Temporal Pattern of Individual Neurological Function Recovery in Guillain–Barré Syndrome
Abstract
1. Introduction
2. Materials and Methods
2.1. Clinical Evaluation
2.2. Laboratory Investigations
2.3. Subtypes of GBS
2.4. Treatment
2.5. Follow-Up
2.6. Statistical Analysis
3. Results
3.1. Pattern of Recovery
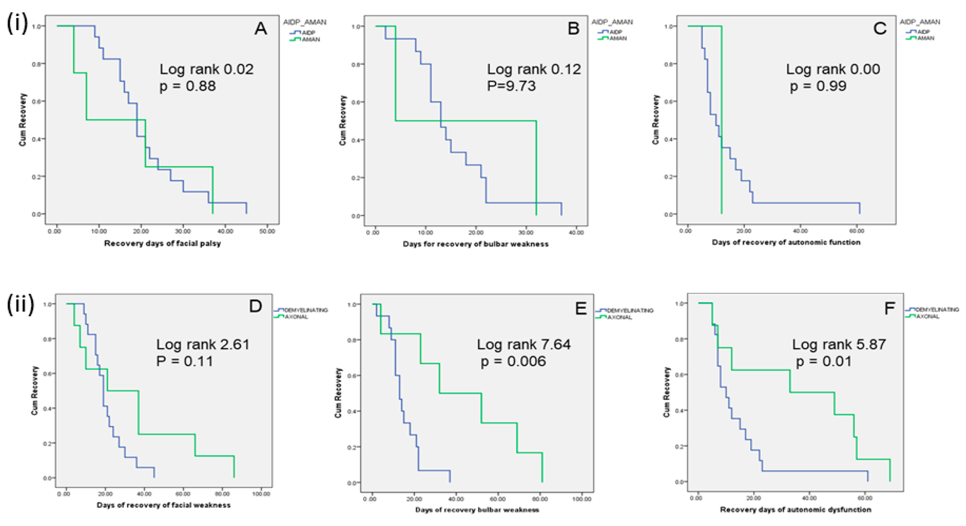
3.2. Comparison of Recovery Pattern between AIDP and AMAN
3.3. Comparison of Recovery between Axonal and Demyelinating Subtypes
3.4. Early Recovery
4. Discussion
5. Limitations
6. Conclusions
Supplementary Materials
Author Contributions
Funding
Institutional Review Board Statement
Informed Consent Statement
Data Availability Statement
Acknowledgments
Conflicts of Interest
References
- Shahrizaila, N.; Lehmann, H.C.; Kuwabara, S. Guillain-Barré syndrome. Lancet 2021, 397, 1214–1228. [Google Scholar] [CrossRef] [PubMed]
- Wijdicks, E.F.; Klein, C.J. Guillain-Barré Syndrome. Mayo Clin. Proc. 2017, 92, 467–479. [Google Scholar] [CrossRef] [PubMed]
- Kalita, J.; Ranjan, A.; Misra, U.K. Outcome of Guillain-Barre syndrome patients with respiratory paralysis. QJM Mon. J. Assoc. Physicians 2016, 109, 319–323. [Google Scholar] [CrossRef] [PubMed]
- Hadden, R.D.; Cornblath, D.R.; Hughes, R.A.; Zielasek, J.; Hartung, H.P.; Toyka, K.V.; Swan, A.V.; Plasma Exchange/Sandoglobulin Guillain-Barré Syndrome Trial Group. Electrophysiological classification of Guillain-Barré syndrome: Clinical associations and outcome. Ann. Neurol. 1998, 44, 780–788. [Google Scholar] [CrossRef]
- Ibrahim, J.; Grapperon, A.M.; Manfredonia, F.; van den Bergh, P.Y.; Attarian, S.; Rajabally, Y.A. Serial electrophysiology in Guillain-Barré syndrome: A retrospective cohort and case-by-case multicentre analysis. Acta Neurol. Scand. 2018, 137, 335–340. [Google Scholar] [CrossRef]
- Kalita, J.; Kumar, M.; Misra, U.K. Prognostic Significance of Serial Nerve Conduction in GB Syndrome. Neurol. India 2022, 70, 1995–2002. [Google Scholar] [CrossRef]
- Rath, J.; Schober, B.; Zulehner, G.; Grisold, A.; Krenn, M.; Cetin, H.; Zimprich, F. Nerve conduction studies in Guillain-Barré syndrome: Influence of timing and value of repeated measurements. J. Neurol. Sci. 2021, 420, 117267. [Google Scholar] [CrossRef]
- Kuwabara, S.; Ogawara, K.; Mizobuchi, K.; Mori, M.; Hattori, T. Mechanisms of early and late recovery in acute motor axonal neuropathy. Muscle Nerve 2001, 24, 288–291. [Google Scholar] [CrossRef] [PubMed]
- Hiraga, A.; Kuwabara, S.; Ogawara, K.; Misawa, S.; Kanesaka, T.; Koga, M.; Yuki, N.; Hattori, T.; Mori, M. Patterns and serial changes in electrodiagnostic abnormalities of axonal Guillain-Barré syndrome. Neurology 2005, 64, 856–860. [Google Scholar] [CrossRef]
- Ho, T.W.; Li, C.Y.; Cornblath, D.R.; Gao, C.Y.; Asbury, A.K.; Griffin, J.W.; McKhann, G.M. Patterns of recovery in the Guillain-Barre syndromes. Neurology 1997, 48, 695–700. [Google Scholar] [CrossRef]
- Hiraga, A.; Mori, M.; Ogawara, K.; Kojima, S.; Kanesaka, T.; Misawa, S.; Hattori, T.; Kuwabara, S. Recovery patterns and long term prognosis for axonal Guillain-Barré syndrome. J. Neurol. Neurosurg. Psychiatry 2005, 76, 719–722. [Google Scholar] [CrossRef]
