Enhanced Risk of Gastroesophageal Reflux Disease and Esophageal Complications in the Ulcerative Colitis Population
Abstract
1. Introduction
2. Materials and Methods
2.1. Data Source
2.2. Data Extraction and Outcome Measures
2.3. Statistical Analysis
3. Results
3.1. Demographics
3.2. Comorbidities
3.3. Clinical Outcomes
4. Discussion
5. Conclusions
Author Contributions
Funding
Institutional Review Board Statement
Informed Consent Statement
Data Availability Statement
Conflicts of Interest
References
- Fabián, O.; Kamaradová, K. Morphology of Inflammatory Bowel Diseases (IBD). Cesk Patol. 2022, 58, 27–37. [Google Scholar]
- Mentella, M.C.; Scaldaferri, F.; Pizzoferrato, M.; Gasbarrini, A.; Miggiano, G.A.D. Nutrition, IBD and Gut Microbiota: A Review. Nutrients 2020, 12, 944. [Google Scholar] [CrossRef] [PubMed]
- Yu, Y.R.; Rodriguez, J.R. Clinical Presentation of Crohn’s, Ulcerative Colitis, and Indeterminate Colitis: Symptoms, Extraintestinal Manifestations, and Disease Phenotypes. Semin. Pediatr. Surg. 2017, 26, 349–355. [Google Scholar] [CrossRef]
- Alatab, S.; Sepanlou, S.G.; Ikuta, K.; Vahedi, H.; Bisignano, C.; Safiri, S.; Sadeghi, A.; Nixon, M.R.; Abdoli, A.; Abolhassani, H.; et al. The Global, Regional, and National Burden of Inflammatory Bowel Disease in 195 Countries and Territories, 1990–2017: A Systematic Analysis for the Global Burden of Disease Study 2017. Lancet Gastroenterol. Hepatol. 2020, 5, 17–30. [Google Scholar] [CrossRef] [PubMed]
- Ananthakrishnan, A.N. Epidemiology and Risk Factors for IBD. Nat. Rev. Gastroenterol. Hepatol. 2015, 12, 205–217. [Google Scholar] [CrossRef]
- Owczarek, D.; Rodacki, T.; Domagała-Rodacka, R.; Cibor, D.; Mach, T. Diet and Nutritional Factors in Inflammatory Bowel Diseases. World J. Gastroenterol. 2016, 22, 895–905. [Google Scholar] [CrossRef] [PubMed]
- Gajendran, M.; Loganathan, P.; Jimenez, G.; Catinella, A.P.; Ng, N.; Umapathy, C.; Ziade, N.; Hashash, J.G. A Comprehensive Review and Update on Ulcerative Colitis. Disease-a-Month 2019, 65, 100851. [Google Scholar] [CrossRef] [PubMed]
- Santos, M.P.C.; Gomes, C.; Torres, J. Familial and Ethnic Risk in Inflammatory Bowel Disease. Ann. Gastroenterol. 2018, 31, 14. [Google Scholar] [CrossRef] [PubMed]
- Childers, R.E.; Eluri, S.; Vazquez, C.; Weise, R.M.; Bayless, T.M.; Hutfless, S. Family History of Inflammatory Bowel Disease among Patients with Ulcerative Colitis: A Systematic Review and Meta-Analysis. J. Crohns Colitis 2014, 8, 1480–1497. [Google Scholar] [CrossRef]
- Ellinghaus, D.; Jostins, L.; Spain, S.L.; Cortes, A.; Bethune, J.; Han, B.; Park, Y.R.; Raychaudhuri, S.; Pouget, J.G.; Hübenthal, M.; et al. Analysis of Five Chronic Inflammatory Diseases Identifies 27 New Associations and Highlights Disease-Specific Patterns at Shared Loci. Nat. Genet. 2016, 48, 510–518. [Google Scholar] [CrossRef] [PubMed]
