The Surgical Outcome of Infective Endocarditis in South Africa over 10 Years: A Retrospective Review
Abstract
1. Introduction
1.1. Background
1.2. Surgical Challenges
1.3. Factors Influencing Outcomes
2. Patients and Methods
3. Results
4. Discussion
Limitations and Challenges
5. Conclusions
Supplementary Materials
Author Contributions
Funding
Institutional Review Board Statement
Informed Consent Statement
Data Availability Statement
Acknowledgments
Conflicts of Interest
References
- Cahill, T.J.; Prendergast, B.D. Infective endocarditis. Lancet 2016, 387, 882–893. [Google Scholar] [CrossRef] [PubMed]
- Chen, H.; Zhan, Y.; Zhang, K.; Gao, Y.; Chen, L.; Zhan, J.; Chen, Z.; Zeng, Z. The Global, Regional, and National Burden and Trends of Infective Endocarditis from 1990 to 2019: Results from the Global Burden of Disease Study 2019. Front. Med. 2022, 9, 774224. [Google Scholar] [CrossRef] [PubMed]
- Yang, X.; Chen, H.; Zhang, D.; Shen, L.; An, G.; Zhao, S. Global magnitude and temporal trend of infective endocarditis, 1990–2019: Results from the Global Burden of Disease Study. Eur. J. Prev. Cardiol. 2022, 29, 1277–1286. [Google Scholar] [CrossRef] [PubMed]
- Sliwa, K.; Zilla, P. Rheumatic heart disease: The tip of the iceberg. Circulation 2012, 125, 3060–3062. [Google Scholar] [CrossRef] [PubMed]
- Koegelenberg, C.F.N. Infective endocarditis in the Western Cape Province of South Africa: A three-year prospective study. QJM Int. J. Med. 2003, 96, 217–225. [Google Scholar] [CrossRef]
- Nel, S.H.; Naidoo, D.P. An echocardiographic study of infective endocarditis, with special reference to patients with HIV. Cardiovasc. J. Afr. 2014, 25, 50–57. [Google Scholar] [CrossRef]
- Abramczuk, E.; Stępińska, J.; Hryniewiecki, T. Twenty-year experience in the diagnosis and treatment of infective endocarditis. PLoS ONE 2015, 10, e0134021. [Google Scholar] [CrossRef]
- Pecoraro, A.; Herbst, P.; Pienaar, C.; Taljaard, J.; Prozesky, H.; Janson, J.; Doubell, A. Bartonella species as a cause of culture-negative endocarditis in South Africa. Eur. J. Clin. Microbiol. Infect. Dis. 2021, 40, 1873–1879. [Google Scholar] [CrossRef]
- Rasmussen, R.V.; Bruun, L.E.; Lund, J.; Larsen, C.T.; Hassager, C.; Bruun, N.E. The impact of cardiac surgery in native valve infective endocarditis: Can euroSCORE guide patient selection? Int. J. Cardiol. 2011, 149, 304–309. [Google Scholar] [CrossRef]
- Martinez-Selles, M.; Munoz, P.; Arnaiz, A.; Moreno, M.; Gálvez, J.; Rodríguez-Roda, J.; de Alarcón, A.; Cabrera, E.G.; Fariñas, M.C.; Miró, J.M.; et al. Valve surgery in active infective endocarditis: A simple score to predict in-hospital prognosis. Int. J. Cardiol. 2014, 175, 133–137. [Google Scholar] [CrossRef]
- Pecoraro, A.J.; Doubell, A.F. Infective endocarditis in South Africa. Cardiovasc. Diagn. Ther. 2020, 10, 252–261. [Google Scholar] [CrossRef]
- Kang, D.H. Timing of surgery in infective endocarditis. Heart 2015, 101, 1786–1791. [Google Scholar] [CrossRef] [PubMed]
- Pecoraro, A.J.K.; Herbst, P.G.; Janson, J.T.; Wagenaar, R.; Ismail, Z.; Taljaard, J.J.; Prozesky, H.W.; Pienaar, C.; Doubell, A.F. Early surgery determines prognosis in patients with infective endocarditis: Outcome in patients managed by an Endocarditis Team-a prospective cohort study. Cardiovasc. Diagn. Ther. 2022, 12, 453–463. [Google Scholar] [CrossRef]
- Chirillo, F.; Scotton, P.; Rocco, F.; Rigoli, R.; Borsatto, F.; Pedrocco, A.; De Leo, A.; Minniti, G.; Polesel, E.; Olivari, Z. Impact of a multidisciplinary management strategy on the outcome of patients with native valve infective endocarditis. Am. J. Cardiol. 2013, 112, 1171–1176. [Google Scholar] [CrossRef]
