Understanding the Dry Eye Disease-Related Symptoms in South America: Prevalence and Associated Factors—A Systematic Review
Abstract
1. Introduction
2. Materials and Methods
2.1. Study Design
2.2. Search Strategies
2.3. Selection Criteria
2.3.1. Inclusion Criteria
2.3.2. Exclusion Criteria
2.4. Selection of Studies
2.5. Bias Assessment
2.6. Data Synthesis
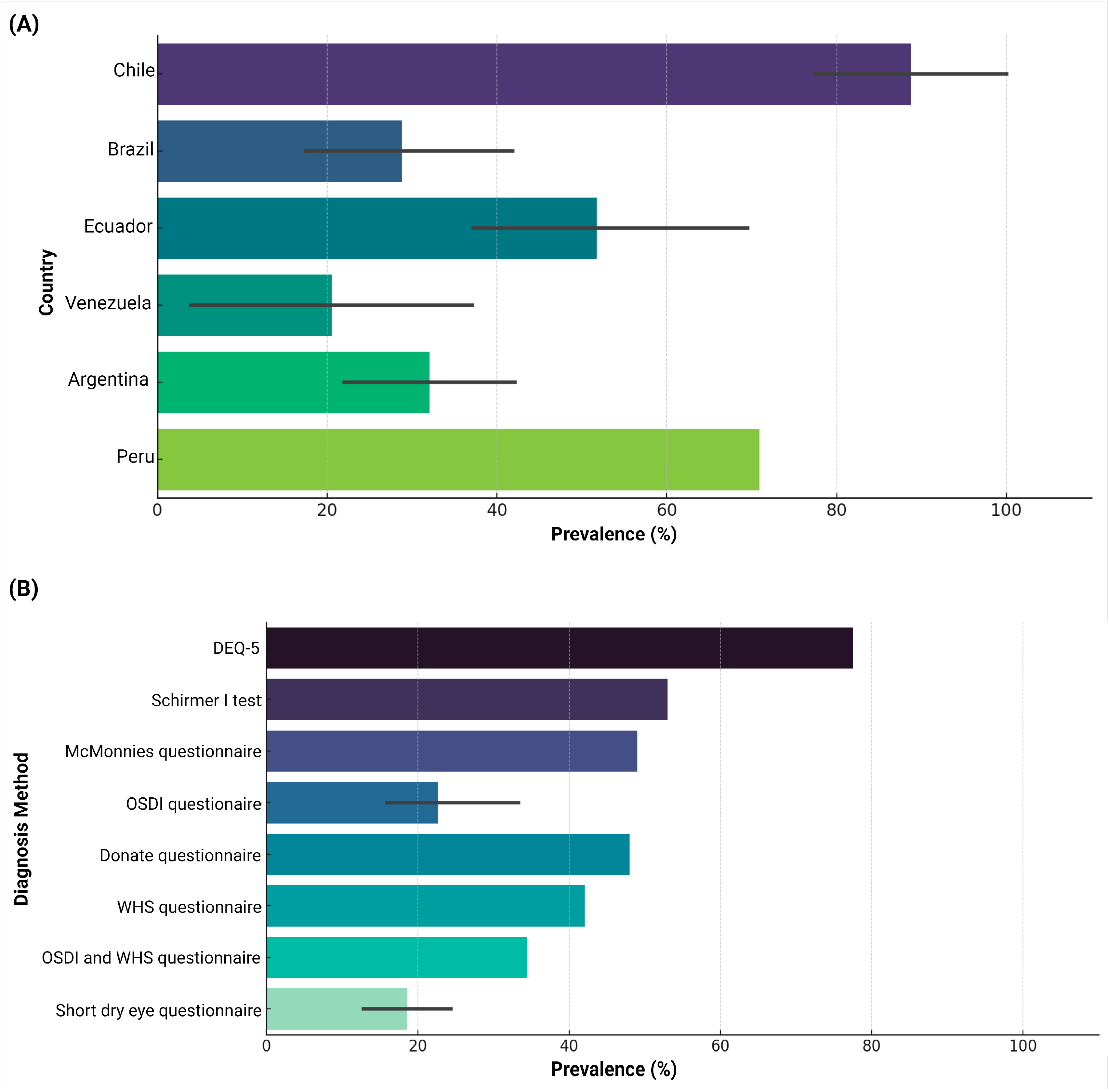
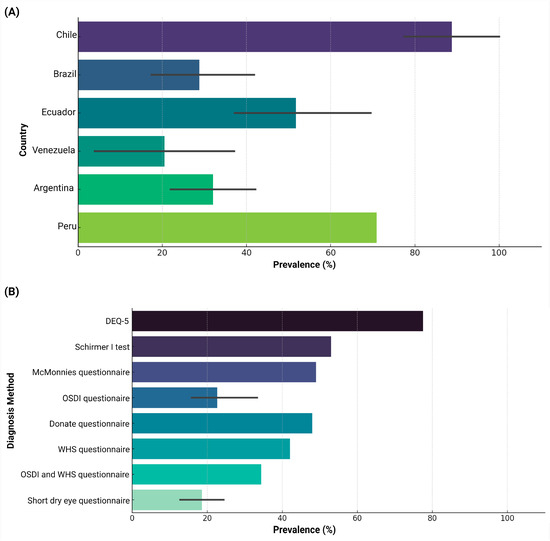
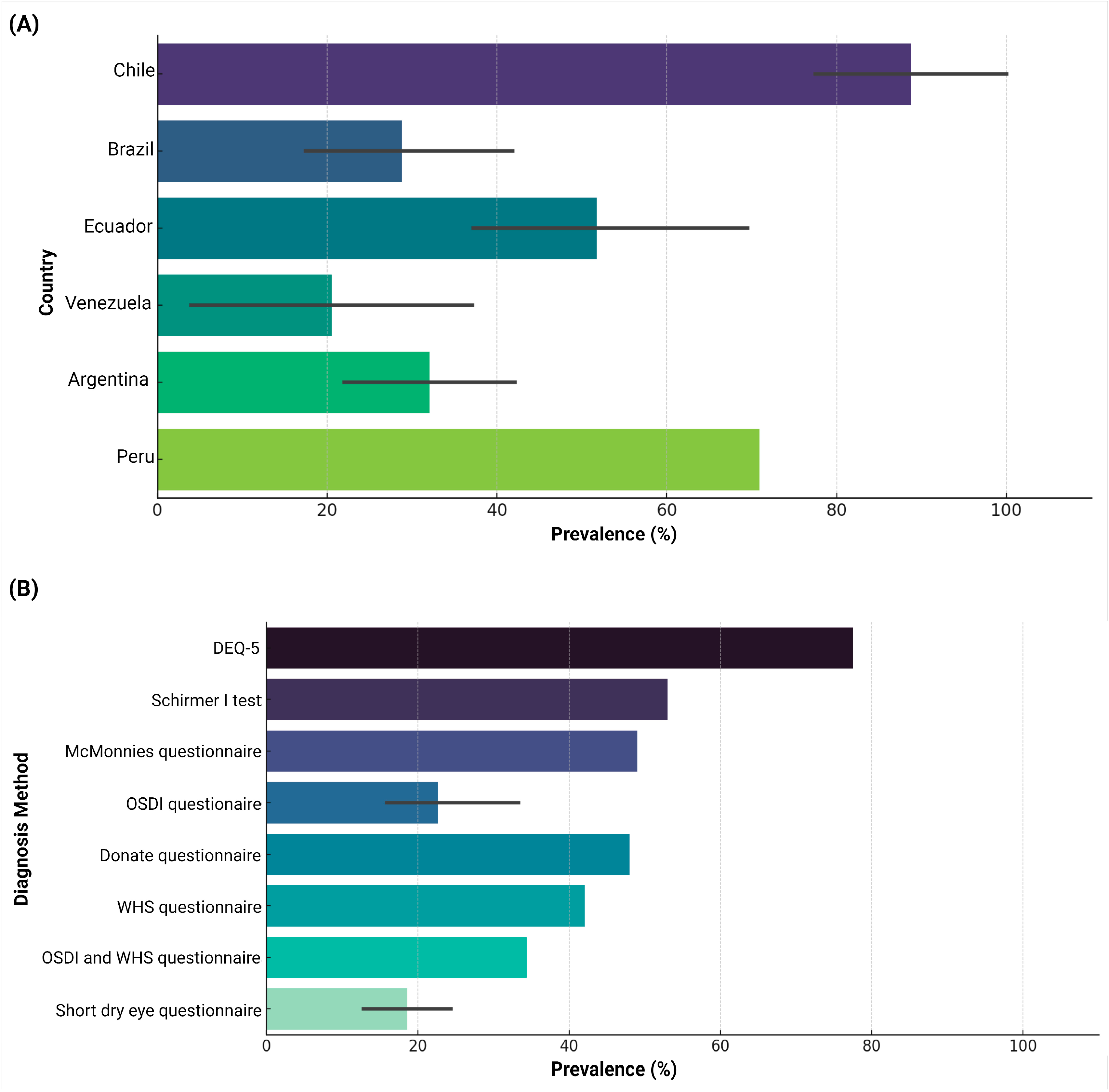
3. Results
4. Discussion
Limitations
5. Conclusions
Author Contributions
Funding
Institutional Review Board Statement
Data Availability Statement
Conflicts of Interest
References
- Tsubota, K.; Pflugfelder, S.C.; Liu, Z.; Baudouin, C.; Kim, H.M.; Messmer, E.M.; Kruse, F.; Liang, L.; Carreno-Galeano, J.T.; Rolando, M.; et al. Defining Dry Eye from a Clinical Perspective. Int. J. Mol. Sci. 2020, 21, 9271. [Google Scholar] [CrossRef] [PubMed]
- Amescua, G.; Ahmad, S.; Cheung, A.Y.; Choi, D.S.; Jhanji, V.; Lin, A.; Mian, S.I.; Rhee, M.K.; Viriya, E.T.; Mah, F.S.; et al. Dry Eye Syndrome Preferred Practice Pattern®. Ophthalmology 2024, 131, P1–P49. [Google Scholar] [CrossRef] [PubMed]
- Sheppard, J.; Shen Lee, B.; Periman, L.M. Dry Eye Disease: Identification and Therapeutic Strategies for Primary Care Clinicians and Clinical Specialists. Ann. Med. 2023, 55, 241–252. [Google Scholar] [CrossRef] [PubMed]
- Stapleton, F.; Alves, M.; Bunya, V.Y.; Jalbert, I.; Lekhanont, K.; Malet, F.; Na, K.-S.; Schaumberg, D.; Uchino, M.; Vehof, J.; et al. TFOS DEWS II Epidemiology Report. Ocul. Surf. 2017, 15, 334–365. [Google Scholar] [CrossRef]
- McCann, P.; Abraham, A.G.; Mukhopadhyay, A.; Panagiotopoulou, K.; Chen, H.; Rittiphairoj, T.; Gregory, D.G.; Hauswirth, S.G.; Ifantides, C.; Qureshi, R.; et al. Prevalence and Incidence of Dry Eye and Meibomian Gland Dysfunction in the United States. JAMA Ophthalmol. 2022, 140, 1181–1192. [Google Scholar] [CrossRef]
- Dana, R.; Bradley, J.L.; Guerin, A.; Pivneva, I.; Stillman, I.Ö.; Evans, A.M.; Schaumberg, D.A. Estimated Prevalence and Incidence of Dry Eye Disease Based on Coding Analysis of a Large, All-Age United States Health Care System. Am. J. Ophthalmol. 2019, 202, 47–54. [Google Scholar] [CrossRef]
- Papas, E.B. The Global Prevalence of Dry Eye Disease: A Bayesian View. Ophthalmic Physiol. Opt. 2021, 41, 1254–1266. [Google Scholar] [CrossRef]
- Chen, H.; McCann, P.; Lien, T.; Xiao, M.; Abraham, A.G.; Gregory, D.G.; Hauswirth, S.G.; Qureshi, R.; Liu, S.-H.; Saldanha, I.J.; et al. Prevalence of Dry Eye and Meibomian Gland Dysfunction in Central and South America: A Systematic Review and Meta-Analysis. BMC Ophthalmol. 2024, 24, 50. [Google Scholar] [CrossRef]
- Hong, H.; Mújica, O.J.; Anaya, J.; Lansingh, V.C.; López, E.; Silva, J.C. The Challenge of Universal Eye Health in Latin America: Distributive Inequality of Ophthalmologists in 14 Countries. BMJ Open 2016, 6, e012819. [Google Scholar] [CrossRef]
