Efficacy and Safety of Upadacitinib in Rheumatoid Arthritis: Real-Life Experience from a Prospective Longitudinal Multicentric Study
Abstract
1. Introduction
2. Materials and Methods
2.1. Study Design and Participants
- Patients aged over 18 years
- Patients were classified as having RA according to the 2010 ACR/EULAR classification criteria [25].
- Inadequate responders, as for EULAR response criteria [26], require at least 6 months of treatment with MTX at the standard dosage (patients bio-naïve) or with MTX and bDMARDs at the standard dosage (patients bio-failure).
- The treatment with any bDMARDs and tsDMARDs other than upadacitinib.
- Allergy or intolerance to Upadacitinib
2.2. Aims and Endpoints
- Confounding variables as predictors of response to Upadacitinib therapy (line of therapy, concomitant csDMARDs therapy, RF and ACPA seropositivity, concomitant glucocorticoid therapy);
- A safety profile (Drug adverse events (AEs)) was recorded to describe the safety profile.
2.3. Statistical Analysis
3. Results
4. Discussion
5. Conclusions
Author Contributions
Funding
Institutional Review Board Statement
Informed Consent Statement
Data Availability Statement
Conflicts of Interest
References
- Ben Tekaya, A.; Hannech, E.; Saidane, O.; Rouached, L.; Bouden, S.; Tekaya, R.; Mahmoud, I.; Abdelmoula, L. Association between Rheumatic Disease Comorbidity Index and factors of poor prognosis in a cohort of 280 patients with rheumatoid arthritis. BMC Rheumatol. 2022, 6, 78. [Google Scholar] [CrossRef] [PubMed]
- van der Woude, D.; van der Helm-van Mil, A.H.M. Update on the epidemiology, risk factors, and disease outcomes of rheumatoid arthritis. Best. Pract. Res. Clin. Rheumatol. 2018, 32, 174–187. [Google Scholar] [CrossRef]
- Yu, K.-H.; Chen, H.-H.; Cheng, T.-T.M.; Jan, Y.-J.; Weng, M.-Y.; Lin, Y.-J.; Chen, H.-A.; Cheng, J.-T.; Huang, K.-Y.; Li, K.-J.; et al. Consensus recommendations on managing the selected comorbidities including cardiovascular disease, osteoporosis, and interstitial lung disease in rheumatoid arthritis. Medicine 2022, 101, e28501. [Google Scholar] [CrossRef] [PubMed]
- Kerschbaumer, A.; Sepriano, A.; Bergstra, S.A.; Smolen, J.S.; van der Heijde, D.; Caporali, R.; Edwards, C.J.; Verschueren, P.; de Souza, S.; Pope, J.E.; et al. Efficacy of synthetic and biological DMARDs: A systematic literature review informing the 2022 update of the EULAR recommendations for the management of rheumatoid arthritis. Ann. Rheum. Dis. 2023, 82, 95–106. [Google Scholar] [CrossRef] [PubMed]
