The Usefulness of Carotid Artery Doppler Measurement as a Predictor of Early Death in Sepsis Patients Admitted to the Emergency Department
Abstract
1. Introduction
2. Materials and Methods
2.1. Data Collection
2.2. Procedures
2.3. Data Analysis
3. Results
3.1. Characteristics of Subjects
3.2. Association Between Clinical Indices and the Duration of ICU Stay
3.3. Association Between Each of the Predictive Tools and Death Within 30 Days
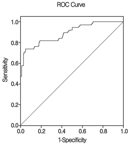
3.4. Comparison Between PSV in the ICA and Other Early Risk Assessment Tools on the Predictability of Death
3.5. Vascular Reactivity After Fluid Therapy
4. Discussion
5. Conclusions
Author Contributions
Funding
Institutional Review Board Statement
Informed Consent Statement
Data Availability Statement
Conflicts of Interest
References
- Marx, G. Assessing fluid responsiveness by stroke volume variation in mechanically ventilated patients with severe sepsis. Eur. J. Anaesthesiol. 2004, 12, 132–138. [Google Scholar] [CrossRef]
- Kenny, J.-E.S.; Barjaktarevic, I. Letter to the editor: Stroke volume is the key measure of fluid responsiveness. Crit. Care 2021, 25, 104. [Google Scholar] [CrossRef] [PubMed]
- Gale, B.M.; Hall, K.K. The Use of Patient Monitoring Systems to Improve Sepsis Recognition and Outcomes: A Systematic Review. J. Patient Saf. 2020, 16, S8–S11. [Google Scholar] [CrossRef] [PubMed]
- Suriani, I.; van Houte, J.; de Boer, E.C.; van Knippenberg, L.; Manzari, S.; Mischi, M.; Bouwman, R.A. Carotid Doppler ultrasound for non-invasive hemodynamic monitoring: A narrative review. Physiol. Meas. 2023, 43, 10TR01. [Google Scholar] [CrossRef]
- Arango-Granados, M.C.; Quintero-Ramírez, J.A.; Mejía-Herrera, F.; Henao-Cardona, L.M.; Muñoz-Patiño, V.; Bustamante-Cristancho, L.A. Correlation and concordance of carotid Doppler ultrasound and echocardiography with invasive cardiac output measurement in critically ill patients. Intensive Care Med. Exp. 2024, 12, 69. [Google Scholar] [CrossRef]
- Pan, P.; Xie, L.X. Surviving Sepsis Campaign guideline update: Problems and progress. Chin. J. Tuberc. Respir. Dis. 2024, 47, 901–905. [Google Scholar]
- Kaukonen, K.M.; Bailey, M.; Suzuki, S.; Pilcher, D.; Bellomo, R. Mortality related to severe sepsis and septic shock among critically ill patients in Australia and New Zealand, 2000–2012. JAMA 2014, 311, 1308–1316. [Google Scholar] [CrossRef]
- Fu, J.; Zhang, R.; Xu, M.; Wang, X.; Zhang, Y.; Feng, X.; Chang, L. Epidemiological analysis of in patients with sepsis in a large tertiary general hospital in Southwest China. Zhonghua Wei Zhong Bing Ji Jiu Yi Xue 2024, 36, 574–577. [Google Scholar]
- Williams, M.D.; Braun, L.A.; Cooper, L.M.; Johnston, J.; Weiss, R.V.; Qualy, R.L.; Linde-Zwirble, W. Hospitalized cancer patients with severe sepsis: Analysis of incidence, mortality, and associated costs of care. Crit. Care 2004, 8, 291–298. [Google Scholar] [CrossRef]
- Martin, G.S.; Mannino, D.M.; Eaton, S.; Moss, M. The epidemiology of sepsis in the United States from 1979 through 2000. N. Engl. J. Med. 2003, 348, 1546–1554. [Google Scholar] [CrossRef]