- Okada, Y.; Nakai, T.; Muro, T.; Ito, H.; Shomura, Y. Mitral valve repair for infective endocarditis: Kobe experience. Asian Cardiovasc. Thorac. Ann. 2020, 28, 384–389. [Google Scholar] [CrossRef] [PubMed]
- Feringa, H.H.H.; Shaw, L.J.; Poldermans, D.; Hoeks, S.; van der Wall, E.E.; Dion, R.A.; Bax, J.J. Mitral Valve Repair and Replacement in Endocarditis: A Systematic Review of Literature. Ann. Thorac. Surg. 2007, 83, 564–570. [Google Scholar] [CrossRef]
- Wang, J.; Han, J.; Li, Y.; Xu, C.; Jiao, Y.; Yang, B.; Meng, X.; Bolling, S.F. Preoperative risk factors of medium-term mitral valve repair outcome. Interact. Cardiovasc. Thorac. Surg. 2014, 19, 946–954. [Google Scholar] [CrossRef] [PubMed][Green Version]
- Di Mauro, M.; Dato, G.M.A.; Barili, F.; Gelsomino, S.; Santè, P.; Della Corte, A.; Carrozza, A.; Della Ratta, E.; Cugola, D.; Galletti, L.; et al. A predictive model for early mortality after surgical treatment of heart valve or prosthesis infective endocarditis. The EndoSCORE. Int. J. Cardiol. 2017, 241, 97–102. [Google Scholar] [CrossRef]
- Wang, A.; Chu, V.H.; Athan, E.; Delahaye, F.; Freiberger, T. Association between the timing of surgery for complicated, left-sided infective endocarditis and survival. Am. Heart J. 2019, 210, 108–116. [Google Scholar] [CrossRef]
- Hill, E.E.; Herregods, M.C.; Vanderschueren, S.; Claus, P.; Peetermans, W.E.; Herijgers, P. Outcome of Patients Requiring Valve Surgery during Active Infective Endocarditis. Ann. Thorac. Surg. 2008, 85, 1564–1569. [Google Scholar] [CrossRef]
- Meszaros, K.; Nujic, S.; Sodeck, G.H.; Englberger, L.; König, T.; Schönhoff, F.; Reineke, D.; Roost-Krähenbühl, E.; Schmidli, J.; Czerny, M.; et al. Long-term results after operations for active infective endocarditis in native and prosthetic valves. Ann. Thorac. Surg. 2012, 94, 1204–1210. [Google Scholar] [CrossRef] [PubMed]
- Durack, D.T.; Lukes, A.S.; Bright, D.K.; Duke Endocarditis Service. New criteria for diagnosis of infective endocarditis: Utilization of specific echocardiographic findings. Am. J. Med. 1994, 96, 200–209. [Google Scholar] [CrossRef]
- Li, J.S.; Sexton, D.J.; Mick, N.; Nettles, R.; Fowler, V.G., Jr.; Ryan, T.; Bashore, T.; Corey, G.R. Proposed modifications to the Duke criteria for the diagnosis of infective endocarditis. Clin. Infect. Dis. 2000, 30, 633–638. [Google Scholar] [CrossRef]
- Habib, G.; Lancellotti, P.; Antunes, M.J.; Bongiorni, M.G.; Casalta, J.-P.; Del Zotti, F.; Dulgheru, R.; El Khoury, G.; Erba, P.A.; Iung, B.; et al. 2015 ESC Guidelines for the Management of Infective Endocarditis. Eur. Heart J. 2015, 36, 3075–3128. [Google Scholar] [CrossRef] [PubMed]
- Jankelow, D.; Cupido, B.; Zühlke, L.; Sliwa, K.; Nstekhe, M.; Manga, P.; Doubell, A.; Lawrenson, J.; Essop, M.R. Prevention of infective endocarditis associated with dental treatment and other medical interventions. SA Heart J. 2017, 14, 170. [Google Scholar]
- Pecoraro, A.J.K.; Herbst, P.; Joubert, L.; Hassen, K.; Pienaar, C.; Taljaard, J.; Prozesky, H.; Janson, J.; Doubell, A. Echocardiographic features of infective endocarditis in South Africa: A prospective cohort study. S. Afr. Med. J. 2022, 112, 321–327. [Google Scholar] [CrossRef]
- Gwila, T.; Botes, L.; van Vuurena, J.; Marilee Hanekom, H.; Carlos, M.; Francis, S. Infective Endocarditis in Central South Africa in the HIV Era—A Surgical Perspective. 2021. Available online: https://scholar.ufs.ac.za/bitstream/handle/11660/11530/GwilaTH.pdf?sequence=1&isAllowed=y (accessed on 3 March 2023).
