Late Hepatocellular Carcinoma Occurrence in Patients Achieving Sustained Virological Response After Direct-Acting Antiviral Therapy: A Matter of Follow-Up or Something Else?
Abstract
1. Introduction
- (1)
- Does viral clearance truly signify disease resolution? Clarifying this aspect is crucial for assessing the substantial long-term impact on the natural history of HCV.
- (2)
- Despite more than 5 years of follow-up, uncertainties persist regarding the long-term clinical evolution of viral disease beyond 10 years. Real-life settings lack decisive findings on outcomes, such as ascites, variceal bleeding, hepato-renal syndrome, hepatic encephalopathy, and hepatocellular carcinoma. Addressing these gaps is fundamental for effective healthcare system management.
2. Methods
2.1. Study Design and Patient Population
2.2. Antiviral Treatment
2.3. Patients Follow-Up
2.4. Liver Stiffness Evaluation
2.5. Endpoints of the Study
3. Statistical Analysis
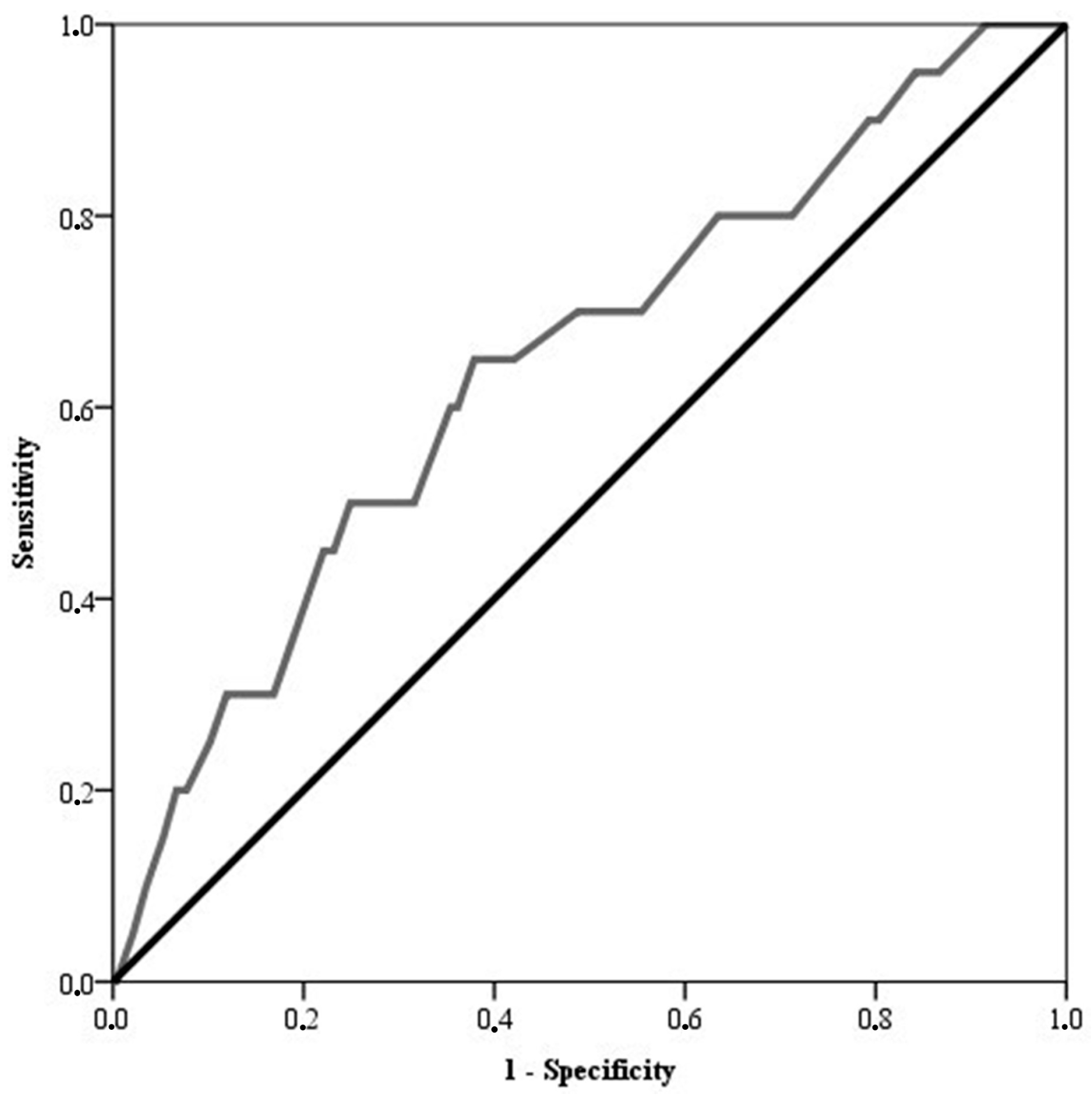
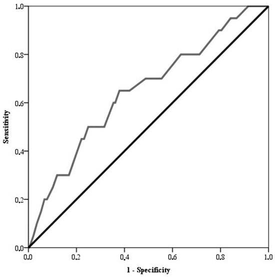
4. Results
5. Discussion
6. Conclusions
Author Contributions
Funding
Institutional Review Board Statement
Informed Consent Statement
Data Availability Statement
Conflicts of Interest
References
- World Health Organization. Global Hepatitis Report. 2017. Available online: https://www.who.int/publications/i/item/global-hepatitis-report-2017. (accessed on 6 February 2024).
- European Association for the Study of the Liver. EASL recommendations on treatment of hepatitis C: Final update of the series☆. J. Hepatol. 2020, 73, 1170–1218. [Google Scholar] [CrossRef] [PubMed]
- Sulkowski, M.S.; Vargas, H.E.; Di Bisceglie, A.M.; Kuo, A.; Reddy, K.R.; Lim, J.K.; Morelli, G.; Darling, J.M.; Feld, J.J.; Brown, R.S.; et al. Effectiveness of Simeprevir Plus Sofosbuvir, With or Without Ribavirin, in Real-World Patients With HCV Genotype 1 Infection. Gastroenterology 2016, 150, 419–429. [Google Scholar] [CrossRef] [PubMed]
