Causal Relationship between Angina and Hepatic Failure as Revealed by Mendelian Randomization
Abstract
1. Introduction
2. Materials and Methods
2.1. Study Design
2.2. Data Source
2.3. IV Selection Criteria
- (1)
- SNPs reached a genome-wide association significance level of p < 5 × 10−8.
- (2)
- SNPs were independent, and the threshold of linkage disequilibrium (LD) was r2 < 0.01 and clumping window = 10,000 kb.
- (3)
- SNPs with F-statistics < 10 were excluded to avoid weak instrumental bias, and the calculation formula is , where R2 represents the cumulative explained variance of the selected SNPs during exposure, N is the sample size of the exposure database, and K is the number of SNPs included in the analysis. F-statistics > 10 indicates a low likelihood of weak instrument bias.
- (4)
- SNPs in the presence of palindromic sequence were excluded.
- (5)
- SNPs associated (p < 1 × 10−5) with known confounders (e.g., Hepatitis A,B,C,D, and E, alcohol consumption, diabetes, obesity, autoimmune hepatitis, primary biliary cholangitis, primary sclerosing cholangitis, Wilson’s disease, rheumatoid arthritis, hypercholesteremia, taking cholesterol-lowering medication) were removed (Figure 2) [27].
2.4. MR Analysis
2.5. Sensitivity Analysis
3. Results
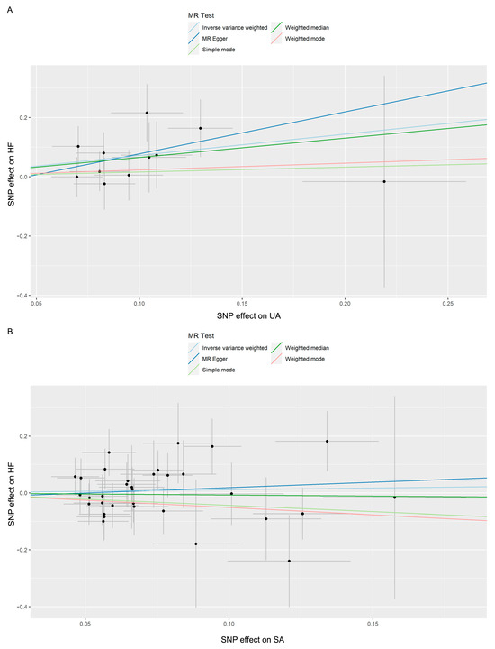
3.1. UA Had a Positive Causal Effect on HF Risk
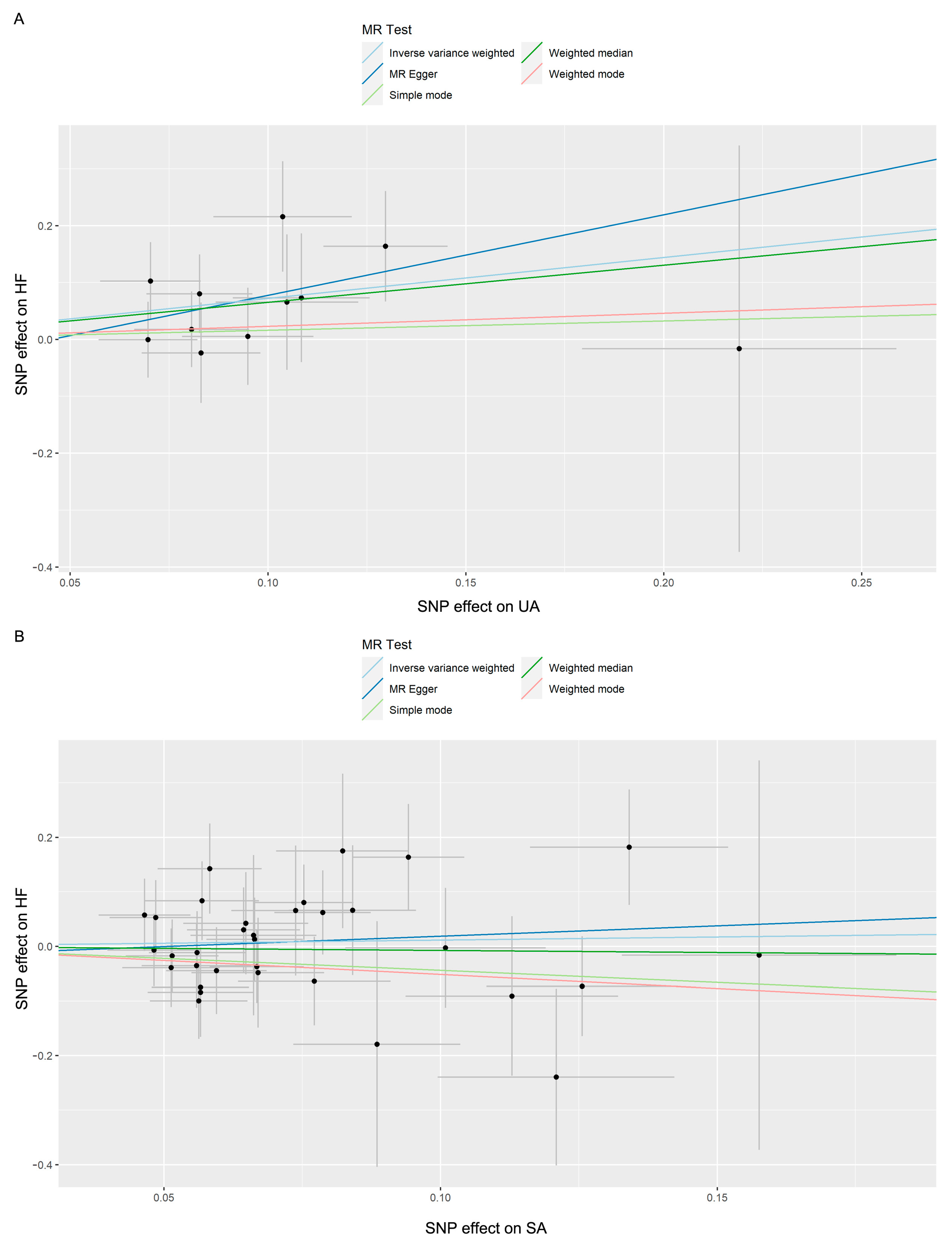
3.2. SA Had No Significant Causal Effect on HF Risk
4. Discussion
5. Conclusions
Author Contributions
Funding
Informed Consent Statement
Data Availability Statement
Acknowledgments
Conflicts of Interest
References
- Manfredi, R.; Verdoia, M.; Compagnucci, P.; Barbarossa, A.; Stronati, G.; Casella, M.; Dello Russo, A.; Guerra, F.; Ciliberti, G. Angina in 2022: Current Perspectives. J. Clin. Med. 2022, 11, 6891. [Google Scholar] [CrossRef] [PubMed]
- Schef, K.W.; Tornvall, P.; Alfredsson, J.; Hagström, E.; Ravn-Fischer, A.; Soderberg, S.; Yndigegn, T.; Jernberg, T. Prevalence of angina pectoris and association with coronary atherosclerosis in a general population. Heart 2023, 109, 1450–1459. [Google Scholar] [CrossRef]
- Ahmed, W.; Muhammad, T.; Maurya, C.; Akhtar, S.N. Prevalence and factors associated with undiagnosed and uncontrolled heart disease: A study based on self-reported chronic heart disease and symptom-based angina pectoris among middle-aged and older Indian adults. PLoS ONE 2023, 18, e0287455. [Google Scholar] [CrossRef] [PubMed]
- Heutinck, J.M.; de Koning, I.A.; Vromen, T.; Thijssen, D.H.J.; Kemps, H.M.C. Exercise-based cardiac rehabilitation in stable angina pectoris: A narrative review on current evidence and underlying physiological mechanisms. Neth. Heart J. 2023, 32, 23–30. [Google Scholar] [CrossRef] [PubMed]