- Westerncape Government D of H and W. Burden of Disease; Springer: Berlin/Heidelberg, Germany, 2020. [Google Scholar] [CrossRef]
- Østergaard, L.; Smerup, M.H.; Iversen, K.; Jensen, A.D.; Dahl, A.; Chamat-Hedemand, S.; Bruun, N.E.; Butt, J.H.; Bundgaard, H.; Torp-Pedersen, C.; et al. Differences in mortality in patients undergoing surgery for infective endocarditis according to age and valvular surgery. BMC Infect. Dis. 2020, 20, 1–9. [Google Scholar] [CrossRef]
- Patrat-Delon, S.; Rouxel, A.; Gacouin, A.; Revest, M.; Flécher, E.; Fouquet, O.; Le Tulzo, Y.; Lerolle, N.; Tattevin, P.; Tadié, J.-M. EuroSCORE II underestimates mortality after cardiac surgery for infective endocarditis. Eur. J. Cardio-Thoracic Surg. 2016, 49, 944–951. [Google Scholar] [CrossRef]
- Koshy, J.; Engel, M.; Carrara, H.; Brink, J.; Zilla, P. Long term outcome and EuroSCORE II validation in native valve surgery for active infective endocarditis in a South African cohort. SA Heart J. 2018, 15, 116–126. [Google Scholar] [CrossRef]
- Pecoraro, A.J.K.; Pienaar, C.; Herbst, P.G.; Poerstamper, S.; Joubert, L.; Taljaard, J.; Prozesky, H.; Janson, J.; Newton-Foot, M.; Doubell, A.F. Causes of infective endocarditis in the Western Cape, South Africa: A prospective cohort study using a set protocol for organism detection and central decision making by an endocarditis team. BMJ Open. 2021, 11, e053169. [Google Scholar] [CrossRef]
- Ruel, M.; Chan, V.; Boodhwani, M.; McDonald, B.; Ni, X.; Gill, G.; Lam, K.; Hendry, P.; Masters, R.; Mesana, T. How detrimental is reexploration for bleeding after cardiac surgery ? J. Thorac. Cardiovasc. Surg. 2017, 154, 927–935. [Google Scholar] [CrossRef]
- Sarkar, M.; Prabhu, V. Basics of cardiopulmonary bypass. Indian J. Anaesth. 2017, 61, 760–767. [Google Scholar] [CrossRef] [PubMed]
- Rankin, J.S.; Hammill, B.G.; Ferguson, T.B.J.; Glower, D.D.; O’brien, S.M.; DeLong, E.R.; Peterson, E.D.; Edwards, F.H. Determinants of operative mortality in valvular heart surgery. J. Thorac. Cardiovasc. Surg. 2006, 131, 547–557. [Google Scholar] [CrossRef] [PubMed]
- Pizzino, F.; Paradossi, U.; Trimarchi, G.; Benedetti, G.; Marchi, F.; Chiappino, S.; Conti, M.; Di Bella, G.; Murzi, M.; Di Sibio, S.; et al. Clinical features and patient outcomes in Infective Endocarditis with surgical indication: A single centre experience. J. Cardiovasc. Dev. Dis. 2024, 11, 138. [Google Scholar] [CrossRef]
- Rostagno, C.; Carone, E.; Stefàno, P.L. Role of mitral valve repair in active infective endocarditis: Long term results. J. Cardiothorac. Surg. 2017, 12, 10–15. [Google Scholar] [CrossRef] [PubMed]
- El Gabry, M.; Haidari, Z.; Mourad, F.; Nowak, J.; Tsagakis, K.; Thielmann, M.; Wendt, D.; Jakob, H.; Shehada, S.-E. Outcomes of mitral valve repair in acute native mitral valve infective endocarditis. Interact. Cardiovasc. Thorac. Surg. 2019, 29, 823–829. [Google Scholar] [CrossRef] [PubMed]
