Efficacy of 1% Povidone-Iodine in the Treatment of Anterior Blepharitis—Randomized Single-Center Controlled Trial
Abstract
1. Introduction
2. Materials and Methods
2.1. Participants and Enrollment
2.2. Study Groups
2.3. Outcomes
2.4. Statistical Analysis
3. Results
3.1. Study Population
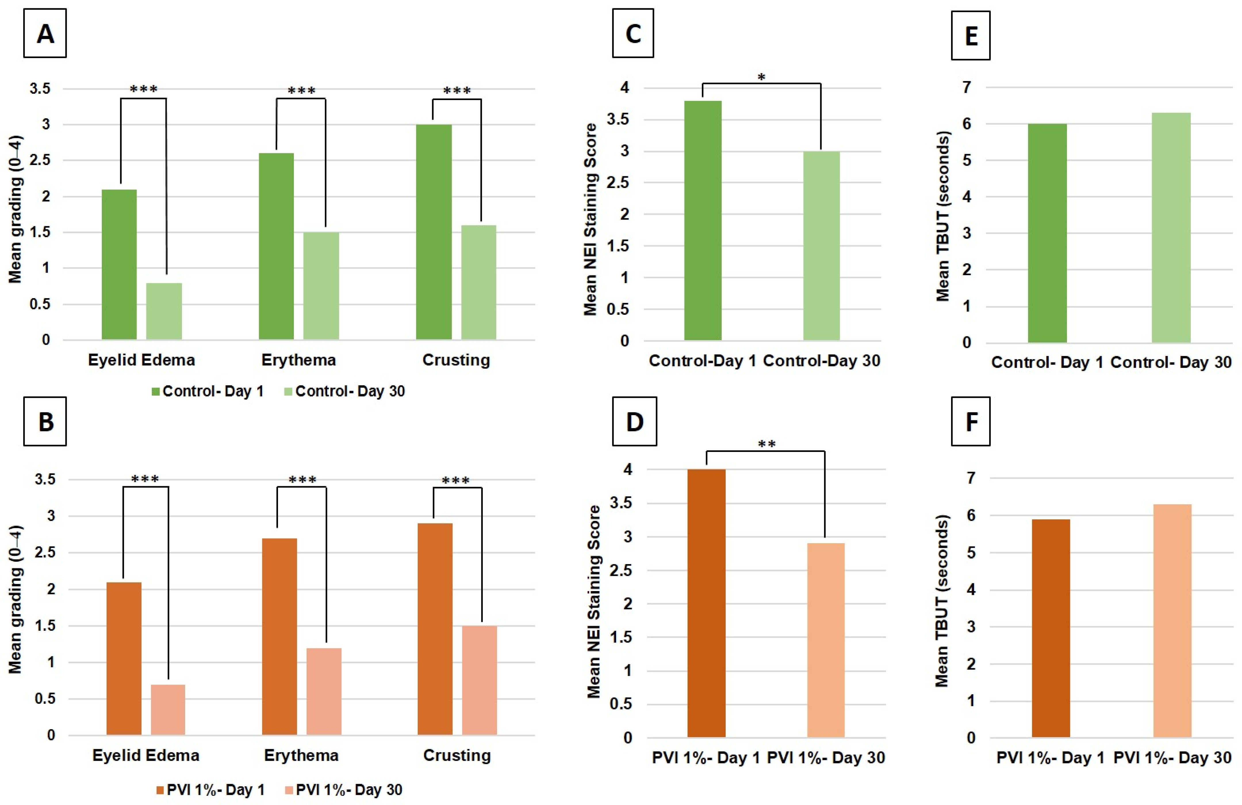
3.2. Objective and Safety Outcomes
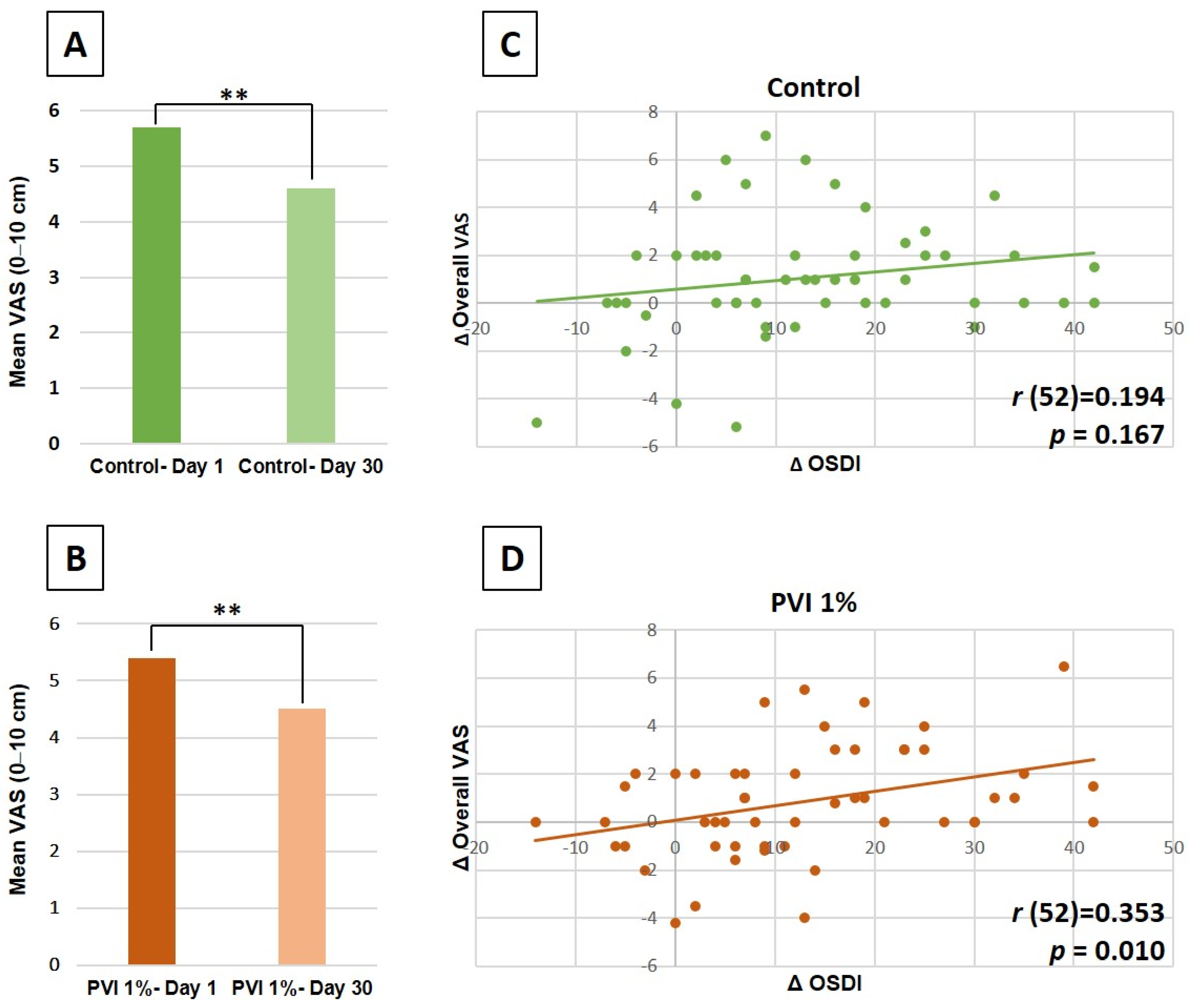
3.3. Subjective Outcomes
4. Discussion
Author Contributions
Funding
Institutional Review Board Statement
Informed Consent Statement
Data Availability Statement
Conflicts of Interest
References
- Amescua, G.; Akpek, E.K.; Farid, M.; Garcia-Ferrer, F.J.; Lin, A.; Rhee, M.K.; Varu, D.M.; Musch, D.C.; Dunn, S.P.; Mah, F.S. Blepharitis Preferred Practice Pattern®. Ophthalmology 2019, 126, P56–P93. [Google Scholar] [CrossRef] [PubMed]
- Lemp, M.A.; Nichols, K.K. Blepharitis in the United States 2009: A survey-based perspective on prevalence and treatment. Ocul. Surf. 2009, 7, S1. [Google Scholar] [CrossRef]
- McCulley, J.P.; Dougherty, J.M.; Deneau, D.G. Classification of Chronic Blepharitis. Ophthalmology 1982, 89, 1173–1180. [Google Scholar] [CrossRef] [PubMed]
- Pflugfelder, S.C.; Karpecki, P.M.; Perez, V.L. Treatment of blepharitis: Recent clinical trials. Ocul. Surf. 2014, 12, 273–284. [Google Scholar] [CrossRef]
