Predictors of Acute Kidney Injury Resolution and Associated Clinical Outcomes Among Hospitalized Patients with Cirrhosis
Abstract
1. Introduction
2. Methods
2.1. Inclusion and Exclusion Criteria
2.2. Definitions and Included Variables
2.3. Statistical Analysis
3. Results
3.1. Demographics
3.2. AKIN Resolution Predictors
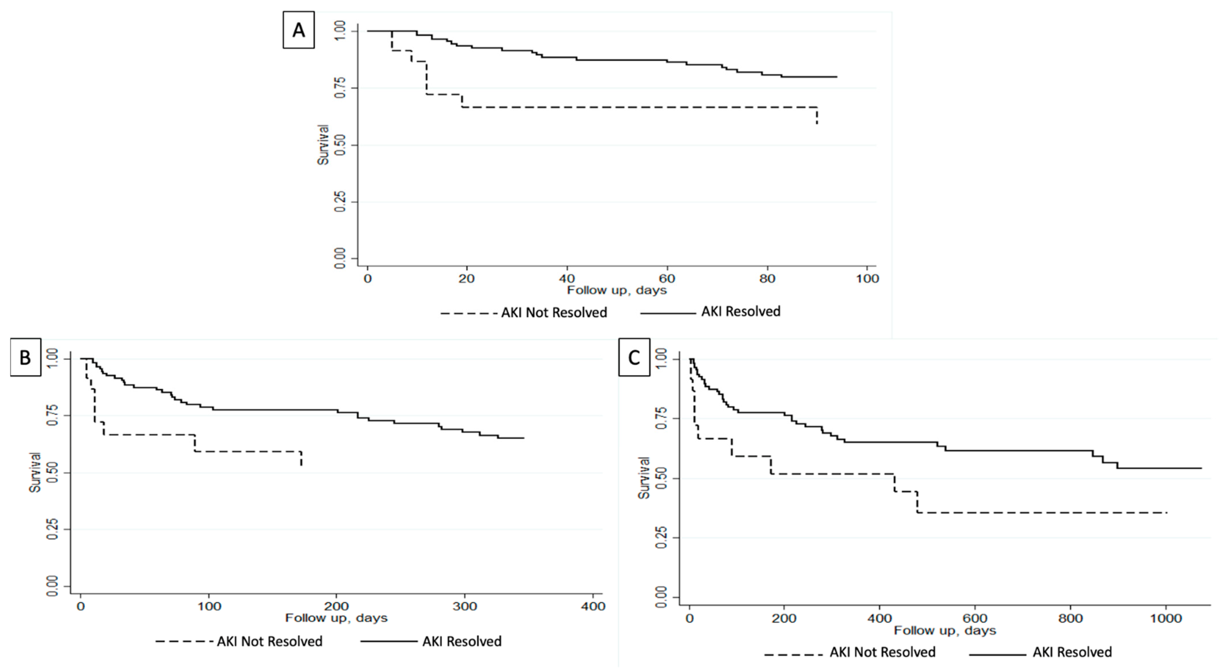
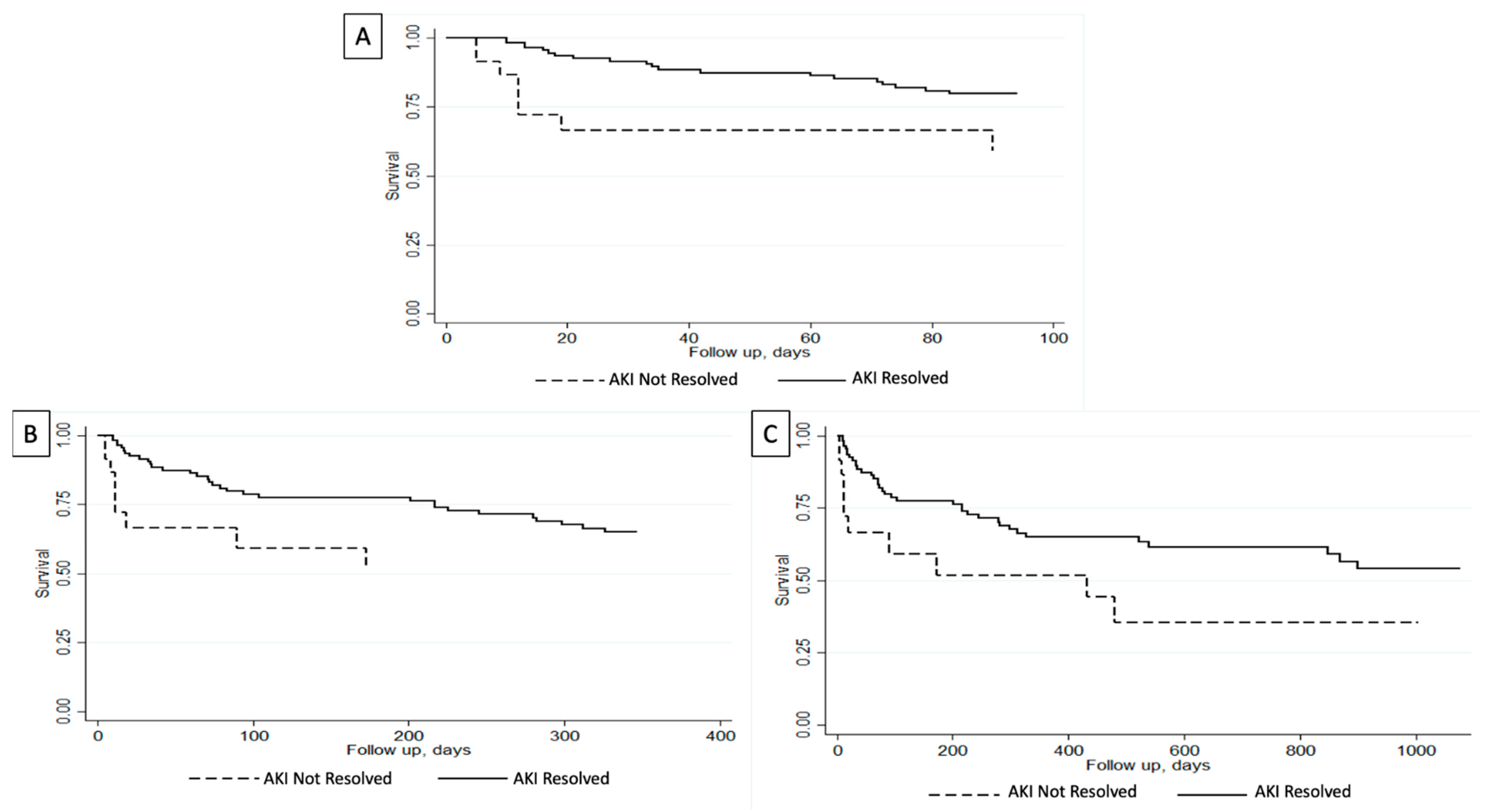
3.3. Short- and Long-Term Outcomes
4. Discussion
5. Conclusions
Author Contributions
Funding
Institutional Review Board Statement
Informed Consent Statement
Data Availability Statement
Conflicts of Interest
References
- Garcia-Tsao, G.; Parikh, C.R.; Viola, A. Acute kidney injury in cirrhosis. Hepatology 2008, 48, 2064–2077. [Google Scholar] [CrossRef] [PubMed]
- Flamm, S.L.; Wong, F.; Ahn, J.; Kamath, P.S. AGA Clinical Practice Update on the Evaluation and Management of Acute Kidney Injury in Patients With Cirrhosis: Expert Review. Clin. Gastroenterol. Hepatol. 2022, 20, 2707–2716. [Google Scholar] [CrossRef] [PubMed]
- Nadim, M.K.; Garcia-Tsao, G. Acute Kidney Injury in Patients with Cirrhosis. N. Engl. J. Med. 2023, 388, 733–745. [Google Scholar] [CrossRef] [PubMed]
- Moreau, R.; Lebrec, D. Acute renal failure in patients with cirrhosis: Perspectives in the age of MELD. Hepatology 2003, 37, 233–243. [Google Scholar] [CrossRef] [PubMed]
- Belcher, J.M.; Garcia-Tsao, G.; Sanyal, A.J.; Bhogal, H.; Lim, J.K.; Ansari, N.; Coca, S.G.; Parikh, C.R. Association of AKI with mortality and complications in hospitalized patients with cirrhosis. Hepatology 2013, 57, 753–762. [Google Scholar] [CrossRef] [PubMed]
- Wong, F.; Reddy, K.R.; Tandon, P.; O’Leary, J.G.; Garcia-Tsao, G.; Vargas, H.E.; Lai, J.C.; Biggins, S.W.; Maliakkal, B.; Fallon, M.; et al. Progression of Stage 2 and 3 Acute Kidney Injury in Patients with Decompensated Cirrhosis and Ascites. Clin. Gastroenterol. Hepatol. 2021, 19, 1661–1669.e2. [Google Scholar] [CrossRef]
- du Cheyron, D.; Bouchet, B.; Parienti, J.J.; Ramakers, M.; Charbonneau, P. The attributable mortality of acute renal failure in critically ill patients with liver cirrhosis. Intensive Care Med. 2005, 31, 1693–1699. [Google Scholar] [CrossRef]
