Comparison of Intraocular Pressure Measurements Using Three Different Methods (Goldmann Applanation Tonometry (GAT), Corvis ST, and iCare) Following Penetrating Keratoplasty
Abstract
1. Introduction
2. Materials and Methods
2.1. Study Population
2.2. Statistical Analysis
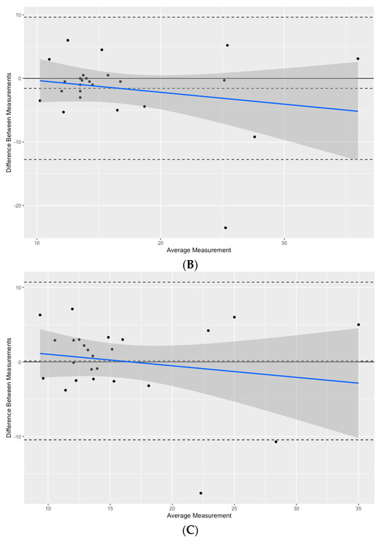
3. Results
4. Discussion
5. Conclusions
Author Contributions
Funding
Institutional Review Board Statement
Informed Consent Statement
Data Availability Statement
Conflicts of Interest
References
- Ayyala, R.S. Penetrating Keratoplasty and Glaucoma. Surv. Ophthalmol. 2000, 45, 91–105. [Google Scholar] [CrossRef] [PubMed]
- Sugar, A.; Tanner, J.P.; Dontchev, M.; Tennant, B.; Schultze, R.L.; Dunn, S.P.; Lindquist, T.D.; Gal, R.L.; Beck, R.W.; Kollman, C.; et al. Recipient Risk Factors for Graft Failure in the Cornea Donor Study. Ophthalmology 2009, 116, 1023–1028. [Google Scholar] [CrossRef] [PubMed]
- Dada, T.; Aggarwal, A.; Minudath, K.; Vanathi, M.; Choudhary, S.; Gupta, V.; Sihota, R.; Panda, A. Post-Penetrating Keratoplasty Glaucoma. Indian J. Ophthalmol. 2008, 56, 269–277. [Google Scholar] [CrossRef] [PubMed]
- Wu, S.; Xu, J. Incidence and Risk Factors for Post-Penetrating Keratoplasty Glaucoma: A Systematic Review and Meta-Analysis. PLoS ONE 2017, 12, e0176261. [Google Scholar] [CrossRef]
- Zimmerman, T.; Olson, R.; Waltman, S.; Kaufman, H. Transplant Size and Elevated Intraocular Pressure. Postkeratoplasty. Arch. Ophthalmol. Chic. Ill 1960 1978, 96, 2231–2233. [Google Scholar] [CrossRef]
- Kharod-Dholakia, B.; Randleman, J.B.; Bromley, J.G.; Stulting, R.D. Prevention and Treatment of Corneal Graft Rejection: Current Practice Patterns of the Cornea Society (2011). Cornea 2015, 34, 609–614. [Google Scholar] [CrossRef]
- Jayaram, H. Intraocular Pressure Reduction in Glaucoma: Does Every mmHg Count? Taiwan J. Ophthalmol. 2020, 10, 255–258. [Google Scholar] [CrossRef]
- Leske, M.C.; Heijl, A.; Hussein, M.; Bengtsson, B.; Hyman, L.; Komaroff, E. Early Manifest Glaucoma Trial Group Factors for Glaucoma Progression and the Effect of Treatment: The Early Manifest Glaucoma Trial. Arch. Ophthalmol. Chic. Ill 1960 2003, 121, 48–56. [Google Scholar] [CrossRef]
- Stamper, R.L. A History of Intraocular Pressure and Its Measurement. Optom. Vis. Sci. Off. Publ. Am. Acad. Optom. 2011, 88, E16–E28. [Google Scholar] [CrossRef]
- Wang, A.S.; Alencar, L.M.; Weinreb, R.N.; Tafreshi, A.; Deokule, S.; Vizzeri, G.; Medeiros, F.A. Repeatability and Reproducibility of Goldmann Applanation, Dynamic Contour and Ocular Response Analyzer Tonometry. J. Glaucoma 2013, 22, 127–132. [Google Scholar] [CrossRef]
- Tonnu, P.-A.; Ho, T.; Sharma, K.; White, E.; Bunce, C.; Garway-Heath, D. A Comparison of Four Methods of Tonometry: Method Agreement and Interobserver Variability. Br. J. Ophthalmol. 2005, 89, 847–850. [Google Scholar] [CrossRef] [PubMed]