- Byrne, R.A.; Rossello, X.; Coughlan, J.J.; Barbato, E.; Berry, C.; Chieffo, A.; Claeys, M.J.; Dan, G.-A.; Dweck, M.R.; Galbraith, M.; et al. 2023 ESC Guidelines for the management of acute coronary syndromes: Developed by the task force on the management of acute coronary syndromes of the European Society of Cardiology (ESC). Eur. Heart J. 2023, 44, 3720–3826. [Google Scholar] [CrossRef] [PubMed]
- Abbas, A.; Raza, A.; Ullah, M.; Hendi, A.A.; Akbar, F.; Khan, S.U.; Zaman, U.; Saeed, S.; Ur Rehman, K.; Sultan, S.; et al. A Comprehensive Review: Epidemiological Strategies, Catheterization and Biomarkers used as a Bioweapon in Diagnosis and Management of Cardio Vascular Diseases. Curr. Probl. Cardiol. 2023, 48, 101661. [Google Scholar] [CrossRef]
- El Hadi, H.; Di Vincenzo, A.; Vettor, R.; Rossato, M. Relationship between Heart Disease and Liver Disease: A Two-Way Street. Cells 2020, 9, 567. [Google Scholar] [CrossRef] [PubMed]
- Jain, V.; Ghosh, R.K.; Bandyopadhyay, D.; Kondapaneni, M.; Mondal, S.; Hajra, A.; Aronow, W.S.; Lavie, C.J. Serum Bilirubin and Coronary Artery Disease: Intricate Relationship, Pathophysiology, and Recent Evidence. Curr. Probl. Cardiol. 2021, 46, 100431. [Google Scholar] [CrossRef]
- Zhang, Y.; Fang, X.M. Hepatocardiac or Cardiohepatic Interaction: From Traditional Chinese Medicine to Western Medicine. Evid. Based Complement. Altern. Med. 2021, 2021, 6655335. [Google Scholar] [CrossRef]
- Lee, W.M. Acute liver failure. In Yamada’s Textbook of Gastroenterology; John Wiley & Sons: New York, NY, USA, 2022; pp. 1889–1905. [Google Scholar]
- Khalil, A.W.; Iqbal, Z.; Adhikari, A.; Khan, H.; Nishan, U.; Iqbal, A.; Bangash, J.A.; Tarar, O.M.; Bilal, A.; Khan, S.A.; et al. Spectroscopic characterization of eupalitin-3-O-β-D-galactopyranoside from Boerhavia procumbens: In vivo hepato-protective potential in rat model. Spectrochim. Acta Part A Mol. Biomol. Spectrosc. 2024, 304, 123369. [Google Scholar] [CrossRef]
- Rovegno, M.; Vera, M.; Ruiz, A.; Benítez, C. Current concepts in acute liver failure. Ann. Hepatol. 2019, 18, 543–552. [Google Scholar] [CrossRef] [PubMed]
- Br, V.K.; Sarin, S.K. Acute-on-chronic liver failure: Terminology, mechanisms and management. Clin. Mol. Hepatol. 2023, 29, 670–689. [Google Scholar] [CrossRef] [PubMed]
- Luo, J.; Li, J.; Li, P.; Liang, X.; Hassan, H.M.; Moreau, R.; Li, J. Acute-on-chronic liver failure: Far to go—A review. Crit. Care 2023, 27, 259. [Google Scholar] [CrossRef] [PubMed]
- Weiler, N.; Schlotmann, A.; Schnitzbauer, A.A.; Zeuzem, S.; Welker, M.W. The Epidemiology of Acute Liver Failure. Dtsch. Arztebl. Int. 2020, 117, 43–50. [Google Scholar] [CrossRef] [PubMed]