- Danai, P.A.; Sinha, S.; Moss, M.; Haber, M.J.; Martin, G.S. Seasonal variation in the epidemiology of sepsis. Crit. Care Med. 2007, 35, 410–415. [Google Scholar] [CrossRef] [PubMed]
- Movat, H.Z.; Burrowes, C.E.; Cybulsky, M.I.; Dinarello, C.A. Acute inflammation and a Shwartzman-like reaction induced by interleukin-1 and tumor necrosis factor. Synergistic action of the cytokines in the induction of inflammation and microvascular injury. Am. J. Pathol. 2010, 129, 463–476. [Google Scholar]
- Okusawa, S.; Gelfand, J.A.; Ikejima, T.; Connolly, R.J.; Dinarello, C.A. Interleukin 1 induces a shock-like state in rabbits. Synergism with tumor necrosis factor and the effect of cyclooxygenase inhibition. J. Clin. Investig. 1988, 81, 1162–1172. [Google Scholar] [CrossRef] [PubMed]
- Sagy, M.; Al-Qaqaa, Y.; Kim, P. Definitions and pathophysiology of sepsis. Curr. Probl. Pediatr. Adolesc. Health Care 2013, 43, 260–263. [Google Scholar] [CrossRef]
- Gupta, S.; Sakhuja, A.; Kumar, G.; McGrath, E.; Nanchal, R.S.; Kashani, K.B. Culture-Negative Severe Sepsis: Nationwide Trends and Outcomes. Chest 2016, 150, 1251–1259. [Google Scholar] [CrossRef]
- Gu, X.; Zhou, F.; Wang, Y.; Fan, G.; Cao, B. Respiratory viral sepsis: Epidemiology, pathophysiology, diagnosis, and treatment. Eur. Respir. Rev. 2020, 157, 29. [Google Scholar] [CrossRef]
- Hunt, A. Sepsis: An overview of the signs, symptoms, diagnosis, treatment, and pathophysiology. Emerg. Nurse 2019, 27, 32–41. [Google Scholar] [CrossRef]
- Napolitano, L.M. Sepsis 2018: Definitions and Guideline Changes. Surg. Infect. 2018, 19, 117–125. [Google Scholar] [CrossRef]
- Chiu, C.; Legrand, M. Epidemiology of sepsis and septic shock. Curr. Opin. Anaesthesiol. 2021, 34, 71–76. [Google Scholar] [CrossRef]
- Evans, L.; Rhodes, A.; Alhazzani, W.; Antonelli, M.; Coopersmith, C.M.; French, C.; Machado, F.R.; Mcintyre, L.; Ostermann, M.; Prescott, H.C.; et al. Surviving sepsis campaign: International guidelines for the management of sepsis and septic shock 2021. Crit. Care Med. 2021, 47, 1181–1247. [Google Scholar]
- Oduncu, A.F.; Kıyan, G.S.; Yalçınlı, S. Comparison of qSOFA, SIRS, and NEWS scoring systems for diagnosis, mortality, and morbidity of sepsis in the emergency department. Am. J. Emerg. Med. 2021, 48, 54–59. [Google Scholar] [CrossRef] [PubMed]
- Shah, T.; Sterk, E.; Rech, M.A. Emergency department sepsis screening tool decreases the time to antibiotics in patients with sepsis. Am. J. Emerg. Med. 2018, 36, 1745–1748. [Google Scholar] [CrossRef]
- Kim, J.; Kim, K.; Lee, H.; Ahn, S. Epidemiology of sepsis in Korea: A population-based study of incidence, mortality, cost, and risk factors for death in sepsis. Clin. Exp. Emerg. Med. 2019, 6, 49. [Google Scholar] [CrossRef] [PubMed]
- Gavelli, F.; Castello, L.M.; Avanzi, G.C. Management of sepsis and septic shock in the emergency department. Intern. Emerg. Med. 2021, 16, 1649–1661. [Google Scholar] [CrossRef] [PubMed]
- de Azevedo, D.S.; Salinet, A.S.M.; de Lima Oliveira, M.; Teixeira, M.J.; Bor-Seng-Shu, E.; de Carvalho Nogueira, R. Cerebral hemodynamics in sepsis assessed by transcranial Doppler: A systematic review and meta-analysis. J. Clin. Monit. Comput. 2017, 31, 1123–1132. [Google Scholar] [CrossRef]