- Belcher, J.M.; Garcia-Tsao, G.; Sanyal, A.J.; Thiessen-Philbrook, H.; Peixoto, A.J.; Perazella, M.A.; Ansari, N.; Lim, J.; Coca, S.G.; Parikh, C.R. Urinary biomarkers and progression of AKI in patients with cirrhosis. Clin. J. Am. Soc. Nephrol. 2014, 9, 1857–1867. [Google Scholar] [CrossRef]
- Belcher, J.M. Acute Kidney Injury in Liver Disease: Role of Biomarkers. Adv. Chronic Kidney Dis. 2015, 22, 368–375. [Google Scholar] [CrossRef]
- Mehta, R.L.; Kellum, J.A.; Shah, S.V.; Molitoris, B.A.; Ronco, C.; Warnock, D.G.; Levin, A. Acute Kidney Injury Network: Report of an initiative to improve outcomes in acute kidney injury. Crit. Care 2007, 11, R31. [Google Scholar] [CrossRef]
- Lopes, J.A.; Jorge, S. The RIFLE and AKIN classifications for acute kidney injury: A critical and comprehensive review. Clin. Kidney J. 2013, 6, 8–14. [Google Scholar] [CrossRef] [PubMed]
- Khwaja, A. KDIGO clinical practice guidelines for acute kidney injury. Nephron Clin. Pract. 2012, 120, C179–C184. [Google Scholar] [CrossRef] [PubMed]
- Mandelbaum, T.; Scott, D.J.; Lee, J.; Mark, R.G.; Malhotra, A.; Waikar, S.S.; Howell, M.D.; Talmor, D. Outcome of critically ill patients with acute kidney injury using the Acute Kidney Injury Network criteria. Crit. Care Med. 2011, 39, 2659–2664. [Google Scholar] [CrossRef] [PubMed]
- Abboud, Y.; Rajan, A.; Rosenblatt, R.E.; Jesudian, A.; Fortune, B.E.; Hajifathalian, K. Mo1623 Predictors of acute kidney injury resolution and associated clinical outcomes among hospitalized patients with cirrhosis. Gastroenterology 2024. [CrossRef]
- Tariq, R.; Hadi, Y.; Chahal, K.; Reddy, S.; Salameh, H.; Singal, A.K. Incidence, Mortality and Predictors of Acute Kidney Injury in Patients with Cirrhosis: A Systematic Review and Meta-analysis. J. Clin. Transl. Hepatol. 2020, 8, 135–142. [Google Scholar] [CrossRef]
- Yang, K.; Yang, N.; Sun, W.; Dai, L.; Jin, J.; Wu, J.; He, Q. The association between albumin and mortality in patients with acute kidney injury: A retrospective observational study. BMC Nephrol. 2023, 24, 332. [Google Scholar] [CrossRef]
- Ge, C.; Peng, Q.; Chen, W.; Li, W.; Zhang, L.; Ai, Y. Association between albumin infusion and outcomes in patients with acute kidney injury and septic shock. Sci. Rep. 2021, 11, 24083. [Google Scholar] [CrossRef]
- Salerno, F.; Navickis, R.J.; Wilkes, M.M. Albumin treatment regimen for type 1 hepatorenal syndrome: A dose-response meta-analysis. BMC Gastroenterol. 2015, 15, 167. [Google Scholar] [CrossRef]
