Mobility Requirements and Joint Loading during Straight Walking and 90° Turns in Healthy Older People and Those with Hip Osteoarthritis
Abstract
1. Introduction
2. Materials and Methods
2.1. Participants
2.2. Testing Protocol
2.3. Gait Analysis and Data Processing
2.4. Statistical Analysis
3. Results
3.1. Mobility Requirements of the Movement Tasks
3.2. Joint Loading during the Movement Tasks
3.3. Effect of Hip Osteoarthritis on Hip Mobility and Joint Loading
4. Discussion
Limitations
5. Conclusions
Supplementary Materials
Author Contributions
Funding
Institutional Review Board Statement
Informed Consent Statement
Data Availability Statement
Acknowledgments
Conflicts of Interest
References
- Salaffi, F.; Carotti, M.; Stancati, A.; Grassi, W. Health-related quality of life in older adults with symptomatic hip and knee osteoarthritis: A comparison with matched healthy controls. Aging Clin. Exp. Res. 2005, 17, 255–263. [Google Scholar] [CrossRef] [PubMed]
- Loureiro, A.; Constantinou, M.; Diamond, L.E.; Beck, B.; Barrett, R. Individuals with mild-to-moderate hip osteoarthritis have lower limb muscle strength and volume deficits. BMC Musculoskelet. Disord. 2018, 19, 303. [Google Scholar] [CrossRef]
- Baker, M.; Moreside, J.; Wong, I.; Rutherford, D.J. Passive hip movement measurements related to dynamic motion during gait in hip osteoarthritis. J. Orthop. Res. 2016, 34, 1790–1797. [Google Scholar] [CrossRef]
- Leigh, R.J.; Osis, S.T.; Ferber, R. Kinematic gait patterns and their relationship to pain in mild-to-moderate hip osteoarthritis. Clin. Biomech. 2016, 34, 12–17. [Google Scholar] [CrossRef]
- Constantinou, M.; Loureiro, A.; Carty, C.; Mills, P.; Barrett, R. Hip joint mechanics during walking in individuals with mild-to-moderate hip osteoarthritis. Gait Posture 2017, 53, 162–167. [Google Scholar] [CrossRef] [PubMed]
- Steingrebe, H.; Spancken, S.; Sell, S.; Stein, T. Effects of hip osteoarthritis on lower body joint kinematics during locomotion tasks: A systematic review and meta-analysis. Front. Bioeng. Biotechnol. 2023, 5, 1197883. [Google Scholar] [CrossRef] [PubMed]
- Diamond, L.E.; Allison, K.; Dobson, F.; Hall, M. Hip joint moments during walking in people with hip osteoarthritis: A systematic review and meta-analysis. Osteoarthr. Cartil. 2018, 26, 1415–1424. [Google Scholar] [CrossRef]
- Courtine, G.; Schieppati, M. Human walking along a curved path. I. Body trajectory, segment orientation and the effect of vision. Eur. J. Neurosci. 2003, 18, 177–190. [Google Scholar] [CrossRef]
- Hicheur, H.; Vieilledent, S.; Berthoz, A. Head motion in humans alternating between straight and curved walking path: Combination of stabilizing and anticipatory orienting mechanisms. Neurosci. Lett. 2005, 383, 87–92. [Google Scholar] [CrossRef] [PubMed]
- Dixon, P.C.; Stebbins, J.; Theologis, T.; Zavatsky, A.B. Spatio-temporal parameters and lower-limb kinematics of turning gait in typically developing children. Gait Posture 2013, 38, 870–875. [Google Scholar] [CrossRef]
- Krafft, F.C.; Eckelt, M.; Köllner, A.; Wehrstein, M.; Stein, T.; Potthast, W. Reproducibility of spatio-temporal and dynamic parameters in various, daily occurring, turning conditions. Gait Posture 2015, 41, 307–312. [Google Scholar] [CrossRef]
- Glaister, B.C.; Bernatz, G.C.; Klute, G.K.; Orendurff, M.S. Video task analysis of turning during activities of daily living. Gait Posture 2007, 25, 289–294. [Google Scholar] [CrossRef] [PubMed]