- Ioannou, G.N.; Beste, L.A.; Chang, M.F.; Green, P.K.; Lowy, E.; Tsui, J.I.; Su, F.; Berry, K. Effectiveness of Sofosbuvir, Ledipasvir/Sofosbuvir, or Paritaprevir/Ritonavir/Ombitasvir and Dasabuvir Regimens for Treatment of Patients With Hepatitis C in the Veterans Affairs National Health Care System. Gastroenterology 2016, 151, 457–471.e5. [Google Scholar] [CrossRef] [PubMed]
- Kwo, P.; Gane, E.J.; Peng, C.-Y.; Pearlman, B.; Vierling, J.M.; Serfaty, L.; Buti, M.; Shafran, S.; Stryszak, P.; Lin, L.; et al. Effectiveness of Elbasvir and Grazoprevir Combination, With or Without Ribavirin, for Treatment-Experienced Patients With Chronic Hepatitis C Infection. Gastroenterology 2017, 152, 164–175.e4. [Google Scholar] [CrossRef] [PubMed]
- Reig, M.; Mariño, Z.; Perelló, C.; Iñarrairaegui, M.; Ribeiro, A.; Lens, S.; Díaz, A.; Vilana, R.; Darnell, A.; Varela, M.; et al. Unexpected High Rate of Early Tumor Recurrence in Patients With HCV-Related HCC Undergoing Interferon-Free Therapy. J. Hepatol. 2016, 65, 719–726. [Google Scholar] [CrossRef]
- Cardoso, H.; Vale, A.M.; Rodrigues, S.; Gonçalves, R.; Albuquerque, A.; Pereira, P.; Lopes, S.; Silva, M.; Andrade, P.; Morais, R.; et al. High Incidence of Hepatocellular Carcinoma Following Successful Interferon-Free Antiviral Therapy for Hepatitis C Associated Cirrhosis. J. Hepatol. 2016, 65, 1070–1071. [Google Scholar] [CrossRef]
- Rinaldi, L.; Perrella, A.; Guarino, M.; De Luca, M.; Piai, G.; Coppola, N.; Pafundi, P.C.; Ciardiello, F.; Fasano, M.; Martinelli, E.; et al. Incidence and Risk Factors of Early HCC Occurrence in HCV Patients Treated With Direct Acting Antivirals: A Prospective Multicentre Study. J. Transl. Med. 2019, 17, 292. [Google Scholar] [CrossRef]
- El-Serag, H.B.; Kanwal, F.; Richardson, P.; Kramer, J. Risk of Hepatocellular Carcinoma After Sustained Virological Response in Veterans With Hepatitis C Virus Infection. Hepatology 2016, 64, 130–137. [Google Scholar] [CrossRef]