- Pickup, L.; Loutradis, C.; Law, J.P.; Arnold, J.J.; Dasgupta, I.; Sarafidis, P.; Townend, J.N.; Cockwell, P.; Ferro, C.J. The effect of admission and pre-admission serum creatinine as baseline to assess incidence and outcomes of acute kidney injury in acute medical admissions. Nephrol. Dial. Transplant. 2021, 37, 148–158. [Google Scholar] [CrossRef]
- Quiroga, B.; Sanz Sainz, M.; Santos Sánchez-Rey, B.; Muñoz Ramos, P.; Ortiz, A.; Ruano, P. Persistent kidney dysfunction after acute kidney injury predicts short-term outpatient mortality. Intern. Med. J. 2022, 52, 834–840. [Google Scholar] [CrossRef]
- Adebayo, D.; Wong, F. Pathophysiology of Hepatorenal Syndrome—Acute Kidney Injury. Clin. Gastroenterol. Hepatol. 2023, 21, S1–S10. [Google Scholar] [CrossRef] [PubMed]
- Simonetto, D.A.; Gines, P.; Kamath, P.S. Hepatorenal syndrome: Pathophysiology, diagnosis, and management. Bmj 2020, 370, m2687. [Google Scholar] [CrossRef] [PubMed]
- Sharma, N.; Sircar, A.; Anders, H.J.; Gaikwad, A.B. Crosstalk between kidney and liver in non-alcoholic fatty liver disease: Mechanisms and therapeutic approaches. Arch. Physiol. Biochem. 2022, 128, 1024–1038. [Google Scholar] [CrossRef] [PubMed]
- Chen, L.; Lv, X.; Kan, M.; Wang, R.; Wang, H.; Zang, H. Critical Overview of Hepatic Factors That Link Non-Alcoholic Fatty Liver Disease and Acute Kidney Injury: Physiology and Therapeutic Implications. Int. J. Mol. Sci. 2022, 23, 12464. [Google Scholar] [CrossRef]
- Pennisi, G.; Infantino, G.; Celsa, C.; Di Maria, G.; Enea, M.; Vaccaro, M.; Cannella, R.; Ciccioli, C.; La Mantia, C.; Mantovani, A.; et al. Clinical outcomes of MAFLD versus NAFLD: A meta-analysis of observational studies. Liver Int. 2024. [Google Scholar] [CrossRef]
- Bessho, R.; Kashiwagi, K.; Ikura, A.; Yamataka, K.; Inaishi, J.; Takaishi, H.; Kanai, T. A significant risk of metabolic dysfunction-associated fatty liver disease plus diabetes on subclinical atherosclerosis. PLoS ONE 2022, 17, e0269265. [Google Scholar] [CrossRef]
- Chan, K.E.; Koh, T.J.L.; Tang, A.S.P.; Quek, J.; Yong, J.N.; Tay, P.; Tan, D.J.H.; Lim, W.H.; Lin, S.Y.; Huang, D.; et al. Global Prevalence and Clinical Characteristics of Metabolic-associated Fatty Liver Disease: A Meta-Analysis and Systematic Review of 10 739 607 Individuals. J. Clin. Endocrinol. Metab. 2022, 107, 2691–2700. [Google Scholar] [CrossRef]