- Wolffsohn, J.S.; Arita, R.; Chalmers, R.; Djalilian, A.; Dogru, M.; Dumbleton, K.; Gupta, P.K.; Karpecki, P.; Lazreg, S.; Pult, H.; et al. TFOS DEWS II Diagnostic Methodology Report. Ocul. Surf. 2017, 15, 539–574. [Google Scholar] [CrossRef]
- Lin, C.-W.; Lin, M.-Y.; Huang, J.-W.; Wang, T.-J.; Lin, I.-C. Impact of Dry Eye Disease Treatment on Patient Quality of Life. Front. Med. 2024, 11, 1305579. [Google Scholar] [CrossRef] [PubMed]
- Periman, L.M.; Perez, V.L.; Saban, D.R.; Lin, M.C.; Neri, P. The Immunological Basis of Dry Eye Disease and Current Topical Treatment Options. J. Ocul. Pharmacol. Ther. 2020, 36, 137–146. [Google Scholar] [CrossRef] [PubMed]
- Mehra, D.; Galor, A. Digital Screen Use and Dry Eye: A Review. Asia-Pac. J. Ophthalmol. 2020, 9, 491–497. [Google Scholar] [CrossRef] [PubMed]
- Sharma, D.; Shrestha, S. Dry Eyes among Visual Display Terminal Users Visiting the Outpatient Department of Ophthalmology of a Tertiary Care Centre. JNMA J. Nepal Med. Assoc. 2023, 61, 803–806. [Google Scholar] [CrossRef] [PubMed]
- Hasan, Z.A.I.Y. Dry Eye Syndrome Risk Factors: A Systemic Review. Saudi J. Ophthalmol. 2022, 35, 131–139. [Google Scholar] [CrossRef]
- Cutrupi, F.; De Luca, A.; Di Zazzo, A.; Micera, A.; Coassin, M.; Bonini, S. Real Life Impact of Dry Eye Disease. Semin. Ophthalmol. 2023, 38, 690–702. [Google Scholar] [CrossRef]
- EQUATOR Network. The PRISMA 2020 Statement: An Updated Guideline for Reporting Systematic Reviews. Available online: https://www.equator-network.org/reporting-guidelines/prisma/ (accessed on 28 September 2024).
- Cartes, C.; Segovia, C.; Salinas-Toro, D.; Goya, C.; Alonso, M.J.; Lopez-Solis, R.; Zapata, C.; Cabezas, M.; Yañez, P.; Flores-Rodriguez, P.; et al. Dry Eye and Visual Display Terminal-Related Symptoms among University Students during the Coronavirus Disease Pandemic. Ophthalmic Epidemiol. 2022, 29, 245–251. [Google Scholar] [CrossRef]
- Dias De Araújo, D.; Gherardi Almeida, N.; Aleixo Silva, P.M.; Souza Ribeiro, N.; Werli-Alvarenga, A.; Machado Chianca, T.C. Prediction of risk and incidence of dry eye in critical patients. Rev. Lat. Am. Enfermagem 2016, 24, 1–8. [Google Scholar] [CrossRef][Green Version]
- Solórzano-Fernández, A.C.; Durán-Ospina, J.P.; Rey-Rodríguez, D.V.; Villafuerte-Mera, M.R. Incidencia del síndrome de ojo seco: Análisis sociodemográfico en personal administrativo, Universidad Técnica de Manabí. Rev. Científica Arbitr. Investig. Salud GESTAR 2023, 6, 2–14. [Google Scholar]
- Arcentales Chaw, P.F.; Arteaga Loor, G.d.C.; Maldonado Vera, M.C.; Solórzano Fernández, A.C. Los factores de riesgo para el síndrome del ojo seco en la población manabita. Cienc. Educ. 2020, 1, 56–64. [Google Scholar]
- Ulloa Oliva, S.U.; Almendáriz, T.E.P.; Celleri, A.d.C.R.; Correa Rojas, O. Caracterización del síndrome de ojo seco en la empresa Empac Machine. Rev. Metrop. Cienc. Apl. 2020, 3, 89–97. [Google Scholar] [CrossRef]
- Pérez, M.V.; Díaz de Alvarez, C.y.P. Frecuencia de Ojo Seco y su Correlación con un Cuestionario Sintomatológico en Pacientes con Artritis Reumatoide. Rev. Fac. Med. 2001, 24, 145–150. [Google Scholar]