- Leach, J.M.; Mellone, S.; Palumbo, P.; Bandinelli, S.; Chiari, L. Natural turn measures predict recurrent falls in community-dwelling older adults: A longitudinal cohort study. Sci. Rep. 2018, 8, 4316. [Google Scholar] [CrossRef]
- Hase, K.; Stein, R.B. Turning strategies during human walking. J. Neurophysiol. 1999, 81, 2914–2922. [Google Scholar] [CrossRef] [PubMed]
- Taylor, M.J.D.; Dabnichki, P.; Strike, S.C. A three-dimensional biomechanical comparison between turning strategies during the stance phase of walking. Hum. Mov. Sci. 2005, 24, 558–573. [Google Scholar] [CrossRef] [PubMed]
- Katz, J.N.; Arant, K.R.; Loeser, R.F. Diagnosis and Treatment of Hip and Knee Osteoarthritis: A Review. JAMA 2021, 325, 568–578. [Google Scholar] [CrossRef]
- Steultjens, M.P.; Dekker, J.; van Baar, M.E.; Oostendorp, R.A.; Bijlsma, J.W. Range of joint motion and disability in patients with osteoarthritis of the knee or hip. Rheumatology 2000, 39, 955–961. [Google Scholar] [CrossRef]
- Tateuchi, H.; Tsukagoshi, R.; Fukumoto, Y.; Akiyama, H.; So, K.; Kuroda, Y.; Ichihashi, N. Compensatory turning strategies while walking in patients with hip osteoarthritis. Gait Posture 2014, 39, 1133–1137. [Google Scholar] [CrossRef]
- Sedgman, R.; Goldie, P.; Iansek, R. Development of a measure of turning during walking. In Advancing Rehabilitation, Inaugural Conference of the Faculty of Health Sciences, Melbourne, Australia, 2–4 November 1994; La Trobe University, Faculty of Health Sciences: Melbourne, Australia, 1994; ISBN 9780858169760. [Google Scholar]
- Shi, Y.; Xu, J.; Zhang, H.; Jia, L.; Qin, Y. Empirical investigation on turning behavior of passengers in subway station. Phys. A Stat. Mech. Its Appl. 2022, 606, 128140. [Google Scholar] [CrossRef]
- Dixon, P.C.; Jacobs, J.V.; Dennerlein, J.T.; Schiffman, J.M. Late-cueing of gait tasks on an uneven brick surface impacts coordination and center of mass control in older adults. Gait Posture 2018, 65, 143–148. [Google Scholar] [CrossRef]
- Nolasco, L.A.; Silverman, A.K.; Gates, D.H. Whole-body and segment angular momentum during 90-degree turns. Gait Posture 2019, 70, 12–19. [Google Scholar] [CrossRef]
- Deathe, A.B.; Miller, W.C. The L Test of Functional Mobility: Measurement Properties of a Modified Version of the Timed “Up & Go” Test Designed for People with Lower-Limb Amputations. Phys. Ther. 2005, 85, 626–635. [Google Scholar] [CrossRef]
- Xu, D.; Carlton, L.G.; Rosengren, K.S. Anticipatory postural adjustments for altering direction during walking. J. Mot. Behav. 2004, 36, 316–326. [Google Scholar] [CrossRef]
- Härtel, T.; Hermsdorf, H. Biomechanical modelling and simulation of human body by means of DYNAMICUS. J. Biomech. 2006, 39, S549. [Google Scholar] [CrossRef]
- Harrington, M.E.; Zavatsky, A.B.; Lawson, S.E.M.; Yuan, Z.; Theologis, T.N. Prediction of the hip joint centre in adults, children, and patients with cerebral palsy based on magnetic resonance imaging. J. Biomech. 2007, 40, 595–602. [Google Scholar] [CrossRef]
- Nérot, A.; Nicholls, M. Clinical study on the unloading effect of hip bracing on gait in patients with hip osteoarthritis. Prosthet. Orthot. Int. 2017, 41, 127–133. [Google Scholar] [CrossRef]
- Faul, F.; Erdfelder, E.; Lang, A.-G.; Buchner, A. G*Power 3: A flexible statistical power analysis program for the social, behavioral, and biomedical sciences. Behav. Res. Methods 2007, 39, 175–191. [Google Scholar] [CrossRef]
- R Core Team. R: A Language and Environment for Statistical Computing. Available online: https://www.R-project.org/ (accessed on 21 December 2023).