- Nahon, P.; Bourcier, V.; Layese, R.; Audureau, E.; Cagnot, C.; Marcellin, P.; Dharancy, S. Eradication of Hepatitis C Virus Infection in Patients With Cirrhosis Reduces Risk of Liver and Non-Liver Complications. Gastroenterology 2017, 152, 142–156.e2. [Google Scholar] [CrossRef]
- Alazawi, W.; Cunningham, M.; Dearden, J.; Foster, G.R. Systematic Review: Outcome of Compensated Cirrhosis Due to Chronic Hepatitis C Infection. Aliment. Pharmacol. Ther. 2010, 32, 344–355. [Google Scholar] [CrossRef]
- Fattovich, G.; Pantalena, M.; Zagni, I.; Realdi, G.; Schalm, S.W.; Christensen, E. Effect of Hepatitis B and C Virus Infections on the Natural History of Compensated Cirrhosis: A Cohort Study of 297 Patients. Am. J. Gastroenterol. 2002, 97, 2886–2895. [Google Scholar] [CrossRef] [PubMed]
- D’Ambrosio, R.; Della Corte, C.; Colombo, M. Hepatocellular Carcinoma in Patients With a Sustained Response to Anti-Hepatitis C Therapy. Int. J. Mol. Sci. 2015, 16, 19698–19712. [Google Scholar] [CrossRef] [PubMed]
- Morgan, R.L.; Baack, B.; Smith, B.D.; Yartel, A.; Pitasi, M.; Falck-Ytter, Y. Eradication of Hepatitis C Virus Infection and the Development of Hepatocellular Carcinoma: A Meta-Analysis of Observational Studies. Ann. Intern. Med. 2013, 158, 329–337. [Google Scholar] [CrossRef] [PubMed]
- Kanwal, F.; Khaderi, S.; Singal, A.G.; Marrero, J.A.; Loo, N.; Asrani, S.K.; Amos, C.I.; Thrift, A.P.; Gu, X.; Luster, M.; et al. Risk Factors for HCC in Contemporary Cohorts of Patients With Cirrhosis. Hepatology 2023, 77, 997–1005. [Google Scholar] [CrossRef] [PubMed]
- Associazione Italiana per lo Studio del Fegato. Documento di Indirizzo dell’Associazione Italiana per lo Studio del Fegato per l’Uso Razionale di Antivirali Diretti di Seconda Generazione nelle Categorie di Pazienti Affetti da Epatite C Cronica Ammesse alla Rimborsabilità in Italia. 2016. Available online: https://webaisf.org/pubblicazioni/documento-aisf-hcv-2016.aspx (accessed on 22 December 2023).
