10.24 ± 27.9 mg/L at week 8 (p = 0.13), while it decreased to 4.5 ± 4.8 mg/L at week 8 (p = 0.04).
The induction phase was extended to 16 weeks for 17.5% (17/97) of the patients. After the induction phase, 35.9% (32/89) of the patients received a maintenance dose of 15 mg, while 64.1% (57/89) were on a maintenance dose of 30 mg. The median pMayo (p < 0.0001) and mean FC (p < 0.0001) and CRP (p < 0.0001) levels decreased significantly from baseline during the first 3 months of UPA treatment (Figure 4A). Data on both biomarkers were available for 20/86, 50/84, and 61/97 patients at weeks 2, 8, and 12, respectively. Biochemical remission was reported in 3/20 (15.0%) patients at week 2, in 22/50 (44.0%) patients at week 8, and in 37/61 (55.7%) patients at week 12.
At week 24, 92.5% (62/67) of the patients achieved a clinical response, and 86.6% (58/67) experienced CR. Overall, 80.6% (54/67) of the patients had CSFCR (Figure 3B). Biochemical activity was observed in 20.9% (14/67) of the patients who had CR. Endoscopy was performed in 36 patients, of which 58.3% (21/36) showed an endoscopic response and 36.1% (13/36) had endoscopic remission. Data on clinical, biochemical, and endoscopic outcomes were available in 32/67 patients, and complete remission was achieved by 40.6% (13/32) of these patients.
Data on the therapeutic response were available for all 29 patients at week 52, of which 93.1% (27/29) had CR. CSFCR was documented in 86.2% (25/29) of the patients (Figure 3B). In 22.2% (6/27) of the patients with CR, biochemical activity was detected. Endoscopy was performed in 17 patients. Overall, 64.7% (11/17) of the patients achieved an endoscopic response, while 52.9% (9/17) of the patients showed endoscopic remission. Data on clinical, biochemical, and endoscopic outcomes were available in 17/29 patients, of which 44.4% (8/18) had complete remission.
Significant reductions in pMayo and biomarkers were observed in both TOFA-naive and TOFA-experienced patients. No difference in clinical response, CR, or CSFCR rates was found between the two patient groups (Figure 5).
Figure 5.
(A) A significant reduction in median pMayo and mean CRP and FC was detected over the first 12 weeks of UPA therapy in TOFA-naive UC patients. (B) A significant reduction in median pMayo and mean CRP and FC was detected over the first 12 weeks of UPA therapy in TOFA-experienced UC patients. (C) The assessment of clinical and biochemical outcomes in TOFA-naive and TOFA-experienced UC patients receiving upadacitinib. There was no statistically significant difference in the clinical endpoints examined (clinical response, clinical remission, CSFCR).
Clinical remission rates stratified by disease extent are presented as Supplementary Material (Table S1).
In 9.4% (3/32) of the UC patients treated with 15 mg UPA, dose escalation was needed, on average, 10.0 (±8.9) months after treatment initiation. IBD-related hospitalisations occurred in 5.0% (5/100) of the patients during the follow-up period, of which three patients underwent colectomy, all for chronically active UC. The probability of treatment persistence with UPA was 92.3% at both weeks 24 and 52. (Figure 3B). Treatment discontinuation was reported in 7.0% (7/100) of the patients, mainly due to PNR (71.4%).
3.3.2. Filgotinib
At week 8, data on the therapeutic response was available for 27/29 patients, of which 74.1% (20/27) achieved a clinical response and 29.6% (8/27) had CR. (Figure 4B). The induction phase was extended to 22 weeks for 14.8% (4/27) of the patients. After the induction phase, 38.5% (10/26) of the patients received a maintenance dose of 100 mg, while 61.5% (16/26) of the patients were on a maintenance dose of 200 mg. At week 2, no data on FC and CRP levels were available for any patients. The mean FC and CRP levels decreased significantly from baseline to week 12 (p[FC] = 0.04; p[CRP] = 0.04) (Figure 4B). Data on both biomarkers were available for 17/29 and 15/27 patients at weeks 8 and 12, respectively. Biochemical remission was not reported in any patient at week 2 but was observed in 35.3% (6/17) of the patients at week 8 and 40.0% (6/15) of the patients at week 12.
At week 24, 95.5% (21/22) of the patients had a clinical response, and 63.6% (14/22) showed CR. CSFCR was reported in 59.1% (13/22) of the patients. (Figure 3C). In 28.6% (4/14) of the patients with CR, biochemical activity was detected. At week 24, endoscopy was performed in only two patients; both showed an endoscopic response.
Week 52 data on the therapeutic response were available for all patients with sufficient follow-up, of which 80.0% (4/5) achieved CR and 60.0% (3/5) CSFCR (Figure 3C). Biochemical activity was observed in 40.0% (2/5) of the patients who had CR. Four patients had an endoscopy at week 52, of which 60.0% (3/5) had an endoscopic response, while 20.0% (1/5) of the patients achieved endoscopic remission.
Clinical remission rates stratified by disease extent are presented as Supplementary Material (Table S1).