- Sung, J.; Wang, M.T.M.; Lee, S.H.; Cheung, I.M.Y.; Ismail, S.; Sherwin, T.; Craig, J.P. Randomized double-masked trial of eyelid cleansing treatments for blepharitis. Ocul. Surf. 2018, 16, 77–83. [Google Scholar] [CrossRef] [PubMed]
- Yeu, E.; Wirta, D.L.; Karpecki, P.; Baba, S.N.; Holdbrook, M. Lotilaner Ophthalmic Solution, 0.25%, for the Treatment of Demodex Blepharitis: Results of a Prospective, Randomized, Vehicle-Controlled, Double-Masked, Pivotal Trial (Saturn-1). Cornea 2023, 42, 435–443. [Google Scholar] [CrossRef]
- Lindsley, K.; Matsumura, S.; Hatef, E.; Akpek, E.K. Interventions for chronic blepharitis. Cochrane Database Syst. Rev. 2012, 5, 1–111. [Google Scholar] [CrossRef]
- Lepelletier, D.; Maillard, J.Y.; Pozzetto, B.; Simon, A. Povidone Iodine: Properties, Mechanisms of Action, and Role in Infection Control and Staphylococcus aureus Decolonization. Antimicrob. Agents Chemother. 2020, 64, 581–593. [Google Scholar] [CrossRef] [PubMed]
- Grzybowski, A.; Kanclerz, P.; Myers, W.G. The use of povidone-iodine in ophthalmology. Curr. Opin. Ophthalmol. 2018, 29, 19–32. [Google Scholar] [CrossRef] [PubMed]
- Relhan, N.; Forster, R.K.; Flynn, H.W. Endophthalmitis: Then and Now. Am. J. Ophthalmol. 2018, 187, xx–xxvii. [Google Scholar] [CrossRef] [PubMed]