- Boursier, J.; Zarski, J.P.; de Ledinghen, V.; Rousselet, M.C.; Sturm, N.; Lebail, B.; de Muret, A. Determination of Reliability Criteria for Liver Stiffness Evaluation by Transient Elastography. Hepatology 2013, 57, 1182–1191. [Google Scholar] [CrossRef]
- European Association for the Study of the Liver; European Organisation for Research and Treatment of Cancer. EASL-EORTC Clinical Practice Guidelines: Management of Hepatocellular Carcinoma. J. Hepatol. 2012, 56, 908–943. [Google Scholar] [CrossRef]
- Forner, A.; Reig, M.E.; de Lope, C.R.; Bruix, J. Current Strategy for Staging and Treatment: The BCLC Update and Future Prospects. Semin. Liver Dis. 2010, 30, 61–74. [Google Scholar] [CrossRef]
- Buchanan, R.; Hydes, T.; Khakoo, S.I. Innate and Adaptive Genetic Pathways in HCV Infection. Tissue Antigens 2015, 85, 231–240. [Google Scholar] [CrossRef]
- Shi, J.; Li, Y.; Chang, W.; Zhang, X.; Wang, F.S. Current Progress in Host Innate and Adaptive Immunity Against Hepatitis C Virus Infection. Hepatol. Int. 2017, 11, 374–383. [Google Scholar] [CrossRef]
- Perrella, A.; Sbreglia, C.; Atripaldi, L.; Esposito, C.; D’Antonio, A.; Perrella, O. Rapid Virological Response in Peripheral Blood Mononuclear Cells With an Increase of Hepatitis C Virus-Specific Interferon-Gamma Production Predisposes to Sustained Virological Response in Patients With Chronic Hepatitis C Genotype 1 Undergoing Treatment With Pegylated-Interferon Alpha 2a Plus Ribavirin. Scand. J. Gastroenterol. 2010, 45, 250–255. [Google Scholar] [CrossRef]
- van der Ree, M.H.; Stelma, F.; Willemse, S.B.; Brown, A.; Swadling, L.; van der Valk, M.; Sinnige, M.J.; van Nuenen, A.C.; de Vree, J.M.L.; Klenerman, P.; et al. Immune Responses in DAA Treated Chronic Hepatitis C Patients With and Without Prior RG-101 Dosing. Antivir. Res. 2017, 146, 139–145. [Google Scholar] [CrossRef] [PubMed]
- Yue, M.; Deng, X.; Zhai, X.; Xu, K.; Kong, J.; Zhang, J.; Zhou, Z.; Yu, X.; Xu, X.; Liu, Y.; et al. Th1 and Th2 Cytokine Profiles Induced by Hepatitis C Virus F Protein in Peripheral Blood Mononuclear Cells From Chronic Hepatitis C Patients. Immunol. Lett. 2013, 152, 89–95. [Google Scholar] [CrossRef] [PubMed]
- Hou, X.J.; Ye, F.; Li, X.Y.; Liu, W.T.; Jing, Y.Y.; Han, Z.P.; Wei, L.X. Immune Response Involved in Liver Damage and the Activation of Hepatic Progenitor Cells During Liver Tumorigenesis. Cell Immunol. 2018, 326, 52–59. [Google Scholar] [CrossRef] [PubMed]
- Werner, J.M.; Adenugba, A.; Protzer, U. Immune Reconstitution After HCV Clearance With Direct Antiviral Agents: Potential Consequences for Patients With HCC? Transplantation 2017, 101, 904–909. [Google Scholar] [CrossRef]
