Evaluation of Acute Terminal Ileitis in Hospitalized Patients: Development of a Predictive Model to Distinguish Crohn’s Disease from Other Etiologies
Abstract
1. Introduction
2. Materials and Methods
2.1. Patients
2.2. Ethical Considerations
2.3. Study Outcomes
2.4. Study Designs
2.5. Follow-Up
2.6. Statistical Analyses
3. Results
3.1. Demographic Data and Clinical Presentation
3.2. Laboratory Test Results
3.3. CT Scan Results in CD vs. Non-CD PATIENTS
3.4. Evaluation and Treatment during Hospitalization
3.5. Follow-Up and Outcomes
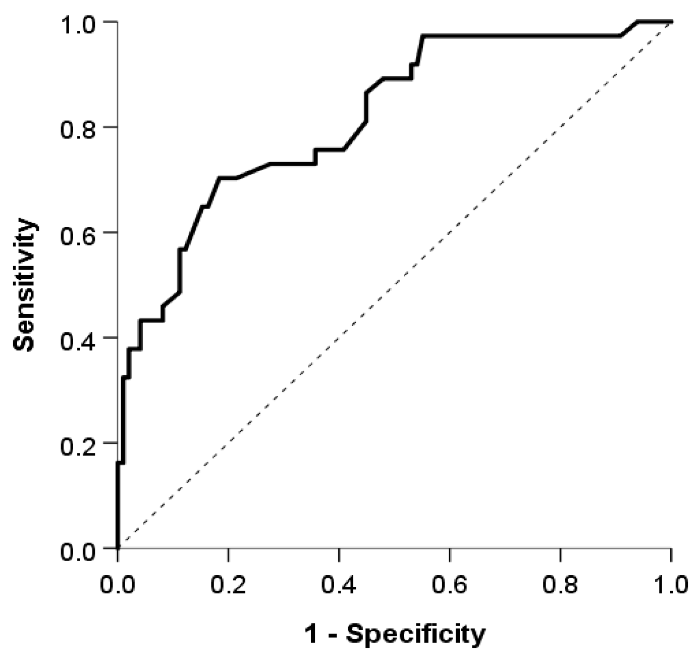
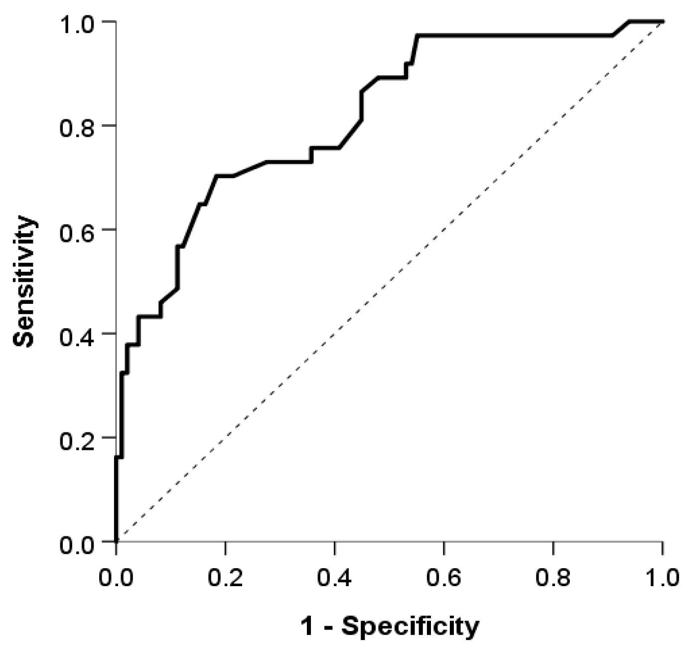
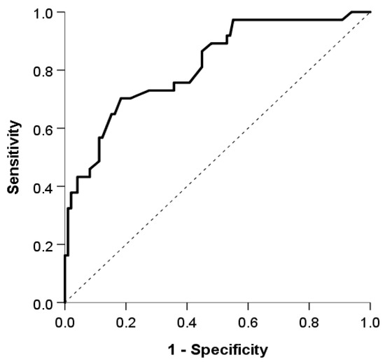
3.6. Multivariable Analysis and Model Construction
3.7. Validation of the CD Prediction Model
4. Discussion
5. Conclusions
Author Contributions
Funding
Institutional Review Board Statement
Informed Consent Statement
Data Availability Statement
Conflicts of Interest
References
- Dilauro, S.; Crum-Cianflone, N.F. Ileitis: When it is not Crohn’s disease. Curr. Gastroenterol. Rep. 2010, 12, 249–258. [Google Scholar] [CrossRef] [PubMed]
- Goulart, R.A.; Barbalho, S.M.; Gasparini, R.G.; de Carvalho, A.C. Facing Terminal Ileitis: Going Beyond Crohn’s Disease. Gastroenterol. Res. 2016, 9, 1–9. [Google Scholar] [CrossRef] [PubMed]
- Stulman, M.Y.; Asayag, N.; Focht, G.; Brufman, I.; Cahan, A.; Ledderman, N.; Matz, E.; Chowers, Y.; Eliakim, R.; Ben-Horin, S.; et al. Epidemiology of Inflammatory Bowel Diseases in Israel: A Nationwide Epi-Israeli IBD Research Nucleus Study. Inflamm. Bowel Dis. 2021, 27, 1784–1794. [Google Scholar] [CrossRef] [PubMed]
- Veauthier, B.; Hornecker, J.R. Crohn’s Disease: Diagnosis and Management. Am. Fam. Physician. 2018, 98, 661–669. [Google Scholar] [PubMed]
- Gomollón, F.; Dignass, A.; Annese, V.; Tilg, H.; Van Assche, G.; Lindsay, J.O.; Peyrin-Biroulet, L.; Cullen, G.J.; Daperno, M.; Kucharzik, T.; et al. 3rd European Evidence-based Consensus on the Diagnosis and Management of Crohn’s Disease 2016: Part 1: Diagnosis and Medical Management. J Crohns Colitis. 2017, 11, 3–25. [Google Scholar] [CrossRef]
- Gecse, K.B.; Vermeire, S. Differential diagnosis of inflammatory bowel disease: Imitations and complications. Lancet Gastroenterol. Hepatol. 2018, 3, 644–653. [Google Scholar] [CrossRef]
- Benevento, G.; Avellini, C.; Terrosu, G.; Geraci, M.; Lodolo, I.; Sorrentino, D. Diagnosis and assessment of Crohn’s disease: The present and the future. Expert. Rev. Gastroenterol. Hepatol. 2010, 4, 757–766. [Google Scholar] [CrossRef]