- Ning, Y.; Zou, X.; Xu, J.; Wang, X.; Ding, M.; Lu, H. Impact of acute kidney injury on the risk of mortality in patients with cirrhosis: A systematic review and meta-analysis. Ren. Fail. 2022, 44, 1934–1947. [Google Scholar] [CrossRef]
- Jadoul, M.; Awan, A.A.; Berenguer, M.C.; Bruchfeld, A.; Fabrizi, F.; Goldberg, D.S.; Jia, J.; Kamar, N.; Mohamed, R.; Pessôa, M.G.; et al. KDIGO 2022 Clinical Practice Guideline FOR the Prevention, Diagnosis, Evaluation, and Treatment of Hepatitis C in Chronic Kidney Disease. Kidney Int 2022, 102, S129–S205. [Google Scholar] [CrossRef]
- Coppola, N.; Portunato, F.; Buonomo, A.R.; Staiano, L.; Scotto, R.; Pinchera, B.; De Pascalis, S.; Amoruso, D.C.; Martini, S.; Pisaturo, M.; et al. Interferon-free regimens improve kidney function in patients with chronic hepatitis C infection. J. Nephrol. 2019, 32, 763–773. [Google Scholar] [CrossRef]
- Orman, E.S.; Ghabril, M.; Emmett, T.W.; Chalasani, N. Hospital Readmissions in Patients with Cirrhosis: A Systematic Review. J. Hosp. Med. 2018, 13, 490–495. [Google Scholar] [CrossRef] [PubMed]

| Total Cohort N = 140 | AKIN Resolved (Discharge AKIN 0 or 1) N = 117 | AKIN Unresolved (Discharge AKIN 2 or 3) N = 23 | p-Value | |
|---|---|---|---|---|
| Age in years—mean ± SD | 66 ± 12 | 66 ± 12 | 64 ± 14 | 0.41 |
| Male—n (%) | 83/140 (59%) | 73/117 (62%) | 10/23 (43%) | 0.09 |
| Cirrhosis etiology—n (%) | 0.62 | |||
| Alcohol | 23/138 (17%) | 21/115 (18%) | 2/23 (8%) | |
| MASLD/MASH | 22/138 (16%) | 16/115 (14%) | 6/23 (26%) | |
| Viral hepatitis | 74/138 (54%) | 56/115 (49%) | 13/23 (57%) | |
| HBV | 20/74 (27%) | 15/56 (27%) | 5/13 (38%) | 0.46 |
| HCV | 59/74 (80%) | 49/56 (88%) | 10/13 (77%) | 0.32 |
| Hx of CVD—n (%) | 48/128 (38%) | 43/108 (40%) | 5/20 (25%) | 0.20 |
| Hx of HTN—n (%) | 93/140 (66%) | 83/117 (71%) | 10/23 (43%) | 0.011 |
| Hx of HCC—n (%) | 33/140 (24%) | 25/117 (21%) | 8/23 (35%) | 0.16 |
| Hx of CKD—n (%) | 56/140 (40%) | 46/117 (39%) | 10/23 (43%) | 0.71 |
| Temperature (C deg) | 36.6 ± 0.4 | 36.6 ± 0.4 | 36.6 ± 0.3 | 0.76 |
| HR (bpm) | 81 ± 18 | 81 ± 19 | 86 ± 17 | 0.22 |