- Pinyopornpanish, K.; Al-Yaman, W.; Dasarathy, S.; Romero-Marrero, C.; McCullough, A. Hepatocellular Carcinoma in Patients Without Cirrhosis: The Fibrosis Stage Distribution, Characteristics and Survival. Dig. Dis. Sci. 2022, 67, 2677–2687. [Google Scholar] [CrossRef] [PubMed] [PubMed Central]
- Aroucha, D.; Carmo, R.D.; Moura, P.; Silva, J.; Vasconcelos, L.; Cavalcanti, M.; Muniz, M.; Aroucha, M.; Siqueira, E.; Cahú, G.; et al. High Tumor Necrosis Factor-α/Interleukin-10 Ratio Is Associated With Hepatocellular Carcinoma in Patients With Chronic Hepatitis C. Cytokine 2013, 62, 421–425. [Google Scholar] [CrossRef]
- Lemon, S.M.; McGivern, D.R. Is Hepatitis C Virus Carcinogenic? Gastroenterology 2012, 142, 1274–1278. [Google Scholar] [CrossRef]
- Raimondi, S.; Bruno, S.; Mondelli, M.U.; Maisonneuve, P. Hepatitis C virus genotype 1b as a risk factor for hepatocellular carcinoma development: A meta-analysis. J. Hepatol. 2009, 50, 1142–1154. [Google Scholar] [CrossRef]
- Caturano, A.; D’angelo, M.; Mormone, A.; Russo, V.; Mollica, M.P.; Salvatore, T.; Galiero, R.; Rinaldi, L.; Vetrano, E.; Marfella, R.; et al. Oxidative Stress in Type 2 Diabetes: Impacts From Pathogenesis to Lifestyle Modifications. Curr. Issues Mol. Biol. 2023, 45, 6651–6666. [Google Scholar] [CrossRef]
- Sasso, F.C.; Pafundi, P.C.; Caturano, A.; Galiero, R.; Vetrano, E.; Nevola, R.; Petta, S.; Fracanzani, A.L.; Coppola, C.; Di Marco, V.; et al. Impact of direct acting antivirals (DAAs) on cardiovascular events in HCV cohort with pre-diabetes. Nutr. Metab. Cardiovasc. Dis. 2021, 31, 2345–2353. [Google Scholar] [CrossRef]
- Singal, A.G.; Lampertico, P.; Nahon, P. Epidemiology and surveillance for hepatocellular carcinoma: New trends. J. Hepatol. 2020, 72, 250–261. [Google Scholar] [CrossRef] [PubMed]
- Singal, A.G.; Kanwal, F.; Llovet, J.M. Global trends in hepatocellular carcinoma epidemiology: Implications for screening, prevention and therapy. Nat. Rev. Clin. Oncol. 2023, 20, 864–884. [Google Scholar] [CrossRef] [PubMed]
- Rinaldi, L.; Di Francia, R.; Coppola, N.; Guerrera, B.; Imparato, M.; Monari, C.; Nevola, R.; Rosato, V.; Fontanella, L.; Franci, G.; et al. Hepatocellular Carcinoma in HCV Cirrhosis After Viral Clearance With Direct Acting Antiviral Therapy: Preliminary Evidence and Possible Meanings. WCRJ 2016, 3, e748. [Google Scholar]
- Valente, G.; Rinaldi, L.; Sgambato, M.; Piai, G. Conversion From Twice-Daily to Once-Daily Tacrolimus in Stable Liver Transplant Patients: Effectiveness in a Real-World Setting. Transplant. Proc. 2013, 45, 1273–1275. [Google Scholar] [CrossRef]
- Caturano, A.; Galiero, R.; Vetrano, E.; Giorgione, C.; Mormone, A.; Rinaldi, M.; Marfella, R.; Sasso, F.C.; Rinaldi, L. Current Hepatocellular Carcinoma Systemic Pharmacological Treatment Options. WCRJ 2023, 10, e2570. [Google Scholar]

| Parameter | |
|---|---|
| Age (yrs.), median [IQR] | 67 [60–73] |
| Sex, n (%) | |
| Male | 165 (53.9) |