- Singh, J.A.; Saag, K.G.; Bridges, S.L., Jr.; Akl, E.A.; Bannuru, R.R.; Sullivan, M.C.; Vaysbrot, E.; McNaughton, C.; Osani, M.; Shmerling, R.H.; et al. 2015 American College of Rheumatology guideline for the treatment of rheumatoid arthritis. Arthritis Rheumatol. 2016, 68, 1–26. [Google Scholar] [CrossRef]
- Klareskog, L.; van der Heijde, D.; de Jager, J.P.; Gough, A.; Kalden, J.; Malaise, M.; Mola, E.M.; Pavelka, K.; Sany, J.; Settas, L.; et al. Therapeutic effect of the combination of etanercept and methotrexate compared with each treatment alone in patients with rheumatoid arthritis: Double-blind randomised controlled trial. Lancet 2004, 363, 675–681. [Google Scholar] [CrossRef]
- Furst, D.E.; Pangan, A.L.; Harrold, L.R.; Chang, H.; Reed, G.; Kremer, J.M.; Greenberg, J.D. Greater likelihood of remission in rheumatoid arthritis patients treated earlier in the disease course: Results from the Consortium of Rheumatology Researchers of North America registry. Arthritis Care Res. 2011, 63, 856–864. [Google Scholar] [CrossRef]
- van Vollenhoven, R.F.; Ernestam, S.; Geborek, P.; Petersson, I.F.; Coster, L.; Waltbrand, E.; Zickert, A.; Theander, J.; Thorner, A.; Hellstrom, H.; et al. Addition of infliximab compared with addition of sulfasalazine and hydroxychloroquine to methotrexate in patients with early rheumatoid arthritis (Swefot trial): 1-year results of a randomised trial. Lancet 2009, 374, 459–466. [Google Scholar] [CrossRef]
- Kalden, J.R.; Schulze-Koops, H. Immunogenicity and loss of response to TNF inhibitors: Implications for rheumatoid arthritis treatment. Nat. Rev. Rheumatol. 2017, 13, 707–718. [Google Scholar] [CrossRef] [PubMed]
- Nam, J.L.; Ramiro, S.; Gaujoux-Viala, C.; Takase, K.; Leon-Garcia, M.; Emery, P.; Gossec, L.; Landewe, R.; Smolen, J.S.; Buch, M.H. Efficacy of biological disease modifying antirheumatic drugs: A systematic literature review informing the 2013 update of the EULAR recommendations for the management of rheumatoid arthritis. Ann. Rheum. Dis. 2014, 73, 516–528. [Google Scholar] [CrossRef]
- Kaeley, G.S.; Evangelisto, A.M.; Nishio, M.J.; Goss, S.L.; Liu, S.; Kalabic, J.; Kupper, H. Methotrexate dosage reduction upon adalimumab initiation: Clinical and ultrasonographic outcomes from the randomized noninferiority MUSICA trial. J. Rheumatol. 2016, 43, 1480–1489. [Google Scholar] [CrossRef]
- O’Shea, J.J.; Schwartz, D.M.; Villarino, A.V.; Gadina, M.; McInnes, I.B.; Laurence, A. The JAK-S TAT pathway: Impact on human disease and therapeutic intervention. Annu. Rev. Med. 2015, 66, 311–328. [Google Scholar] [CrossRef] [PubMed]