- Pelletier, J.S.; Stewart, K.P.; Capriotti, K.; Capriotti, J.A. Rosacea Blepharoconjunctivitis Treated with a Novel Preparation of Dilute Povidone Iodine and Dimethylsulfoxide: A Case Report and Review of the Literature. Ophthalmol. Ther. 2015, 4, 143–150. [Google Scholar] [CrossRef] [PubMed]
- Pelletier, J.S.; Capriotti, K.; Stewart, K.S.; Capriotti, J.A. Demodex Blepharitis Treated with a Novel Dilute Povidone-Iodine and DMSO System: A Case Report. Ophthalmol. Ther. 2017, 6, 361–366. [Google Scholar] [CrossRef] [PubMed]
- Bezdetko, P.A.; Sergienko, N.; Dyomin, Y.; Korol, A.; Nikitin, N.; Merzbacher, M.; Groß, D.; Kohnen, R. Successful treatment of blepharitis with bibrocathol (Posiformin® 2%). Graefe’s Arch. Clin. Exp. Ophthalmol. 2012, 250, 1869–1875. [Google Scholar] [CrossRef] [PubMed][Green Version]
- Efron, N. Efron Grading Scales for Contact Lens Complications (Millennium Edition); Butterworth-Heinemann: Oxford, UK, 2000. [Google Scholar]
- Choi, Y.; Eom, Y.; Yoon, E.G.; Song, J.S.; Kim, I.-H.; Kim, H.M. Efficacy of Topical Ivermectin 1% in the Treatment of Demodex Blepharitis. Cornea 2022, 41, 427–434. [Google Scholar] [CrossRef] [PubMed]
- American Academy of Ophthalmology NEI/Industry Grading System—American Academy of Ophthalmology. Available online: https://www.aao.org/education/image/neiindustry-grading-system (accessed on 1 November 2024).