| Female | 141 (46.1) |
| BMI, median [IQR] | 26.1 [24.3–28] |
| Smoke, n (%) | 2 (0.7) |
| Potus, n (%) | 2 (0.7) |
| Diabetes, n (%) | 59 (19.3) |
| Metabolic syndrome, n (%) | 22 (7.2) |
| Number of lesions, n (%) | |
| 0 | 286 (93.5) |
| 1 | 15 (4.9) |
| ≥2 | 5 (1.6) |
| Portal invasion, n (%) | 4 (1.3) |
| Bright liver, n (%) | 22 (7.2) |
| Liver stiffness (kPa), median [IQR] | 21 [16–29] |
| Duration of therapy, median [IQR] | 12 [12–24] |
| Platelets, median [IQR] | |
| T0 | 108,000 [73,000–153,000] |
| SVR12 | 103,500 [65,250–122,000] |
| Genotype, n (%) | |
| 1 | 243 (79.4) |
| 2 | 50 (16.3) |
| 3 | 11 (3.6) |
| 4 | 2 (0.7) |
| Child–Pugh Score T0, n (%) | |
| A | 289 (94.4) |
| B | 17 (5.6) |
| Child–Pugh Score SVR12, n (%) | |
| A | 298 (97.4) |
| B | 8 (2.6) |
| Therapy, n (%) | |
| Sofosbuvir/Ribavirin | 80 (26.1) |
| Sofosbuvir/Ledipasvir | 69 (22.5) |
| Sofosbuvir/Daclatasvir | 23 (7.5) |
| Sofosbuvir/Simeprevir | 50 (16.3) |
| 3D | 84 (27.5) |
| Late HCC, n (%) | 20 (6.5) |
| Treatment Regimen | Number of Patients (%) |
|---|---|
| Sofosbuvir/Ribavirin | 80 (26.1%) |
| Sofosbuvir/Ledipasvir | 69 (22.5%) |
| Sofosbuvir/Daclatasvir | 23 (7.5%) |
| Sofosbuvir/Simeprevir | 50 (16.3%) |
| 3D (Ombitasvir/Paritaprevir/Dasabuvir) | 84 (27.5%) |
| Univariate Analysis | Multivariate Analysis | ||||
|---|---|---|---|---|---|
| HCC | |||||
| Parameter | Yes (n = 20) | No (n = 286) | p | O.R. [95% C.I.] | p |
| Age (yrs), median [IQR] | 70 [68.2–75] | 67 [59.5–72] | 0.026 | ||
| Sex, n (%) | 0.050 | ||||
| M/F | 15 (75)/5 (25) | 150 (52.4)/136 (47.6) | |||
| BMI, median [IQR] | 25 [23.2–26.7] | 26.2 [24.7–28.4] | 0.026 | 0.712 [0.537–0.943] | 0.018 |
| Smoke, n (%) | 2 (10) | 0 (-) | 0.000 | ||
| Potus, n (%) | 2 (10) | 0 (-) | 0.000 | ||
| Diabetes, n (%) | 9 (45) | 50 (17.5) | 0.003 | 0.180 [0.045–0.713] | 0.015 |
| Metabolic syndrome, n (%) | 3 (15) | 19 (6.6) | 0.162 | ||
| Liver stiffness (kPa), median [IQR] | 26.5 [18–44.5] | 20.4 [16–28.7] | 0.028 | 1.070 [1.020–1.122] | 0.006 |
| Duration of therapy (weeks), median [IQR] | 12 [12–12] | 12 [12–24] | 0.007 | ||
| Platelets, median [IQR] | |||||
| T0 | 75,000 [48,000–109,500] | 115,000 [80,000–166,000] | 0.001 | 0.975 [0.954–0.996] | 0.019 |
| SVR | n.a. | n.a. | n.a. | ||
| Genotype, n (%) | 0.095 | ||||
| 1 | 15 (75) | 228 (79.7) | |||
| 2 | 3 (15) | 47 (16.4) | |||
| 3 | 1 (5) | 10 (3.5) | 0.007 [0.000–0.417] | 0.017 | |
| 4 | 1 (5) | 1 (0.3) | 0.003 [0.000–0.280] | 0.012 | |
| Number of lesions, n (%) | 0.000 | ||||
| 0 | 0 (-) | 286 (100) | |||
| 1 | 15 (75) | 0 (-) | |||
| ≥2 | 5 (25) | 0 (-) | |||
| Portal invasion, n (%) | 4 (11.4) | 0 (-) | 0.000 | ||
| Bright liver, n (%) | 1 (5) | 21 (16.8) | 0.172 | ||
| Child–Pugh Score T0, n (%) | 0.000 | ||||
| A | 15 (75) | 274 (95.8) | |||