Dose escalation was reported in 20.0% (2/10) of the UC patients treated with 100 mg FILGO, on average 5.9 (±2.3) months after treatment initiation. IBD-related hospitalisation was required for 6.5% (2/31) of the patients during the course of treatment. No surgical intervention was needed during the follow-up period. The probability of treatment persistence with FILGO was 78.5% at week 24 and 61.3% at week 52 (Figure 3C). FILGO was discontinued in 32.3% (10/31) of the patients by the end of the follow-up period, mostly due to LOR (40.0%) and PNR (30.0%).
3.4. Safety of Selective JAK Inhibitors
3.4.1. Upadacitinib
A total of 101 AEs (Table 2) were reported in 32.6% (70/215) of the CD and UC patients treated with UPA. AEs were seen in 24.4% (11/45) of the TOFA-experienced UC patients and 47.2% (26/55) of the TOFA-naive UC patients on UPA. The most frequent AEs were hyperlipidaemia (21/215; 9.8%), acne (9/215; 4.2%), and varicella zoster virus (VZV) infection (8/215; 3.7%). One patient (0.5%) was diagnosed with a new-onset melanoma malignum. As a result of AEs, therapy was discontinued in 4.7% (10/215) of the patients, and in 7.4% (16/215), the dose was reduced from 30 mg to 15 mg. The majority of the AEs were reversible (92.1%); however, hyperlipidaemia was present in five patients, and hypertension persisted in three patients during the follow-up period. The univariable logistic regression analysis showed no statistically significant association between the maintenance dosage (15 mg vs. 30 mg) and the occurrence of AEs in the UPA-treated CD (p = 0.89) and UC (p = 0.43) patients.
Table 2.
Adverse events during the use of selective JAK inhibitors.
3.4.2. Filgotinib
AEs were observed in 6/31 (19.4%) patients receiving FILGO therapy. In total, eight AEs (Table 2) were documented during the follow-up period, of which the most frequent were hyperlipidaemia (3/31; 9.7%) and VZV infection (2/31; 6.5%). Two AEs resulted in treatment discontinuation (6.5%), while dose reduction (from 200 mg to 100 mg) was required in one patient (3.2%). During the follow-up period, hyperlipidaemia persisted in one patient, while the other AEs were reversible (96.8%). No statistically significant association was found between the maintenance dosage (200 mg vs. 100 mg) and the occurrence of AEs in the FILGO-treated UC (p = 0.99) patients.
3.5. Predictors of Clinical Remission
Various demographic and clinical data, as well as laboratory parameters, were analysed to predict CR at the end of the induction phase. The results are presented as Supplementary Material. Given the low number of patients receiving FILGO treatment, no predictive analysis was performed.
3.5.1. Crohn’s Disease
The CD patients who had a complicated disease behaviour (stricturing and/or penetrating; OR:0.28; 95% CI: 0.08,0.97; p = 0.04) and/or higher CDAI at treatment initiation (OR:0.94; 95% CI: 0.89,0.99; p = 0.02) were less likely to achieve CR with UPA by week 12. (Table S2).
3.5.2. Ulcerative Colitis
The UC patients with younger ages (OR:1.00; 95% CI: 1.00,1.01; p = 0.03) and/or higher pMayo (OR:0.42; 95% CI: 0.21,0.83; p = 0.01) at treatment initiation were less likely to achieve CR with UPA by week 8. Among other factors, prior TOFA exposure (p = 0.91) did not affect the outcome (Table S3).
4. Discussion
In this retrospective, multicentre observational study, we provide real-world data demonstrating the effectiveness and safety of selective JAKis in moderate-to-severe CD and UC patients. Based on our results, selective JAKis are highly effective both in refractory CD and UC patients. Although a beneficial effect on the clinical and biochemical disease activity was detected as early as 2 to 8 weeks post-initiation, the peak effectiveness of selective JAKis was reached between 3 and 6 months. We found that CD patients who had complicated disease behaviour and/or higher CDAI at treatment initiation were less likely to achieve CR with UPA by week 12. UPA-treated UC patients with younger ages and/or higher pMayo were also less likely to achieve CR by week 8. Importantly, failure to prior TOFA did not have any effect on the therapeutic outcome of UPA in UC.
There is a dearth of real-world studies investigating the effectiveness and safety of selective JAKis, with most of our data on the efficacy of selective JAKis coming from phase II/III randomised controlled trials [16,17,18,19,20]. The optimal, rigorously controlled environment in clinical trials limits the real-world generalisability of therapeutic outcomes of UPA and FILGO. Investigating selective JAKis in real-world settings is crucial to gaining insight into the effectiveness and safety of these agents in a more diverse patient population and to adequately position them in the therapeutic algorithm.