- Pandav, S.S.; Sharma, A.; Gupta, A.; Sharma, S.K.; Gupta, A.; Patnaik, B. Reliability of Proton and Goldmann Applanation Tonometers in Normal and Postkeratoplasty Eyes. Ophthalmology 2002, 109, 979–984. [Google Scholar] [CrossRef] [PubMed]
- Kandarakis, A.; Soumplis, V.; Pitsas, C.; Kandarakis, S.; Halikias, J.; Karagiannis, D. Comparison of Dynamic Contour Tonometry and Goldmann Applanation Tonometry Following Penetrating Keratoplasty. Can. J. Ophthalmol. J. Can. Ophtalmol. 2010, 45, 489–493. [Google Scholar] [CrossRef] [PubMed]
- Dumitrescu, O.-M.; Istrate, S.; Macovei, M.-L.; Gheorghe, A.G. Intraocular Pressure Measurement after Penetrating Keratoplasty. Diagnostics 2022, 12, 234. [Google Scholar] [CrossRef] [PubMed]
- Kaushik, S.; Pandav, S.S.; Banger, A.; Aggarwal, K.; Gupta, A. Relationship between Corneal Biomechanical Properties, Central Corneal Thickness, and Intraocular Pressure across the Spectrum of Glaucoma. Am. J. Ophthalmol. 2012, 153, 840–849.e2. [Google Scholar] [CrossRef]
- Liu, J.; Roberts, C.J. Influence of Corneal Biomechanical Properties on Intraocular Pressure Measurement: Quantitative Analysis. J. Cataract Refract. Surg. 2005, 31, 146–155. [Google Scholar] [CrossRef]
- Arora, R.; Bellamy, H.; Austin, M. Applanation Tonometry: A Comparison of the Perkins Handheld and Goldmann Slit Lamp-Mounted Methods. Clin. Ophthalmol. Auckl. NZ 2014, 8, 605–610. [Google Scholar] [CrossRef]
- Ismail, A.R.; Lamont, M.; Perera, S.; Khan-Lim, D.; Mehta, R.; Macleod, J.D.A.; Anderson, D.F. Comparison of IOP Measurement Using GAT and DCT in Patients with Penetrating Keratoplasties. Br. J. Ophthalmol. 2007, 91, 980–981. [Google Scholar] [CrossRef][Green Version]
- Doughty, M.J.; Zaman, M.L. Human Corneal Thickness and Its Impact on Intraocular Pressure Measures: A Review and Meta-Analysis Approach. Surv. Ophthalmol. 2000, 44, 367–408. [Google Scholar] [CrossRef]
- Maeda, N.; Ueki, R.; Fuchihata, M.; Fujimoto, H.; Koh, S.; Nishida, K. Corneal Biomechanical Properties in 3 Corneal Transplantation Techniques with a Dynamic Scheimpflug Analyzer. Jpn. J. Ophthalmol. 2014, 58, 483–489. [Google Scholar] [CrossRef]
- Kontiola, A.I. A New Induction-Based Impact Method for Measuring Intraocular Pressure. Acta Ophthalmol. Scand. 2000, 78, 142–145. [Google Scholar] [CrossRef] [PubMed]
- Ertel, M.K.; Seibold, L.K.; Patnaik, J.L.; Kahook, M.Y. Comparison of Intraocular Pressure Readings with Perkins, Tonopen, iCare 200, and iCare Home to Manometry in Cadaveric Eyes. Int. J. Ophthalmol. 2022, 15, 2022–2027. [Google Scholar] [CrossRef] [PubMed]
- Rao, A.; Kumar, M.; Prakash, B.; Varshney, G. Relationship of Central Corneal Thickness and Intraocular Pressure by iCare Rebound Tonometer. J. Glaucoma 2014, 23, 380–384. [Google Scholar] [CrossRef]