- Rasulo, F.; De Peri, E.; Lavinio, A. Transcranial Doppler ultrasonography in intensive care. Eur. J. Anaesthesiol. 2008, 25, 167–173. [Google Scholar] [CrossRef]
- Peake, S.L.; Delaney, A.; Bailey, M.; Bellomo, R.; Cameron, P.A.; Cooper, D.J.; Higgins, A.M.; Holdgate, A.; Howe, B.D.; Webb, S.A.; et al. Goal-directed resuscitation for patients with early septic shock. N. Engl. J. Med. 2014, 371, 1496–1506. [Google Scholar]
- Kenny, J.S.; Barjaktarevic, I.; Mackenzie, D.C.; Elfarnawany, M.; Yang, Z.; Eibl, A.M.; Eibl, J.K.; Kim, C.H.; Johnson, B.D. Carotid Doppler ultrasonography correlates with stroke volume in a human model of hypovolaemia and resuscitation: Analysis of 48 570 cardiac cycles. Br. J. Anaesth. 2021, 127, e60–e63. [Google Scholar] [CrossRef]
- Schoenfeld, D.A. The sample-size formula for the proportional-hazards regression model. Biometrics 1983, 39, 499–503. [Google Scholar] [CrossRef]
- Sedaghat, S.; van Sloten, T.T.; Laurent, S.; London, G.M.; Pannier, B.; Kavousi, M.; Mattace-Raso, F.; Franco, O.H.; Boutouyrie, P.; Ikram, M.A.; et al. Common Carotid Artery Diameter and Risk of Cardiovascular Events and Mortality: Pooled Analyses of Four Cohort Studies. Hypertension 2018, 72, 85–92. [Google Scholar] [CrossRef]
- Rasooly, D.; Peloso, G.M. Two-Sample Multivariable Mendelian Randomization Analysis Using R. Curr. Protoc. 2021, 1, e335. [Google Scholar] [CrossRef] [PubMed]
- Aaslid, R.; Markwalder, T.M.; Nornes, H. Noninvasive transcranial Doppler ultrasound recording of flow velocity in basal cerebral arteries. J. Neurosurg. 1982, 57, 769–774. [Google Scholar] [CrossRef] [PubMed]
- Deng, K.; Xing, J.; Xu, G.; Ma, R.; Jin, B.; Leng, Z.; Wan, X.; Xu, J.; Shi, X.; Qiao, J.; et al. Novel multifactor predictive model for postoperative survival in gallbladder cancer: A multi-center study. World J. Surg. Oncol. 2024, 1, 263. [Google Scholar] [CrossRef] [PubMed]
- Strosberg, D.S.; Haurani, M.J.; Satiani, B.; Go, M.R. Common carotid artery end-diastolic velocity and acceleration time can predict the degree of intra carotid artery stenosis. J. Vasc. Surg. 2017, 66, 226–231. [Google Scholar] [CrossRef][Green Version]
- Kenny, J.S.; Barjaktarevic, I.; Mackenzie, D.C.; Rola, P.; Haycock, K.; Eibl, A.M.; Eibl, J.K. Inferring the Frank-Starling Curve from Simultaneous Venous and Arterial Doppler: Measurements from a wireless, wearable ultrasound patch. Front. Med. Technol. 2021, 3, 16. [Google Scholar] [CrossRef]
- Choi, Y.J.; Jung, S.C.; Lee, D.H. Vessel wall imaging of the intracranial and cervical carotid arteries. J. Stroke 2015, 17, 238. [Google Scholar] [CrossRef]
- Czarny, M.J.; Resar, J.R. Diagnosis and management of valvular aortic stenosis. Clin. Med. Insights Cardiol. 2014, 8, 15716. [Google Scholar] [CrossRef]




| Variables | Values (N (%)) or Mean ± SD |
|---|---|
| Age (years) | 71.3 ± 9.7 |
| Gender | |
| Male | 623 (60.7) |
| Female | 403 (39.3) |
| Pharmacy history | |
| Yes | 779 (75.9) |
| No | 247 (24.1) |
| Infection sites (multiple selections, if any) | |
| Respiratory | 656 (63.9) |
| Genitourinary | 235 (22.9) |
| Gastrointestinal | 102 (9.9) |
