The Interaction Effect of Age, Initial Rhythm, and Location on Outcomes After Out-of-Hospital Cardiac Arrest: A Retrospective Cohort Study
Abstract
1. Introduction
2. Materials and Methods
2.1. Study Design and Setting
2.2. Study Population
2.3. Data Analysis
3. Results
3.1. Subsection Feature-Wise Contrasts in the Context of the Variable Emergency Location and Type of Initial Rhythm
3.2. Analysis of the Odds for ROSC in the Context of Incidence Location and Initial Rhythm—Insights from Multi-Factor-Adjusted Logistic Regression Models (No Interactions Analyzed)
3.3. Exploring the Three-Way Modulation of the Odds of ROSC by Sex, Location, and Initial Rhythm—Insights from a Multivariate, Full Factorial Model (Interactions up to Third Grade Analyzed)
3.3.1. Emergency Location as an Analyzed Effect in Variable Conditions Driven by CA Mechanism and Sex
3.3.2. CA Mechanism as an Analyzed Effect in Variable Conditions Driven by the Emergency Location and Sex
3.3.3. Sex as an Analyzed Effect in Variable Conditions Driven by the Emergency Location and CA Mechanism
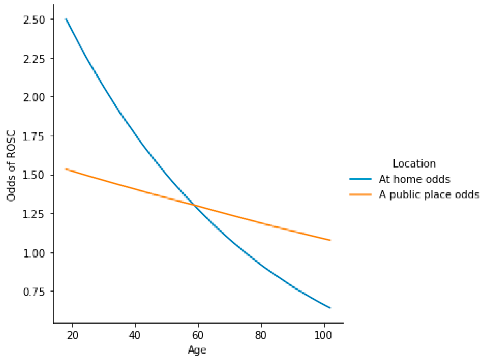
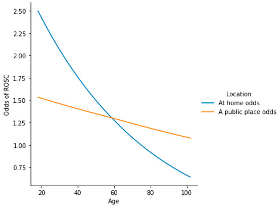
3.4. How Age and Location, Together, Modulate the Odds of ROSC—Insights into Their 3rd-Degree Interaction with an Initial Rhythm
4. Discussion
5. Conclusions
Supplementary Materials
Author Contributions
Funding
Institutional Review Board Statement
Informed Consent Statement
Data Availability Statement
Acknowledgments
Conflicts of Interest
References
- Myat, A.; Song, K.-J.; Rea, T. Out-of-hospital cardiac arrest: Current concepts. Lancet 2018, 391, 970–979. [Google Scholar] [CrossRef] [PubMed]
- Gräsner, J.-T.; Herlitz, J.; Tjelmeland, I.B.M.; Wnent, J.; Masterson, S.; Lilja, G.; Bein, B.; Böttiger, B.W.; Rosell-Ortiz, F.; Nolan, J.P.; et al. European Resuscitation Council Guidelines 2021: Epidemiology of cardiac arrest in Europe. Resuscitation 2021, 161, 61–79. [Google Scholar] [CrossRef] [PubMed]
- Nadolny, K.; Zyśko, D.; Obremska, M.; Wierzbik-Strońska, M.; Ładny, J.R.; Podgórski, M.; Gałązkowski, R. Analysis of out-of-hospital cardiac arrest in Poland in a 1-year period: Data from the POL-OHCA registry. Pol. Heart J. Kardiologia Pol. 2020, 78, 404–411. [Google Scholar] [CrossRef] [PubMed]
- Olasveengen, T.M.; Semeraro, F.; Ristagno, G.; Castren, M.; Handley, A.; Kuzovlev, A.; Monsieurs, K.G.; Raffay, V.; Smyth, M.; Soar, J.; et al. European Resuscitation Council Guidelines 2021: Basic Life Support. Resuscitation 2021, 161, 98–114. [Google Scholar] [CrossRef] [PubMed]
- Tsao, C.W.; Aday, A.W.; Almarzooq, Z.I.; Anderson, C.A.M.; Arora, P.; Avery, C.L.; Baker-Smith, C.M.; Beaton, A.Z.; Boehme, A.K.; Buxton, A.E.; et al. Heart Disease and Stroke Statistics-2023 Update: A Report from the American Heart Association. Circulation 2023, 147, e93–e621. [Google Scholar] [CrossRef] [PubMed]