- Kellum, J.; Lamiere, N.; Aspelin, P.; Barsoum, R.; Al, E. Summary of clinical practice guidelines for acute kidney injury. Kidney Int. Suppl. 2012, 2, 116–121. [Google Scholar] [CrossRef][Green Version]
- Chapter 1: Definition classification of CKD. Kidney Int. Suppl. 2013, 3, 19–62. [CrossRef]
- Inker, L.A.; Astor, B.C.; Fox, C.H.; Isakova, T.; Lash, J.; Peralta, C.; Kurella Tamura, M.; Feldman, H. KDOQI US Commentary on the 2012 KDIGO Clinical Practice Guideline for the Evaluation and Management of CKD. Am. J. Kidney Dis. 2014, 63, 713–735. [Google Scholar] [CrossRef]
- Nashef, S.A.M.; Roques, F.; Sharples, L.D.; Nilsson, J.; Smith, C.; Goldstone, A.; Lockowandt, U. Euroscore II. Eur. J. Cardio-Thoracic Surg. 2012, 41, 734–745. [Google Scholar] [CrossRef]
- Hoen, B.; Duval, X. Clinical practice. Infective endocarditis. N. Engl. J. Med. 2013, 368, 1425–1433. [Google Scholar] [CrossRef] [PubMed]
- Evans, L.; Rhodes, A.; Alhazzani, W.; Antonelli, M.; Coopersmith, C.; French, C.; Machado, F.; Mcintyre, L.; Ostermann, M.; Prescott, H.; et al. Surviving sepsis campaign: International guidelines for management of sepsis and septic shock 2021. Intensive Care Med. 2021, 49, e1063–e1143. [Google Scholar] [CrossRef]
- Snygg-Martin, U.; Gustafsson, L.; Rosengren, L.; Alsiö, Å.; Ackerholm, P.; Andersson, R. Cerebrovascular complications in patients with left-sided infective endocarditis are common: A prospective study using magnetic resonance imaging and neurochemical brain damage markers. Clin. Infect. Dis. 2008, 47, 23–30. [Google Scholar] [CrossRef] [PubMed]
- García-Cabrera, E.; Fernández-Hidalgo, N.; Almirante, B.; Ivanova-Georgieva, R.; Noureddine, M.; Plata, A.; Lomas, J.; Gálvez-Acebal, J.; Hidalgo-Tenorio, C.; Ruíz-Morales, J.; et al. Neurological complications of infective endocarditis risk factors, outcome, and impact of cardiac surgery: A multicenter observational study. Circulation 2013, 127, 2272–2284. [Google Scholar] [CrossRef]
- Kaiser, S.P.; Melby, S.J.; Zierer, A.; Schuessler, R.; Moon, M.; Moazami, N.; Pasque, M.; Huddleston, C.; Damiano, R.; Lawton, J. Long-Term Outcomes in Valve Replacement Surgery for Infective Endocarditis. Ann. Thorac. Surg. 2007, 83, 30–35. [Google Scholar] [CrossRef]








| General Parameters | Percentage (Number/Range) | |
|---|---|---|
| Confirmed acute infective endocarditis | 75.0% (120) | |
| Suspected acute infective endocarditis | 12.5% (20) | |
| Sub-acute (fully treated, elective surgery) | 12.5% (20) | |
| Number of primary surgeons | 11 | |
| Intra-aortic balloon pump required | 3.8% (6) | |
| Admission to surgery | 18.5 days (0–115) | |