- Cusack, M.R.; Marber, M.S.; Lambiase, P.D.; Bucknall, C.A.; Redwood, S.R. Systemic inflammation in unstable angina is the result of myocardial necrosis. J. Am. Coll. Cardiol. 2002, 39, 1917–1923. [Google Scholar] [CrossRef] [PubMed]
- Wang, S.; Zhu, H.; Pan, L.; Zhang, M.; Wan, X.; Xu, H.; Hua, R.; Zhu, M.; Gao, P. Systemic inflammatory regulators and risk of acute-on-chronic liver failure: A bidirectional mendelian-randomization study. Front. Cell Dev. Biol. 2023, 11, 1125233. [Google Scholar] [CrossRef] [PubMed]
- Laleman, W.; Claria, J.; Van der Merwe, S.; Moreau, R.; Trebicka, J. Systemic Inflammation and Acute-on-Chronic Liver Failure: Too Much, Not Enough. Can. J. Gastroenterol. Hepatol. 2018, 2018, 1027152. [Google Scholar] [CrossRef]
- Fuhrmann, V.; Jäger, B.; Zubkova, A.; Drolz, A. Hypoxic hepatitis—Epidemiology, pathophysiology and clinical management. Wien. Klin. Wochenschr. 2010, 122, 129–139. [Google Scholar] [CrossRef]
- Waseem, N.; Chen, P.H. Hypoxic Hepatitis: A Review and Clinical Update. J. Clin. Transl. Hepatol. 2016, 4, 263–268. [Google Scholar] [CrossRef]
- Jonsdottir, S.; Arnardottir, M.B.; Andresson, J.A.; Bjornsson, H.K.; Lund, S.H.; Bjornsson, E.S. Prevalence, clinical characteristics and outcomes of hypoxic hepatitis in critically ill patients. Scand. J. Gastroenterol. 2022, 57, 311–318. [Google Scholar] [CrossRef]
- Sanderson, E.; Glymour, M.M.; Holmes, M.V.; Kang, H.; Morrison, J.; Munafò, M.R.; Palmer, T.; Schooling, C.M.; Wallace, C.; Zhao, Q.; et al. Mendelian randomization. Nat. Rev. Methods Primers 2022, 2, 6. [Google Scholar] [CrossRef] [PubMed]
- Andreasen, L. Mendelian randomization—A powerful tool to study the causal effects of atrial fibrillation on loss of brain volume. BMC Med. 2021, 19, 70. [Google Scholar] [CrossRef] [PubMed]
- Birney, E. Mendelian Randomization. Cold Spring Harb. Perspect. Med. 2022, 12, a041302. [Google Scholar] [CrossRef] [PubMed]
- Chen, L.; Yang, H.; Li, H.; He, C.; Yang, L.; Lv, G. Insights into modifiable risk factors of cholelithiasis: A Mendelian randomization study. Hepatol. 2022, 75, 785–796. [Google Scholar] [CrossRef] [PubMed]
- Lee, Y.H. Overview of Mendelian Randomization Analysis. J. Rheum. Dis. 2020, 27, 241–246. [Google Scholar] [CrossRef]
- Kain, J.; Owen, K.A.; Marion, M.C.; Langefeld, C.D.; Grammer, A.C.; Lipsky, P.E. Mendelian randomization and pathway analysis demonstrate shared genetic associations between lupus and coronary artery disease. Cell Rep. Med. 2022, 3, 100805. [Google Scholar] [CrossRef] [PubMed]