- Hughes, R.A.; Hadden, R.D.; Rees, J.H.; Swan, A.V.; The Italian Guillain-Barré Study Group. The prognosis and main prognostic indicators of Guillain-Barré syndrome: A multicentre prospective study of 297 patients. Brain J. Neurol. 1998, 121, 767–769. [Google Scholar] [CrossRef] [PubMed]
- Kalita, J.; Misra, U.K.; Goyal, G.; Das, M. Guillain-Barré syndrome: Subtypes and predictors of outcome from India. J. Peripher. Nerv. Syst. JPNS 2014, 19, 36–43. [Google Scholar] [CrossRef]
- Asbury, A.K.; Cornblath, D.R. Assessment of current diagnostic criteria for Guillain-Barré syndrome. Ann. Neurol. 1990, 27, S21–S24. [Google Scholar] [CrossRef]
- Hughes, R.A.; Newsom-Davis, J.M.; Perkin, G.D.; Pierce, J.M. Controlled trial prednisolone in acute polyneuropathy. Lancet 1978, 2, 750–753. [Google Scholar] [CrossRef] [PubMed]
- Singh, N.K.; Jaiswal, A.K.; Misra, S.; Srivastava, P.K. Assessment of autonomic dysfunction in Guillain-Barré syndrome and its prognostic implications. Acta Neurol. Scand. 1987, 75, 101–105. [Google Scholar] [CrossRef] [PubMed]
- Secer, H.I.; Daneyemez, M.; Gonul, E.; Izci, Y. Aids to Examination of the Peripheral Nervous System; Memorandum No. 45; Medical Research Council: London, UK, 1976. [Google Scholar]
- Misra, U.K.; Kalita, J. Clinical Neurophysiology, Electromyography, Evoked Potential, 4th ed.; Elsevier: New Delhi, India, 2020. [Google Scholar]
- Uncini, A.; Ippoliti, L.; Shahrizaila, N.; Sekiguchi, Y.; Kuwabara, S. Optimizing the electrodiagnostic accuracy in Guillain-Barré syndrome subtypes: Criteria sets and sparse linear discriminant analysis. Clin. Neurophysiol. Off. J. Int. Fed. Clin. Neurophysiol. 2017, 128, 1176–1183. [Google Scholar] [CrossRef]
- Hadden, R.D.; Karch, H.; Hartung, H.P.; Zielasek, J.; Weissbrich, B.; Schubert, J.; Weishaupt, A.; Cornblath, D.R.; Swan, A.V.; Hughes, R.A.; et al. Preceding infections, immune factors, and outcome in Guillain-Barré syndrome. Neurology 2001, 56, 758–765. [Google Scholar] [CrossRef]
- Dhar, R.; Stitt, L.; Hahn, A.F. The morbidity and outcome of patients with Guillain-Barré syndrome admitted to the intensive care unit. J. Neurol. Sci. 2008, 264, 121–128. [Google Scholar] [CrossRef]
- Fletcher, D.D.; Lawn, N.D.; Wolter, T.D.; Wijdicks, E.F. Long-term outcome in patients with Guillain-Barré syndrome requiring mechanical ventilation. Neurology 2000, 54, 2311–2315. [Google Scholar] [CrossRef]
- Durand, M.C.; Porcher, R.; Orlikowski, D.; Aboab, J.; Devaux, C.; Clair, B.; Annane, D.; Gaillard, J.L.; Lofaso, F.; Raphael, J.C.; et al. Clinical and electrophysiological predictors of respiratory failure in Guillain-Barré syndrome: A prospective study. Lancet Neurol. 2006, 5, 1021–1028. [Google Scholar] [CrossRef]
- Liu, L.; Arnold, R.; Robinson, M. Dissection and exposure of the whole course of deep nerves in human head specimens after decalcification. Int. J. Otolaryngol. 2012, 2012, 418650. [Google Scholar] [CrossRef] [PubMed]