- Kewenter, J.; Hultén, L.; Kock, N.G. The relationship and epidemiology of acute terminal ileitis and Crohn’s disease. Gut 1974, 15, 801–804. [Google Scholar] [CrossRef]
- Shen, E.X.; Lord, A.; Doecke, J.D.; Hanigan, K.; Irwin, J.; Cheng, R.K.; Radford-Smith, G. A validated risk stratification tool for detecting high-risk small bowel Crohn’s disease. Aliment. Pharmacol. Ther. 2020, 51, 281–290. [Google Scholar] [CrossRef] [PubMed]
- Gremese, E.; Salaffi, F.; Bosello, S.L.; Ciapetti, A.; Bobbio-Pallavicini, F.; Caporali, R.; Ferraccioli, G. Very early rheumatoid arthritis as a predictor of remission: A multicentre real life prospective study. Ann. Rheum. Dis. 2013, 72, 858–862. [Google Scholar] [CrossRef]
- Möttönen, T.; Hannonen, P.; Korpela, M.; Nissilä, M.; Kautiainen, H.; Ilonen, J.; Laasonen, L.; Kaipiainen-Seppänen, O.; Franzen, P.; Helve, T.; et al. Delay to institution of therapy and induction of remission using single-drug or combination-disease-modifying antirheumatic drug therapy in early rheumatoid arthritis. Arthritis Rheum. 2002, 46, 894–898. [Google Scholar] [CrossRef] [PubMed]
- Danese, S.; Fiorino, G.; Peyrin-Biroulet, L. Early intervention in Crohn’s disease: Towards disease modification trials. Gut 2017, 66, 2179–2187. [Google Scholar] [CrossRef] [PubMed]
- Louis, E. Epidemiology of the transition from early to late Crohn’s disease. Dig. Dis. 2012, 30, 376–379. [Google Scholar] [CrossRef] [PubMed]
- Thia, K.T.; Sandborn, W.J.; Harmsen, W.S.; Zinsmeister, A.R.; Loftus, E.V., Jr. Risk factors associated with progression to intestinal complications of Crohn’s disease in a population-based cohort. Gastroenterology 2010, 139, 1147–1155. [Google Scholar] [CrossRef]
- Hong, Z.; Ren, J.; Li, Y.; Wang, G.; Gu, G.; Wu, X.; Ren, H.; Li, J. Delayed Diagnosis is Associated with Early and Emergency Need for First Crohn’s Disease-Related Intestinal Surgery. Med. Sci. Monit. 2017, 23, 4841–4846. [Google Scholar] [CrossRef] [PubMed]
- Ramadas, A.V.; Gunesh, S.; Thomas, G.A.; Williams, G.T.; Hawthorne, A.B. Natural history of Crohn’s disease in a population-based cohort from Cardiff (1986–2003): A study of changes in medical treatment and surgical resection rates. Gut 2010, 59, 1200–1206. [Google Scholar] [CrossRef]
- Peyrin-Biroulet, L.; Oussalah, A.; Williet, N.; Pillot, C.; Bresler, L.; Bigard, M.A. Impact of azathioprine and tumour necrosis factor antagonists on the need for surgery in newly diagnosed Crohn’s disease. Gut 2011, 60, 930–936. [Google Scholar] [CrossRef]