Limitations posed by clinical trials notwithstanding, the lack of consistency with the definitions used for CR make direct comparison of the available data challenging. Two previously published retrospective studies, involving 93 and 45 CD patients, reported CR rates of 27.3% and 64.0% at week 12. In the first cohort, CR rates were 48.0% and 38.0% at weeks 24 and 52, respectively [21,22]. The remission rates in our refractory cohort were substantially higher: 76.2%, 80.2%, and 79.2% at weeks 12, 24, and 52, respectively. In a prospective study of 45 bio-experienced CD patients, 56.2% and 70.6% of the patients were in CR at weeks 2 and 8, as compared to 22.5% and 29.3% in our cohort [23]. To date, only one real-world study has been published on the effectiveness of UPA in UC [23]. In a prospective cohort of 44 refractory UC patients, CR was achieved in 36.0% and 85.2% of the patients at weeks 2 and 8. CR was observed in 21.1% and 59.5% of the patients at the same endpoints. In a retrospective study [24] of 91 UC patients receiving FILGO, the rates of CR were 71.9% and 76.4% at weeks 12 and 24, compared to the CR rates of 57.1% and 63.6% observed at weeks 12 and 24 in the present study involving only refractory patients. Based on the results of another retrospective cohort involving 238 UC patients, the CR rate was 47%, 55.8%, and 64.6% at weeks 10, 26, and 58, respectively [25]. Overall, 53.2% of the patients achieved CSFCR at week 26 and 60.9% of the patients at week 58. Although our results are not directly comparable due to the differences in the time points studied, the higher CR rates obtained in our study are likely due to the different definitions used.
According to the treat-to-target approach, the effectiveness of the agent should be characterised by more stringent endpoints, such as endoscopic remission and the normalisation of biomarkers, apart from achieving CR [33]. Despite the encouragingly high CR rates demonstrated in the present study, around one-third of the FILGO-treated UC patients in CR showed biochemical activity at weeks 24 and 52. Nearly half of the asymptomatic CD patients showed biochemical activity with UPA treatment, while one-fifth of the UC patients in CR had elevated FC and/or CRP. In addition to demonstrating the effectiveness of selective JAKis in reducing IBD symptoms, these findings also highlight the importance of tight biomarker monitoring to achieve long-term success. The endoscopic response was only ever evaluated in one real-world study. Endoscopic remission at weeks 24 and 52 was detected in 28.3% and 54.5% of the UPA-treated CD patients and in 36.1% and 52.9% of the UC patients receiving UPA. Consistent with our results, Chugh et al. found that 28.6% of CD patients treated with UPA achieved endoscopic remission at week 24 [21]. Based on our data, the rate of complete remission with UPA was around 40% in both the CD and UC patients at the same time points. In the present study, 0.0% and 20.0% of the FILGO-treated UC patients achieved endoscopic remission at the same time points; however, these results should be interpreted with caution due to the small number of patients undergoing colonoscopy.
Assessing the changes in biochemical markers after treatment initiation may provide an objective measure of effectiveness. In line with our findings, the majority of previously published studies detected a significant reduction in biomarkers, such as CRP and FC, within 3 months of selective JAKi therapy [22,23,24,25]. In contrast, Chugh et al. found no statistically significant difference in FC during the first 3 months of UPA therapy in CD patients (p = 0.18) [21]. The rate of biochemical remission with the use of selective JAKis has previously only been investigated in one real-world cohort (defined as CRP ≤ 5 mg/L and FC < 250 µg/g) [24], in which it was observed in 87.3% of FILGO-treated UC patients, as compared with 40.0% or 60.0% in our study, depending on which definition is used (CRP ≤ 5 mg/L FC ≤ 150 or ≤250 µg/g).
There is a dearth of data on treatment persistence with selective JAKis. In a UK cohort of CD patients [22], the probability of treatment persistence with UPA was 87.1% at week 24 and 81.7% at week 52, which is almost identical to the 90.5% and 79.0% persistence rates detected in the present study at the same endpoints. Gros et al. found that 82.4% of patients remained on FILGO at the median follow-up of 42 weeks [24]. In the present cohort, including only refractory UC patients, the probability of persistence with FILGO was slightly lower: 78.5% and 61.3% at weeks 24 and 52, respectively.
In clinical practice, physicians may encounter UC patients who have not achieved or maintained the desired outcome with any of the currently available biologics or TOFA. Patients previously exposed to TOFA were not included in the U-ACHIEVE trials, underpinning the need for further studies to evaluate the effectiveness of selective JAK1 inhibitors in UC patients who have failed prior TOFA therapy [18,34]. Both the data reported by Friedberg et al. and the results of the present study suggest that the use of UPA may be beneficial even after the failure of panJAKi [23].
Notably, our results suggest that UPA-treated CD patients with complicated disease behaviour are less likely to achieve CR by week 12. Given the lack of data on the effectiveness of UPA in CD patients with a complicated disease phenotype, further studies with these specific patient groups are needed.