- Holgado Herrera, M.C.; Maccio, J.P.; Esposito, E.; Viotto, P.; Ibáñez, A.; Guaycochea, M.; Urrets Zavalia, J. Frecuencia de ojo seco y su asociación con el uso de dispositivos electrónicos. Methodo Investig. Apl. Las Cienc. Biológicas 2023, 8, 104–111. [Google Scholar] [CrossRef]
- Vera Andrade, F.N.; Muñoz Flores, T.E.; Rodríguez Barzola, C.V.; Gaibor Mestanza, P.M. Sindrome de Ojo Seco Asociado al Computador, Manifestaciones Clínicas y Factores de Riesgo. Sinerg. Educ. 2022, 1–9. [Google Scholar]
- Condori-Meza, I.B.; Dávila-Cabanillas, L.A.; Challapa-Mamani, M.R.; Pinedo-Soria, A.; Torres, R.R.; Yalle, J.; Rojas-Humpire, R.; Huancahuire-Vega, S. Problematic Internet Use Associated with Symptomatic Dry Eye Disease in Medical Students from Peru. Clin. Ophthalmol. 2021, 15, 4357–4365. [Google Scholar] [CrossRef]
- Goya, M.C.; Traipe, L.; Bahamondes, R.; Rodríguez, C.; López, D.; Salinas, D.; López, R.; León, A. Adaptation Culturally and Linguistically to the Chilean Population and Validation the Dry Eye Questionnaire 5. Arch. Soc. Esp. Oftalmol. Engl. Ed. 2023, 98, 307–316. [Google Scholar] [CrossRef]
- Torres, R.M.; Marini, C.; Liviero, B.; Galletti, J.G.; Alves, M. Risk Factors for Dry Eye in Argentina: A National Epidemiological Study. Investig. Ophthalmol. Vis. Sci. 2023, 64, 3961. [Google Scholar]
- Yang, I.; Wakamatsu, T.; Sacho, I.B.I.; Fazzi, J.H.; de Aquino, A.C.; Ayub, G.; Rebello, P.A.; Gomes, J.Á.P.; Alves, M. Prevalence and Associated Risk Factors for Dry Eye Disease among Brazilian Undergraduate Students. PLoS ONE 2021, 16, e0259399. [Google Scholar] [CrossRef]
- Marculino, L.G.C.; Hazarbassanov, R.M.; Hazarbassanov, N.G.T.d.Q.; Hirai, F.; Milhomens Filho, J.A.P.; Wakamatsu, T.H.; Gomes, J.A.P. Prevalence and Risk Factors for Dry Eye Disease: The Sao Paulo Dry Eye Study. Arq. Bras. Oftalmol. 2022, 85, 549–557. [Google Scholar] [CrossRef]
- Pereira, L.A.; de Souza Persona, E.L.; de Souza dos Santos, J.P.; Cezar Elias, C.; Cavalcante Oriá, T.P.; Braga, L.; Rocha, E.M. Prevalence of Dry Eye in Brazil: A Domiciliary Epidemiological Study Using a Short Questionnaire. Investig. Ophthalmol. Vis. Sci. 2017, 58, 2699. [Google Scholar]
- Mitchell, J.P.; Williams, N.; Martin, R.; Keshava, P.; Bynum, M.M.; Figueroa, M.; Yancy, A.; DellaRocca, R. The Venezuela Eye Evaluation Study. J. Natl. Med. Assoc. 2008, 100, 435–438. [Google Scholar] [CrossRef]
- de Castro, J.S.; Selegatto, I.B.; Castro, R.S.d.; Miranda, E.C.M.; de Vasconcelos, J.P.C.; de Carvalho, K.M.; Arieta, C.E.L.; Alves, M. Prevalence and Risk Factors of Self-Reported Dry Eye in Brazil Using a Short Symptom Questionnaire. Sci. Rep. 2018, 8, 2076. [Google Scholar] [CrossRef] [PubMed]
- Song, P.; Xia, W.; Wang, M.; Chang, X.; Wang, J.; Jin, S.; Wang, J.; Wei, W.; Rudan, I. Variations of Dry Eye Disease Prevalence by Age, Sex and Geographic Characteristics in China: A Systematic Review and Meta-Analysis. J. Glob. Health 2018, 8, 020503. [Google Scholar] [CrossRef] [PubMed]
- Akowuah, P.K.; Kobia-Acquah, E. Prevalence of Dry Eye Disease in Africa: A Systematic Review and Meta-Analysis. Optom. Vis. Sci. 2020, 97, 1089. [Google Scholar] [CrossRef] [PubMed]