| Skin and soft tissue | 31 (3) |
| Others site | 2 (0.3) |
| Insertion Intubation | |
| Yes | 892 (86.9) |
| No | 134 (13.1) |
| Death (<30 days) | |
| Yes (death < 30 days) | 532 (51.8) |
| No (death ≥ 30 days) | 261 (25.4) |
| Survive | 233 (22.8) |
| Korean triage and acuity scale (points) | 2.2 ± 0.6 |
| Quick SOFA criteria | |
| RR ≥ 22 (per/min) | 913 (88.9) |
| SBP ≤ 100 (mmHg) | 1006 (98.1) |
| GCS < 14 (points) | 719 (70.1) |
| Pre-ED antibiotics (≤12 h) | 102 (10) |
| ABGA | |
| PO2 (mmHg) | 65.3 ± 32.2 |
| PaCO2 (mmHg) | 49.2 ± 21.1 |
| Mean base excess in extracellular fluid (mmol/L) | −6.3 ± 2.2 |
| PETCO2 (mmHg) | 31.2 ± 12.2 |
| Biomarkers for sepsis | |
| CRP (mg/dL) | 10 (5–18) |
| Procalcitonin (ng/mL) | 3.2 (0.8–9.7) |
| Lactate (mmol/L) | 3.8 (1.1–5.9) |
| Body temperature (°C) | 38.8 ± 0.6 |
| Systolic blood pressure (mmHg) | 90.2 ± 12.1 |
| Diastolic blood pressure (mmHg) | 32.1 ± 10.2 |
| qSOFA score (points) | 8 (5–11) |
| APACHE II score (points) | 32.83 ± 8.23 |
| Compliance with the SSC bundle | |
| Fluid resuscitation | 997 (97) |
| Antibiotics | 1023 (99.7) |
| Blood culture | 1024 (99.8) |
| Lactate levels ≥2 times | 992 (96.6) |
| Outcomes | |
| Duration of MV use (days) | 7.36 ± 6.62 |
| ICU length of stay (days) | 10.57 ± 3.16 |
| Hospital length of stay (days) | 17.43 ± 11.33 |
| Variable | Period of ICU Stay | |
|---|---|---|
| OR (95% CI) | p-Value | |
| Age | 1.006 (0.991–1.021) | 0.432 |
| Gender | 1.508 (0.773–2.942) | 0.228 |
| Pharmacy history | 0.979 (0.965–0.994) | <0.001 |
| Infection of respiratory | 2.044 (1.156–3.617) | <0.001 |
| Insertion Intubation | 1.980 (1.037–3.779) | 0.038 |
| Korean triage acuity scale (points) | 1.008 (0.996–1.021) | 0.279 |
| GCS < 14 (points) | 5.693 (3.009–10.770) | <0.001 |
| Pre-ED antibiotics (≤12 h) | 0.990 (0.947–1.036) | 0.673 |
| ABGA | ||
| PO2 (mmHg) | 1.326 (0.956–1.838) | 0.091 |
| PaCO2 (mmHg) | 0.451 (0.295–0.689) | <0.001 |
| Mean base excess in extracellular fluid (mmol/L) | 0.903 (0.544–1.497) | 0.692 |
| ETCO2 (mmHg) | 0.850 (0.784–0.921) | <0.001 |
| Biomarkers for sepsis | ||
| CRP (mg/dL) | 0.990 (0.947–1.036) | 0.673 |
| Procalcitonin (ng/mL) | 0.917 (0.105–7.999) | 0.938 |
| Lactate (mmol/L) | 1.308 (1.187–1.442) | <0.001 |
| Body temperature (°C) | 0.297 (0.014–6.404) | 0.438 |
| Systolic blood pressure (mmHg) | 0.984 (0.975–0.993) | <0.001 |
| Diastolic blood pressure (mmHg) | 0.979 (0.965–0.994) | 0.006 |
| qSOFA score (point) | 1.736 (1.526–1.974) | <0.001 |
| APACHE II score (point) | 1.150 (1.101–1.202) | <0.001 |
| PSV in ICA (cm/s) | 71.2 (65.232–77.232) | <0.001 |
| Vmean (cm/s) | 67.2 (61.102–75.511) | 0.279 |
| Diameter of ICA (cm) | 5.580 (4.551–6.133) | 0.395 |
| Variables | Period of ICU Stay | |
|---|---|---|
| OR(95% CI) | p-Value | |
| Pharmacy history | 1.006 (0.991–1.021) | 0.432 |
| Infection of respiratory | 1.508 (0.773–2.942) | 0.228 |
| Insertion Intubation | 1.074 (0.209–5.524) | 0.932 |
| GCS < 14 (points) | 2.071 (0.915–4.686) | 0.081 |
| PACO2 (mmHg) | 1.008 (0.996–1.021) | 0.279 |
| ETCO2 (mmHg) | 1.014 (0.903–1.140) | 0.81 |
| qSOFA score (points) | 1.019 (1.000–1.038) | <0.048 |