| Systolic BP (mm Hg) | 125 ± 27 | 124 ± 26 | 127 ± 27 | 0.61 |
| Diastolic BP (mm Hg) | 72 ± 14 | 71 ± 13 | 74 ± 15 | 0.38 |
| MAP (mm Hg) | 90 ± 17 | 89 ± 16 | 92 ± 18 | 0.45 |
| AKIN stage at diagnosis—n (%) | <0.001 | |||
| Stage 1 | 96/140 (69%) | 87/117 (74%) | 9/23 (39%) | |
| Stage 2 | 27/140 (19%) | 23/117 (20%) | 4/23 (17%) | |
| Stage 3 | 17/140 (12%) | 7/117 (6%) | 10/23 (43%) | |
| Cr—mean ± SD | 2.17 ± 1.26 | 2.0 ± 0.9 | 3.3 ± 2.2 | <0.001 |
| Na—mean ± SD | 134 ± 6 | 134 ± 6 | 134 ± 7 | 0.93 |
| Bilirubin—mean ± SD | 3.19 ± 4.63 | 3.1 ± 4.8 | 3.6 ± 4.2 | 0.63 |
| INR—mean ± SD | 1.7 ± 1.6 | 1.8 ± 1.7 | 1.5 ± 0.5 | 0.45 |
| BUN—mean ± SD | 41 ± 24 | 40 ± 22 | 47 ± 30 | 0.17 |
| Albumin—mean ± SD | 2.8 ± 0.8 | 2.9 ± 0.8 | 2.3 ± 0.8 | 0.001 |
| WBC—mean ± SD | 7.9 ± 4.3 | 7.6 ± 4.0 | 8.9 ± 5.5 | 0.19 |
| Hgb—mean ± SD | 10.9 ± 2.4 | 10.9 ± 2.5 | 10.6 ± 2.1 | 0.54 |
| Platelets—mean ± SD | 148 ± 100 | 145 ± 97 | 165 ± 121 | 0.39 |
| Lactate—mean ± SD | 2.12 ± 1.54 | 2.1 ± 1.6 | 2.1 ± 1.1 | 0.98 |
| AST—mean ± SD | 88 ± 147 | 82 ± 130 | 116 ± 223 | 0.32 |
| ALT—mean ± SD | 56 ± 96 | 54 ± 97 | 61 ± 85 | 0.76 |
| AKI etiology—n (%) | 0.005 | |||
| Fluid responsive (pre-renal) | 73/139 (49%) | 68/116 (59%) | 5/23 (22%) | |
| Fluid unresponsive (ATN + HRS) | 27/139 (19%) | 19/116 (16%) | 8/23 (35%) | |
| Other/Unknown | 39/139 (28%) | 29/116 (25%) | 10/23 (43%) | |
| Ascites at admission—n (%) | 0.55 | |||
| Slight | 27/139 (19%) | 23/116 (20%) | 4/23 (17%) | |
| Moderate/Large | 47/139 (34%) | 37/116 (32%) | 10/23 (43%) | |
| CTP class at admission | 0.053 | |||
| A | 27/130 (21%) | 24/110 (22%) | 3/20 (15%) | |
| B | 67/130 (52%) | 60/110 (55%) | 7/20 (35%) | |
| C | 36/130 (28%) | 26/110 (24%) | 10/20 (50%) | |
| CTP score—mean ± SD | 8 ± 2 | 8.2 ± 2.1 | 9.4 ± 2.4 | 0.039 |
| Na-Meld score—mean ± SD | 22 ±7 | 21 ± 7 | 24 ± 6 | 0.09 |
| Admission medication—n (%) # | ||||
| Beta-blockers | 81/140 (58%) | 68/117 (58%) | 13/23 (57%) | 0.88 |
| Statin | 33/140 (24%) | 29/117 (25%) | 4/23 (17%) | 0.44 |
| PPI | 65/140 (46%) | 57/117 (49%) | 8/23 (35%) | 0.22 |
| NSAID | 2/140 (1%) | 2/117 (2%) | 0/23 (0%) | 0.52 |
| Aspirin | 28/140 (20%) | 25/117 (21%) | 3/23 (13%) | 0.36 |
| Lactulose | 42/140 (30%) | 34/117 (29%) | 8/23 (35%) | 0.58 |
| Rifaximin | 38/140 (27%) | 33/117 (28%) | 5/23 (22%) | 0.52 |