- Schiffman, R.M.; Christianson, M.D.; Jacobsen, G.; Hirsch, J.D.; Reis, B.L. Reliability and Validity of the Ocular Surface Disease Index. Arch. Ophthalmol. 2000, 118, 615–621. [Google Scholar] [CrossRef] [PubMed]
- Gulati, A.; Sullivan, R.; Buring, J.E.; Sullivan, D.A.; Dana, R.; Schaumberg, D.A. Validation and Repeatability of a Short Questionnaire for Dry Eye Syndrome. Am. J. Ophthalmol. 2006, 142, 125–131. [Google Scholar] [CrossRef]
- Farrand, K.F.; Fridman, M.; Stillman, I.Ö.; Schaumberg, D.A. Prevalence of Diagnosed Dry Eye Disease in the United States Among Adults Aged 18 Years and Older. Am. J. Ophthalmol. 2017, 182, 90–98. [Google Scholar] [CrossRef]
- Paulsen, A.J.; Cruickshanks, K.J.; Fischer, M.E.; Huang, G.-H.; Klein, B.E.K.; Klein, R.; Dalton, D.S. Dry Eye in the Beaver Dam Offspring Study: Prevalence, Risk Factors, and Health-Related Quality of Life. Am. J. Ophthalmol. 2014, 157, 799–806. [Google Scholar] [CrossRef]
- Ahn, J.M.; Lee, S.H.; Rim, T.H.T.; Park, R.J.; Yang, H.S.; Kim, T.I.; Yoon, K.C.; Seo, K.Y. Epidemiologic Survey Committee of the Korean Ophthalmological Society Prevalence of and Risk Factors Associated with Dry Eye: The Korea National Health and Nutrition Examination Survey 2010–2011. Am. J. Ophthalmol. 2014, 158, 1205–1214.e7. [Google Scholar] [CrossRef]
- Rico-del-Viejo, L.; Lorente-Velázquez, A.; Hernández-Verdejo, J.L.; García-Mata, R.; Benítez-del-Castillo, J.M.; Madrid-Costa, D. The Effect of Ageing on the Ocular Surface Parameters. Contact Lens Anterior Eye 2018, 41, 5–12. [Google Scholar] [CrossRef]
- Tan, L.L.; Morgan, P.; Cai, Z.Q.; Straughan, R.A. Prevalence of and Risk Factors for Symptomatic Dry Eye Disease in Singapore. Clin. Exp. Optom. 2015, 98, 45–53. [Google Scholar] [CrossRef] [PubMed]
- Schaumberg, D.A.; Sullivan, D.A.; Buring, J.E.; Dana, M.R. Prevalence of Dry Eye Syndrome among US Women. Am. J. Ophthalmol. 2003, 136, 318–326. [Google Scholar] [CrossRef] [PubMed]
- Lin, X.; Wu, Y.; Chen, Y.; Zhao, Y.; Xiang, L.; Dai, Q.; Fu, Y.; Zhao, Y.; Zhao, Y. Characterization of Meibomian Gland Atrophy and the Potential Risk Factors for Middle Aged to Elderly Patients With Cataracts. Transl. Vis. Sci. Technol. 2020, 9, 48. [Google Scholar] [CrossRef]
- García-Marqués, J.V.; Talens-Estarelles, C.; García-Lázaro, S.; Wolffsohn, J.S.; Cerviño, A. Systemic, Environmental and Lifestyle Risk Factors for Dry Eye Disease in a Mediterranean Caucasian Population. Contact Lens Anterior Eye 2022, 45, 101539. [Google Scholar] [CrossRef] [PubMed]
- Moss, S.E.; Klein, R.; Klein, B.E. Prevalence of and Risk Factors for Dry Eye Syndrome. Arch. Ophthalmol. 2000, 118, 1264–1268. [Google Scholar] [CrossRef] [PubMed]
- Wang, M.T.M.; Vidal-Rohr, M.; Muntz, A.; Diprose, W.K.; Ormonde, S.E.; Wolffsohn, J.S.; Craig, J.P. Systemic Risk Factors of Dry Eye Disease Subtypes: A New Zealand Cross-Sectional Study. Ocul. Surf. 2020, 18, 374–380. [Google Scholar] [CrossRef]