| B | 5 (25) | 12 (4.2) | |||
| Child–Pugh Score SVR12, n (%) | 0.000 | ||||
| A | 17 (85) | 281 (98.3) | |||
| B | 3 (15) | 5 (1.7) | |||
| Therapy, n (%) | 0.000 | ||||
| Sofosbuvir/Ribavirin | 16 (80) | 64 (22.4) | |||
| Sofosbuvir/Ledipasvir | 0 (-) | 69 (24.1) | |||
| Sofosbuvir/Daclatasvir | 1 (5) | 22 (7.7) | |||
| Sofosbuvir/Simeprevir | 1 (5) | 49 (17.1) | |||
| 3D | 2 (10) | 82 (28.7) | |||
Disclaimer/Publisher’s Note: The statements, opinions and data contained in all publications are solely those of the individual author(s) and contributor(s) and not of MDPI and/or the editor(s). MDPI and/or the editor(s) disclaim responsibility for any injury to people or property resulting from any ideas, methods, instructions or products referred to in the content. |
© 2024 by the authors. Licensee MDPI, Basel, Switzerland. This article is an open access article distributed under the terms and conditions of the Creative Commons Attribution (CC BY) license (https://creativecommons.org/licenses/by/4.0/).
Share and Cite
Perrella, A.; Caturano, A.; de Sio, I.; Bellopede, P.; Maddaloni, A.; Vitale, L.M.; Rinaldi, B.; Mormone, A.; Izzi, A.; Sbreglia, C.; et al. Late Hepatocellular Carcinoma Occurrence in Patients Achieving Sustained Virological Response After Direct-Acting Antiviral Therapy: A Matter of Follow-Up or Something Else? J. Clin. Med. 2024, 13, 5474. https://doi.org/10.3390/jcm13185474
Perrella A, Caturano A, de Sio I, Bellopede P, Maddaloni A, Vitale LM, Rinaldi B, Mormone A, Izzi A, Sbreglia C, et al. Late Hepatocellular Carcinoma Occurrence in Patients Achieving Sustained Virological Response After Direct-Acting Antiviral Therapy: A Matter of Follow-Up or Something Else? Journal of Clinical Medicine. 2024; 13(18):5474. https://doi.org/10.3390/jcm13185474
Chicago/Turabian StylePerrella, Alessandro, Alfredo Caturano, Ilario de Sio, Pasquale Bellopede, Adelaide Maddaloni, Luigi Maria Vitale, Barbara Rinaldi, Andrea Mormone, Antonio Izzi, Costanza Sbreglia, and et al. 2024. "Late Hepatocellular Carcinoma Occurrence in Patients Achieving Sustained Virological Response After Direct-Acting Antiviral Therapy: A Matter of Follow-Up or Something Else?" Journal of Clinical Medicine 13, no. 18: 5474. https://doi.org/10.3390/jcm13185474
APA StylePerrella, A., Caturano, A., de Sio, I., Bellopede, P., Maddaloni, A., Vitale, L. M., Rinaldi, B., Mormone, A., Izzi, A., Sbreglia, C., Bernardi, F. F., Trama, U., Berretta, M., Galiero, R., Vetrano, E., Sasso, F. C., Franci, G., Marfella, R., & Rinaldi, L. (2024). Late Hepatocellular Carcinoma Occurrence in Patients Achieving Sustained Virological Response After Direct-Acting Antiviral Therapy: A Matter of Follow-Up or Something Else? Journal of Clinical Medicine, 13(18), 5474. https://doi.org/10.3390/jcm13185474