- Schiffman, R.M.; Christianson, M.D.; Jacobsen, G.; Hirsch, J.D.; Reis, B.L. Reliability and validity of the ocular surface disease index. Arch. Ophthalmol. 2000, 118, 615–621. [Google Scholar] [CrossRef]
- Labetoulle, M.; Benichou, J.; M’Nafek, N.; Garnier, F.; Rabut, G.; Salah, W.B.H.; Labbé, A.; Rousseau, A.; Baudouin, C. Assessment of patient burden from dry eye disease using a combination of five visual analogue scales and a radar graph: A pilot study of the PENTASCORE. Br. J. Ophthalmol. 2022, 106, 467–473. [Google Scholar] [CrossRef] [PubMed]
- Ficker, L.; Ramakrishnan, M.; Seal, D.; Wright, P. Role of cell-mediated immunity to staphylococci in blepharitis. Am. J. Ophthalmol. 1991, 111, 473–479. [Google Scholar] [CrossRef] [PubMed]
- Fromstein, S.R.; Harthan, J.S.; Patel, J.; Opitz, D.L. Demodex blepharitis: Clinical perspectives. Clin. Optom. 2018, 10, 57–63. [Google Scholar] [CrossRef]
- Zhu, M.; Cheng, C.; Yi, H.; Lin, L.; Wu, K. Quantitative Analysis of the Bacteria in Blepharitis with Demodex Infestation. Front. Microbiol. 2018, 9, 1719. [Google Scholar] [CrossRef]
- Derbel, M.; Benzina, Z.; Ghorbel, I.; Abdelmoula, S.; Makni, F.; Ayadi, A.; Feki, J. Malassezia fungal blepharitis: A case report. J. Fr. Ophtalmol. 2005, 28, 862–865. [Google Scholar] [CrossRef] [PubMed]
- Haley, C.E.; Marling-Cason, M.; Smith, J.W.; Luby, J.P.; Mackowiak, P.A. Bactericidal activity of antiseptics against methicillin-resistant Staphylococcus aureus. J. Clin. Microbiol. 1985, 21, 991–992. [Google Scholar] [CrossRef]
- Oduwole, K.O.; Glynn, A.A.; Molony, D.C.; Murray, D.; Rowe, S.; Holland, L.M.; McCormack, D.J.; O’Gara, J.P. Anti-biofilm activity of sub-inhibitory povidone-iodine concentrations against Staphylococcus epidermidis and Staphylococcus aureus. J. Orthop. Res. 2010, 28, 1252–1256. [Google Scholar] [CrossRef] [PubMed]
- Berkelman, R.L.; Holland, B.W.; Anderson, R.L. Increased bactericidal activity of dilute preparations of povidone-iodine solutions. J. Clin. Microbiol. 1982, 15, 635–639. [Google Scholar] [CrossRef] [PubMed]
- Kondo, S.; Tabe, Y.; Yamada, T.; Misawa, S.; Oguri, T.; Ohsaka, A.; Miida, T. Comparison of Antifungal Activities of Gentian Violet and Povidone-Iodine Against Clinical Isolates of Candida Species and Other Yeasts: A Framework to Establish Topical Disinfectant Activities. Mycopathologia 2012, 173, 21–25. [Google Scholar] [CrossRef] [PubMed]
- Pinna, A.; Donadu, M.G.; Usai, D.; Dore, S.; D’Amico-Ricci, G.; Boscia, F.; Zanetti, S. In vitro antimicrobial activity of a new ophthalmic solution containing povidone-iodine 0.6% (IODIM®). Acta Ophthalmol. 2020, 98, e178–e180. [Google Scholar] [CrossRef]