| Admission to discharge | 54.0 days (7–157) | |
| Surgery to discharge | 29.0 days (0–98) | |
| Hours intubated post-operatively | 18 h (6–1464) | |
| Blood loss within first 24 h | 350 mL (50–2250) | |
| Follow-up | ||
| Post-operative follow-up period | 41.0 months (1–131) | |
| Recurrence of infective endocarditis during follow-up | 6.9% (11) | |
| Repeat valve surgery required during follow-up | 8.1% (13) | |
| Mortality | ||
| Alive | 72.5% (116) | |
| Demised—Early (within 30 days) | 8.8% (14) | |
| Demised—Late (after 30 days) | 13.1% (21) | |
| Lost to follow-up, but still alive according to home affairs | 5.0% (8) | |
| Lost to follow-up, unknown if alive | 0.6% (1) | |
| Cultures | ||
| Pre-op blood culture positive for organism | 47.5% (76) | |
| Valve culture positive for organism | 21.3% (34) | |
| Histology | ||
| Acute infection | 39.4% (63) | |
| Chronic inflammation | 30.0% (48) | |
| Myxoid degeneration | 24.4% (39) | |
| No active or chronic infection/inflammation | 38.8% (62) | |
| Other findings | 5.6% (9) | |
| Echo features pre-operatively | ||
| Rheumatic valves | 41.8% (66) | |
| Vegetations visualized | 75.9% (120) | |
| Paravalvular extension | 15.9% (25) | |
| Alive (n = 116) | <30-Day Mortality (n = 14) | >30-Day Mortality (n = 21) | p-Value | ||||
|---|---|---|---|---|---|---|---|
| Demographics | |||||||
| Mean age (years) | 36.2 | 44.1 | 40.3 | 0.04 | |||
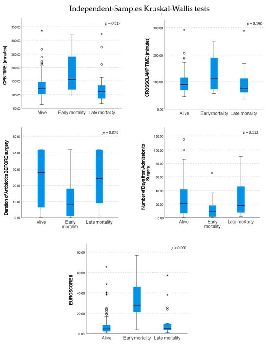
| Median EUROSCORE2 | 4.4% (116) | 28.3% (14) | 5.1% (21) | <0.001 | |||
| BMI—Body Mass Index (kg/m2) | 23.4879 | 23.6857 | 23.9571 | 0.090 | |||
| BSA—Body surface area (m2) | 1.7560 | 1.7143 | 1.7333 | 0.735 | |||
| Gender: | 0.340 | ||||||
| Male | 80.0% (84) | 8.6% (9) | 11.4% (12) | ||||
| Female | 69.6% (32) | 10.9% (5) | 19.6% (9) | ||||
| Type of valve | 0.625 | ||||||
| Native | 76.6% (105) | 8.8% (12) | 14.6% (20) | ||||
| Prosthetic valve in situ | 78.6% (11) | 14.3% (2) | 7.1% (1) | ||||
| Functional status | <0.001 | ||||||
| NYHA * I | 83.3% (5) | 0 | 16.7% (1) | ||||
| NYHA II | 91.8% (45) | 0 | 8.2% (4) | ||||
| NYHA III | 82.7% (43) | 7.7% (4) | 9.6% (5) | ||||
| NYHA IV | 53.5% (23) | 23.3% (10) | 23.3% (10) | ||||
| Comorbidities | |||||||
| Hypertension | n = 41 | 78.0% (32) | 7.3% (3) | 14.6% (6) | 0.901 | ||
| Diabetes Mellitus | n = 7 | 0.791 | |||||
| Insulin | 75% (3) | 0 | 25% (1) | ||||
| Oral only | 100% (3) | 0 | 0 | ||||
| Smoking | n = 70 | 0.376 | |||||
| Current smoker | 73.8% (45) | 14.8% (9) | 11.5% (7) | ||||
| Ex-smoker (>6 months) | 88.9% (8) | 0 | 11.1% (1) | ||||
| Alcohol abuse | n = 19 | 57.9% (11) | 21.1% (4) | 21.1% (4) | 0.061 | ||
| Illicit substance abuse | n = 20 | 85.0% (17) | 0 | 15.0% (3) | 0.332 | ||