The use of selective JAKi may be supported by the hypothesis that they may have a better safety profile than TOFA due to their specific affinity for JAK1. Based on the data from a recent systematic review and meta-analysis of randomised controlled trials and real-world observational studies, the pooled rate of AEs in UC patients was 65% and 75% in CD patients receiving UPA [35]. Considering only real-world studies, the incidence of AEs ranges from 27% to 40% [21,22,23]. In the SELECTION trial, the incidence of FILGO-related AEs was 60.3% and 66.8% in patients receiving a maintenance dose of 100 and 200 mg, which is substantially higher than detected in real-world studies (9.2–16.5%) [16,24,25]. Meanwhile, our real-world data showed that the incidence of AEs was 47.0% in the UPA-treated CD and UC cohorts, whereas it was 25.8% in the FILGO-treated UC cohort. In both patient groups, the most common AEs were hyperlipidaemia and VZV infection. No major adverse cardiovascular events or deaths were reported with selected JAKi during the follow-up period; however, one patient was diagnosed with melanoma skin cancer (0.5%) following the initiation of UPA. Previous studies have also shown a significant increase in total and low-density cholesterol levels with the use of JAKis [19,36,37]. While all JAKis increase the risk of VZV infection through the inhibition of JAK1 and thus IFN suppression [11], a systematic review and network meta-analysis showed that IBD patients who receive JAKis are more likely to acquire the infection than those being treated with other biologics [38]. The high rate of VZV infection with selective JAKis observed in our cohort may be explained by the fact that only a small proportion of the IBD patients were clearly vaccinated against VZV.
We acknowledge some limitations in our study. The key limitation is its retrospective nature, which introduces confounding through inherent variability in assessments. The retrospective study design precluded the random allocation of treatment groups, and with a limited number of previous studies, sample size calculation was not possible. Although the participating centres included all the patients eligible for enrolment in this study, selection bias may have been introduced by the strict inclusion criteria and by differences in patient numbers across the centres. The effect of selective JAKis on perianal fistulas was not assessed by radiological endpoints, and the potential impact on EIMs was not investigated. Histological endpoints were not studied. Data on clinical, biochemical, and endoscopic outcomes were missing in some patients due to the retrospective study layout. Therefore, the outcomes were only assessed in patients with available data at the predetermined time point, which may have resulted in generally higher response rates.
Our study has several notable strengths. To the authors’ knowledge, this is the largest real-world multicentre study to date that has investigated and demonstrated the effectiveness and safety of selective JAKis in refractory UC and CD patients with moderate-to-severe disease activity. In the present study, we also evaluated biochemical and endoscopic outcomes that were generally lacking in previous studies. The potential impact of switching from TOFA to UPA on effectiveness was also assessed. Multivariable logistic regression analyses were applied to determine independent predictors of CR at the end of the induction phase.
5. Conclusions
Selective JAK inhibitors are effective and safe for treating refractory, moderate-to-severe UC and CD patients. Significant reduction in clinical and biochemical disease activity was observed in the majority of patients by the second week of treatment. In UC, the effectiveness of UPA appears not to be compromised by prior TOFA failure, while UPA-treated CD patients with complicated disease behaviour are less likely to achieve CR by the end of the induction phase. The three most common AEs were hyperlipidaemia, acne, and VZV infection, all with a frequency of less than 10%.
Despite the encouraging data observed in the present study regarding the effectiveness of selective JAK inhibitors in IBD patients, prospective controlled trials are needed to confirm our findings and to adequately position these agents in the therapeutic algorithm.
Supplementary Materials
The following supporting information can be downloaded at https://www.mdpi.com/article/10.3390/jcm13247804/s1: Table S1: Clinical remission rates stratified by disease location/extent; Table S2: The results of the uni- and multivariable logistic regression models for the prediction of clinical remission at week 12 in patients with Crohn’s disease, receiving upadacitinib; Table S3: The details of the univariable logistic regression models for the prediction of clinical remission at week 8 in patients with ulcerative colitis receiving upadacitinib.
Author Contributions
Conceptualisation, B.F., P.L.L. and T.M.; methodology, B.F. and T.M.; software, B.F.; validation, P.B. and T.R.; formal analysis, B.F.; investigation, B.F., T.B., J.K.L., K.S.-A., A.K., O.K., C.B., A.A., M.L., G.M., E.C., E.V.S., F.C., A.R., E.S., S.S., R.F., M.A., F.S.F., P.B., T.R., A.B., E.I., Z.S., Z.B., A.F., R.B., P.L.L., K.F. and T.M.; resources, K.F. and T.M.; data curation, B.F., T.B., J.K.L., K.S.-A., A.K., O.K., C.B., A.A., M.L., G.M., E.C., E.V.S., F.C., A.R., E.S., S.S., R.F., M.A., F.S.F. and P.L.L.; writing—original draft preparation, B.F.; writing—review and editing, T.B., J.K.L., K.S.-A., A.K., O.K., C.B., A.A., M.L., G.M., E.C., E.V.S., F.C., A.R., E.S., S.S., R.F., M.A., F.S.F., P.B., T.R., A.B., E.I., Z.S., Z.B., A.F., R.B., P.L.L., K.F. and T.M.; visualisation, B.F.; supervision, T.B., J.K.L., K.S.-A., A.K., O.K., C.B., A.A., M.L., G.M., E.C., E.V.S., F.C., A.R., E.S., S.S., R.F., M.A., F.S.F., P.B., T.R., A.B., E.I., Z.S., Z.B., A.F., R.B., P.L.L., K.F. and T.M.; project administration, B.F., P.L.L. and T.M.; funding acquisition, K.F. and T.M. All authors have read and agreed to the published version of the manuscript.