- Yan, S.; Gan, Y.; Jiang, N.; Wang, R.; Chen, Y.; Luo, Z.; Zong, Q.; Chen, S.; Lv, C. The global survival rate among adult out-of-hospital cardiac arrest patients who received cardiopulmonary resuscitation: A systematic review and meta-analysis. Crit. Care 2020, 24, 61. [Google Scholar] [CrossRef]
- Chen, Y.; Yue, P.; Wu, Y.; Li, J.; Lei, Y.; Gao, D.; Liu, J.; Han, P. Trend in survival after out-of-hospital cardiac arrest and its relationship with bystander cardiopulmonary resuscitation: A six-year prospective observational study in Beijing. BMC Cardiovasc. Disord. 2021, 21, 625. [Google Scholar] [CrossRef]
- Deri, Y.; Berzon, B.; West, D.; Machloof, M.; Strugo, R.; Kaplan, T.; Soffer, S. The Impact of Prehospital and Hospital Care on Clinical Outcomes in Out-of-Hospital Cardiac Arrest. J. Clin. Med. 2022, 11, 6851. [Google Scholar] [CrossRef]
- Oh, Y.T.; Ahn, C. Characteristics and Treatment Outcomes of Out-of-Hospital Cardiac Arrests Occurring in Public Places: A National Population-Based Observational Study. J. Pers. Med. 2023, 13, 1191. [Google Scholar] [CrossRef]
- Holmstrom, L.; Chugh, H.; Uy-Evanado, A.; Salvucci, A.; Jui, J.; Reinier, K.; Chugh, S.S. Determinants of survival in sudden cardiac arrest manifesting with pulseless electrical activity. Resuscitation 2023, 187, 109798. [Google Scholar] [CrossRef]
- Sasson, C.; Rogers, M.A.M.; Dahl, J.; Kellermann, A.L. Predictors of Survival From Out-of-Hospital Cardiac Arrest. Circ. Cardiovasc. Qual. Outcomes 2010, 3, 63–81. [Google Scholar] [CrossRef] [PubMed]
- Rzońca, P.; Gałązkowski, R.; Panczyk, M.; Gotlib, J. Polish Helicopter Emergency Medical Service (HEMS) Response to Out-of-Hospital Cardiac Arrest (OHCA): A Retrospective Study. Med. Sci. Monit. Int. Med. J. Exp. Clin. Res. 2018, 24, 6053–6058. [Google Scholar] [CrossRef] [PubMed]
- Telec, W.; Baszko, A.; Dąbrowski, M.; Dąbrowska, A.; Sip, M.; Puslecki, M.; Kłosiewicz, T.; Potyrała, P.; Jurczyk, W.; Maciejewski, A.; et al. Automated external defibrillator use in public places: A study of acquisition time. Kardiol. Pol. 2018, 76, 181–185. [Google Scholar] [CrossRef] [PubMed]
- Odom, E.; Nakajima, Y.; Vellano, K.; Al-Araji, R.; Coleman King, S.; Zhang, Z.; Merritt, R.; McNally, B. Trends in EMS-attended out-of-hospital cardiac arrest survival, United States 2015-2019. Resuscitation 2022, 179, 88–93. [Google Scholar] [CrossRef] [PubMed]
- Bylow, H.; Rawshani, A.; Claesson, A.; Lepp, M.; Herlitz, J. Characteristics and outcome after out-of-hospital cardiac arrest with the emphasis on workplaces: An observational study from the Swedish Registry of Cardiopulmonary Resuscitation. Resusc. Plus 2021, 5, 100090. [Google Scholar] [CrossRef]