- Frolkis, A.D.; Dykeman, J.; Negrón, M.E.; DeBruyn, J.; Jette, N.; Fiest, K.M.; Frolkis, T.; Barkema, H.W.; Rioux, K.P.; Panaccione, R.; et al. Risk of surgery for inflammatory bowel diseases has decreased over time: A systematic review and meta-analysis of population-based studies. Gastroenterology 2013, 145, 996–1006. [Google Scholar] [CrossRef]
- Maaser, C.; Sturm, A.; Vavricka, S.R.; Kucharzik, T.; Fiorino, G.; Annese, V.; Calabrese, E.; Baumgart, D.C.; Bettenworth, D.; Borralho Nunes, P.; et al. ECCO-ESGAR Guideline for Diagnostic Assessment in IBD Part 1: Initial diagnosis, monitoring of known IBD, detection of complications. J. Crohns Colitis. 2019, 13, 144–164. [Google Scholar] [CrossRef]
- Sands, B.E.; Arsenault, J.E.; Rosen, M.J.; Alsahli, M.; Bailen, L.; Banks, P.; Bensen, S.; Bousvaros, A.; Cave, D.; Cooley, J.S.; et al. Risk of early surgery for Crohn’s disease: Implications for early treatment strategies. Am. J. Gastroenterol. 2003, 98, 2712–2718. [Google Scholar] [CrossRef]
- Yu, H.; Liu, Y.; Wang, Y.; Peng, L.; Li, A.; Zhang, Y. Clinical, endoscopic and histological differentiations between Crohn’s disease and intestinal tuberculosis. Digestion 2012, 85, 202–209. [Google Scholar] [CrossRef] [PubMed]
- Banerjee, R.; Pal, P.; Girish, B.G.; Reddy, D.N. Risk factors for diagnostic delay in Crohn’s disease and their impact on long-term complications: How do they differ in a tuberculosis endemic region? Aliment. Pharmacol. Ther. 2018, 47, 1367–1374. [Google Scholar] [CrossRef]
- Torres, J.; Mehandru, S.; Colombel, J.F.; Peyrin-Biroulet, L. Crohn’s disease. Lancet 2017, 389, 1741–1755. [Google Scholar] [CrossRef] [PubMed]
- Dolinger, M.; Torres, J.; Vermeire, S. Crohn’s disease. Lancet 2024, 403, 1177–1191. [Google Scholar] [CrossRef] [PubMed]
- Santos, M.P.C.; Gomes, C.; Torres, J. Familial and ethnic risk in inflammatory bowel disease. Ann. Gastroenterol. 2018, 31, 14–23. [Google Scholar] [CrossRef] [PubMed] [PubMed Central]
- Nóbrega, V.G.; Silva, I.N.N.; Brito, B.S.; Silva, J.; Silva, M.C.M.D.; Santana, G.O. The onset of clinical manifestations in inflammatory bowel disease patients. Arq. Gastroenterol. 2018, 55, 290–295. [Google Scholar] [CrossRef]
- Coates, M.D.; Clarke, K.; Williams, E.; Jeganathan, N.; Yadav, S.; Giampetro, D.; Gordin, V.; Smith, S.; Vrana, K.; Bobb, A.; et al. Abdominal Pain in Inflammatory Bowel Disease: An Evidence-Based, Multidisciplinary Review. Crohns Colitis 360 2023, 5, otad055. [Google Scholar] [CrossRef] [PubMed]
- Liu, X.; Reigle, J.; Prasath, V.B.S.; Dhaliwal, J. Artificial intelligence image-based prediction models in IBD exhibit high risk of bias: A systematic review. Comput. Biol. Med. 2024, 171, 108093. [Google Scholar] [CrossRef]