| HIV ** Positive | n = 23 | 65.2% (15) | 13.0% (3) | 21.7% (5) | 0.194 | ||
| Chronic lung disease | n = 25 | 60.0% (15) | 20.0% (5) | 20.0% (5) | 0.051 | ||
| Poor mobility | n = 6 | 83.3% (5) | 16.7% (1) | 0 | 0.632 | ||
| Alive (n = 116) | <30-Day Mortality (n = 14) | >30-Day Mortality (n = 21) | p-Value | ||||
|---|---|---|---|---|---|---|---|
| Time-related factors | |||||||
| Days from admission to surgery | 20.50 [6.0–42.0] | 9.00 [1.0–18.0] | 18.00 [7.0–46.0] | 0.112 | |||
| Days antibiotics before surgery | 28.00 [6.5–42.0] | 8.00 [1.0–18.0] | 24.00 [9.0–42.0] | 0.024 | |||
| Aortic cross-clamp time in minutes | 90.00 [70.0–115.0] | 110.50 [73.0–190.0] | 77.00 [62.0–112.0] | 0.190 | |||
| Cardiopulmonary bypass (CPB) time in minutes | 121.50 [102.5–146.5] | 155.50 [119.0–241.0] | 111.00 [85.0–134.0] | 0.017 | |||
| Urgency of intervention | n = 151 | <0.001 | |||||
| Stable | 88.9% (16) | - | 11.1% (2) | ||||
| Urgent | 84.7% (72) | 3.5% (3) | 11.8% (10) | ||||
| Emergency | 66.7% (28) | 14.3% (6) | 19.0% (8) | ||||
| Salvage | - | 83.3% (5) | 16.7% (1) | ||||
| Cardiac function | n = 149 | 0.549 | |||||
| LVEF * < 50% | 76.5% (26) | 5.9% (2) | 17.6% (6) | ||||
| LVEF * ≥ 50% | 77.4% (89) | 10.4% (12) | 12.2% (14) | ||||
| Organ dysfunction | n = 151 | ||||||
| Peri-operative cardiac failure | 70.6% (72) | 12.7% (13) | 16.7% (17) | 0.025 | |||
| Inotropes required pre-induction | 61.5% (24) | 17.9% (7) | 20.5% (8) | 0.023 | |||
| Intubated/CPAP ** required pre-induction | 55.6% (15) | 37.0% (10) | 7.4% (2) | < 0.001 | |||
| Acute renal failure during admission | 70.3% (45) | 17.2% (11) | 12.5% (8) | 0.016 | |||
| Chronic renal impairment/residual with discharge | 43.5% (10) | 39.1% (9) | 17.4% (4) | 0.001 | |||
| Critical pre-operative state | n = 150 | < 0.001 | |||||
| No | 81.3% (100) | 4.1% (5) | 14.6% (18) | ||||
| Yes | 55.6% (15) | 33.3% (9) | 11.1% (3) | ||||
| Laboratory parameters and mortality | |||||||
| White cell count (WCC) (X109/L) | n = 150 | 7.61 [5.95–9.69] | 9.87 [7.80–12.0] | 8.46 [6.50–9.80] | 0.078 | ||
| C-reactive protein (CRP) (mg/L) | n = 116 | 43.0 [17.0–88.0] | 99.5 [70.0–197.5] | 39.0 [12.3–118.0] | 0.064 | ||
| Haemoglobin (HB) (g/dL) | n = 151 | 11.15 [9.65–12.5] | 10.80 [8.8–11.8] | 10.90 [9.8–11.6] | 0.680 | ||
| Alive (n = 116) | <30-Day Mortality (n = 14) | >30-Day Mortality (n = 21) | p-Value | |||
|---|---|---|---|---|---|---|
| Indication for surgery | n = 151 | |||||
| Acute severe MR/AR *, with signs of CCF ** | 75.4% (89) | 9.3% (11) | 15.3% (18) | 0.659 | ||
| Large vegetation (>10 mm) | 76.2% (32) | 11.9% (5) | 11.9% (5) | 0.737 | ||
| Embolic event during first 2 weeks of AB *** therapy | 81.6% (31) | 7.9% (3) | 10.5% (4) | 0.761 | ||
| Ongoing sepsis, despite adequate AB therapy | 61.1% (11) | 27.8% (5) | 11.1% (2) | 0.022 | ||