- Fehler, P.; Lewandowski, L.; Uchmanowicz, I.; Smereka, J.; Czapla, M. Does obesity influence the return of spontaneous circulation among out-of-hospital cardiac arrest patients? A retrospective cohort study. Disaster Emerg. Med. J. 2023, 9, 42–50. [Google Scholar] [CrossRef]
- Han, M.X.; Yeo, A.N.W.T.; Ong, M.E.H.; Smith, K.; Lim, Y.L.; Lin, N.H.; Tan, B.; Arulanandam, S.; Ho, A.F.W.; Ng, Q.X. Cardiac Arrest Occurring in High-Rise Buildings: A Scoping Review. J. Clin. Med. 2021, 10, 4684. [Google Scholar] [CrossRef]
- Nerla, R.; Webb, I.; MacCarthy, P. Out-of-hospital cardiac arrest: Contemporary management and future perspectives. Heart 2015, 101, 1505–1516. [Google Scholar] [CrossRef]
- Fordyce, C.B.; Hansen, C.M.; Kragholm, K.; Dupre, M.E.; Jollis, J.G.; Roettig, M.L.; Becker, L.B.; Hansen, S.M.; Hinohara, T.T.; Corbett, C.C.; et al. Association of Public Health Initiatives With Outcomes for Out-of-Hospital Cardiac Arrest at Home and in Public Locations. JAMA Cardiol. 2017, 2, 1226–1235. [Google Scholar] [CrossRef]
- Folke, F.; Shahriari, P.; Hansen, C.M.; Gregers, M.C.T. Public access defibrillation: Challenges and new solutions. Curr. Opin. Crit. Care 2023, 29, 168–174. [Google Scholar] [CrossRef]
- Aldridge, E.S.; Perera, N.; Ball, S.; Birnie, T.; Morgan, A.; Whiteside, A.; Bray, J.; Finn, J. Barriers to CPR initiation and continuation during the emergency call relating to out-of-hospital cardiac arrest: A descriptive cohort study. Resuscitation 2024, 195, 110104. [Google Scholar] [CrossRef] [PubMed]
- Nguyen, D.D.; Spertus, J.A.; Kennedy, K.F.; Gupta, K.; Uzendu, A.I.; McNally, B.F.; Chan, P.S. Association Between Delays in Time to Bystander CPR and Survival for Witnessed Cardiac Arrest in the United States. Circ. Cardiovasc. Qual. Outcomes 2024, 17, e010116. [Google Scholar] [CrossRef] [PubMed]
- Roy Chowdhury, S.; Anantharaman, V. Public attitudes towards cardiopulmonary resuscitation training and performance in Singapore. Int. J. Emerg. Med. 2021, 14, 54. [Google Scholar] [CrossRef] [PubMed]
- Dehghan-Nayeri, N.; Nouri-Sari, H.; Bahramnezhad, F.; Hajibabaee, F.; Senmar, M. Barriers and facilitators to cardiopulmonary resuscitation within pre-hospital emergency medical services: A qualitative study. BMC Emerg. Med. 2021, 21, 120. [Google Scholar] [CrossRef] [PubMed]
- Okubo, M.; Atkinson, E.J.; Hess, E.P.; White, R.D. Improving trend in ventricular fibrillation/pulseless ventricular tachycardia out-of-hospital cardiac arrest in Rochester, Minnesota: A 26-year observational study from 1991 to 2016. Resuscitation 2017, 120, 31–37. [Google Scholar] [CrossRef]