Funding
This project received funding from the EU’s Horizon 2020 research and innovation program under grant agreement No. 739593. This work was also supported by the research grants of the National Research, Development and Innovation Office (Grant ID: FK134863 to KF and K143549 to TM), by the Janos Bolyai Research Grant BO/00598/19/5 to KF, by the Géza Hetényi Research Grant (to KF) by Albert Szent-Györgyi Medical School, University of Szeged, and by the New National Excellence Programme (UNKP-23-3-SZTE-268 to BP). TKP2021-EGA-28 was implemented with the support provided by the Ministry of Innovation and Technology of Hungary from the National Research, Development and Innovation Fund, financed under the TKP2021-EGA funding scheme to KF.
Institutional Review Board Statement
This study was conducted in accordance with the Declaration of Helsinki. Ethical approval for this study was obtained from the National Institute of Pharmacy and Nutrition according to the Scientific Research Ethics Committee of the Hungarian Medical Research Council’s proposal (Registration number: NNGYK/GYSZ/19841-1/2024 and BM/13035-3/2024, dated 1 March 2024).
Informed Consent Statement
Patient consent was waived by the Ethics Committee due to the retrospective nature of this study.
Data Availability Statement
The raw data that support the findings of this study are not publicly available, in accordance with the EU General Data Protection Regulation’s (GDPR) guidelines for processing personal data. Data are only available upon reasonable request from the corresponding author.
Acknowledgments
The authors thank Amine Zoughlami and Rishi Jairath from the Division of Gastroenterology at McGill University Health Centre in Montreal, for their help in the data collection. The authors are also grateful to Željko Krznarić for providing data on two patients from University Hospital Zagreb, Department of Internal Medicine, Division of Gastroenterology, Hepatology and Clinical Nutrition.
Conflicts of Interest
Talat Bessissow has received honorarium as a speaker or consultant for Abbvie, Alimentiv, BMS, Eli Lilly, Ferring, Fresenius Kabi, Gilead, Janssen, Merck, Pendopharm, Pentax, Pfizer, Roche, Sandoz, Sanofi, Takeda, and Viatris. Jimmy K. Limdi has been a speaker and/or advisory board member for AbbVie, Arena, BioHit, Bristol Myers Squibb, Eli Lilly, Ferring, Galapagos, Janssen, MSD, Pfizer, Takeda, and Tillots and has received research grants from Galapagos and Takeda. Karishma Sethi-Arora has received speaker fees from Celltrion, Galapagos, Janssen, and Takeda. Alessandro Armuzzi received consulting and/or advisory board fees from AbbVie, Allergan, Amgen, Arena, Biogen, Bristol-Myers Squibb, Celgene, Celltrion, Eli-Lilly, Ferring, Galapagos, Gilead, Janssen, MSD, Mylan, Pfizer, Protagonist Therapeutics, Roche, Samsung Bioepis, Sandoz, and Takeda; lecture and/or speaker bureau fees from AbbVie, Amgen, Arena, Biogen, Ferring, Galapagos, Gilead, Janssen, MSD, Mitsubishi-Tanabe, Nikkiso, Novartis, Pfizer, Sandoz, Samsung Bioepis, and Takeda; and research grants from MSD, Pfizer, Takeda, and Biogen. Milan Lukas has been a speaker for Abbvie, Takeda, Celltrion, Biogen, and Janssen Cilag. George Michalopoulos has received speaker’s honoraria from MSD, TAKEDA, Jannsen, Amgen, and Abbvie. Elena Chashkova has served as speaker for AbbVie, Janssen, and Takeda. Edoardo V. Savarino has served as speaker for Abbvie, Agave, AGPharma, Alfasigma, Aurora Pharma, CaDiGroup, Celltrion, Dr Falk, EG Stada Group, Fenix Pharma, Fresenius Kabi, Galapagos, Janssen, JB Pharmaceuticals, Innovamedica/Adacyte, Malesci, Mayoly Biohealth, Omega Pharma, Pfizer, Reckitt Benckiser, Sandoz, SILA, Sofar, Takeda, Tillots, and Unifarco; has served as consultant for Abbvie, Agave, Alfasigma, Biogen, Bristol-Myers Squibb, Celltrion, Diadema Farmaceutici, Dr. Falk, Fenix Pharma, Fresenius Kabi, Janssen, JB Pharmaceuticals, Merck & Co, Nestlè, Reckitt Benckiser, Regeneron, Sanofi, SILA, Sofar, Synformulas GmbH, Takeda, and Unifarco; and he received research support from Pfizer, Reckitt Benckiser, SILA, Sofar, Unifarco, and Zeta Farmaceutici. Fabiana Castiglione has received speaker’s honoraria from Pfizer, AbbVie, Janssen, Galapagos, Alfasigma, Takeda, and Biogen. Simone Saibeni declares the following paid consultancies and lecture fees: AbbVie, Arena, Ferring, Galapagos, Gilead, Janssen, MSD, Pfizer, and Takeda. Željko Krznarić has received speaker’s honoraria from AbbVie, Janssen, Ferring, Takeda, Pfizer, Sandoz, and Fresenius. Tamás Molnár has received speaker’s honoraria from MSD, AbbVie, Egis, Goodwill Pharma, Takeda, Pfizer, Janssen, Sandoz, MundiPharma, Phytotec, Roche, Fresenius, Bristol-Myers Squibb, Lilly, and Teva. Peter L. Lakatos has been a speaker and/or advisory board member for AbbVie, Amgen, Bristol Myers Squibb, Celltrion, Fresenius Kabi, Gilead, Janssen, Eli Lilly, Merck, Organon, Pendopharm, Pfizer, Roche, Sandoz, and Takeda and has received unrestricted research grants from AbbVie, Gilead, and Pfizer. Klaudia Farkas has received speaker’s honoraria from AbbVie, Janssen, Ferring, Takeda, Pfizer, Bristol-Myers Squibb, and Goodwill Pharma. The other authors declare no conflicts of interest. The funders had no role in the design of this study; in the collection, analyses, or interpretation of data; in the writing of this manuscript; or in the decision to publish the results.