- Kremer, J.M.; Emery, P.; Camp, H.S.; Friedman, A.; Wang, L.; Othman, A.A.; Khan, N.; Pangan, A.L.; Jungerwirth, S.; Keystone, E.C. A phase IIb study of ABT-4 94, a selective JAK-1 inhibitor, in patients with rheumatoid arthritis and an inadequate response to anti– tumor necrosis factor therapy. Arthritis Rheumatol. 2016, 68, 2867–2877. [Google Scholar] [CrossRef]
- Genovese, M.C.; Smolen, J.S.; Weinblatt, M.E.; Burmester, G.R.; Meerwein, S.; Camp, H.S.; Wang, L.; Othman, A.A.; Khan, N.; Pangan, A.L.; et al. Efficacy and safety of ABT-4 94, a selective JAK- 1 inhibitor, in a phase IIb study in patients with rheumatoid arthritis and an inadequate response to methotrexate. Arthritis Rheumatol. 2016, 68, 2857–2866. [Google Scholar] [CrossRef] [PubMed]
- Burmester, G.R.; Kremer, J.M.; Bosch, F.V.D.; Kivitz, A.; Bessette, L.; Li, Y.; Zhou, Y.; Othman, A.A.; Pangan, A.L.; Camp, H.S. Safety and efficacy of upadacitinib in patients with rheumatoid arthritis and inadequate response to conventional synthetic disease-modifying anti-rheumatic drugs (SELECT-NEXT): A randomised, double-blind, placebo- controlled phase 3 trial. Lancet 2018, 391, 2503–2512. [Google Scholar] [CrossRef]
- Genovese, M.C.; Fleischmann, R.; Combe, B.; Hall, S.; Rubbert-Roth, A.; Zhang, Y.; Zhou, Y.; Mohamed, M.-E.F.; Meerwein, S.; Pangan, A.L. Safety and efficacy of upadacitinib in patients with active rheumatoid arthritis refractory to biologic disease- modifying anti- rheumatic drugs (SELECT- BEYOND): A double- blind, randomised controlled phase 3 trial. Lancet 2018, 391, 2513–2524. [Google Scholar] [CrossRef] [PubMed]
- Fleischmann, R.M.; Genovese, M.C.; Enejosa, J.V.; Mysler, E.; Bessette, L.; Peterfy, C.; Durez, P.; Ostor, A.; Li, Y.; Song, I.-H. Safety and efectiveness of upadacitinib or adalimumab plus methotrexate in patients with rheumatoid arthritis over 48 weeks with switch to alternate therapy in patients with insufficient response. Ann. Rheum. Dis. 2019, 78, 1454–1462. [Google Scholar] [CrossRef]
- Fleischmann, R.; Pangan, A.L.; Song, I.; Mysler, E.; Bessette, L.; Peterfy, C.; Durez, P.; Ostor, A.J.; Li, Y.; Zhou, Y.; et al. Upadacitinib versus placebo or adalimumab in patients with rheumatoid arthritis and an inadequate response to methotrexate: Results of a phase III, Beneft–Risk Profle of Upadacitinib in Rheumatoid Arthritis 529 double-blind, randomized controlled trial. Arthritis Rheumatol. 2019, 71, 1788–1800. [Google Scholar] [CrossRef]