- Galor, A.; Feuer, W.; Lee, D.J.; Florez, H.; Faler, A.L.; Zann, K.L.; Perez, V.L. Depression, Post-Traumatic Stress Disorder, and Dry Eye Syndrome: A Study Utilizing the National United States Veterans Affairs Administrative Database. Am. J. Ophthalmol. 2012, 154, 340–346.e2. [Google Scholar] [CrossRef]
- Uchino, M.; Yokoi, N.; Uchino, Y.; Dogru, M.; Kawashima, M.; Komuro, A.; Sonomura, Y.; Kato, H.; Kinoshita, S.; Schaumberg, D.A.; et al. Prevalence of Dry Eye Disease and Its Risk Factors in Visual Display Terminal Users: The Osaka Study. Am. J. Ophthalmol. 2013, 156, 759–766. [Google Scholar] [CrossRef]
- Uchino, M.; Nishiwaki, Y.; Michikawa, T.; Shirakawa, K.; Kuwahara, E.; Yamada, M.; Dogru, M.; Schaumberg, D.A.; Kawakita, T.; Takebayashi, T.; et al. Prevalence and Risk Factors of Dry Eye Disease in Japan: Koumi Study. Ophthalmology 2011, 118, 2361–2367. [Google Scholar] [CrossRef]
- Gayton, J.L. Etiology, Prevalence, and Treatment of Dry Eye Disease. Clin. Ophthalmol. 2009, 3, 405–412. [Google Scholar] [CrossRef] [PubMed]
- Lekhanont, K.; Rojanaporn, D.; Chuck, R.S.; Vongthongsri, A. Prevalence of Dry Eye in Bangkok, Thailand. Cornea 2006, 25, 1162–1167. [Google Scholar] [CrossRef] [PubMed]
- Saxena, R.; Srivastava, S.; Trivedi, D.; Anand, E.; Joshi, S.; Gupta, S.K. Impact of Environmental Pollution on the Eye. Acta Ophthalmol. Scand. 2003, 81, 491–494. [Google Scholar] [CrossRef] [PubMed]
- Gupta, N.; Prasad, I.; Himashree, G.; D’Souza, P. Prevalence of Dry Eye at High Altitude: A Case Controlled Comparative Study. High Alt. Med. Biol. 2008, 9, 327–334. [Google Scholar] [CrossRef] [PubMed]
- Asiedu, K.; Kyei, S.; Boampong, F.; Ocansey, S. Symptomatic Dry Eye and Its Associated Factors: A Study of University Undergraduate Students in Ghana. Eye Contact Lens 2017, 43, 262–266. [Google Scholar] [CrossRef]
- Shehadeh-Mashor, R.; Mimouni, M.; Shapira, Y.; Sela, T.; Munzer, G.; Kaiserman, I. Risk Factors for Dry Eye After Refractive Surgery. Cornea 2019, 38, 1495–1499. [Google Scholar] [CrossRef]
- Begley, C.G.; Caffery, B.; Nichols, K.K.; Chalmers, R. Responses of Contact Lens Wearers to a Dry Eye Survey. Optom. Vis. Sci. 2000, 77, 40–46. [Google Scholar] [CrossRef]
- Morgan, P.B.; Sulley, A.L. Challenges to the New Soft Contact Lens Wearer and Strategies for Clinical Management. Contact Lens Anterior Eye 2023, 46, 101827. [Google Scholar] [CrossRef]
- Sambhi, R.-D.S.; Sambhi, G.D.S.; Mather, R.; Malvankar-Mehta, M.S. Dry Eye after Refractive Surgery: A Meta-Analysis. Can. J. Ophthalmol. J. Can. Ophtalmol. 2020, 55, 99–106. [Google Scholar] [CrossRef]
- Garg, P.; Gupta, A.; Tandon, N.; Raj, P. Dry Eye Disease after Cataract Surgery: Study of Its Determinants and Risk Factors. Turk. J. Ophthalmol. 2020, 50, 133–142. [Google Scholar] [CrossRef]
- Samoilă, O.; Stan, C.; Vişan, O.; Crăciun, A.; Dican, L.; Mera, M. The influence of ocular surgery for lacrimal secretion. Oftalmol. Buchar. Rom. 1990 2007, 51, 81–85. [Google Scholar]
- Renard, H. Digital Transformation in Latin America: 5 Trends to Know. Vantiva 2024. [Google Scholar]
- GSMA The Mobile Economy Latin America 2024. GSMA Exec. Summ. 2024, 1, 1–44.