References
- Baumgart, D.C.; Le Berre, C. Newer Biologic and Small-Molecule Therapies for Inflammatory Bowel Disease. N. Engl. J. Med. 2021, 385, 1302–1315. [Google Scholar] [CrossRef] [PubMed]
- Shivaji, U.N.; Nardone, O.M.; Cannatelli, R.; Smith, S.C.; Ghosh, S.; Iacucci, M. Small molecule oral targeted therapies in ulcerative colitis. Lancet Gastroenterol. Hepatol. 2020, 5, 850–861. [Google Scholar] [CrossRef]
- Fernández-Clotet, A.; Castro-Poceiro, J.; Panés, J. JAK Inhibition: The Most Promising Agents in the IBD Pipeline? Curr. Pharm. Des. 2019, 25, 32–40. [Google Scholar] [CrossRef]
- Attauabi, M.; Dahl, E.K.; Burisch, J.; Gubatan, J.; Nielsen, O.H.; Seidelin, J.B. Comparative onset of effect of biologics and small molecules in moderate-to-severe ulcerative colitis: A systematic review and network meta-analysis. eClinicalMedicine 2023, 57, 101866. [Google Scholar] [CrossRef]
- Attauabi, M.; Steenholdt, C.; Poulsen, A.; Gubatan, J.; Burisch, J.; Nielsen, O.H.; Seidelin, J.B. Network meta-analysis: Comparative onset of early effect of biologics and small molecules in moderately to severely active luminal Crohn’s disease. Aliment. Pharmacol. Ther. 2024, 60, 124–143. [Google Scholar] [CrossRef] [PubMed]
- Shuai, K.; Liu, B. Regulation of JAK–STAT signalling in the immune system. Nat. Rev. Immunol. 2003, 3, 900–911. [Google Scholar] [CrossRef] [PubMed]
- Traves, P.G.; Murray, B.; Campigotto, F.; Galien, R.; Meng, A.; Di Paolo, J.A. JAK selectivity and the implications for clinical inhibition of pharmacodynamic cytokine signalling by filgotinib, upadacitinib, tofacitinib and baricitinib. Ann. Rheum. Dis. 2021, 80, 865–875. [Google Scholar] [CrossRef] [PubMed]
- Herrera-Deguise, C.; Serra-Ruiz, X.; Lastiri, E.; Borruel, N. JAK inhibitors: A new dawn for oral therapies in inflammatory bowel diseases. Front. Med. 2023, 10, 1089099. [Google Scholar] [CrossRef] [PubMed]
- Taxonera, C.; Olivares, D.; Alba, C. Real-World Effectiveness and Safety of Tofacitinib in Patients with Ulcerative Colitis: Systematic Review with Meta-Analysis. Inflamm. Bowel Dis. 2022, 28, 32–40. [Google Scholar] [CrossRef]
- Sandborn, W.J.; Su, C.; Sands, B.E.; D’haens, G.R.; Vermeire, S.; Schreiber, S.; Danese, S.; Feagan, B.G.; Reinisch, W.; Niezychowski, W.; et al. Tofacitinib as Induction and Maintenance Therapy for Ulcerative Colitis. N. Engl. J. Med. 2017, 376, 1723–1736. [Google Scholar] [CrossRef]
- Danese, S.; Argollo, M.; Le Berre, C.; Peyrin-Biroulet, L. JAK selectivity for inflammatory bowel disease treatment: Does it clinically matter? Gut 2019, 68, 1893–1899. [Google Scholar] [CrossRef]
- Boland, B.S.; Sandborn, W.J.; Chang, J.T. Update on Janus kinase antagonists in inflammatory bowel disease. Gastroenterol. Clin. North Am. 2014, 43, 603–617. [Google Scholar] [CrossRef]
- Clark, J.D.; Flanagan, M.E.; Telliez, J.-B. Discovery and development of Janus kinase (JAK) inhibitors for inflammatory diseases. J. Med. Chem. 2014, 57, 5023–5038. [Google Scholar] [CrossRef] [PubMed]
- Choy, E.H. Clinical significance of Janus Kinase inhibitor selectivity. Rheumatology 2019, 58, 953–962. [Google Scholar] [CrossRef]
- Fanizza, J.; D’amico, F.; Lauri, G.; Martinez-Dominguez, S.J.; Allocca, M.; Furfaro, F.; Zilli, A.; Fiorino, G.; Parigi, T.L.; Radice, S.; et al. The Role of Filgotinib in Ulcerative Colitis and Crohn’s Disease. Immunotherapy 2024, 16, 59–74. [Google Scholar] [CrossRef] [PubMed]
- Loftus, E.V.; Vermeire, S.; Feagan, B.G.; Le Brun, F.-O.; Oortwijn, A.; Moerch, U.; Sandborn, W.J.; Hibi, T. Corticosteroid-Sparing Effects of Filgotinib in Moderately to Severely Active Ulcerative Colitis: Data from the Phase 2b/3 SELECTION Study. J. Crohn’s Colitis 2023, 17, 211–220. [Google Scholar] [CrossRef] [PubMed]