- Gao, Y.Y.; Di Pascuale, M.A.; Li, W.; Baradaran-Rafii, A.; Elizondo, A.; Kuo, C.L.; Raju, V.K.; Tseng, S.C.G. In vitro and in vivo killing of ocular Demodex by tea tree oil. Br. J. Ophthalmol. 2005, 89, 1468–1473. [Google Scholar] [CrossRef]
- Rynerson, J.M.; Perry, H.D. DEBS—A unification theory for dry eye and blepharitis. Clin. Ophthalmol. 2016, 10, 2455–2467. [Google Scholar] [CrossRef] [PubMed]
- O’dell, L.; Dierker, D.S.; Devries, D.K.; Holdbrook, M.; Baba, S.N.; Yeu, E.; Garlich, J.; Whitley, W.O. Psychosocial Impact of Demodex Blepharitis. Clin. Ophthalmol. 2022, 16, 2979–2987. [Google Scholar] [CrossRef]
- Li, H.; Böhringer, D.; Maier, P.; Reinhard, T.; Lang, S.J. Developing and validating a questionnaire to assess the symptoms of blepharitis accompanied by dry eye disease. Graefe’s Arch. Clin. Exp. Ophthalmol. 2023, 261, 2891–2900. [Google Scholar] [CrossRef] [PubMed]
- Beukelman, C.J.; van den Berg, A.J.J.; Hoekstra, M.J.; Uhl, R.; Reimer, K.; Mueller, S. Anti-inflammatory properties of a liposomal hydrogel with povidone-iodine (Repithel®) for wound healing in vitro. Burns 2008, 34, 845–855. [Google Scholar] [CrossRef] [PubMed]
- Lee, S.H.; Choi, M.R.; Chung, J.; Choi, S.H.; Park, S.K.; Kim, Y.M. Povidone iodine suppresses LPS-induced inflammation by inhibiting TLR4/MyD88 formation in airway epithelial cells. Sci. Rep. 2022, 12, 3681. [Google Scholar] [CrossRef] [PubMed]
- Paugh, J.R.; Tse, J.; Nguyen, T.; Sasai, A.; Chen, E.; De Jesus, M.T.; Kwan, J.; Nguyen, A.L.; Farid, M.; Garg, S.; et al. Efficacy of the Fluorescein Tear Breakup Time Test in Dry Eye. Cornea 2020, 39, 92–98. [Google Scholar] [CrossRef]
- Teren, D.; Neuman, G.; Abulafia, A.; Gelman, E.; Assayag, E.; Hajj, A.; Shwartz, O.; Zadok, D. In Vivo Assessment of Antimicrobial Activity and Toxicity of Repeated 1% Povidone–Iodine Applications vs a Single 5% Povidone–Iodine Application. J. Cataract Refract. Surg. 2024, 50, 682–687. [Google Scholar] [CrossRef]
- Alghamdi, Y.A.; Camp, A.; Feuer, W.; Karp, C.L.; Wellik, S.; Galor, A. Compliance and Subjective Patient Responses to Eyelid Hygiene. Eye Contact Lens 2017, 43, 213–217. [Google Scholar] [CrossRef] [PubMed]
- Romero, J.M.; Biser, S.A.; Perry, H.D.; Levinson, D.H.; Doshi, S.J.; Terraciano, A.; Donnenfeld, E.D. Conservative treatment of meibomian gland dysfunction. Eye Contact Lens 2004, 30, 14–19. [Google Scholar] [CrossRef] [PubMed]
- Gostimir, M.; Allen, L.H. Is there enough evidence for the routine recommendation of eyelid wipes? A systematic review of the role of eyelid wipes in the management of blepharitis. Can. J. Ophthalmol. 2020, 55, 424–436. [Google Scholar] [CrossRef] [PubMed]