- Murube, J. REM Sleep: Tear Secretion and Dreams. Ocul. Surf. 2008, 6, 2–8. [Google Scholar] [CrossRef] [PubMed]
- Qian, L.; Wei, W. Identified Risk Factors for Dry Eye Syndrome: A Systematic Review and Meta-Analysis. PLoS ONE 2022, 17, e0271267. [Google Scholar] [CrossRef]
- Dossari, S.K.; Alkhars, A.Z.; Albaqshi, A.A.; AlHajri, H.M.; Alabdullah, Z.A.; Almuhnna, Z.A.; Almuhanna, B.A.; Aljanobi, M.A. Prevalence of Dry Eye Disease and Its Risk Factors Among the General Population of Saudi Arabia: A Cross-Sectional Survey. Cureus 2022, 14, e32552. [Google Scholar] [CrossRef] [PubMed]
- Yu, K.; Bunya, V.; Maguire, M.; Asbell, P.; Ying, G.-S.; Dry Eye Assessment and Management Study Research Group. Systemic Conditions Associated with Severity of Dry Eye Signs and Symptoms in the Dry Eye Assessment and Management Study. Ophthalmology 2021, 128, 1384–1392. [Google Scholar] [CrossRef]
- Viso, E.; Rodriguez-Ares, M.T.; Gude, F. Prevalence of and Associated Factors for Dry Eye in a Spanish Adult Population (the Salnes Eye Study). Ophthalmic Epidemiol. 2009, 16, 15–21. [Google Scholar] [CrossRef]
- Na, K.-S.; Han, K.; Park, Y.-G.; Na, C.; Joo, C.-K. Depression, Stress, Quality of Life, and Dry Eye Disease in Korean Women: A Population-Based Study. Cornea 2015, 34, 733–738. [Google Scholar] [CrossRef] [PubMed]
- van der Vaart, R.; Weaver, M.A.; Lefebvre, C.; Davis, R.M. The Association between Dry Eye Disease and Depression and Anxiety in a Large Population-Based Study. Am. J. Ophthalmol. 2015, 159, 470–474. [Google Scholar] [CrossRef]
- Bron, A.J.; de Paiva, C.S.; Chauhan, S.K.; Bonini, S.; Gabison, E.E.; Jain, S.; Knop, E.; Markoulli, M.; Ogawa, Y.; Perez, V.; et al. TFOS DEWS II Pathophysiology Report. Ocul. Surf. 2017, 15, 438–510. [Google Scholar] [CrossRef]
- Solomon, A.; Dursun, D.; Liu, Z.; Xie, Y.; Macri, A.; Pflugfelder, S.C. Pro- and Anti-Inflammatory Forms of Interleukin-1 in the Tear Fluid and Conjunctiva of Patients with Dry-Eye Disease. Investig. Ophthalmol. Vis. Sci. 2001, 42, 2283–2292. [Google Scholar]
- Chia, E.-M.; Mitchell, P.; Rochtchina, E.; Lee, A.J.; Maroun, R.; Wang, J.J. Prevalence and Associations of Dry Eye Syndrome in an Older Population: The Blue Mountains Eye Study. Clin. Experiment. Ophthalmol. 2003, 31, 229–232. [Google Scholar] [CrossRef] [PubMed]
- Moss, S.E.; Klein, R.; Klein, B.E.K. Long-Term Incidence of Dry Eye in an Older Population. Optom. Vis. Sci. 2008, 85, 668–674. [Google Scholar] [CrossRef] [PubMed]
- Moss, S.E.; Klein, R.; Klein, B.E.K. Incidence of Dry Eye in an Older Population. Arch. Ophthalmol. 2004, 122, 369–373. [Google Scholar] [CrossRef]
- Makrynioti, D.; Zagoriti, Z.; Koutsojannis, C.; Morgan, P.B.; Lagoumintzis, G. Ocular Conditions and Dry Eye Due to Traditional and New Forms of Smoking: A Review. Contact Lens Anterior Eye 2020, 43, 277–284. [Google Scholar] [CrossRef]
- Lee, S.-Y.; Petznick, A.; Tong, L. Associations of Systemic Diseases, Smoking and Contact Lens Wear with Severity of Dry Eye. Ophthalmic Physiol. Opt. 2012, 32, 518–526. [Google Scholar] [CrossRef]
- Matsumoto, Y.; Dogru, M.; Goto, E.; Sasaki, Y.; Inoue, H.; Saito, I.; Shimazaki, J.; Tsubota, K. Alterations of the Tear Film and Ocular Surface Health in Chronic Smokers. Eye Lond. Engl. 2008, 22, 961–968. [Google Scholar] [CrossRef]
- Millán, A.; Viso, E.; Gude, F.; Parafita-Fernández, A.; Moraña, N.; Rodríguez-Ares, M.T. Incidence and Risk Factors of Dry Eye in a Spanish Adult Population: 11-Year Follow-Up From the Salnés Eye Study. Cornea 2018, 37, 1527–1534. [Google Scholar] [CrossRef]
- Mandell, J.T.; Idarraga, M.; Kumar, N.; Galor, A. Impact of Air Pollution and Weather on Dry Eye. J. Clin. Med. 2020, 9, 3740. [Google Scholar] [CrossRef]
- Galor, A.; Feuer, W.; Lee, D.J.; Florez, H.; Carter, D.; Pouyeh, B.; Prunty, W.J.; Perez, V.L. Prevalence and Risk Factors of Dry Eye Syndrome in a United States Veterans Affairs Population. Am. J. Ophthalmol. 2011, 152, 377–384.e2. [Google Scholar] [CrossRef]
- Um, S.-B.; Kim, N.H.; Lee, H.K.; Song, J.S.; Kim, H.C. Spatial Epidemiology of Dry Eye Disease: Findings from South Korea. Int. J. Health Geogr. 2014, 13, 31. [Google Scholar] [CrossRef] [PubMed]
- Jha, K.N. High Altitude and the Eye. Asia-Pac. J. Ophthalmol. 2012, 1, 166–169. [Google Scholar] [CrossRef] [PubMed]
- Aldawsari, S.A.; Alzaidi, N.; Elsayed, M.E.A.; Alhammadi, A.A.; Alharthi, H.K.; Alosaimi, A.; Al-Najmi, Y. Prevalence and Determinants of Symptomatic Dry Eye Disease Among Adult Urban Residents of High-Altitude Areas of Southwest Saudi Arabia – A Survey. Clin. Ophthalmol. 2023, 17, 2687–2695. [Google Scholar] [CrossRef]