| Variable | Adjusted Odds Ratio (aOR) | 95% CI | p-Value |
|---|---|---|---|
| Albumin at Admission | 3.28 | 1.25–8.56 | 0.01 |
| Creatinine at Admission | 0.31 | 0.17–0.59 | <0.001 |
| Non-MASLD/MASH Cirrhosis Etiology | 9.43 | 6.02–11.07 | 0.003 |
| Total Cohort N = 140 | AKIN Resolved (Discharge AKIN 0 or 1) N = 117 | AKIN Unresolved (Discharge AKIN 2 or 3) N = 23 | p-Value | |
|---|---|---|---|---|
| Bleeding in hospital—n (%) | 17/140 (12%) | 15/117 (13%) | 2/23 (9%) | 0.58 |
| Infection in hospital—n (%) | 43/140 (31%) | 35/117 (30%) | 8/23 (35%) | 0.64 |
| ICU during hospital stay—n (%) | 25/140 (18%) | 19/117 (16%) | 6/23 (26%) | 0.26 |
| Dialysis initiation—n (%) ^ | 5/140 (4%) | 2/117 (2%) | 3/23 (13%) | 0.007 |
| Intubation in hospital—n (%) | 7/140 (5%) | 2/117 (2%) | 5/23 (22%) | <0.001 |
| Length of stay—days | 11 ± 9 | 12 ± 11 | 9 ± 6 | 0.26 |
| Mean follow-up time—days | 140 ± 606 | 578 ± 632 | 214 ± 306 | 0.008 |
| In-hospital mortality—n (%) | 6/140 (4%) | 1/117 (1%) | 5/23 (22%) | <0.001 |
| Transplant-free survival—n (%) | 81/137 (59%) | 69/114 (61%) | 12/23 (52%) | 0.45 |
| 90-day transplant-free survival—n (%) | 109/137 (80%) | 94/114 (82%) | 15/23 (65%) | 0.06 |
| 30-day transplant-free survival—n (%) | 121/137 (88%) | 105/114 (92%) | 16/23 (70%) | 0.002 |
| Liver transplants—n (%) | 14/140 (10%) | 13/117 (11%) | 1/23 (4%) | 0.32 |
| Total Cohort N = 137 | AKIN Resolved (Discharge AKIN 0 or 1) N = 114 | AKIN Unresolved (Discharge AKIN 2 or 3) N = 23 | p-Value | |
|---|---|---|---|---|
| Median follow up time (days) | 273 | 20 | 0.004 | |
| Readmission within 1 year—n (%) | 73/137 (53%) | 65/114 (57%) | 8/23 (35%) | 0.051 |
| Readmission within 3 years—n (%) | 82/137 (60%) | 74/114 (65%) | 8/23 (35%) | 0.007 |
| Number of readmissions—mean ± SD | 0.65 ± 0.48 | 0.35 ± 0.49 | 0.007 | |
| Time to first readmission—days | 142 ± 180 | 142 ± 187 | 145 ± 103 | 0.97 |
| Reason for Readmission | ||||
| Liver-related readmission (HCC, HE, LFT, SBP, ascites, portal HTN bleed) | 15/82 (18%) | 13/74 (18%) | 2/8 (25%) | 0.61 |
| HCC | 1/82 (1%) | 1/74 (1%) | 0/8 (0%) | 1 |
| HE | 4/82 (5%) | 4/74 (5%) | 0/8 (0%) | 1 |
| LFT | 1/82 (1%) | 0/74 (0%) | 1/8 (13%) | 0.09 |
| SBP | 1/82 (1%) | 0/74 (0%) | 1/8 (13%) | 0.09 |