| Sub-acute Infective Endocarditis with CCF unresponsive to medical therapy | 86.7% (13) | 0 | 13.3% (2) | 0.506 | ||
| Paravalvular extension of infection (abscess) | 62.5% (20) | 18.8% (6) | 18.8% (6) | 0.046 | ||
| Type of intervention | 0.929 | |||||
| First time valve surgery | n = 135 | 76.3% (103) | 8.9% (12) | 14.8% (20) | ||
| First redo | n = 13 | 76.9% (10) | 15.4% (2) | 7.7% (1) | ||
| Second redo | n = 2 | 100% (2) | - | - | ||
| Third + fourth redo | n = 1 | 100% (1) | - | - | ||
| Primary valve intervention | 0.409 | |||||
| Mitral valve | n = 74 | 82.9% (58) | 5.7% (4) | 11.4% (8) | ||
| Aortic valve | n = 60 | 71.9% (41) | 10.5% (6) | 17.5% (10) | ||
| Both mitral AND aortic valves | n = 26 | 70.8% (17) | 16.7% (4) | 12.5% (3) | ||
| Concomitant procedures | ||||||
| CABG **** | 75.0% (3) | 25.0% (1) | - | 0.434 | ||
| Tricuspid valve annuloplasty/replacement | 33.3% (1) | 33.3% (1) | 33.3% (1) | 0.174 | ||
| Vein patch leaflet repair | 100% (7) | - | - | 0.330 | ||
| Other procedures | 65.0% (13) | 15.0% (3) | 20.0% (4) | 0.396 | ||
| Alive (n = 116) | <30-Day Mortality (n = 14) | >30-Day Mortality (n = 21) | p-Value | ||||
|---|---|---|---|---|---|---|---|
| Early in-hospital post-operative complications | |||||||
| Excessive bleeding (>500 mL in 24 h) | n = 48 | 68.8% (33) | 14.6% (7) | 16.7% (8) | 0.197 | ||
| Re-operated for bleeding | n = 13 | 61.5% (8) | 15.4% (2) | 23.1% (3) | 0.531 | ||
| Re-operated for pericardial effusion | n = 7 | 100% (7) | 0 | 0 | 0.234 | ||
| Pneumonia | n = 24 | 54.2% (13) | 16.7% (4) | 29.2% (7) | 0.012 | ||
| Wound sepsis | n = 12 | 83.3% (10) | 0 | 16.7% (2) | 0.606 | ||
| Prolonged intubation (>24 h) | n = 26 | 50.0% (13) | 30.8% (8) | 19.2% (5) | <0.001 | ||
| Neurological Event (CVA/TIA) * | 0.771 | ||||||
| (Pre-Operative) | n = 36 | 83.3% (30) | 5.6% (2) | 11.1% (4) | |||
| (Post/Peri-Operative) | n = 13 | 76.9% (10) | 15.4% (2) | 7.7% (1) | |||
| Peripheral Emboli | 0.795 | ||||||
| (Pre-Operative) | n = 10 | 80.0% (8) | 10.0% (1) | 10.0% (1) | |||
| (Post/Peri-Operative) | n = 2 | 100.0% (2) | 0 | 0 | |||
| Atrial Fibrillation | 0.338 | ||||||
| (Pre-Operative/Chronic) | n = 9 | 100.0% (9) | 0 | 0 | |||
| (Post/Peri-Operative) | n = 12 | 58.3% (7) | 33.3% (4) | 8.3% (1) | |||
| Permanent Pacemaker | 0.121 | ||||||
| (Pre-Operative/Chronic) | n = 1 | 0 | 0 | 100% (1) | |||
| (Post/Peri-Operative) | n = 4 | 75.0% (3) | 25.0% (1) | 0 | |||
| Late post-surgery discharge complications | |||||||
| Re-admitted with surgery related complication | n = 15 | 66.7% (10) | 0 | 33.3% (5) | 0.123 | ||
| Re-infection diagnosed as infective endocarditis | n = 11 | 45.5% (5) | 0 | 54.5% (6) | 0.002 | ||