- Schache, A.G.; Blanch, P.D.; Dorn, T.W.; Brown, N.A.T.; Rosemond, D.; Pandy, M.G. Effect of running speed on lower limb joint kinetics. Med. Sci. Sports Exerc. 2011, 43, 1260–1271. [Google Scholar] [CrossRef]
- Rutherford, D.J.; Moreside, J.; Wong, I. Hip joint motion and gluteal muscle activation differences between healthy controls and those with varying degrees of hip osteoarthritis during walking. J. Electromyogr. Kinesiol. 2015, 25, 944–950. [Google Scholar] [CrossRef]
- Zügner, R.; Tranberg, R.; Lisovskaja, V.; Kärrholm, J. Different reliability of instrumented gait analysis between patients with unilateral hip osteoarthritis, unilateral hip prosthesis and healthy controls. BMC Musculoskelet. Disord. 2018, 19, 224. [Google Scholar] [CrossRef]
- Hurwitz, D.E.; Hulet, C.H.; Andriacchi, T.P.; Rosenberg, A.G.; Galante, J.O. Gait compensations in patients with osteoarthritis of the hip and their relationship to pain and passive hip motion. J. Orthop. Res. 1997, 15, 629–635. [Google Scholar] [CrossRef] [PubMed]
- Yamaguchi, T.; Okamoto, R.; Hokkirigawa, K.; Masani, K. Decrease in required coefficient of friction due to smaller lean angle during turning in older adults. J. Biomech. 2018, 74, 163–170. [Google Scholar] [CrossRef]
- Roelker, S.A.; Caruthers, E.J.; Baker, R.K.; Pelz, N.C.; Chaudhari, A.M.W.; Siston, R.A. Interpreting Musculoskeletal Models and Dynamic Simulations: Causes and Effects of Differences Between Models. Ann. Biomed. Eng. 2017, 45, 2635–2647. [Google Scholar] [CrossRef] [PubMed]
- Falisse, A.; van Rossom, S.; Gijsbers, J.; Steenbrink, F.; van Basten, B.J.H.; Jonkers, I.; van den Bogert, A.J.; de Groote, F. OpenSim Versus Human Body Model: A Comparison Study for the Lower Limbs During Gait. J. Appl. Biomech. 2018, 34, 496–502. [Google Scholar] [CrossRef]
- Akram, S.B.; Frank, J.S.; Chenouri, S. Turning behavior in healthy older adults: Is there a preference for step versus spin turns? Gait Posture 2010, 31, 23–26. [Google Scholar] [CrossRef]
- Bergsma, B.; Hulleman, D.N.; Wiedemeijer, M.M.; Otten, E. Foot placement variables of pedestrians in community setting during curve walking. Gait Posture 2021, 86, 120–124. [Google Scholar] [CrossRef] [PubMed]
- Xu, D.; Chow, J.W.; Wang, Y.T. Effects of turn angle and pivot foot on lower extremity kinetics during walk and turn actions. J. Appl. Biomech. 2006, 22, 74–79. [Google Scholar] [CrossRef]
- Foucher, K.C. Sex-specific hip osteoarthritis-associated gait abnormalities: Alterations in dynamic hip abductor function differ in men and women. Clin. Biomech. 2017, 48, 24–29. [Google Scholar] [CrossRef]




| Group | Inclusion Criteria | Operationalisation |
|---|---|---|