- Gao, F.; Liu, X.; Zhao, Q.; Pan, Y. Comparison of the iCare Rebound Tonometer and the Goldmann Applanation Tonometer. Exp. Ther. Med. 2017, 13, 1912–1916. [Google Scholar] [CrossRef]
- Esporcatte, L.P.G.; Salomão, M.Q.; Lopes, B.T.; Vinciguerra, P.; Vinciguerra, R.; Roberts, C. Biomechanical Diagnostics of the Cornea. Eye Vis. 2020, 7, 9. [Google Scholar] [CrossRef] [PubMed]
- Joda, A.A.; Shervin, M.M.S.; Kook, D.; Elsheikh, A. Development and Validation of a Correction Equation for Corvis Tonometry. Comput. Methods Biomech. Biomed. Engin. 2016, 19, 943–953. [Google Scholar] [CrossRef]
- Salouti, R.; Bagheri, M.; Shamsi, A.; Zamani, M.; Ghoreyshi, M.; Hossein Nowroozzadeh, M. Corneal Parameters in Healthy Subjects Assessed by Corvis ST. J. Ophthalmic Vis. Res. 2020, 15, 24. [Google Scholar] [CrossRef] [PubMed]
- Eliasy, A.; Chen, K.-J.; Vinciguerra, R.; Maklad, O.; Vinciguerra, P.; Ambrósio, R.; Roberts, C.J.; Elsheikh, A. Ex-Vivo Experimental Validation of Biomechanically-Corrected Intraocular Pressure Measurements on Human Eyes Using the CorVis ST. Exp. Eye Res. 2018, 175, 98–102. [Google Scholar] [CrossRef]
- Laszlo Modis, J.; Hassan, Z.; Szalai, E.; Flaskó, Z.; Berta, A.; Nemeth, G. Ocular Biomechanical Measurements on Post-Keratoplasty Corneas Using a Scheimpflug-Based Noncontact Device. Int. J. Ophthalmol. 2016, 9, 235. [Google Scholar] [CrossRef]
- Whitacre, M.M.; Stein, R. Sources of Error with Use of Goldmann-Type Tonometers. Surv. Ophthalmol. 1993, 38, 1–30. [Google Scholar] [CrossRef]
- Mark, H.H.; Mark, T.L. Corneal Astigmatism in Applanation Tonometry. Eye 2003, 17, 617–618. [Google Scholar] [CrossRef] [PubMed]
- Sedaghat, M.-R.; Momeni-Moghaddam, H.; Yekta, A.; Elsheikh, A.; Khabazkhoob, M.; Ambrósio Jr, R.; Maddah, N.; Danesh, Z. Biomechanically-Corrected Intraocular Pressure Compared To Pressure Measured With Commonly Used Tonometers In Normal Subjects. Clin. Optom. 2019, 11, 127–133. [Google Scholar] [CrossRef] [PubMed]
- Lopes, B.T.; Roberts, C.J.; Elsheikh, A.; Vinciguerra, R.; Vinciguerra, P.; Reisdorf, S.; Berger, S.; Koprowski, R.; Ambrósio, R. Repeatability and Reproducibility of Intraocular Pressure and Dynamic Corneal Response Parameters Assessed by the Corvis ST. J. Ophthalmol. 2017, 2017, 8515742. [Google Scholar] [CrossRef] [PubMed]
- Chen, X.; Stojanovic, A.; Hua, Y.; Eidet, J.R.; Hu, D.; Wang, J.; Utheim, T.P. Reliability of Corneal Dynamic Scheimpflug Analyser Measurements in Virgin and Post-PRK Eyes. PLoS ONE 2014, 9, e109577. [Google Scholar] [CrossRef]
- Salvetat, M.L.; Zeppieri, M.; Miani, F.; Tosoni, C.; Parisi, L.; Brusini, P. Comparison of iCare Tonometer and Goldmann Applanation Tonometry in Normal Corneas and in Eyes with Automated Lamellar and Penetrating Keratoplasty. Eye Lond. Engl. 2011, 25, 642–650. [Google Scholar] [CrossRef] [PubMed][Green Version]