- Kato, Y.; Miura, S.; Hirayama, A.; Izumi, C.; Yasuda, S.; Tahara, Y.; Yonemoto, N.; Nonogi, H.; Nagao, K.; Ikeda, T.; et al. Comparison of clinical outcomes between patients with pulseless-ventricular tachycardia and ventricular fibrillation in out-of-hospital cardiac arrest. Resusc. Plus 2021, 6, 100107. [Google Scholar] [CrossRef]
- Daya, M.R.; Schmicker, R.H.; Zive, D.M.; Rea, T.D.; Nichol, G.; Buick, J.E.; Brooks, S.; Christenson, J.; MacPhee, R.; Craig, A.; et al. Out-of-hospital cardiac arrest survival improving over time: Results from the Resuscitation Outcomes Consortium (ROC). Resuscitation 2015, 91, 108–115. [Google Scholar] [CrossRef]
- Peberdy, M.A.; Kaye, W.; Ornato, J.P.; Larkin, G.L.; Nadkarni, V.; Mancini, M.E.; Berg, R.A.; Nichol, G.; Lane-Trultt, T. Cardiopulmonary resuscitation of adults in the hospital: A report of 14720 cardiac arrests from the National Registry of Cardiopulmonary Resuscitation. Resuscitation 2003, 58, 297–308. [Google Scholar] [CrossRef]
- Czapla, M.; Zielińska, M.; Kubica-Cielińska, A.; Diakowska, D.; Quinn, T.; Karniej, P. Factors associated with return of spontaneous circulation after out-of-hospital cardiac arrest in Poland: A one-year retrospective study. BMC Cardiovasc. Disord. 2020, 20, 288. [Google Scholar] [CrossRef]
- Akahane, M.; Tanabe, S.; Koike, S.; Ogawa, T.; Horiguchi, H.; Yasunaga, H.; Imamura, T. Elderly out-of-hospital cardiac arrest has worse outcomes with a family bystander than a non-family bystander. Int. J. Emerg. Med. 2012, 5, 41. [Google Scholar] [CrossRef]
- Akhter-Khan, S.C.; Prina, M.; Wong, G.H.-Y.; Mayston, R.; Li, L. Understanding and Addressing Older Adults’ Loneliness: The Social Relationship Expectations Framework. Perspect. Psychol. Sci. 2023, 18, 762–777. [Google Scholar] [CrossRef] [PubMed]
- Goodwin, G.; Picache, D.; Gaeto, N.; Louie, B.J.; Zeid, T.; Aung, P.P.; Sahni, S. Gender Disparities in Out-of-hospital Cardiac Arrests. Cureus 2018, 10, e3233. [Google Scholar] [CrossRef] [PubMed]
- Rob, D.; Kavalkova, P.; Smalcova, J.; Franek, O.; Smid, O.; Komarek, A.; Pisinger, M.; Belohlavek, J. Gender differences and survival after out of hospital cardiac arrest. Am. J. Emerg. Med. 2022, 55, 27–31. [Google Scholar] [CrossRef] [PubMed]
- Feng, D.; Li, C.; Yang, X.; Wang, L. Gender differences and survival after an out-of-hospital cardiac arrest: A systematic review and meta-analysis. Intern. Emerg. Med. 2021, 16, 765–775. [Google Scholar] [CrossRef]
- Jarman, A.F.; Mumma, B.E.; Perman, S.M.; Kotini-Shah, P.; McGregor, A.J. When the Female Heart Stops: Sex and Gender Differences in Out-of-Hospital Cardiac Arrest Epidemiology and Resuscitation. Clin. Ther. 2019, 41, 1013–1019. [Google Scholar] [CrossRef]