- Burmester, G.R.; Bosch, F.v.D.; Bessette, L.; Kivitz, A.; Yihan, L.; Friedman, A.; Pangan, A.; Camp, H.; Kremer, J. Long-term safety and efficacy of upadacitinib in patients with rheumatoid arthritis and an inadequate response to csDMARDs: Results at 60 weeks from the SELECT-NEXT study. Ann. Rheum. Dis. 2019, 78, 735–736. [Google Scholar] [CrossRef]
- Smolen, J.S.; Pangan, A.L.; Emery, P.; Rigby, W.; Tanaka, Y.; Vargas, J.I.; Zhang, Y.; Damjanov, N.; Friedman, A.; Othman, A.A.; et al. Upadacitinib as monotherapy in patients with active rheumatoid arthritis and inadequate response to methotrexate (SELECT-MONOTHERAPY): A randomized, placebo-controlled, double-blind phase 3 study. Lancet 2019, 393, 2303–2311. [Google Scholar] [CrossRef]
- van Vollenhoven, R.; Takeuchi, T.; Pangan, A.L.; Friedman, A.; Mohamed, M.F.; Chen, S.; Rischmueller, M.; Blanco, R.; Xavier, R.M.; Strand, V. Efficacy and safety of upadacitinib monotherapy in methotrexate-naïve patients with moderately to severely active rheumatoid arthritis (SELECT-EARLY): A randomized, double-blind, active-comparator, multi-center, multi-country trial. Arthritis Rheumatol. 2020, 72, 1607–1620. [Google Scholar] [CrossRef]
- Rubbert-Roth, A.; Enejosa, J.; Pangan, A.L.; Haraoui, B.; Rischmueller, M.; Khan, N.; Zhang, Y.; Martin, N.; Xavier, R.M. Trial of Upadacitinib or Abatacept in Rheumatoid Arthritis. N. Engl. J. Med. 2020, 383, 1511–1521. [Google Scholar] [CrossRef]
- Rubbert-Roth, A.; Enejosa, J.; Pangan, A.; Xavier, R.; Haraoui, B.; Rischmueller, M.; Khan, N.; Zhang, Y.; Martin, N.; Genovese, M.C. Efcacy and safety of upadacitinib versus abatacept in patients with active rheumatoid arthritis and prior inadequate response or intolerance to biologic disease-modifying anti-rheumatic drugs (SELECT-CHOICE): A double-blind, rnadomized controlled Phase 3 trial [Abstract]. Ann. Rheum. Dis. 2020, 79, 1011. [Google Scholar]
- Kameda, H.; Takeuchi, T.; Yamaoka, K.; Oribe, M.; Kawano, M.; Yokoyama, M.; Pangan, A.L.; Konishi, Y.; Meerwein, S.; Tanaka, Y. Efficacy and safety of upadacitinib over 84 weeks in Japanese patients with rheumatoid arthritis (SELECT-SUNRISE). Arthritis Res. Ther. 2021, 23, 9. [Google Scholar] [CrossRef] [PubMed]
- Aletaha, D.; Neogi, T.; Silman, A.J.; Funovits, J.; Felson, D.T.; Bingham, C.O., 3rd; Birnbaum, N.S.; Burmester, G.R.; Bykerk, V.P.; Cohen, M.D.; et al. 2010 Rheumatoid arthritis classification cri¬teria: An American College of Rheumatol¬ogy/European League Against Rheumatism collaborative initiative. Arthritis Rheum. 2010, 62, 2569–2581. [Google Scholar] [CrossRef] [PubMed]