| Systolic blood pressure (mmHg) | 1.171 (0.781–1.755) | 0.445 |
| Diastolic blood pressure (mmHg) | 0.567 (0.061–5.277) | 0.618 |
| APACHE II score | 1.499 (0.641–3.506) | 0.35 |
| PSV in ICA (cm/s) | 1.078 (1.042–1.115) | <0.001 |
| Variables | Hazard Ratio (95% CI) | p-Value |
|---|---|---|
| PSV in ICA (cm/s) | 1.020 (1.004–1.036) | <0.001 |
| qSOFA (points) | 3.871 (2.526–5.931) | <0.001 |
| SIRS (points) | 1.002 (0.995–1.009) | 0.021 |
| APACHE II score (points) | 1.150 (1.113–1.187) | 0.216 |
| GCS < 14 (points) | 05.633 (2.948–10.762) | 0.491 |
| Lactate (mmol/L) | 1.233 (1.159–1.313) | 0.08 |
| ETCO2 (mmHg) | 0.854 (0.791–0.921) | 0.187 |
| Variables | Harrell’s C-Index (95% CI) | p-Value | p-Value (vs. PSV) | p-Value (vs. qSOFA) | p-Value (vs. SIRS) |
|---|---|---|---|---|---|
| SIRS | 0.691 (0.589–0.793) | <0.001 | Reference | 0.791 | 0.079 |
| qSOFA | 0.796 (0.729–0.863) | <0.001 | 0.791 | Reference | 0.091 |
| PSV in ICA | 0.862 (0.813–0.911) | 0.002 | 0.079 | 0.091 | Reference |
| Variable | Initial Phase | After 2 h Phase (After Fluid Therapy) | p-Value |
|---|---|---|---|
| PSV in ICA (cm/s) | 125 ± 34.21 | 101 m/s ± 21.12 | <0.001 |
| Diameter of ICA (cm) | 3.72 ± 0.23 | 4.72 ± 1.23 | <0.001 |
Disclaimer/Publisher’s Note: The statements, opinions and data contained in all publications are solely those of the individual author(s) and contributor(s) and not of MDPI and/or the editor(s). MDPI and/or the editor(s) disclaim responsibility for any injury to people or property resulting from any ideas, methods, instructions or products referred to in the content. |
© 2024 by the authors. Licensee MDPI, Basel, Switzerland. This article is an open access article distributed under the terms and conditions of the Creative Commons Attribution (CC BY) license (https://creativecommons.org/licenses/by/4.0/).
Share and Cite
Kim, S.-I.; Jang, Y.-D.; Ji, J.-G.; Kim, Y.-S.; Kang, I.-H.; Kim, S.-J.; Han, S.-M.; Choi, M.-S. The Usefulness of Carotid Artery Doppler Measurement as a Predictor of Early Death in Sepsis Patients Admitted to the Emergency Department. J. Clin. Med. 2024, 13, 6912. https://doi.org/10.3390/jcm13226912
Kim S-I, Jang Y-D, Ji J-G, Kim Y-S, Kang I-H, Kim S-J, Han S-M, Choi M-S. The Usefulness of Carotid Artery Doppler Measurement as a Predictor of Early Death in Sepsis Patients Admitted to the Emergency Department. Journal of Clinical Medicine. 2024; 13(22):6912. https://doi.org/10.3390/jcm13226912
Chicago/Turabian StyleKim, Su-Il, Yun-Deok Jang, Jae-Gu Ji, Yong-Seok Kim, In-Hye Kang, Seong-Ju Kim, Seong-Min Han, and Min-Seok Choi. 2024. "The Usefulness of Carotid Artery Doppler Measurement as a Predictor of Early Death in Sepsis Patients Admitted to the Emergency Department" Journal of Clinical Medicine 13, no. 22: 6912. https://doi.org/10.3390/jcm13226912
APA StyleKim, S.-I., Jang, Y.-D., Ji, J.-G., Kim, Y.-S., Kang, I.-H., Kim, S.-J., Han, S.-M., & Choi, M.-S. (2024). The Usefulness of Carotid Artery Doppler Measurement as a Predictor of Early Death in Sepsis Patients Admitted to the Emergency Department. Journal of Clinical Medicine, 13(22), 6912. https://doi.org/10.3390/jcm13226912