- Szabó, Z.; Ujvárosy, D.; Ötvös, T.; Sebestyén, V.; Nánási, P.P. Handling of Ventricular Fibrillation in the Emergency Setting. Front. Pharmacol. 2020, 10, 1640. [Google Scholar] [CrossRef]
- Shin, J.; Chocron, R.; Rea, T.; Kudenchuk, P.; McNally, B.; Eisenberg, M. Merits of expanding the Utstein case definition for out of hospital cardiac arrest. Resuscitation 2021, 158, 88–93. [Google Scholar] [CrossRef]
- Husain, A.A.; Rai, U.; Sarkar, A.K.; Chandrasekhar, V.; Hashmi, M.F. Out-of-Hospital Cardiac Arrest during the COVID-19 Pandemic: A Systematic Review. Healthc. Basel Switz. 2023, 11, 189. [Google Scholar] [CrossRef]
- Lim, S.L.; Toh, C.; Fook-Chong, S.; Yazid, M.; Shahidah, N.; Ng, Q.X.; Ho, A.F.; Arulanandam, S.; Leong, B.S.; White, A.E.; et al. Impact of COVID-19 on barriers to dispatcher-assisted cardiopulmonary resuscitation in adult out-of-hospital cardiac arrests in Singapore. Resuscitation 2022, 181, 40–47. [Google Scholar] [CrossRef]
- Kim, J.H.; Ahn, C.; Park, Y.; Won, M. Comparison of out-of-hospital cardiac arrests during the COVID-19 pandemic with those before the pandemic: An updated systematic review and meta-analysis. Front. Public Health 2023, 11, 1180511. [Google Scholar] [CrossRef]
- Baldi, E.; Sechi, G.M.; Mare, C.; Canevari, F.; Brancaglione, A.; Primi, R.; Klersy, C.; Palo, A.; Contri, E.; Ronchi, V.; et al. COVID-19 kills at home: The close relationship between the epidemic and the increase of out-of-hospital cardiac arrests. Eur. Heart J. 2020, 41, 3045–3054. [Google Scholar] [CrossRef] [PubMed]
- STROBE. Available online: https://www.strobe-statement.org/ (accessed on 15 July 2024).





| Parameter | Location: at Home | Location: a Public Place | Total | p | |
|---|---|---|---|---|---|
| (n = 27,287) | (n = 6349) | (n = 33,636) | |||
| Age [years] | Mean (SD) | 69.30 (14.97) | 61.29 (14.90) | 61.29 (14.90) | <0.001 |
| Median (quartiles) | 70.00 (61.00–81.00) | 63.00 (51.00–71.00) | 63.00 (51.00–71.00) | ||
| Range | 18.00–105.00 | 18.00–102.00 | 18.00–102.00 | ||
| Sex | Male | 17,517 (64.20%) | 4117 (64.84%) | 21,634 (64.31%) | 0.336 |
| Initial rhythm | VF/pVT | 1902 (6.97%) | 957 (15.07%) | 2859 (8.50%) | <0.001 |
| Obesity | Yes | 879 (3.22%) | 186 (2.93%) | 1065 (3.17%) | 0.231 |
| DM | Yes | 4409 (16.16%) | 937 (14.76%) | 5346 (15.89%) | 0.006 |
| CS | Yes | 1465 (5.37%) | 348 (5.48%) | 1813 (5.39%) | 0.722 |
| HT | Yes | 6082 (22.29%) | 1378 (21.70%) | 7460 (22.18%) | 0.310 |
| HF | Yes | 2280 (8.36%) | 490 (7.72%) | 2770 (8.24%) | 0.095 |
| ACS | Yes | 1038 (3.80%) | 304 (4.79%) | 1342 (3.99%) | <0.001 |
| ROSC | Yes | 8604 (31.53%) | 3435 (54.10%) | 12,039 (35.79%) | <0.001 |
| Parameter | VF/pVT (n = 1902) | Asystole/PEA (n = 25,385) | p | |
|---|---|---|---|---|
| Location: at home (n = 27,287) | ||||