- Zeng, T.; Xiao, Y.; Huang, Z.; Wang, X.; Hu, S.; Huang, J.; Liu, H. Risk Prediction Model for Crohn’s Disease Based on Hematological Indicators. Clin. Lab. 2023, 69, 1434. [Google Scholar] [CrossRef]
- Zeng, S.; Lin, Y.; Guo, J.; Chen, X.; Liang, Q.; Zhai, X.; Tao, J. Differential diagnosis of Crohn’s disease and intestinal tuberculosis: Development and assessment of a nomogram prediction model. BMC Gastroenterol. 2022, 22, 461. [Google Scholar] [CrossRef]
- Sachdeva, K.; Agarwal, S.; Kumar, P.; Mathew, D.; Kurrey, L.; Vuyyuru, S.K.; Kante, B.; Sahu, P.; Mundhra, S.; Virmani, S.; et al. Revised Algorithmic Approach to Differentiate Between Nonspecific and Specific Etiologies of Chronic Terminal Ileitis. Am. J. Gastroenterol. 2023, 118, 2052–2060. [Google Scholar] [CrossRef] [PubMed]



| All n = 135 (%) | Non-CD n = 98 (%) | CD n = 37 (%) | p Value | |
|---|---|---|---|---|
| Age (median [IQR]) | 35 (24;52) | 39 (27;54) | 27 (22;38) | 0.003 |
| Gender | ||||
| Male | 81 (60) | 50 (51) | 31 (83.8) | 0.001 |
| Female | 54 (40) | 48 (49) | 6 (16.2) | |
| Smoking | 58 (43) | 39 (39.8) | 19 (51.4) | 0.226 |
| Family history of CD (n = 119) | 6 (5) | 2 (2.3) | 4 (12.1) | 0.049 |
| Abdominal pain within the past year | 30 (22.2) | 13(13.3) | 17 (45.9) | <0.001 |
| Diarrhea within the past year | 16 (11.9) | 8 (8.2) | 8 (21.6) | 0.04 |
| Anemia within the past year (n = 134) | 16 (11.9) | 8 (8.2) | 8 (21.6) | 0.041 |
| Weight loss (n = 119) | 13 (9.6) | 4 (4.7) | 9 (27.3) | 0.001 |
| Clinical Presentation | All n = 135 (%) | Non-CD n = 98 (%) | CD n = 37 (%) | p Value |
|---|---|---|---|---|
| Abdominal pain | 133 (98.5) | 96 (98) | 37 (100) | >0.999 |
| Peritoneal signs | 17 (12.6) | 13 (13.3) | 4 (10.8) | >0.999 |
| Diarrhea | 63 (46.7) | 49 (50) | 14 (37.8) | 0.206 |
| Fever | 53 (39.3) | 39 (39.8) | 14 (37.8) | 0.835 |
| All n = 135 (IQR) | Non-CD n = 98 (IQR) | CD n = 37 (IQR) | p Value | |
|---|---|---|---|---|
| WBCs (×10³/µL) | 10.9 (8.2;13.9) | 10.4 (7.5;13.5) | 11.7 (10.2;14.1) | 0.116 |
| HB (g/dL) | 13.7 (12.8;14.9) | 13.7 (12.8;15.0) | 13.7 (12.7;14.3) | 0.374 |
| PLTs (×10³/µL) | 232 (187;280) | 224 (187;261) | 273 (190;346) | 0.006 |
| MCV (fL) | 86 (82;89) | 87 (84;90) | 82 (77;85) | 0.001 |
| LYMs (×10³/µL) | 1.5 (1.2;2.0) | 1.6 (1.2;2) | 1.5 (1.1;1.8) | 0.063 |
| NEUs (×10³/µL) | 8.3 (5.6;11.2) | 7.7 (5.0;11.1) | 9.3 (7.1;11.4) | 0.073 |
| CRP (mg/L) | 62 (27;127.7) | 58 (18;122) | 86 (40;134) | 0.098 |