- Feagan, B.G.; Danese, S.; Loftus, E.V.; Vermeire, S.; Schreiber, S.; Ritter, T.; Fogel, R.; Mehta, R.; Nijhawan, S.; Kempiński, R.; et al. Filgotinib as induction and maintenance therapy for ulcerative colitis (SELECTION): A phase 2b/3 double-blind, randomised, placebo-controlled trial. Lancet 2021, 397, 2372–2384. [Google Scholar] [CrossRef]
- Danese, S.; Vermeire, S.; Zhou, W.; Pangan, A.L.; Siffledeen, J.; Greenbloom, S.; Hébuterne, X.; D’Haens, G.; Nakase, H.; Panés, J.; et al. Upadacitinib as induction and maintenance therapy for moderately to severely active ulcerative colitis: Results from three phase 3, multicentre, double-blind, randomised trials. Lancet 2022, 399, 2113–2128. [Google Scholar] [CrossRef] [PubMed]
- Aguilar, D.; Revilla, L.; Garrido-Trigo, A.; Panés, J.; Lozano, J.J.; Planell, N.; Esteller, M.; Lacerda, A.P.; Guay, H.; Butler, J.; et al. Randomized Controlled Trial Substudy of Cell-specific Mechanisms of Janus Kinase 1 Inhibition With Upadacitinib in the Crohn’s Disease Intestinal Mucosa: Analysis From the CELEST Study. Inflamm. Bowel Dis. 2021, 27, 1999–2009. [Google Scholar] [CrossRef]
- Loftus, E.V.; Panés, J.; Lacerda, A.P.; Peyrin-Biroulet, L.; D’haens, G.; Panaccione, R.; Reinisch, W.; Louis, E.; Chen, M.; Nakase, H.; et al. Upadacitinib Induction and Maintenance Therapy for Crohn’s Disease. N. Engl. J. Med. 2023, 388, 1966–1980. [Google Scholar] [CrossRef]
- Chugh, R.; Braga-Neto, M.B.; Fredrick, T.W.; Ramos, G.P.; Terdiman, J.; El-Nachef, N.; Loftus, E.V.; Mahadevan, U.; Kane, S.V. Multicentre Real-world Experience of Upadacitinib in the Treatment of Crohn’s Disease. J. Crohn’s Colitis 2023, 17, 504–512. [Google Scholar] [CrossRef] [PubMed]
- Elford, A.T.; Bishara, M.; Plevris, N.; Gros, B.; Constantine-Cooke, N.; Goodhand, J.; AKennedy, N.; Ahmad, T.; Lees, C.W. Real-world effectiveness of upadacitinib in Crohn’s disease: A UK multicentre retrospective cohort study. Front. Gastroenterol. 2024, 15, 297–304. [Google Scholar] [CrossRef]
- Friedberg, S.; Choi, D.; Hunold, T.; Choi, N.K.; Garcia, N.M.; Picker, E.A.; Cohen, N.A.; Cohen, R.D.; Dalal, S.R.; Pekow, J.; et al. Upadacitinib Is Effective and Safe in Both Ulcerative Colitis and Crohn’s Disease: Prospective Real-World Experience. Clin. Gastroenterol. Hepatol. 2023, 21, 1913–1923.e2. [Google Scholar] [CrossRef]
- Gros, B.; Goodall, M.; Plevris, N.; Constantine-Cooke, N.; Elford, A.T.; O’hare, C.; Noble, C.; Jones, G.-R.; Arnott, I.D.; Lees, C.W. Real-world Cohort Study on the Effectiveness and Safety of Filgotinib Use in Ulcerative Colitis. J. Crohn’s Colitis 2023, 20, 1–6. [Google Scholar] [CrossRef] [PubMed]
- Akiyama, S.; Yokoyama, K.; Yagi, S.; Shinzaki, S.; Tsuruta, K.; Yoshioka, S.; Sako, M.; Shimizu, H.; Kobayashi, M.; Sakurai, T.; et al. Efficacy and safety of filgotinib for ulcerative colitis: A real-world multicenter retrospective study in Japan. Aliment. Pharmacol. Ther. 2024, 59, 1413–1424. [Google Scholar] [CrossRef]
- Magro, F.; Gionchetti, P.; Eliakim, R.; Ardizzone, S.; Armuzzi, A.; Barreiro-de Acosta, M.; Burisch, J.; Gecse, K.B.; Hart, A.L.; Hindryckx, P.; et al. Third European Evidence-based Consensus on Diagnosis and Management of Ulcerative Colitis. Part 1: Definitions, Diagnosis, Extra-intestinal Manifestations, Pregnancy, Cancer Surveillance, Surgery, and Ileo-anal Pouch Disorders. J. Crohn’s Colitis 2017, 11, 649–670. [Google Scholar] [CrossRef]
- Maaser, C.; Sturm, A.; Vavricka, S.R.; Kucharzik, T.; Fiorino, G.; Annese, V.; Calabrese, E.; Baumgart, D.C.; Bettenworth, D.; Borralho Nunes, P.; et al. ECCO-ESGAR Guideline for Diagnostic Assessment in IBD Part 1: Initial diagnosis, monitoring of known IBD, detection of complications. J. Crohn’s Colitis 2019, 13, 144–164. [Google Scholar] [CrossRef] [PubMed]