- Lee, H.; Roberts, C.J.; Ambrósio, R.; Elsheikh, A.; Kang, D.S.Y.; Kim, T.-i. Effect of Accelerated Corneal Crosslinking Combined with Transepithelial Photorefractive Keratectomy on Dynamic Corneal Response Parameters and Biomechanically Corrected Intraocular Pressure Measured with a Dynamic Scheimpflug Analyzer in Healthy Myopic Patients. J. Cataract Refract. Surg. 2017, 43, 937–945. [Google Scholar]
- Chen, K.-J.; Joda, A.; Vinciguerra, R.; Eliasy, A.; Sefat, S.M.M.; Kook, D.; Geraghty, B.; Roberts, C.J.; Elsheikh, A. Clinical Evaluation of a New Correction Algorithm for Dynamic Scheimpflug Analyzer Tonometry before and after Laser in Situ Keratomileusis and Small-Incision Lenticule Extraction. J. Cataract Refract. Surg. 2018, 44, 581–588. [Google Scholar] [CrossRef]
- Tejwani, S.; Dinakaran, S.; Joshi, A.; Shetty, R.; Roy, A.S. A Cross-Sectional Study to Compare Intraocular Pressure Measurement by Sequential Use of Goldman Applanation Tonometry, Dynamic Contour Tonometry, Ocular Response Analyzer, and Corvis ST. Indian J. Ophthalmol. 2015, 63, 815–820. [Google Scholar] [CrossRef]
- Nakao, Y.; Kiuchi, Y.; Okumichi, H. Evaluation of Biomechanically Corrected Intraocular Pressure Using Corvis ST and Comparison of the Corvis ST, Noncontact Tonometer, and Goldmann Applanation Tonometer in Patients with Glaucoma. PLoS ONE 2020, 15, e0238395. [Google Scholar] [CrossRef]
- Hong, J.; Xu, J.; Wei, A.; Deng, S.X.; Cui, X.; Yu, X.; Sun, X. A New Tonometer—The Corvis ST Tonometer: Clinical Comparison with Noncontact and Goldmann Applanation Tonometers. Invest. Ophthalmol. Vis. Sci. 2013, 54, 659–665. [Google Scholar] [CrossRef]
- Vinciguerra, R.; Rehman, S.; Vallabh, N.A.; Batterbury, M.; Czanner, G.; Choudhary, A.; Cheeseman, R.; Elsheikh, A.; Willoughby, C.E. Corneal Biomechanics and Biomechanically Corrected Intraocular Pressure in Primary Open-Angle Glaucoma, Ocular Hypertension and Controls. Br. J. Ophthalmol. 2020, 104, 121–126. [Google Scholar] [CrossRef] [PubMed]
- Ramm, L.; Herber, R.; Spoerl, E.; Raiskup, F.; Pillunat, L.E.; Terai, N. Intraocular Pressure Measurement Using Ocular Response Analyzer, Dynamic Contour Tonometer, and Scheimpflug Analyzer Corvis ST. J. Ophthalmol. 2019, 2019, 3879651. [Google Scholar] [CrossRef] [PubMed]
- Ceruti, P.; Morbio, R.; Marraffa, M.; Marchini, G. Comparison of Dynamic Contour Tonometry and Goldmann Applanation Tonometry in Deep Lamellar and Penetrating Keratoplasties. Am. J. Ophthalmol. 2008, 145, 215–221. [Google Scholar] [CrossRef] [PubMed]
- Ito, T.; Ohguro, H.; Mamiya, K.; Ohguro, I.; Nakazawa, M. Effects of Antiglaucoma Drops on MMP and TIMP Balance in Conjunctival and Subconjunctival Tissue. Investig. Ophthalmol. Vis. Sci. 2006, 47, 823–830. [Google Scholar] [CrossRef]
- Pérez-Rico, C.; Gutiérrez-Ortíz, C.; González-Mesa, A.; Zandueta, A.M.; Moreno-Salgueiro, A.; Germain, F. Effect of Diabetes Mellitus on Corvis ST Measurement Process. Acta Ophthalmol. 2015, 93, e193–e198. [Google Scholar] [CrossRef]