- Smolen, J.S.; Landewé, R.B.M.; Bergstra, S.A.; Kerschbaumer, A.; Sepriano, A.; Aletaha, D.; Caporali, R.; Edwards, C.J.; Hyrich, K.L.; Pope, J.E.; et al. EULAR recommendations for the management of rheumatoid arthritis with synthetic and biological disease-modifying antirheumatic drugs: 2022 update. Ann. Rheum. Dis. 2023, 82, 3–18. [Google Scholar] [CrossRef]
- Prevoo, M.L.; van ‘t Hof, M.A.; Kuper, H.H.; van Leeuwen, M.A.; van de Putte, L.B.; van Riel, P.L. Modified disease activity scores that include twenty-eight-joint counts. Development and validation in a prospective longitudinal study of patients with rheumatoid arthritis. Arthritis Rheum. 1995, 38, 44–48. [Google Scholar] [CrossRef] [PubMed]
- Aletaha, D.; Nell, V.P.; Stamm, T.; Uffmann, M.; Pflugbeil, S.; Machold, K.; Smolen, J.S. Acute phase reactants add little to composite disease activity indices for rheumatoid arthritis: Validation of a clinical activity score. Arthritis Res. Ther. 2005, 7, R796–R806. [Google Scholar] [CrossRef]
- D’agostino, M.-A.; Terslev, L.; Aegerter, P.; Backhaus, M.; Balint, P.; Bruyn, G.A.; Filippucci, E.; Grassi, W.; Iagnocco, A.; Jousse-Joulin, S.; et al. Scoring ultrasound synovitis in rheumatoid arthritis: A EULAR-OMERACT ultrasound taskforce—Part 1: Definition and development of a standardised, consensus-based scoring system. RMD Open 2017, 3, e000428. [Google Scholar] [CrossRef]
- Möller, I.; Janta, I.; Backhaus, M.; Ohrndorf, S.; Bong, D.A.; Martinoli, C.; Filippucci, E.; Sconfienza, L.M.; Terslev, L.; Damjanov, N.; et al. The 2017 EULAR standardised procedures for ultrasound imaging in rheumatology. Ann Rheum Dis. 2017, 76, 1974–1979. [Google Scholar] [CrossRef]
- Bruyn, G.A.; Iagnocco, A.; Naredo, E.; Balint, P.V.; Gutierrez, M.; Hammer, H.B.; Collado, P.; Filippou, G.; Schmidt, W.A.; Jousse-Joulin, S.; et al. OMERACT Definitions for Ultrasonographic Pathology and Elementary Lesions Of Rheumatic Disorders Fifteen Years On. J. Rheumatol. 2019, 46, 10. [Google Scholar] [CrossRef] [PubMed]
- Amirdzhanova, V.N.; Karateev, A.E.; Pogozheva, E.Y.; Filatova, E.S.; Samigullina, R.R.; Mazurov, V.I.; Anoshenkova, O.N.; Lapkina, N.A.; Baranov, A.A.; Grineva, T.Y.; et al. Are the Goals of Therapy Achievable in Patients with Rheumatoid Arthritis Receiving Upadacitinib in Real Clinical Practice? Dokl. Biochem. Biophys. 2023, 511, 180–186. [Google Scholar] [CrossRef]