- Zhu, Q.; Hua, L.; Chen, L.; Mu, T.; Dong, D.; Xu, J.; Shen, C. Causal association between obstructive sleep apnea and gastroesophageal reflux disease: A bidirectional two-sample Mendelian randomization study. Front. Genet. 2023, 14, 1111144. [Google Scholar] [CrossRef]
- Poelzl, G.; Ess, M.; Mussner-Seeber, C.; Pachinger, O.; Frick, M.; Ulmer, H. Liver dysfunction in chronic heart failure: Prevalence, characteristics and prognostic significance. Eur. J. Clin. Investig. 2012, 42, 153–163. [Google Scholar] [CrossRef]
- Stolz, L.; Kirchner, M.; Steffen, J.; Doldi, P.M.; Braun, D.; Weckbach, L.T.; Stocker, T.J.; Löw, K.; Fischer, J.; Haum, M.; et al. Cardio-hepatic syndrome in patients undergoing transcatheter aortic valve replacement. Clin. Res. Cardiol. Off. J. Ger. Card. Soc. 2023, 112, 1427–1435. [Google Scholar] [CrossRef]
- Kobalava, Z.D.; Villevalde, S.V.; Soloveva, A.E. Cardio-hepatic Syndrome in Heart Failure: Prevalence, Pathogenesis and Prognostic Significance. Kardiologiia 2016, 56, 63–71. [Google Scholar]
- Liang, W.; He, X.; Wu, D.; Xue, R.; Dong, B.; Owusu-Agyeman, M.; Zhao, J.; Cai, L.; You, Z.; Dong, Y.; et al. Prognostic Implication of Liver Function Tests in Heart Failure With Preserved Ejection Fraction Without Chronic Hepatic Diseases: Insight From TOPCAT Trial. Front. Cardiovasc. Med. 2021, 8, 618816. [Google Scholar] [CrossRef] [PubMed]
- Møller, S.; Bernardi, M. Interactions of the heart and the liver. Eur. Heart J. 2013, 34, 2804–2811. [Google Scholar] [CrossRef] [PubMed]
- Wuthnow, C.; Bharwad, A.; Kamran, S.; Brake, M.; Rowe, K. Ischemic Hepatitis and Acute Kidney Injury Following Cardioversion. Kans. J. Med. 2023, 16, 145–146. [Google Scholar] [CrossRef] [PubMed]
- Van den broecke, A.; Van Coile, L.; Decruyenaere, A.; Colpaert, K.; Benoit, D.; Van Vlierberghe, H.; Decruyenaere, J. Epidemiology, causes, evolution and outcome in a single-center cohort of 1116 critically ill patients with hypoxic hepatitis. Ann Intensive Care 2018, 8, 15. [Google Scholar] [CrossRef]
- Mukundan, S.V.; Marbach, J.A. Live(r) and let die: Redefining hypoxic hepatitis in cardiogenic shock. Eur. Heart J. Acute Cardiovasc. Care 2023, 12, 671–672. [Google Scholar] [CrossRef] [PubMed]
- Henrion, J. Hypoxic hepatitis. Liver Int. 2012, 32, 1039–1052. [Google Scholar] [CrossRef] [PubMed]
- Omran, S.; Greiner, A. Ischemic hepatitis due to an occlusion of visceral arteries: A case report. J. Surg. Case Rep. 2023, 2023, rjad671. [Google Scholar] [CrossRef]
- Metra, M.; Dinatolo, E.; Dasseni, N. The New Heart Failure Association Definition of Advanced Heart Failure. Card. Fail. Rev. 2019, 5, 5–8. [Google Scholar] [CrossRef]