- Satsangi, J.; Silverberg, M.S.; Vermeire, S.; Colombel, J.F. The Montreal classification of inflammatory bowel disease: Controversies, consensus, and implications. Gut 2006, 55, 749–753. [Google Scholar] [CrossRef]
- Schroeder, K.W.; Tremaine, W.J.; Ilstrup, D.M. Coated oral 5-aminosalicylic acid therapy for mildly to moderately active ulcerative colitis. A randomized study. N. Engl. J. Med. 1987, 317, 1625–1629. [Google Scholar] [CrossRef] [PubMed]
- Daperno, M.; D’Haens, G.; Van Assche, G.; Baert, F.; Bulois, P.; Maunoury, V.; Sostegni, R.; Rocca, R.; Pera, A.; Gevers, A. Development and validation of a new, simplified endoscopic activity score for Crohn’s disease: The SES-CD. Gastrointest. Endosc. 2004, 60, 505–512. [Google Scholar] [CrossRef] [PubMed]
- Best, W.R.; Becktel, J.M.; Singleton, J.W.; Kern, F. Development of a Crohn’s disease activity index. Gastroenterology 1976, 70, 439–444. [Google Scholar] [CrossRef] [PubMed]
- Park, D. Cortisone in Ulcerative Colitis. BMJ 1954, 2, 375–378. [Google Scholar] [CrossRef][Green Version]
- Turner, D.; Ricciuto, A.; Lewis, A.; D’amico, F.; Dhaliwal, J.; Griffiths, A.M.; Bettenworth, D.; Sandborn, W.J.; Sands, B.E.; Reinisch, W.; et al. STRIDE-II: An Update on the Selecting Therapeutic Targets in Inflammatory Bowel Disease (STRIDE) Initiative of the International Organization for the Study of IBD (IOIBD): Determining Therapeutic Goals for Treat-to-Target strategies in IBD. Gastroenterology 2021, 160, 1570–1583. [Google Scholar] [CrossRef] [PubMed]
- Irani, M.; Fan, C.; Glassner, K.; Abraham, B.P. Clinical Evaluation of Upadacitinib in the Treatment of Adults with Moderately to Severely Active Ulcerative Colitis (UC): Patient Selection and Reported Outcomes. Clin. Exp. Gastroenterol. 2023, 16, 21–28. [Google Scholar] [CrossRef]
- Zheng, D.-Y.; Wang, Y.-N.; Huang, Y.-H.; Jiang, M.; Dai, C. Effectiveness and safety of upadacitinib for inflammatory bowel disease: A systematic review and meta-analysis of RCT and real-world observational studies. Int. Immunopharmacol. 2024, 126, 111229. [Google Scholar] [CrossRef]
- Li, N.; Gou, Z.-P.; Du, S.-Q.; Zhu, X.-H.; Lin, H.; Liang, X.-F.; Wang, Y.-S.; Feng, P. Effect of JAK inhibitors on high- and low-density lipoprotein in patients with rheumatoid arthritis: A systematic review and network meta-analysis. Clin. Rheumatol. 2022, 41, 677–688. [Google Scholar] [CrossRef]
- Makris, A.; Barkas, F.; Sfikakis, P.P.; Liberopoulos, E.; Agouridis, A.P. The Effect of Upadacitinib on Lipid Profile and Cardiovascular Events: A Meta-Analysis of Randomized Controlled Trials. J. Clin. Med. 2022, 11, 6894. [Google Scholar] [CrossRef] [PubMed]
- Din, S.; Selinger, C.P.; Black, C.J.; Ford, A.C. Systematic review with network meta-analysis: Risk of Herpes zoster with biological therapies and small molecules in inflammatory bowel disease. Aliment. Pharmacol. Ther. 2023, 57, 666–675. [Google Scholar] [CrossRef] [PubMed]
Disclaimer/Publisher’s Note: The statements, opinions and data contained in all publications are solely those of the individual author(s) and contributor(s) and not of MDPI and/or the editor(s). MDPI and/or the editor(s) disclaim responsibility for any injury to people or property resulting from any ideas, methods, instructions or products referred to in the content. |
© 2024 by the authors. Licensee MDPI, Basel, Switzerland. This article is an open access article distributed under the terms and conditions of the Creative Commons Attribution (CC BY) license (https://creativecommons.org/licenses/by/4.0/).