- Lauper, K.; Iudici, M.; Mongin, D.; Bergstra, S.A.; Choquette, D.; Codreanu, C.; Cordtz, R.; De Cock, D.; Dreyer, L.; Elkayam, O.; et al. Effectiveness of TNF-inhibitors, abatacept, IL6-inhibitors and JAK-inhibitors in 31 846 patients with rheumatoid arthritis in 19 registers from the ‘JAK-pot’ collaboration. Ann. Rheum. Dis. 2022, 81, 1358–1366. [Google Scholar] [CrossRef]
- D’Agostino, M.-A.; Wakefield, R.J.; Berner-Hammer, H.; Vittecoq, O.; Filippou, G.; Balint, P.; Möller, I.; Iagnocco, A.; Naredo, E.; Østergaard, M.; et al. Value of ultrasonography as a marker of early response to abatacept in patients with rheumatoid arthritis and an inadequate response to methotrexate: Results from the APPRAISE study. Ann. Rheum. Dis. 2015, 75, 1763–1769. [Google Scholar] [CrossRef] [PubMed]
- Ohrndorf, S.; Fischer Iu Kellner, H.; Strunk, J.; Hartung, W.; Reiche, B.; Burmester Gr Walther, M.; Schmidt Wa Backhaus, M. Reliability of the novel 7-joint ultrasound score: Results from an inter- and intraobserver study performed by rheumatologists. Arthritis Care Res. 2012, 64, 1238–1243. [Google Scholar] [CrossRef] [PubMed]
- Cohen, S.B.; van Vollenhoven, R.F.; Winthrop, K.L.; Zerbini, C.A.F.; Tanaka, Y.; Bessette, L.; Zhang, Y.; Khan, N.; Hendrickson, B.; Enejosa, J.V.; et al. Safety profile of upadacitinib in rheumatoid arthritis: Integrated analysis from the SELECT phase III clinical programme. Ann. Rheum. Dis. 2021, 80, 304–311. [Google Scholar] [CrossRef]
- Ytterberg, S.R.; Bhatt, D.L.; Mikuls, T.R.; Koch, G.G.; Fleischmann, R.; Rivas, J.L.; Germino, R.; Menon, S.; Sun, Y.; Wang, C.; et al. ORAL Surveillance Investigators. Cardiovascular and Cancer Risk with Tofacitinib in Rheumatoid Arthritis. N. Engl. J. Med. 2022, 386, 316–326. [Google Scholar] [CrossRef]
- EMA Confirms Measures to Minimise Risk of Serious Side Effects with Janus Kinase Inhibitors for Chronic Inflammatory Disorders. EMA/860610/2022. Available online: https://www.aifa.gov.it/documents/20142/1621464/2022.11.11_com-EMA_inibitori_Janus_chinasi_EN.pdf (accessed on 10 October 2023).
- Benucci, M.; Damiani, A.; Infantino, M.; Manfredi, M.; Lari, B.; Grossi, V.; Gobbi Fl Sarzi-Puttini, P. Cardiovascular safety, cancer and Jak-inhibitors: Differences to be highlighted. Pharmacol. Res. 2022, 183, 106359. [Google Scholar] [CrossRef]



| Age (mean ± SD, years) | 58.00 ± 10.50 |
| Age at onset (mean ± SD, years) | 45.54 ± 2.18 |
| Disease duration (mean ± SD, years) | 7.50 ± 9.67 |
| Females (%) | 49 (68.05) |
| BMI median (IQR) | 23.17 (21.81–27.32) |
| Smoking habits: yes, % (n/tot) | 25.35% (18/71) |