| Age [years] | Mean (SD) | 65.68 (13.63) | 69.57 (15.03)190 | <0.001 |
| Median (quartiles) | 67.00 (58.00–74.00) | 71.00 (62.00–81.00) | ||
| Range | 19.00–99.00 | 18.00–105.00 | ||
| Sex | Male | 1458 (76.66%) | 16,059 (63.27%) | <0.001 |
| Obesity | Yes | 44 (2.31%) | 835 (3.29%) | 0.020 |
| DM | Yes | 217 (11.41%) | 4192 (16.52%) | <0.001 |
| CS | Yes | 86 (4.52%) | 1379 (5.43%) | 0.089 |
| HT | Yes | 363 (19.09%) | 5719 (22.53%) | <0.001 |
| HF | Yes | 122 (6.41%) | 2158 (8.50%) | 0.002 |
| ACS | Yes | 217 (11.41%) | 821 (3.23%) | <0.001 |
| ROSC | Yes | 1168 (61.41%) | 7436 (29.30%) | <0.001 |
| Location: a public place (n = 6349) | ||||
| Age [years] | Mean (SD) | 61.28 (12.87) | 61.29 (15.23) | 0.977 |
| Median (quartiles) | 62.00 (54.00–70.00) | 63.00 (50.00–71.00) | ||
| Range | 18.00–97.00 | 18.00–102.00 | ||
| Sex | Male | 745 (77.85%) | 3372 (62.54%) | <0.001 |
| Obesity | Yes | 19 (1.99%) | 167 (3.10%) | 0.060 |
| DM | Yes | 97 (10.14%) | 840 (15.58%) | <0.001 |
| CS | Yes | 41 (4.28%) | 307 (5.69%) | 0.078 |
| HT | Yes | 153 (15.99%) | 1225 (22.72%) | <0.001 |
| HF | Yes | 55 (5.75%) | 435 (8.07%) | 0.013 |
| ACS | Yes | 126 (13.17%) | 178 (3.30%) | <0.001 |
| ROSC | Yes | 759 (79.31%) | 2676 (49.63%) | <0.001 |
| Model | Feature | Category | Location: at Home | Location: a Public Place | ||
|---|---|---|---|---|---|---|
| OR | p | OR | p | |||
| Initial rhythm only | Initial rhythm | VF/pVT | 3.840 | <0.001 | 3.891 | <0.001 |
| Adjusted by initial rhythm, sex, and age | Initial rhythm | VF/pVT | 3.715 | <0.001 | 3.894 | <0.001 |
| Sex | Male | 0.979 | 0.449 | 0.961 | 0.463 | |
| Age | - | 0.984 | <0.001 | 0.996 | 0.011 | |
| Adjusted by all featured factors | Initial rhythm | VF/pVT | 3.739 | <0.001 | 3.746 | <0.001 |
| Sex | Male | 0.980 | 0.462 | 0.950 | 0.344 | |
| Age | - | 0.984 | <0.001 | 0.996 | 0.009 | |
| Obesity | Yes | 0.847 | 0.036 | 0.890 | 0.451 | |
| DM | Yes | 1.032 | 0.413 | 0.926 | 0.314 | |
| CS | Yes | 0.991 | 0.883 | 1.282 | 0.032 | |
| HT | Yes | 0.976 | 0.473 | 0.934 | 0.303 | |
| HF | Yes | 1.054 | 0.286 | 0.849 | 0.099 | |
| ACS | Yes | 0.930 | 0.304 | 1.449 | 0.006 | |
| Location | Model | Feature | Category | Initial Rhythm: | Initial Rhythm: | ||
|---|---|---|---|---|---|---|---|
| Asystole/PEA | VF/pVT | ||||||
| OR | p | OR | p | ||||
| Location: at home | Adjusted by sex and age Adjusted by all featured factors | Sex | Male | 0.979 | 0.468 | 0.971 | 0.794 |
| Age | - | 0.984 | <0.001 | 0.980 | <0.001 | ||
| Sex | Male | 0.980 | 0.478 | 0.971 | 0.798 | ||
| Age | - | 0.984 | <0.001 | 0.980 | <0.001 | ||
| Obesity | Yes | 0.883 | 0.125 | 0.441 | 0.011 | ||
| DM | Yes | 1.012 | 0.757 | 1.399 | 0.040 | ||
| CS | Yes | 0.993 | 0.912 | 0.973 | 0.907 | ||