| Ascites | 7/82 (9%) | 7/74 (9%) | 0/8 (0%) | 1 |
| Portal HTN bleed | 1/82 (1%) | 1/74 (1%) | 0/8 (0%) | 1 |
| Non-liver-related Readmission | 67/82 (82%) | 61/74 (82%) | 6/8 (75%) | 0.63 |
| AKI | 17/82 (21%) | 13/74 (18%) | 4/8 (50%) | 0.053 |
| Genitourinary | 1/82 (1%) | 1/74 (1%) | 0/8 (0%) | 1 |
| Cardiac | 11/82 (13%) | 11/74 (15%) | 0/8 (0%) | 0.58 |
| Hematology | 2/82 (2%) | 2/74 (3%) | 0/8 (0%) | 1 |
| Metabolic | 3/82 (4%) | 3/74 (4%) | 0/8 (0%) | 1 |
| Neurology | 1/82 (1%) | 0/74 (0%) | 1/8 (13%) | 0.09 |
| Ophthalmology | 1/82 (1%) | 1/74 (1%) | 0/8 (0%) | 1 |
| Orthopedics | 4/82 (5%) | 4/74 (4%) | 0/8 (0%) | 1 |
| Psychiatry | 1/82 (1%) | 1/74 (1%) | 0/8 (0%) | 1 |
| Pulmonology | 2/82 (2%) | 2/74 (3%) | 0/8 (0%) | 1 |
| Non-liver gastroenterology | 4/82 (5%) | 4/74 (4%) | 0/8 (0%) | 1 |
| Other gastrointestinal bleeding | 1/82 (1%) | 1/74 (1%) | 0/8 (0%) | 1 |
| Infectious-related readmissions | ||||
| CLABSI | 1/82 (1%) | 1/74 (1%) | 0/8 (0%) | 1 |
| UTI | 4/82 (5%) | 3/74 (4%) | 1/8 (13%) | 0.34 |
| Bacteremia | 1/82 (1%) | 1/74 (1%) | 0/8 (0%) | 1 |
| Cellulitis | 3/82 (4%) | 3/74 (4%) | 0/8 (0%) | 1 |
| Osteomyelitis | 1/82 (1%) | 1/74 (1%) | 0/8 (0%) | 1 |
| Other | 8/82 (10%) | 8/74 (11%) | 0/8 (0%) | 1 |
| Unknown | 1/82 (1%) | 1/74 (1%) | 0/8 (0%) | 1 |
| Total Cohort N = 137 | AKIN Resolved (Discharge AKIN 0 or 1) N = 114 | AKIN Unresolved (Discharge AKIN 2 or 3) N = 23 | p-Value | |
|---|---|---|---|---|
| Complications During Admission | 0.12 | |||
| AKI | 12/34 (35%) | 10/28 (36%) | 2/6 (33%) | 1 |
| Death | 2/34 (6%) | 2/28 (7%) | 0/6 (0%) | 1 |
| LVP | 2/34 (6%) | 2/28 (7%) | 0/6 (0%) | 1 |
| LVP, portal HTN bleed | 1/34 (3%) | 1/28 (4%) | 0/6 (0%) | 1 |
| HE | 1/34 (3%) | 1/28 (4%) | 0/6 (0%) | 1 |
| HD initiated | 4/34 (12%) | 0/28 (0%) | 4/6 (67%) | 0.0003 |
| TIPS | 1/34 (3%) | 1/28 (4%) | 0/6 (0%) | 1 |
| Liver transplant | 1/34 (3%) | 1/28 (4%) | 0/6 (0%) | 1 |
| TIPS, ascites | 1/34 (3%) | 1/28 (4%) | 0/6 (0%) | 1 |
| Amputation | 1/34 (3%) | 1/28 (4%) | 0/6 (0%) | 1 |
| Ascites | 1/34 (3%) | 1/28 (4%) | 0/6 (0%) | 1 |
| Metabolic | 3/34 (9%) | 3/28 (11%) | 0/6 (0%) | 1 |
| Infectious complications | ||||
| Infection, ascites | 1/34 (3%) | 1/28 (4%) | 0/6 (0%) | 1 |
| LVP, MRSA, UTI | 1/34 (3%) | 1/28 (4%) | 0/6 (0%) | 1 |