| HOA | Radiologically confirmed HOA | Kellgren–Lawrence Score (K-L Score) of 2–4 |
| Symptomatic HOA | Hip pain during activities of daily living within the last 3 months | |
| Decreased hip function | Harris Hip Score between 65 and 95 | |
| Unilateral HOA | Contralateral K-L Score ≤ 2; contralateral hip pain free within the last 3 months; unrestricted passive ROM of contralateral hip (sagittal ROM ≥ 90°; transverse ROM ≥ 15°; peak abduction ≥ 20; flexing contracture ≤ 10°) | |
| Healthy | No radiological signs of HOA | Bilateral K-L Score ≤ 1 (if radiographic images available) |
| No symptoms of HOA | No hip pain within the last 3 months during activities of daily living | |
| Good hip function | Harris Hip Score ≥ 96 | |
| Group | Exclusion Criteria | |
| HOA | Secondary HOA caused by trauma | |
| Contraindications of X-ray imaging | ||
| Both | BMI ≥ 35 kg/m2 | |
| Orthopaedic injury of other joints of the lower limbs and back (e.g., pain, osteoarthritis > grade 1 (self-reported), endoprosthesis, rheumatoid arthritis, acute herniated disc, etc.) | ||
| Neuromuscular disorders or neurological complaints (e.g., vertigo) | ||
| Parameter | Straight Walking | 90° Step Turn | 90° Spin Turn | |||
|---|---|---|---|---|---|---|
| Healthy | HOA | Healthy | HOA | Healthy | HOA | |
| COM velocity IC [m/s] | 1.36 (0.12) | 1.27 (0.19) | 0.97 (0.12) | 0.94 (0.14) | 0.96 (0.12) | 0.92 (0.19) |
| COM velocity TO [m/s] | 1.39 (0.12) | 1.29 (0.19) | 0.98 (0.15) | 0.94 (0.16) | 0.97 (0.11) | 0.93 (0.12) |
| Stance phase duration [s] | 0.64 (0.05) | 0.65 (0.05) | 0.70 (0.08) | 0.73 (0.10) | 0.74 (0.08) | 0.78 (0.14) |
| Parameter | Straight Walking | 90° Step Turn | 90° Spin Turn | |||
|---|---|---|---|---|---|---|
| Healthy | HOA | Healthy | HOA | Healthy | HOA | |
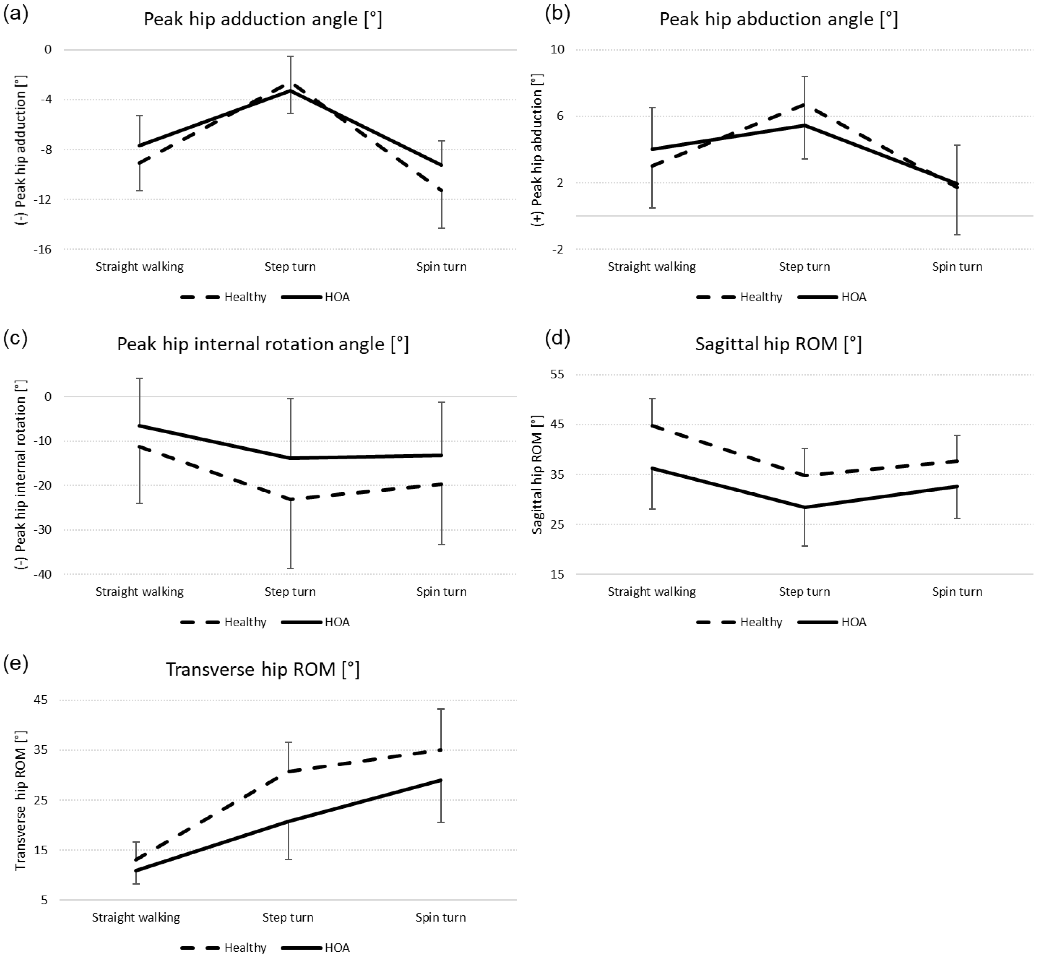
| Peak hip flexion [°] | 15.70 (5.75) | 13.69 (6.14) | 9.64 (5.58) | 8.18 (6.84) | 12.95 (5.55) | 12.49 (5.82) |
| Peak hip extension [°] | −29.11 (4.5) | −22.56 (6.28) | −25.13 (5.76) | −20.32 (5.73) | −24.72 (5.25) | −20.08 (5.82) |
| Sagittal hip ROM [°] | 44.81 (5.52 | 36.25 (8.34) | 34.77 (5.58) | 28.50 (8.01) | 37.66 (5.25) | 32.57 (6.49) |
| Peak hip abduction [°] | 3.02 (2.58) | 4.02 (2.56) | 6.71 (3.37) | 5.47 (2.98) | 1.71 (2.92) | 1.95 (2.38) |
| Peak hip adduction [°] | −9.04 (2.40) | −7.66 (2.30) | −2.61 (2.76) | −3.26 (2.53) | −11.25 (2.03) | −9.26 (3.12) |
| Frontal hip ROM [°] | 12.06 (1.60) | 11.68 (2.69) | 9.32 (2.41) | 8.73 (2.39) | 12.97 (1.81) | 11.21 (3.00) |
| Peak hip ext. rotation [°] | 1.90 (13.2) | 4.34 (10.5) | 7.68 (14.3) | 6.97 (11.5) | 15.41 (15.0) | 15.82 (11.1) |
| Peak hip int. rotation [°] | −11.19 (13.1) | −6.59 (11.00) | −23.07 (16.0) | −13.82 (13.7) | −19.62 (13.9) | −13.20 (12.2) |