- Srivastava, J.K.; Shankar, E.; Gupta, S. Chamomile: A herbal medicine of the past with a bright future (review). Mol. Med. Rep. 2010, 3, 895–901. [Google Scholar] [CrossRef] [PubMed]
- Fluhr, J.W.; Darlenski, R.; Surber, C. Glycerol and the skin: Holistic approach to its origin and functions. Br. J. Dermatol. 2008, 159, 23–34. [Google Scholar] [CrossRef] [PubMed]




| Characteristic | 1% PVI Group (Mean ± SD) | Control Group (Mean ± SD) | p | |
|---|---|---|---|---|
| Age, years, mean ± SD | 62.3 ± 17.2 | |||
| Gender Male, n (%) Female, n (%) | 24 (46.2) 28 (53.8) | |||
| Subjective complaints OSDI score, 0–100 (mean ± SD) VAS score, 0–10 cm | 25 ± 15.8 | 5.4 ± 0.8 | 5.7 ± 0.4 | 0.287 |
| Blepharitis signs, Efron scale, 0–4 Eyelid edema Eyelid erythema Eyelid crusting | 2.1 ± 0.7 2.7 ± 0.8 2.9 ± 0.7 | 2.1 ± 0.8 2.6 ± 0.7 3.0 ± 1.0 | 0.322 0.484 0.659 | |
| Dry eye measurements TBUT, seconds Corneal staining, NEI score, 0–15 | 5.9 ± 1.3 4.1 ± 1.2 | 6.0 ± 1.2 3.8 ± 1.3 | 0.706 0.381 |
Disclaimer/Publisher’s Note: The statements, opinions and data contained in all publications are solely those of the individual author(s) and contributor(s) and not of MDPI and/or the editor(s). MDPI and/or the editor(s) disclaim responsibility for any injury to people or property resulting from any ideas, methods, instructions or products referred to in the content. |
© 2024 by the authors. Licensee MDPI, Basel, Switzerland. This article is an open access article distributed under the terms and conditions of the Creative Commons Attribution (CC BY) license (https://creativecommons.org/licenses/by/4.0/).
Share and Cite
Assayag, E.; Abulafia, A.; Teren, D.; Gelman, E.; Givoni, H.; Zadok, D. Efficacy of 1% Povidone-Iodine in the Treatment of Anterior Blepharitis—Randomized Single-Center Controlled Trial. J. Clin. Med. 2024, 13, 7227. https://doi.org/10.3390/jcm13237227
Assayag E, Abulafia A, Teren D, Gelman E, Givoni H, Zadok D. Efficacy of 1% Povidone-Iodine in the Treatment of Anterior Blepharitis—Randomized Single-Center Controlled Trial. Journal of Clinical Medicine. 2024; 13(23):7227. https://doi.org/10.3390/jcm13237227
Chicago/Turabian StyleAssayag, Elishai, Adi Abulafia, David Teren, Evgeny Gelman, Hila Givoni, and David Zadok. 2024. "Efficacy of 1% Povidone-Iodine in the Treatment of Anterior Blepharitis—Randomized Single-Center Controlled Trial" Journal of Clinical Medicine 13, no. 23: 7227. https://doi.org/10.3390/jcm13237227
APA StyleAssayag, E., Abulafia, A., Teren, D., Gelman, E., Givoni, H., & Zadok, D. (2024). Efficacy of 1% Povidone-Iodine in the Treatment of Anterior Blepharitis—Randomized Single-Center Controlled Trial. Journal of Clinical Medicine, 13(23), 7227. https://doi.org/10.3390/jcm13237227