- Murphy, S.P.; Ibrahim, N.E.; Januzzi, J.L., Jr. Heart Failure With Reduced Ejection Fraction: A Review. JAMA 2020, 324, 488–504. [Google Scholar] [CrossRef]
- Hwang, D.; Park, S.H.; Koo, B.K. Ischemia With Nonobstructive Coronary Artery Disease: Concept, Assessment, and Management. JACC Asia 2023, 3, 169–184. [Google Scholar] [CrossRef]
- Deng, J.; He, J.; Wang, J.; Cheng, C.W.; Jiao, Y.; Wang, N.; Li, J.; Wang, P.; Han, F.; Lyu, A.; et al. Reporting quality of randomized controlled trials of angina pectoris with integrated traditional Chinese and western medicine interventions: A cross-sectional study. BMC Med. Res. Methodol. 2023, 23, 124. [Google Scholar] [CrossRef] [PubMed]
- Larsson, S.C.; Butterworth, A.S.; Burgess, S. Mendelian randomization for cardiovascular diseases: Principles and applications. Eur. Heart J. 2023, 44, 4913–4924. [Google Scholar] [CrossRef] [PubMed]
- Dirchwolf, M.; Ruf, A.E. Role of systemic inflammation in cirrhosis: From pathogenesis to prognosis. World J. Hepatol. 2015, 7, 1974–1981. [Google Scholar] [CrossRef] [PubMed]
- Deng, W.; Farricielli, L. Hypoxic hepatitis and acute liver failure in a patient with newly onset atrial fibrillation and diltiazem infusion. BMJ Case Rep. 2013, 2013. [Google Scholar] [CrossRef]
- Theofilis, P.; Oikonomou, E.; Chasikidis, C.; Tsioufis, K.; Tousoulis, D. Pathophysiology of Acute Coronary Syndromes—Diagnostic and Treatment Considerations. Life 2023, 13, 1543. [Google Scholar] [CrossRef]
- Koehne de Gonzalez, A.K.; Lefkowitch, J.H. Heart Disease and the Liver: Pathologic Evaluation. Gastroenterol. Clin. N. Am. 2017, 46, 421–435. [Google Scholar] [CrossRef]
- Xanthopoulos, A.; Starling, R.C.; Kitai, T.; Triposkiadis, F. Heart Failure and Liver Disease: Cardiohepatic Interactions. JACC Heart Fail. 2019, 7, 87–97. [Google Scholar] [CrossRef]






| Exposures /Outcome | GWAS ID | Ethnicity | Year | Observation Sample Size | Control Sample Size | Total Sample Size | Number of SNP |
|---|---|---|---|---|---|---|---|
| UA | ebi-a-GCST90018932 | European | 2021 | 9481 | 446,987 | 456,468 | 24,179,929 |
| SA | ebi-a-GCST90018915 | European | 2021 | 17,894 | 325,132 | 343,026 | 19,057,124 |
| HF | finn-b-K11_HEPFAIL | European | 2021 | 464 | 213,592 | 214,056 | 16,380,437 |
| No. | SNPs | CHR * | Position | EA * | OA * | Beta | SE * | F-Stat * | p-Value |
|---|---|---|---|---|---|---|---|---|---|
| 1 | rs10305838 | 4 | 148400256 | C | T | 0.130 | 0.016 | 68.246 | 1.28 × 10−16 |
| 2 | rs11206803 | 1 | 56877509 | T | C | 0.070 | 0.013 | 31.092 | 2.61 × 10−8 |
| 3 | rs11584234 | 1 | 115907009 | G | T | −0.095 | 0.017 | 32.682 | 9.79 × 10−9 |
| 4 | rs17637472 | 17 | 47461433 | A | G | 0.081 | 0.015 | 30.975 | 2.79 × 10−8 |