| Repeat valve surgery required | n = 13 | 61.5% (8) | 0 | 38.5% (5) | 0.038 | ||
| Re-operation for paravalvular leak | n = 1 | 100% (1) | 0 | 0 | 1.0 | ||
| Alive | Dead | p-Value | ||||
|---|---|---|---|---|---|---|
| Organism | ||||||
| Streptococci Viridans | n = 14 | 100% (14) | 0% (0) | 0.041 | ||
| Group D Streptococci | n = 7 | 57.1% (4) | 42.9% (3) | 0.349 | ||
| Streptococcus other | n = 12 | 83.3% (10) | 16.7% (2) | 0.740 | ||
| Staphylococcus | n = 33 | 81.8% (27) | 18.2% (6) | 0.644 | ||
| Hacek organisms | n = 6 | 50% (3) | 50% (3) | 0.119 | ||
| Fungi | n = 3 | 66.7% (2) | 33.3% (1) | 1.000 | ||
| Other gram positives | n = 11 | 63.6% (7) | 36.4% (4) | 0.258 | ||
| Other gram negatives | n = 23 | 82.6% (19) | 17.4% (4) | 0.608 | ||
| All cultures negative | n = 67 | 76.1% (51) | 23.9% (16) | 0.699 | ||
| Repair vs. replacement | ||||||
| MITRAL VALVE | 0.076 | |||||
| Repair | n = 33 | 90.9% (30) | 9.1% (3) | |||
| Replacement | n = 67 | 76.1% (51) | 23.9% (16) | |||
| AORTIC VALVE | 0.793 | |||||
| Repair | n = 3 | 66.6% (2) | 33.3% (1) | |||
| Replacement | n = 83 | 73.5% (61) | 26.5% (22) | |||
Disclaimer/Publisher’s Note: The statements, opinions and data contained in all publications are solely those of the individual author(s) and contributor(s) and not of MDPI and/or the editor(s). MDPI and/or the editor(s) disclaim responsibility for any injury to people or property resulting from any ideas, methods, instructions or products referred to in the content. |
© 2024 by the authors. Licensee MDPI, Basel, Switzerland. This article is an open access article distributed under the terms and conditions of the Creative Commons Attribution (CC BY) license (https://creativecommons.org/licenses/by/4.0/).
Share and Cite
Nel, R.; Janson, J.; Esterhuizen, T.; van der Westhuizen, C. The Surgical Outcome of Infective Endocarditis in South Africa over 10 Years: A Retrospective Review. J. Clin. Med. 2024, 13, 5226. https://doi.org/10.3390/jcm13175226
Nel R, Janson J, Esterhuizen T, van der Westhuizen C. The Surgical Outcome of Infective Endocarditis in South Africa over 10 Years: A Retrospective Review. Journal of Clinical Medicine. 2024; 13(17):5226. https://doi.org/10.3390/jcm13175226
Chicago/Turabian StyleNel, Riaan, Jacques Janson, Tonya Esterhuizen, and Clinton van der Westhuizen. 2024. "The Surgical Outcome of Infective Endocarditis in South Africa over 10 Years: A Retrospective Review" Journal of Clinical Medicine 13, no. 17: 5226. https://doi.org/10.3390/jcm13175226
APA StyleNel, R., Janson, J., Esterhuizen, T., & van der Westhuizen, C. (2024). The Surgical Outcome of Infective Endocarditis in South Africa over 10 Years: A Retrospective Review. Journal of Clinical Medicine, 13(17), 5226. https://doi.org/10.3390/jcm13175226