| ALT (U/L) | 14 (10;19) | 15 (11;21) | 12 (7.5;17.0) | 0.008 |
| AST (U/L) | 16 (13;21) | 17 (14;22) | 15 (10.5;18.0) | 0.004 |
| NLR | 4.5 (2.9;8.6) | 6.1 (4.7;9.3) | 0.011 | |
| PLR | 141 (104;184) | 181 (137;301) | 0.001 |
| CT Findings | CD n = 37 (%) | Non-CD n = 98 (%) | p Value |
|---|---|---|---|
| TI with collection, fistula, or obstruction | 13 (35.1) | 4 (4.1) | <0.001 |
| TI with colitis | 1 (2.7) | 14 (14.3) | 0.068 |
| TI alone | 23 (62.2) | 80 (81.6) | 0.018 |
| Variable | OR | 95% CI | p Value |
|---|---|---|---|
| Gender (Male) | 6.25 | 2.12–18.46 | 0.001 |
| Pain before | 4.21 | 1.44–12.34 | 0.009 |
| MCV (fL) | 0.87 | 0.80–0.95 | 0.002 |
Disclaimer/Publisher’s Note: The statements, opinions and data contained in all publications are solely those of the individual author(s) and contributor(s) and not of MDPI and/or the editor(s). MDPI and/or the editor(s) disclaim responsibility for any injury to people or property resulting from any ideas, methods, instructions or products referred to in the content. |
© 2024 by the authors. Licensee MDPI, Basel, Switzerland. This article is an open access article distributed under the terms and conditions of the Creative Commons Attribution (CC BY) license (https://creativecommons.org/licenses/by/4.0/).
Share and Cite
Bermont, A.; Abu-Freha, N.; Aminov, R.; Vosko, S.; Shirin, H.; Cohen, D.L. Evaluation of Acute Terminal Ileitis in Hospitalized Patients: Development of a Predictive Model to Distinguish Crohn’s Disease from Other Etiologies. J. Clin. Med. 2024, 13, 5030. https://doi.org/10.3390/jcm13175030
Bermont A, Abu-Freha N, Aminov R, Vosko S, Shirin H, Cohen DL. Evaluation of Acute Terminal Ileitis in Hospitalized Patients: Development of a Predictive Model to Distinguish Crohn’s Disease from Other Etiologies. Journal of Clinical Medicine. 2024; 13(17):5030. https://doi.org/10.3390/jcm13175030
Chicago/Turabian StyleBermont, Anton, Naim Abu-Freha, Refael Aminov, Sergei Vosko, Haim Shirin, and Daniel L. Cohen. 2024. "Evaluation of Acute Terminal Ileitis in Hospitalized Patients: Development of a Predictive Model to Distinguish Crohn’s Disease from Other Etiologies" Journal of Clinical Medicine 13, no. 17: 5030. https://doi.org/10.3390/jcm13175030
APA StyleBermont, A., Abu-Freha, N., Aminov, R., Vosko, S., Shirin, H., & Cohen, D. L. (2024). Evaluation of Acute Terminal Ileitis in Hospitalized Patients: Development of a Predictive Model to Distinguish Crohn’s Disease from Other Etiologies. Journal of Clinical Medicine, 13(17), 5030. https://doi.org/10.3390/jcm13175030