| 5 | rs2240191 | 12 | 113335731 | T | G | 0.104 | 0.018 | 35.114 | 3.30 × 10−9 |
| 6 | rs2288873 | 19 | 41852979 | G | A | −0.070 | 0.013 | 30.641 | 3.35 × 10−8 |
| 7 | rs28720373 | 4 | 148291242 | T | C | −0.083 | 0.015 | 30.691 | 3.09 × 10−8 |
| 8 | rs4409766 | 10 | 104616663 | C | T | −0.108 | 0.017 | 39.261 | 3.30 × 10−10 |
| 9 | rs7176070 | 15 | 79033489 | C | T | −0.083 | 0.013 | 38.089 | 7.16 × 10−10 |
| 10 | rs75346744 | 2 | 21520627 | G | A | 0.219 | 0.040 | 30.458 | 3.28 × 10−8 |
| 11 | rs79780963 | 10 | 104952499 | T | C | −0.105 | 0.018 | 33.898 | 5.53 × 10−9 |
| No. | SNPs | CHR | Position | EA | OA | Beta | SE | F-Stat | p-Value |
|---|---|---|---|---|---|---|---|---|---|
| 1 | rs10305838 | 4 | 148400256 | C | T | 0.094 | 0.010 | 86.987 | 1.60 × 10−20 |
| 2 | rs11072799 | 15 | 79027814 | T | G | −0.075 | 0.009 | 70.001 | 7.15 × 10−17 |
| 3 | rs11107908 | 12 | 95521242 | T | C | −0.082 | 0.012 | 47.036 | 6.16 × 10−12 |
| 4 | rs111876722 | 11 | 201922 | C | T | 0.089 | 0.015 | 34.350 | 4.13 × 10−9 |
| 5 | rs11191593 | 10 | 104939215 | C | T | −0.084 | 0.012 | 53.480 | 3.01 × 10−13 |
| 6 | rs113429881 | 6 | 25064756 | A | G | −0.121 | 0.021 | 31.917 | 1.69 × 10−8 |
| 7 | rs114846969 | 19 | 11191197 | A | G | −0.101 | 0.018 | 31.076 | 2.45 × 10−8 |
| 8 | rs11600200 | 11 | 120334680 | G | T | 0.077 | 0.014 | 31.295 | 2.25 × 10−8 |
| 9 | rs12928974 | 16 | 75304957 | T | C | 0.052 | 0.008 | 37.588 | 9.55 × 10−10 |
| 10 | rs13031230 | 2 | 164912119 | T | C | −0.060 | 0.009 | 42.751 | 7.45 × 10−11 |
| 11 | rs17114036 | 1 | 56962821 | G | A | −0.134 | 0.018 | 56.124 | 6.13 × 10−14 |
| 12 | rs1893250 | 18 | 20002944 | C | A | 0.056 | 0.009 | 40.931 | 1.70 × 10−10 |
| 13 | rs2166529 | 2 | 85742175 | T | G | 0.067 | 0.009 | 61.761 | 2.97 × 10−15 |
| 14 | rs223288 | 6 | 57105602 | C | T | −0.113 | 0.019 | 34.577 | 4.39 × 10−9 |
| 15 | rs2306556 | 4 | 156638573 | G | A | −0.064 | 0.010 | 39.863 | 2.48 × 10−10 |
| 16 | rs2327429 | 6 | 134209837 | C | T | −0.079 | 0.009 | 81.829 | 9.57 × 10−20 |
| 17 | rs2820309 | 1 | 201834944 | G | A | 0.057 | 0.010 | 30.517 | 3.60 × 10−8 |
| 18 | rs28451064 | 21 | 35593827 | A | G | 0.126 | 0.017 | 52.709 | 4.00 × 10−13 |
| 19 | rs34767248 | 1 | 222793770 | C | T | 0.066 | 0.009 | 58.250 | 2.21 × 10−14 |
| 20 | rs35058456 | 2 | 19943632 | G | T | −0.056 | 0.009 | 41.432 | 1.45 × 10−10 |
| 21 | rs3741380 | 11 | 65349063 | A | G | 0.048 | 0.008 | 32.926 | 8.11 × 10−9 |
| 22 | rs4285828 | 10 | 44602514 | C | T | −0.049 | 0.008 | 34.145 | 4.94 × 10−9 |
| 23 | rs4778730 | 15 | 79253321 | G | T | −0.066 | 0.011 | 33.721 | 6.17 × 10−9 |