| RF + (%) | 47 (66.2) |
| ACPA + (%) | 44 (61.92) |
| RF and ACPA + (%) | 37 (51.31) |
| HZV infection (%) | 2 (2.70) |
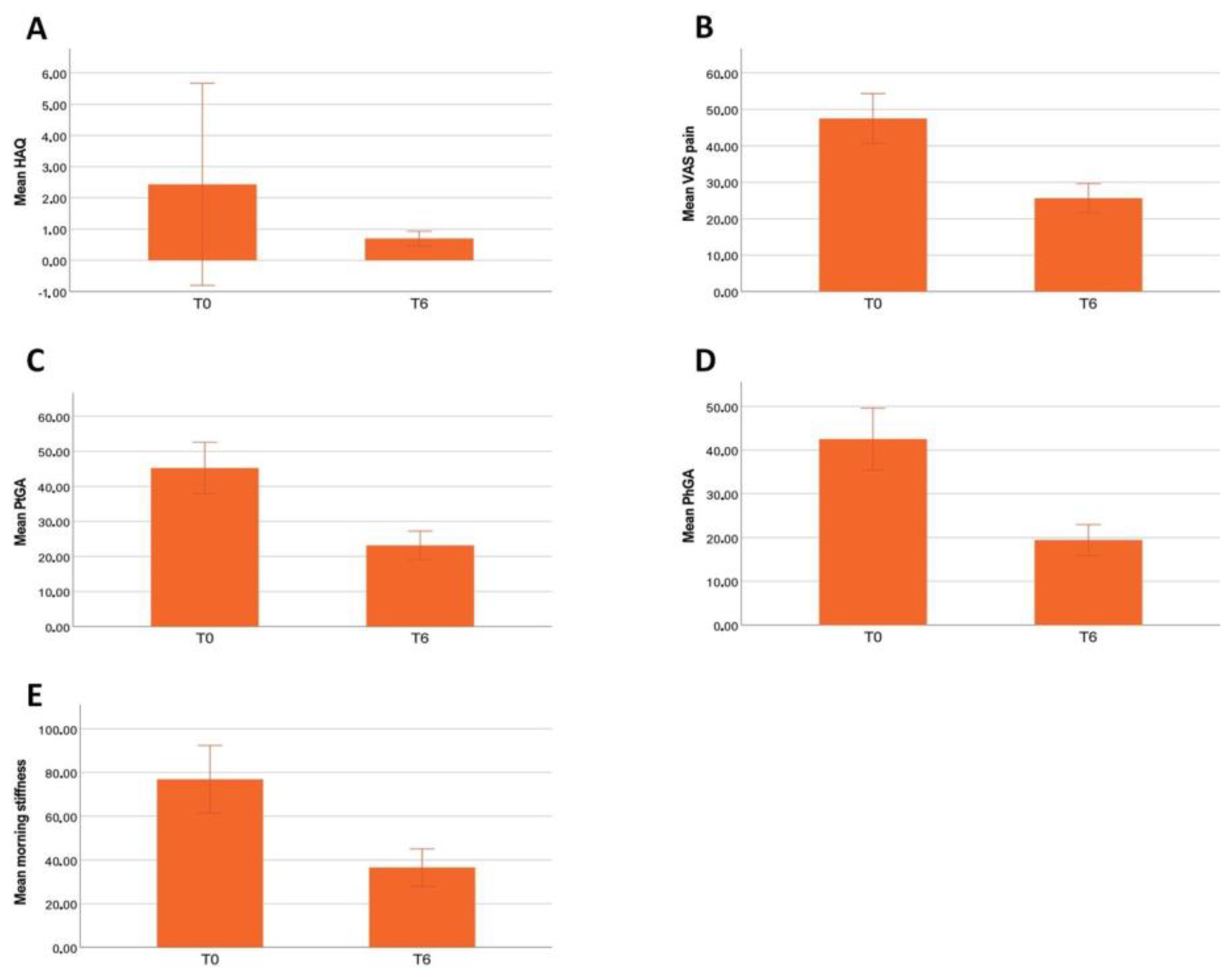
| DAS 28 | 4.1 (1.7) |
| SDAI (mean ± SD) | 19.1 (12.15) |
| bDMARDs naive (%) | 15 (21.1) |
| 1 previous bDMARDS (%) | 10 (14) |
| 2 previous bDMARDs (%) | 10 (14) |
| 3 previous bDMARDs (%) | 18 (25.3) |
| 4 previous bDMARDs (%) | 9 (12.7) |
| 5 previous bDMARDs (%) | 9 (12.7) |
| Previous csDMARDs treatment (%) | 40 (56.3) |
| csDMARDs MTX % | 36 (90) |
| csDMARDs HCQ % | 2 (5) |
| csDMARDs LFN % | 2 (5) |
| Concomitant steroid treatment, n (%) | 29 |
| Variable | Ongoing Treatment with UPA | UPA Discontinuation | |
|---|---|---|---|
| Sex | Female (%) | 44 (68.75) | 6 (85.7) |
| Male (%) | 20 (31.25) | 1 (14.3) | |
| RF | Positive (%) | 47 (66.2) | 0 |
| Negative (%) | 20 (28.1) | 4 (5.63) | |
| ACPA | Positive (%) | 43 (67.2) | 1 (28.6) |
| Negative (%) | 21 (32.8) | 5 (71.4) | |
| HZV infection | Yes (%) | 0 | 0 |
| No (%) | 71 (100) | 0 | |
| csDMARDs | Yes (%) | 37 (52.1) | 3 (4.2) |
| No (%) | 27 (38) | 4 (5.63) | |
| Steroid | Yes (%) | 25 (35.2) | 4 (5.63) |
| No (%) | 39 (54.9) | 3 (4.22) | |
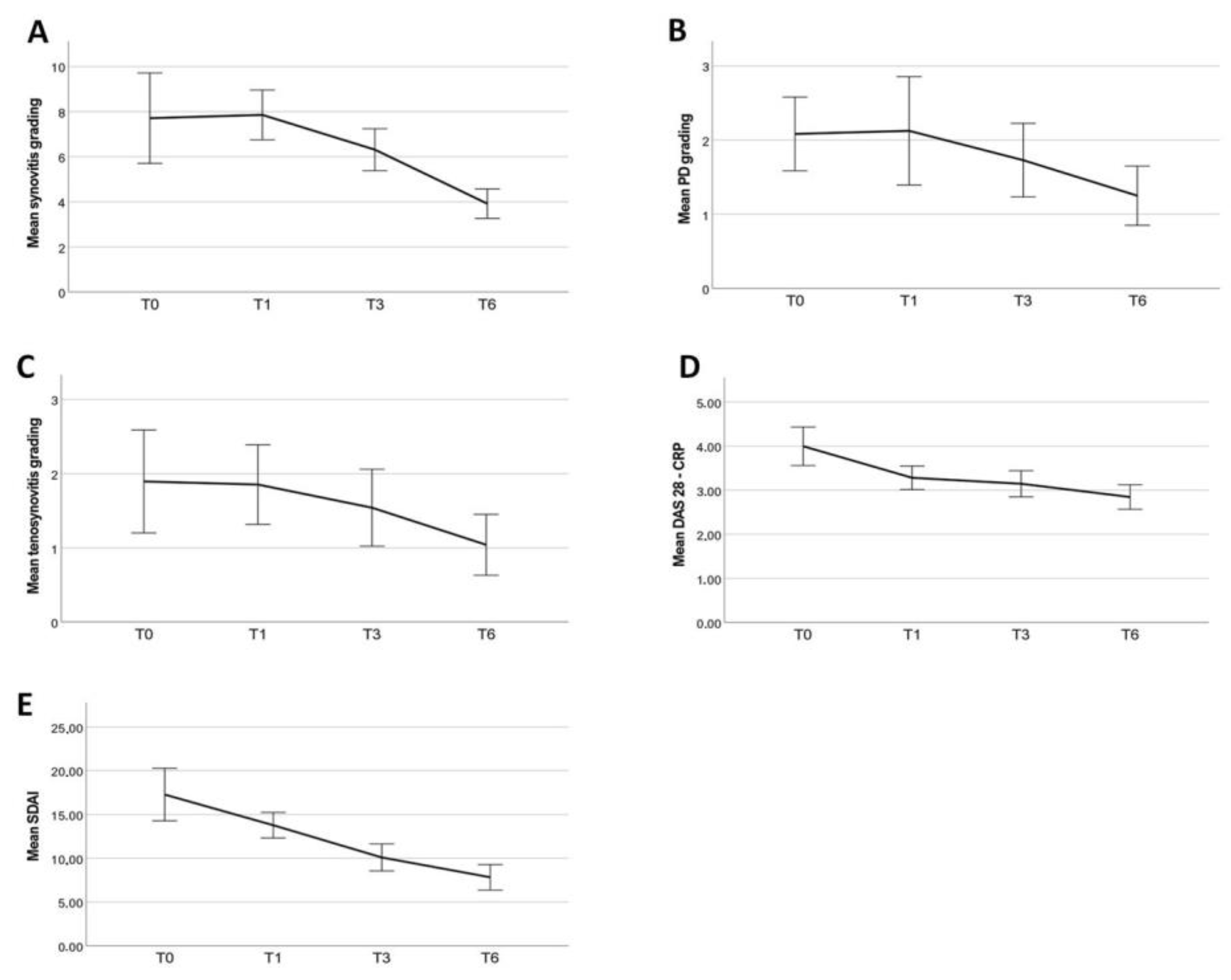
| Endpoint | Overall Significance | T0 vs. T1 | T0 vs. T3 | T0 vs. T6 | T1 vs. T3 | T1 vs. T6 | T3 vs. T6 |
|---|---|---|---|---|---|---|---|
| Synovitis grade | <0.001 | 0.804 | 0.090 | <0.001 | <0.001 | <0.001 | <0.001 |
| PD signal grading | 0.029 | 0.914 | 0.320 | 0.026 | 0.029 | 0.009 | 0.066 |
| Tenosynovitis grading | 0.012 | 0.968 | 0.370 | 0.031 | 0.018 | 0.009 | 0.059 |
| DAS28-CRP | 0.005 | 0.014 | <0.001 | <0.001 | 0.220 | 0.015 | 0.035 |
| SDAI index | <0.001 | 0.003 | <0.001 | <0.001 | <0.001 | <0.001 | <0.001 |
| Independent Variable | Predictive Variables | p Value | Odds Ratio | Confidence Interval |
|---|---|---|---|---|
| Δ Synovitis grade | Biologic line | 0.880 | −0.352 | [−4.997–4.292] |
| Concomitant csDMARDs at baseline | 0.010 | −4.824 | [−8.427–−1.221] | |
| Comorbidities | 0.681 | −0.698 | [−4.083–2.687] | |
| Elevated ESR and/or CRP | 0.699 | 0.745 | [−3.090–4.579] | |
| Δ PD grade | Biologic line | 0.112 | −1.073 | [−2.404–0.257] |
| Concomitant csDMARDs at baseline | 0.057 | −1.003 | [−2.035–0.029] | |
| Comorbidities | 0.151 | −0.704 | [−1.674–0.265] | |
| Elevated ESR and/or CRP | 0.972 | 0.019 | [−1.079–1.118] | |
| Δ DAS28-CRP | Biologic line | 0.328 | −0.434 | [−1.314–0.446] |
| Concomitant csDMARDs at baseline | 0.045 | −0.680 | [−1.346–−0.014] | |