- Lu, P.; Chen, X.; Liu, X.; Yu, L.; Kang, Y.; Xie, Q.; Ke, L.; Wei, X. Dry Eye Syndrome in Elderly Tibetans at High Altitude: A Population-Based Study in China. Cornea 2008, 27, 545. [Google Scholar] [CrossRef] [PubMed]
- Jha, K. Tear Break-up Time in High Altitude Areas. Med. J. Armed Forces India 2009, 65, 2–3. [Google Scholar] [CrossRef][Green Version]
- Liu, S.-H.; Shaughnessy, D.; Leslie, L.; Abbott, K.; Abraham, A.G.; Mccann, P.; Saldanha, I.J.; Qureshi, R.; Li, T. Social Determinants of Dry Eye in the United States: A Systematic Review. Am. J. Ophthalmol. 2024, 261, 36–53. [Google Scholar] [CrossRef] [PubMed]
- Cui, D.; Mathews, P.M.; Li, G.; Guo, L.; VanCourt, S.; Saldanha, I.J.; Karamursel Akpek, E. Racial and Ethnic Disparities in Dry Eye Diagnosis and Care. Ophthalmic Epidemiol. 2023, 30, 484–491. [Google Scholar] [CrossRef]



| Author, Year | Country (Region/City) | Study Design | Number of Participants | Population |
|---|---|---|---|---|
| Cartes C. et al., 2021 [18] | Chile (Santiado de Chile) | Cross-sectional | 1450 | University students receiving online classes |
| Dias D. et al., 2016 [19] | Brazil (Belo Horizonte) | Cohort concurrent | 258 | Intensive care unit patients |
| Solórzano-Fernández A. et al., 2023 [20] | Ecuador (Manabi) | Cross-sectional | 365 | Administrative workers |
| Arcentales P. et al., 2020 [21] | Ecuador (Manabi) | Case-control study | 1908 | Patients diagnosed with dry eye and their undiagnosed family members |
| Ulloa S. et al., 2020 [22] | Ecuador (Guayaquil) | Cross-sectional | 60 | Company workers |
| Pérez C.M. and Alvarez D., 2001 [23] | Venezuela (Caracas) | Cross-sectional | 89 | Patients with rheumatoid arthritis in the Ophthalmology Service |
| Holgado M. et al., 2023 [24] | Argentina (Cordoba) | Cross-sectional and prospective | 100 | Ophthalmology patients between 20 and 50 years of age |
| Vera F. et al., 2022 [25] | Ecuador (Guayaquil) | Cross-sectional | 100 | Administrative workers |
| Condori-Meza I. et al., 2021 [26] | Peru | Cross-sectional study | 844 | Medical students |
| Goya M., 2023 [27] | Chile (Santiago de Chile) | Cross-sectional study | 205 | Dry eye disease patients |
| Torres R. et al., 2023 [28] | Argentina | Cross-sectional | 10,812 | General population older than 12 years |
| Yang I., 2021 [29] | Brazil | Cross-sectional | 2140 | Undergraduate students |
| Guedes C.L. et al., 2022 [30] | Brazil (Sao Paulo) | Cross-sectional | 582 | General population |
| Pereira L. et al., 2017 [31] | Brazil (Cássia dos Coqueiros) | Cross-sectional | 200 | General population |
| Mitchell J. et al., 2008 [32] | Venezuela | Cross-sectional | 1261 | General population |
| de Castro J. et al., 2018 [33] | Brazil | Cross-sectional | 3107 | General population |
| Author, Year | Country (Region/City) | Diagnosis Method | Prevalence of Symptoms Related to DED | Etiology | Clinical Presentation | Associated Factors |
|---|---|---|---|---|---|---|
| Cartes C. et al., 2021 [18] | Chile (Santiago de Chile) | Dry Eye Questionnaire (DEQ-5) | 77.5% | Computer vision syndrome | N/A | Female sex, previous dry eye diagnosis, keratoconus, contact lens use, and duration of visual display terminal use. |
| Dias D. et al., 2016 [19] | Brazil (Belo Horizonte) | Schirmer I test | 53.0% | Dry eye disease | Corneal lesion (54.3%), Punctate type lesion (52.0%), and Punctate epithelial erosions (30.0%) | O2 in ambient air, O2 by nasal catheter, oral diet released, and enteral diet route. |
| Solórzano-Fernández A. et al., 2023 [20] | Ecuador (Manabi) | McMonnies questionnaire | 49.0% | Computer vision syndrome | Itching (49.0%), dryness (22.0%), burning (7%), and discomfort/pain (10%) | N/A |
| Arcentales P. et al., 2020 [21] | Ecuador (Manabi) | Ocular Surface Disease Index (OSDI) questionnaire | 33.3% | Dry eye disease | N/A | Hypertension, diabetes, hepatitis C, thyroid disease, connective tissue disease, benign prostatic hyperplasia, rosacea, depression, post-traumatic stress disorder, and hematopoietic stem cell transplantation; neck radiation therapy and estrogen therapy after menopause. |
| Ulloa S. et al., 2020 [22] | Ecuador (Guayaquil) | BUT test, Schirmer II test, and Ferning test | 76.7% | Dry eye disease | Redness (18.87%), burning 16.98%, itching (16.98%), blurred vision that clears with blinking (9.43%), tearing (20.75%), redness (5.66%), foreign body sensation (7.55%) | N/A |
| Pérez C.M. and Alvarez D., 2001 [23] | Venezuela (Caracas) | Schirmer’s test and Vital’s staining test | 37.1% | Dry eye disease | Burning (52.0%), foreign body sensation (48.0%), and dryness (58.1%) | N/A |
| Holgado M. et al., 2023 [24] | Argentina (Cordoba) | Ocular Surface Disease Index (OSDI) questionnaire, fluorescence staining, lissamine green staining, and precorneal breakup time | 22.0% by OSDI, 26% by fluorescence staining, 46% by lissamine green staining, and 52% by precorneal breakup time | Computer vision syndrome | N/A | N/A |