| 24 | rs4790881 | 17 | 2068932 | A | C | 0.051 | 0.009 | 33.983 | 6.17 × 10−9 |
| 25 | rs62013193 | 15 | 79202362 | T | C | 0.065 | 0.011 | 32.884 | 8.68 × 10−9 |
| 26 | rs6504606 | 17 | 47405349 | G | A | 0.056 | 0.010 | 31.882 | 1.53 × 10−8 |
| 27 | rs6537862 | 1 | 115884184 | A | G | −0.067 | 0.012 | 31.173 | 2.32 × 10−8 |
| 28 | rs6694258 | 1 | 154428505 | A | C | −0.047 | 0.008 | 31.387 | 2.29 × 10−8 |
| 29 | rs7500448 | 16 | 83045790 | G | A | −0.057 | 0.010 | 35.496 | 2.50 × 10−9 |
| 30 | rs75041078 | 19 | 41877491 | A | G | 0.058 | 0.009 | 38.466 | 5.89 × 10−10 |
| 31 | rs75346744 | 2 | 21520627 | G | A | 0.158 | 0.025 | 40.384 | 2.00 × 10−10 |
| 32 | rs7681920 | 4 | 95937284 | A | C | −0.057 | 0.009 | 41.368 | 1.34 × 10−10 |
| 33 | rs79780963 | 10 | 104952499 | T | C | −0.074 | 0.012 | 40.476 | 1.82 × 10−10 |
| Exposures | Outcome | Cochrane’s Q | MR-PRESSO | Egger Intercept | |||||
|---|---|---|---|---|---|---|---|---|---|
| IVW | p-Val * | MR Egger | p-Val | Outliers | p-Val | Intercept | p-Val | ||
| UA | HF | 5.927 | 0.821 | 5.639 | 0.775 | 0 | 0.827 | −6.41 × 10−2 | 0.604 |
| SA | HF | 25.862 | 0.770 | 25.719 | 0.735 | 0 | 0.722 | −1.93 × 10−2 | 0.708 |
Disclaimer/Publisher’s Note: The statements, opinions and data contained in all publications are solely those of the individual author(s) and contributor(s) and not of MDPI and/or the editor(s). MDPI and/or the editor(s) disclaim responsibility for any injury to people or property resulting from any ideas, methods, instructions or products referred to in the content. |
© 2024 by the authors. Licensee MDPI, Basel, Switzerland. This article is an open access article distributed under the terms and conditions of the Creative Commons Attribution (CC BY) license (https://creativecommons.org/licenses/by/4.0/).
Share and Cite
Xu, F.; Dirsch, O.; Dahmen, U. Causal Relationship between Angina and Hepatic Failure as Revealed by Mendelian Randomization. J. Clin. Med. 2024, 13, 449. https://doi.org/10.3390/jcm13020449
Xu F, Dirsch O, Dahmen U. Causal Relationship between Angina and Hepatic Failure as Revealed by Mendelian Randomization. Journal of Clinical Medicine. 2024; 13(2):449. https://doi.org/10.3390/jcm13020449
Chicago/Turabian StyleXu, Fengming, Olaf Dirsch, and Uta Dahmen. 2024. "Causal Relationship between Angina and Hepatic Failure as Revealed by Mendelian Randomization" Journal of Clinical Medicine 13, no. 2: 449. https://doi.org/10.3390/jcm13020449
APA StyleXu, F., Dirsch, O., & Dahmen, U. (2024). Causal Relationship between Angina and Hepatic Failure as Revealed by Mendelian Randomization. Journal of Clinical Medicine, 13(2), 449. https://doi.org/10.3390/jcm13020449