| HT | Yes | 0.980 | 0.565 | 0.944 | 0.655 | ||
| HF | Yes | 1.056 | 0.280 | 1.014 | 0.946 | ||
| ACS | Yes | 0.925 | 0.333 | 0.956 | 0.766 | ||
| Location: public place | Adjusted by sex and age Adjusted by all featured factors | Sex | Male | 1.001 | 0.992 | 0.569 | 0.009 |
| Age | - | 0.995 | 0.012 | 0.997 | 0.578 | ||
| Sex | Male | 0.988 | 0.829 | 0.574 | 0.011 | ||
| Age | - | 0.995 | 0.010 | 0.996 | 0.567 | ||
| Obesity | Yes | 0.917 | 0.590 | 0.689 | 0.488 | ||
| DM | Yes | 0.887 | 0.132 | 1.641 | 0.121 | ||
| CS | Yes | 1.253 | 0.060 | 1.756 | 0.252 | ||
| HT | Yes | 0.937 | 0.349 | 0.954 | 0.837 | ||
| HF | Yes | 0.839 | 0.092 | 1.015 | 0.965 | ||
| ACS | Yes | 1.430 | 0.022 | 1.513 | 0.119 | ||
Disclaimer/Publisher’s Note: The statements, opinions and data contained in all publications are solely those of the individual author(s) and contributor(s) and not of MDPI and/or the editor(s). MDPI and/or the editor(s) disclaim responsibility for any injury to people or property resulting from any ideas, methods, instructions or products referred to in the content. |
© 2024 by the authors. Licensee MDPI, Basel, Switzerland. This article is an open access article distributed under the terms and conditions of the Creative Commons Attribution (CC BY) license (https://creativecommons.org/licenses/by/4.0/).
Share and Cite
Lewandowski, Ł.; Mickiewicz, A.; Kędzierski, K.; Wróblewski, P.; Koral, M.; Kubielas, G.; Smereka, J.; Czapla, M. The Interaction Effect of Age, Initial Rhythm, and Location on Outcomes After Out-of-Hospital Cardiac Arrest: A Retrospective Cohort Study. J. Clin. Med. 2024, 13, 6426. https://doi.org/10.3390/jcm13216426
Lewandowski Ł, Mickiewicz A, Kędzierski K, Wróblewski P, Koral M, Kubielas G, Smereka J, Czapla M. The Interaction Effect of Age, Initial Rhythm, and Location on Outcomes After Out-of-Hospital Cardiac Arrest: A Retrospective Cohort Study. Journal of Clinical Medicine. 2024; 13(21):6426. https://doi.org/10.3390/jcm13216426
Chicago/Turabian StyleLewandowski, Łukasz, Aleksander Mickiewicz, Kamil Kędzierski, Paweł Wróblewski, Mariusz Koral, Grzegorz Kubielas, Jacek Smereka, and Michał Czapla. 2024. "The Interaction Effect of Age, Initial Rhythm, and Location on Outcomes After Out-of-Hospital Cardiac Arrest: A Retrospective Cohort Study" Journal of Clinical Medicine 13, no. 21: 6426. https://doi.org/10.3390/jcm13216426
APA StyleLewandowski, Ł., Mickiewicz, A., Kędzierski, K., Wróblewski, P., Koral, M., Kubielas, G., Smereka, J., & Czapla, M. (2024). The Interaction Effect of Age, Initial Rhythm, and Location on Outcomes After Out-of-Hospital Cardiac Arrest: A Retrospective Cohort Study. Journal of Clinical Medicine, 13(21), 6426. https://doi.org/10.3390/jcm13216426