- Farahvash, M.R.; Yaghoobi, A.; Farahvash, B.; Farahvash, Y.; Hadadi Abiyaneh, S. The extratemporal facial nerve and its branches: Analysis of 42 hemifacial dissections in fresh Persian (Iranian) cadavers. Aesthetic Surg. J. 2013, 33, 201–208. [Google Scholar] [CrossRef] [PubMed]
- Wang, C.; Kundaria, S.; Fernandez-Miranda, J.; Duvvuri, U. A description of the anatomy of the glossopharyngeal nerve as encountered in transoral surgery. Laryngoscope 2016, 126, 2010–2015. [Google Scholar] [CrossRef] [PubMed]
- Susuki, K. Myelin: A specialized membrane for cell communication. Nat. Educ. 2010, 3, 59. [Google Scholar]
- Kalita, J.; Misra, U.K.; Das, M. Neurophysiological criteria in the diagnosis of different clinical types of Guillain-Barre syndrome. J. Neurol. Neurosurg. Psychiatry 2008, 79, 289–293. [Google Scholar] [CrossRef]
- Alanazy, M.H.; Bakry, S.S.; Alqahtani, A.; AlAkeel, N.S.; Alazwary, N.; Osman, A.M.; Mustafa, R.A.; Al-Harbi, T.M.; Abdulmana, S.O.; Amper, A.C.; et al. Clinical features and outcome of Guillain-Barre syndrome in Saudi Arabia: A multicenter, retrospective study. BMC Neurol. 2021, 21, 275. [Google Scholar] [CrossRef]
- Rasera, A.; Romito, S.; Segatti, A.; Concon, E.; Alessandrini, L.; Basaldella, F.; Badari, A.; Bonetti, B.; Squintani, G. Very early and early neurophysiological abnormalities in Guillain-Barré syndrome: A 4-year retrospective study. Eur. J. Neurol. 2021, 28, 3768–3773. [Google Scholar] [CrossRef] [PubMed]
- Nagappa, M.; Wahatule, R.; Bindu, P.S.; Sinha, S.; Taly, A.B. Spectrum of Sensory Conduction Abnormalities in Guillain Barre Syndrome. Neurol. India 2022, 70, 2393–2400. [Google Scholar] [CrossRef]
- Wee, A.S.; Abernathy, S.D. The sural sensory nerve is usually spared in Guillain-Barre syndrome. J. Miss. State Med. Assoc. 2003, 44, 251–255. [Google Scholar]
- Bansal, R.; Kalita, J.; Misra, U.K. Pattern of sensory conduction in Guillain-Barre Syndrome. Electromyogr. Clin. Neurophysiol. 2001, 41, 433–437. [Google Scholar] [PubMed]
- Whitwam, J.G. Classification of peripheral nerve fibres. An historical perspective. Anaesthesia 1976, 31, 494–503. [Google Scholar] [CrossRef] [PubMed]
- Ho, T.W.; Willison, H.J.; Nachamkin, I.; Li, C.Y.; Veitch, J.; Ung, H.; Wang, G.R.; Liu, R.C.; Cornblath, D.R.; Asbury, A.K.; et al. Anti-GD1a antibody is associated with axonal but not demyelinating forms of Guillain-Barré syndrome. Ann. Neurol. 1999, 45, 168–173. [Google Scholar] [CrossRef] [PubMed]
- Feasby, T.E.; Hahn, A.F.; Brown, W.F.; Bolton, C.F.; Gilbert, J.J.; Koopman, W.J. Severe axonal degeneration in acute Guillain-Barré syndrome: Evidence of two different mechanisms? J. Neurol. Sci. 1993, 116, 185–192. [Google Scholar] [CrossRef]
- Rajabally, Y.A.; Uncini, A. Outcome and its predictors in Guillain–Barré syndrome. J. Neurol. Neurosurg. Psychiatry 2012, 83, 711–718. [Google Scholar] [CrossRef]
- French Cooperative Group on Plasma Exchange in Guillain-Barré Syndrome. Efficiency of plasma exchange in Guillain-Barré syndrome: Role of replacement fluids. Ann. Neurol. 1987, 22, 753–761. [Google Scholar] [CrossRef]