| Comorbidities | 0.343 | −0.297 | [−0.920–0.326] | |
| Elevated ESR and/or CRP | 0.252 | 0.410 | [−0.300–1.121] | |
| Δ SDAI | Biologic line | 0.473 | −2.474 | [−9.342–4.393] |
| Concomitant csDMARDs at baseline | 0.050 | −2.712 | [−10.939–0.004] | |
| Comorbidities | 0.269 | −5.195 | [−7.574–2.149] | |
| Elevated inflammatory markers | 0.003 | 8.481 | [2.940–14.022] |
Disclaimer/Publisher’s Note: The statements, opinions and data contained in all publications are solely those of the individual author(s) and contributor(s) and not of MDPI and/or the editor(s). MDPI and/or the editor(s) disclaim responsibility for any injury to people or property resulting from any ideas, methods, instructions or products referred to in the content. |
© 2024 by the authors. Licensee MDPI, Basel, Switzerland. This article is an open access article distributed under the terms and conditions of the Creative Commons Attribution (CC BY) license (https://creativecommons.org/licenses/by/4.0/).
Share and Cite
Baldi, C.; Parisi, S.; Falsetti, P.; Sota, J.; Ditto, M.C.; Capassoni, M.; D’alessandro, M.; Conticini, E.; Nacci, F.; Peroni, C.L.; et al. Efficacy and Safety of Upadacitinib in Rheumatoid Arthritis: Real-Life Experience from a Prospective Longitudinal Multicentric Study. J. Clin. Med. 2024, 13, 401. https://doi.org/10.3390/jcm13020401
Baldi C, Parisi S, Falsetti P, Sota J, Ditto MC, Capassoni M, D’alessandro M, Conticini E, Nacci F, Peroni CL, et al. Efficacy and Safety of Upadacitinib in Rheumatoid Arthritis: Real-Life Experience from a Prospective Longitudinal Multicentric Study. Journal of Clinical Medicine. 2024; 13(2):401. https://doi.org/10.3390/jcm13020401
Chicago/Turabian StyleBaldi, Caterina, Simone Parisi, Paolo Falsetti, Jurgen Sota, Maria Chiara Ditto, Marco Capassoni, Miriana D’alessandro, Edoardo Conticini, Francesca Nacci, Clara Lisa Peroni, and et al. 2024. "Efficacy and Safety of Upadacitinib in Rheumatoid Arthritis: Real-Life Experience from a Prospective Longitudinal Multicentric Study" Journal of Clinical Medicine 13, no. 2: 401. https://doi.org/10.3390/jcm13020401
APA StyleBaldi, C., Parisi, S., Falsetti, P., Sota, J., Ditto, M. C., Capassoni, M., D’alessandro, M., Conticini, E., Nacci, F., Peroni, C. L., Cometi, L., Fusaro, E., Frediani, B., & Guiducci, S. (2024). Efficacy and Safety of Upadacitinib in Rheumatoid Arthritis: Real-Life Experience from a Prospective Longitudinal Multicentric Study. Journal of Clinical Medicine, 13(2), 401. https://doi.org/10.3390/jcm13020401