| Vera F. et al., 2022 [25] | Ecuador (Guayaquil) | Donate questionnaire | 48.0% | Computer vision syndrome | Eye/eyelid fatigue (83.0%), blurred vision that clears with blinking (75.0%), and burning (70.0%) | Computer use more than 6 h per day and more than 6 years working in the same position |
| Condori-Meza I. et al., 2021 [26] | Peru | Ocular Surface Disease Index (OSDI) questionnaire | 70.9% | Computer vision syndrome | N/A | Problematic internet use in men. |
| Goya M.C., 2023 [27] | Chile (Santiago de Chile) | DEWS II criteria | 100.0% | Dry eye disease | N/A | Female sex |
| Torres R. et al., 2023 [28] | Argentina | Women’s Health Study (WHS) dry eye questionnaire | 42.1% | Dry eye disease | N/A | Female sex, use of digital screens for more than 6 h per day, and sleeping less than 7 h per day |
| Yang I., et al., 2021 [29] | Brazil | Ocular Surface Disease Index (OSDI) and the Women’s Health Study (WHS) questionnaires | 34.4% from the OSDI and 23.5% from the WHS | Dry eye disease | N/A | Both questionnaires: female sex, screen use of more than 6 h per day, anti-allergy medication, and rheumatological disease. From the WHS questionnaire: ocular surgery, contact lens wear, and isotretinoin use. From the OSDI questionnaire: contraceptive use, antidepressant use, smoking, and less than 6 h of sleep. |
| Guedes C.L. et al., 2022 [30] | Brazil (Sao Paulo) | Short dry eye questionnaire | 24.4% | Dry eye disease | N/A | In women: age older than 55 years, hypertension, and eye drops use. In men: eye drops use. |
| Pereira L. et al., 2017 [31] | Brazil (Cássia dos Coqueiros) | Ocular Surface Disease Index (OSDI) score > 20, or Schirmer’s test (ST) < 10 mm, or tear film breakup time (TFBUT) ≤ 6 s | 19.4% | Dry eye disease | N/A | Menopause, eye surgery, and dyslipidemia. |
| Mitchell J. et al., 2008 [32] | Venezuela | N/A | 4.0% | Dry eye disease | N/A | N/A |
| de Castro J. et al., 2018 [33] | Brazil | Short dry eye questionnaire | 12.8% | Dry eye disease | N/A | Female sex, older than 40 years, history of ocular surgery, connective tissue disorders, contact lens wear, computer use > 6 h per day, antidepressant use, anti-allergy drug, and menopause. |
Disclaimer/Publisher’s Note: The statements, opinions and data contained in all publications are solely those of the individual author(s) and contributor(s) and not of MDPI and/or the editor(s). MDPI and/or the editor(s) disclaim responsibility for any injury to people or property resulting from any ideas, methods, instructions or products referred to in the content. |
© 2024 by the authors. Licensee MDPI, Basel, Switzerland. This article is an open access article distributed under the terms and conditions of the Creative Commons Attribution (CC BY) license (https://creativecommons.org/licenses/by/4.0/).
Share and Cite
Loaiza-Guevara, V.; Salazar-Santoliva, C.; Villota-Arevalo, A.J.; Acosta-Villas, M.E.; Coral-Gaón, B.-L.; Afanador, J.E.; Restrepo, N.; Hernandez-Benitez, L.L.; Hernández, W.R.; Caceres-Delgado, L.C.; et al. Understanding the Dry Eye Disease-Related Symptoms in South America: Prevalence and Associated Factors—A Systematic Review. J. Clin. Med. 2024, 13, 6060. https://doi.org/10.3390/jcm13206060
Loaiza-Guevara V, Salazar-Santoliva C, Villota-Arevalo AJ, Acosta-Villas ME, Coral-Gaón B-L, Afanador JE, Restrepo N, Hernandez-Benitez LL, Hernández WR, Caceres-Delgado LC, et al. Understanding the Dry Eye Disease-Related Symptoms in South America: Prevalence and Associated Factors—A Systematic Review. Journal of Clinical Medicine. 2024; 13(20):6060. https://doi.org/10.3390/jcm13206060
Chicago/Turabian StyleLoaiza-Guevara, Valentina, Camila Salazar-Santoliva, Alvaro J. Villota-Arevalo, Marjorie E. Acosta-Villas, Betty-Liliana Coral-Gaón, Jesús E. Afanador, Natalia Restrepo, Laurens L. Hernandez-Benitez, Wendy Rincón Hernández, Laura C. Caceres-Delgado, and et al. 2024. "Understanding the Dry Eye Disease-Related Symptoms in South America: Prevalence and Associated Factors—A Systematic Review" Journal of Clinical Medicine 13, no. 20: 6060. https://doi.org/10.3390/jcm13206060
APA StyleLoaiza-Guevara, V., Salazar-Santoliva, C., Villota-Arevalo, A. J., Acosta-Villas, M. E., Coral-Gaón, B.-L., Afanador, J. E., Restrepo, N., Hernandez-Benitez, L. L., Hernández, W. R., Caceres-Delgado, L. C., & Izquierdo-Condoy, J. S. (2024). Understanding the Dry Eye Disease-Related Symptoms in South America: Prevalence and Associated Factors—A Systematic Review. Journal of Clinical Medicine, 13(20), 6060. https://doi.org/10.3390/jcm13206060