| PNA | 1/34 (3%) | 1/28 (4%) | 0/6 (0%) | 1 |
| UTI | 1/34 (3%) | 1/28 (4%) | 0/6 (0%) | 1 |
| UTI, AKI | 1/34 (3%) | 1/28 (4%) | 0/6 (0%) | 1 |
| Liver transplant after discharge—n (%) | 13/137 (9%) | 12/114 (11%) | 8/23 (35%) | 0.35 |
| 1-year transplant-free survival (%) | 96/137 (70%) | 82/114 (72%) | 14/23 (61%) | 0.06 |
| 3-year transplant-free survival (%) | 89/137 (65%) | 77/114 (68%) | 12/23 (52%) | 0.02 |
Disclaimer/Publisher’s Note: The statements, opinions and data contained in all publications are solely those of the individual author(s) and contributor(s) and not of MDPI and/or the editor(s). MDPI and/or the editor(s) disclaim responsibility for any injury to people or property resulting from any ideas, methods, instructions or products referred to in the content. |
© 2024 by the authors. Licensee MDPI, Basel, Switzerland. This article is an open access article distributed under the terms and conditions of the Creative Commons Attribution (CC BY) license (https://creativecommons.org/licenses/by/4.0/).
Share and Cite
Abboud, Y.; Rajan, A.; Rosenblatt, R.E.; Tow, C.; Jesudian, A.; Fortune, B.E.; Hajifathalian, K. Predictors of Acute Kidney Injury Resolution and Associated Clinical Outcomes Among Hospitalized Patients with Cirrhosis. J. Clin. Med. 2024, 13, 6377. https://doi.org/10.3390/jcm13216377
Abboud Y, Rajan A, Rosenblatt RE, Tow C, Jesudian A, Fortune BE, Hajifathalian K. Predictors of Acute Kidney Injury Resolution and Associated Clinical Outcomes Among Hospitalized Patients with Cirrhosis. Journal of Clinical Medicine. 2024; 13(21):6377. https://doi.org/10.3390/jcm13216377
Chicago/Turabian StyleAbboud, Yazan, Anjana Rajan, Russell E. Rosenblatt, Clara Tow, Arun Jesudian, Brett E. Fortune, and Kaveh Hajifathalian. 2024. "Predictors of Acute Kidney Injury Resolution and Associated Clinical Outcomes Among Hospitalized Patients with Cirrhosis" Journal of Clinical Medicine 13, no. 21: 6377. https://doi.org/10.3390/jcm13216377
APA StyleAbboud, Y., Rajan, A., Rosenblatt, R. E., Tow, C., Jesudian, A., Fortune, B. E., & Hajifathalian, K. (2024). Predictors of Acute Kidney Injury Resolution and Associated Clinical Outcomes Among Hospitalized Patients with Cirrhosis. Journal of Clinical Medicine, 13(21), 6377. https://doi.org/10.3390/jcm13216377