| Transverse hip ROM [°] | 13.08 (3.56) | 10.93 (2.82) | 30.75 (5.97) | 20.79 (7.85) | 35.03 (8.45) | 29.02 (8.72) |
| Parameter | Straight Walking | 90° Step Turn | 90° Spin Turn | |||
|---|---|---|---|---|---|---|
| Healthy | HOA | Healthy | HOA | Healthy | HOA | |
| Peak hip extension moment [Nm/kg] | 0.93 (0.90) | 0.53 (0.19) | 2.82 (2.80) | 2.61 (2.74) | 2.50 (2.58) | 2.45 (2.46) |
| Peak hip flexion moment [Nm/kg] | −0.96 (0.43) | −0.69 (0.18) | −2.63 (1.48) | −2.77 (1.80) | −2.62 (1.06) | −2.89 (1.06) |
| Peak hip abduction moment [Nm/kg] | 0.20 (0.08) | 0.19 (0.09) | 3.89 (3.13) | 3.50 (3.01) | 1.33 (1.62) | 1.09 (1.35) |
| Peak hip adduction moment [Nm/kg] | −1.10 (0.25) | −0.92 (0.10) | −1.29 (1.75) | −1.25 (1.47) | −4.28 (4.10) | −3.78 (3.63) |
| Peak hip ext. rotation moment [Nm/kg] | 0.26 (0.09) | 0.20 (0.06) | 0.46 (0.52) | 0.58 (0.61) | 1.74 (1.22) | 1.37 (1.06) |
| Peak hip int. rotation moment [Nm/kg] | −0.12 (0.11) | −0.07 (0.04) | −2.21 (0.94) | −1.81 (0.81) | −0.71 (0.69) | −0.69 (0.83) |
Disclaimer/Publisher’s Note: The statements, opinions and data contained in all publications are solely those of the individual author(s) and contributor(s) and not of MDPI and/or the editor(s). MDPI and/or the editor(s) disclaim responsibility for any injury to people or property resulting from any ideas, methods, instructions or products referred to in the content. |
© 2024 by the authors. Licensee MDPI, Basel, Switzerland. This article is an open access article distributed under the terms and conditions of the Creative Commons Attribution (CC BY) license (https://creativecommons.org/licenses/by/4.0/).
Share and Cite
Steingrebe, H.; Sell, S.; Stein, T. Mobility Requirements and Joint Loading during Straight Walking and 90° Turns in Healthy Older People and Those with Hip Osteoarthritis. J. Clin. Med. 2024, 13, 5021. https://doi.org/10.3390/jcm13175021
Steingrebe H, Sell S, Stein T. Mobility Requirements and Joint Loading during Straight Walking and 90° Turns in Healthy Older People and Those with Hip Osteoarthritis. Journal of Clinical Medicine. 2024; 13(17):5021. https://doi.org/10.3390/jcm13175021
Chicago/Turabian StyleSteingrebe, Hannah, Stefan Sell, and Thorsten Stein. 2024. "Mobility Requirements and Joint Loading during Straight Walking and 90° Turns in Healthy Older People and Those with Hip Osteoarthritis" Journal of Clinical Medicine 13, no. 17: 5021. https://doi.org/10.3390/jcm13175021
APA StyleSteingrebe, H., Sell, S., & Stein, T. (2024). Mobility Requirements and Joint Loading during Straight Walking and 90° Turns in Healthy Older People and Those with Hip Osteoarthritis. Journal of Clinical Medicine, 13(17), 5021. https://doi.org/10.3390/jcm13175021