| Age | 66.1 ± 12.2 years * |
| Sex | 15 females|10 males |
| Laterality | RE 12|LE 13 |
| CDVA | 0.74 ± 0.5 logMAR |
| Time since PK | 14.4 ± 13.5 months * |
| Mean ± SD (mmHg) | Range (mmHg) | |
|---|---|---|
| GAT-IOP | 15.9 ± 6.3 | 8.5–37.5 |
| iCare | 14.6 ± 4.2 | 10.0–25.8 |
| CVS-IOP | 17.4 ± 7.4 | 9.5–37.0 |
| bIOP | 15.7 ± 7.2 | 6.2–33.7 |
| Tau Value | z | p | |
|---|---|---|---|
| GAT-IOP | −0.1623782 | −11062 | 0.2686 |
| iCare | −0.02711864 | −0.18735 | 0.8514 |
| CVS-IOP | 0.05093386 | 0.35137 | 0.7253 |
| bIOP | −0.3905812 | −2.7136 | 0.006655 |
| GAT-IOP Minus | Tau Value | z | p |
|---|---|---|---|
| iCare | −0.2027039 | −14.043 | 0.1602 |
| CVS-IOP | −0.153324 | −1.0549 | 0.2915 |
| bIOP | 0.1720089 | 11.934 | 0.2327 |
Disclaimer/Publisher’s Note: The statements, opinions and data contained in all publications are solely those of the individual author(s) and contributor(s) and not of MDPI and/or the editor(s). MDPI and/or the editor(s) disclaim responsibility for any injury to people or property resulting from any ideas, methods, instructions or products referred to in the content. |
© 2024 by the authors. Licensee MDPI, Basel, Switzerland. This article is an open access article distributed under the terms and conditions of the Creative Commons Attribution (CC BY) license (https://creativecommons.org/licenses/by/4.0/).
Share and Cite
Tziola, T.; Tzamalis, A.; Koronis, S.; Garitsis, P.; Tsinopoulos, I.; Ziakas, N. Comparison of Intraocular Pressure Measurements Using Three Different Methods (Goldmann Applanation Tonometry (GAT), Corvis ST, and iCare) Following Penetrating Keratoplasty. J. Clin. Med. 2024, 13, 7046. https://doi.org/10.3390/jcm13237046
Tziola T, Tzamalis A, Koronis S, Garitsis P, Tsinopoulos I, Ziakas N. Comparison of Intraocular Pressure Measurements Using Three Different Methods (Goldmann Applanation Tonometry (GAT), Corvis ST, and iCare) Following Penetrating Keratoplasty. Journal of Clinical Medicine. 2024; 13(23):7046. https://doi.org/10.3390/jcm13237046
Chicago/Turabian StyleTziola, Tatiana, Argyrios Tzamalis, Spyridon Koronis, Panagiotis Garitsis, Ioannis Tsinopoulos, and Nikolaos Ziakas. 2024. "Comparison of Intraocular Pressure Measurements Using Three Different Methods (Goldmann Applanation Tonometry (GAT), Corvis ST, and iCare) Following Penetrating Keratoplasty" Journal of Clinical Medicine 13, no. 23: 7046. https://doi.org/10.3390/jcm13237046
APA StyleTziola, T., Tzamalis, A., Koronis, S., Garitsis, P., Tsinopoulos, I., & Ziakas, N. (2024). Comparison of Intraocular Pressure Measurements Using Three Different Methods (Goldmann Applanation Tonometry (GAT), Corvis ST, and iCare) Following Penetrating Keratoplasty. Journal of Clinical Medicine, 13(23), 7046. https://doi.org/10.3390/jcm13237046