- The French Cooperative Group on Plasma Exchange in Guillain-Barré Syndrome. Appropriate number of plasma exchanges in Guillain-Barré syndrome. Ann. Neurol. 1997, 41, 298–306. [Google Scholar] [CrossRef] [PubMed]
- Osterman, P.O.; Lundemo, G.; Pirskanen, R.; Fagius, J.; Pihlstedt, P.; Sidén, Å.; Säfwenberg, J. Beneficial effects of plasma exchange in acute inflammatory polyradiculoneuropathy. Lancet 1984, 2, 1296–1299. [Google Scholar] [CrossRef]
- Kalita, J.; Misra, U.K.; Chaudhary, S.K.; Das, M.; Mishra, A.; Ranjan, A.; Kumar, M. Outcome of Guillain–Barré syndrome following intravenous immunoglobulin compared to natural course. Eur. J. Neurol. 2022, 29, 3071–3080. [Google Scholar] [CrossRef]



| Characteristics (Number of Patients Recovered) | AIDP N = 25 | AMAN N = 10 | p Value |
|---|---|---|---|
| Motor recovery days (2) | 35.00 | 20.00 | - |
| Cranial nerves | |||
| Facial (25) | 20.88 ± 9.41 | 17.25 ± 15.11 | 0.52 |
| Bulbar (21) | 15.13 ± 8.18 | 18.00 ± 19.79 | 1.00 |
| Autonomic days (25) | 14.29 ± 13.37 | 12.00 ± 0.00 | 0.78 |
| Characteristics (Number of Patients Recovered/Total) | Demyelinating N = 25 | Axonal N = 17 | p Value |
|---|---|---|---|
| Motor recovery days (2/42) | 35.00 | 20.00 | - |
| Sensory recovery days (23/28) | 24.65 ± 18.17 | Both AMSAN not recovered in 90 days | - |
| Cranial nerves | |||
| Facial (25/29) | 20.88 ± 9.41 | 33.50 ± 29.56 | 0.59 |
| Bulbar (21/23) | 15.13 ± 8.18 | 43.50 ± 29.12 | 0.02 |
| Autonomic days (25/25) | 14.29 ± 13.37 | 36.00 ± 25.32 | 0.10 |
Disclaimer/Publisher’s Note: The statements, opinions and data contained in all publications are solely those of the individual author(s) and contributor(s) and not of MDPI and/or the editor(s). MDPI and/or the editor(s) disclaim responsibility for any injury to people or property resulting from any ideas, methods, instructions or products referred to in the content. |
© 2024 by the authors. Licensee MDPI, Basel, Switzerland. This article is an open access article distributed under the terms and conditions of the Creative Commons Attribution (CC BY) license (https://creativecommons.org/licenses/by/4.0/).
Share and Cite
Mahajan, R.; Kalita, J.; Jha, V.; Gutti, N.B.; Pandey, P.C.; Misra, U.K. Temporal Pattern of Individual Neurological Function Recovery in Guillain–Barré Syndrome. J. Clin. Med. 2024, 13, 5635. https://doi.org/10.3390/jcm13185635
Mahajan R, Kalita J, Jha V, Gutti NB, Pandey PC, Misra UK. Temporal Pattern of Individual Neurological Function Recovery in Guillain–Barré Syndrome. Journal of Clinical Medicine. 2024; 13(18):5635. https://doi.org/10.3390/jcm13185635
Chicago/Turabian StyleMahajan, Roopali, Jayantee Kalita, Vishal Jha, Nagendra B. Gutti, Prakash C. Pandey, and Usha K. Misra. 2024. "Temporal Pattern of Individual Neurological Function Recovery in Guillain–Barré Syndrome" Journal of Clinical Medicine 13, no. 18: 5635. https://doi.org/10.3390/jcm13185635
APA StyleMahajan, R., Kalita, J., Jha, V., Gutti, N. B., Pandey, P. C., & Misra, U. K. (2024). Temporal Pattern of Individual Neurological Function Recovery in Guillain–Barré Syndrome. Journal of Clinical Medicine, 13(18), 5635. https://doi.org/10.3390/jcm13185635