- De Lange, K.M.; Moutsianas, L.; Lee, J.C.; Lamb, C.A.; Luo, Y.; Kennedy, N.A.; Jostins, L.; Rice, D.L.; Gutierrez-Achury, J.; Ji, S.G.; et al. Genome-Wide Association Study Implicates Immune Activation of Multiple Integrin Genes in Inflammatory Bowel Disease. Nat. Genet. 2017, 49, 256–261. [Google Scholar] [CrossRef] [PubMed]
- Liu, J.Z.; Van Sommeren, S.; Huang, H.; Ng, S.C.; Alberts, R.; Takahashi, A.; Ripke, S.; Lee, J.C.; Jostins, L.; Shah, T.; et al. Association Analyses Identify 38 Susceptibility Loci for Inflammatory Bowel Disease and Highlight Shared Genetic Risk across Populations. Nat. Genet. 2015, 47, 979–986. [Google Scholar] [CrossRef] [PubMed]
- Festen, E.A.M.; Goyette, P.; Green, T.; Boucher, G.; Beauchamp, C.; Trynka, G.; Dubois, P.C.; Lagacé, C.; Stokkers, P.C.F.; Hommes, D.W.; et al. A Meta-Analysis of Genome-Wide Association Scans Identifies IL18RAP, PTPN2, TAGAP, and PUS10 as Shared Risk Loci for Crohn’s Disease and Celiac Disease. PLoS Genet. 2011, 7, e1001283. [Google Scholar] [CrossRef] [PubMed]
- Parkes, M.; Cortes, A.; Van Heel, D.A.; Brown, M.A. Genetic Insights into Common Pathways and Complex Relationships among Immune-Mediated Diseases. Nat. Rev. Genet. 2013, 14, 661–673. [Google Scholar] [CrossRef] [PubMed]
- Liu, L.; Wu, Y.; Li, Y.; Li, M. A Polygenic Risk Analysis for Identifying Ulcerative Colitis Patients with European Ancestry. Genes 2024, 15, 684. [Google Scholar] [CrossRef] [PubMed]
- Khera, A.V.; Chaffin, M.; Aragam, K.G.; Haas, M.E.; Roselli, C.; Choi, S.H.; Natarajan, P.; Lander, E.S.; Lubitz, S.A.; Ellinor, P.T.; et al. Genome-Wide Polygenic Scores for Common Diseases Identify Individuals with Risk Equivalent to Monogenic Mutations. Nat. Genet. 2018, 50, 1219–1224. [Google Scholar] [CrossRef] [PubMed]
- Abakkouy, Y.; Cleynen, I. The Promise of Polygenic Risk Scores as a Research Tool to Analyse the Genetics Underlying IBD Phenotypes. J. Crohns Colitis 2021, 15, 877–878. [Google Scholar] [CrossRef] [PubMed]
- Ahmad, T.; Marshall, S.E.; Jewell, D. Genetics of Inflammatory Bowel Disease: The Role of the HLA Complex. World J. Gastroenterol. 2006, 12, 3628–3635. [Google Scholar] [CrossRef] [PubMed]
- Narula, N.; Fedorak, R.N. Exercise and Inflammatory Bowel Disease. Can. J. Gastroenterol. 2008, 22, 497–504. [Google Scholar] [CrossRef] [PubMed]
- Molodecky, N.A.; Kaplan, G.G. Environmental Risk Factors for Inflammatory Bowel Disease. Gastroenterol. Hepatol. 2010, 6, 339–346. [Google Scholar]
- Dahlhamer, J.M.; Zammitti, E.P.; Ward, B.W.; Wheaton, A.G.; Croft, J.B. Prevalence of Inflammatory Bowel Disease Among Adults Aged ≥ 18 Years—United States, 2015. MMWR Morb. Mortal. Wkly. Rep. 2016, 65, 1166–1169. [Google Scholar] [CrossRef] [PubMed]
- Keshteli, A.H.; Madsen, K.L.; Dieleman, L.A. Diet in the Pathogenesis and Management of Ulcerative Colitis; A Review of Randomized Controlled Dietary Interventions. Nutrients 2019, 11, 1498. [Google Scholar] [CrossRef] [PubMed]
- Levine, J.S.; Burakoff, R. Extraintestinal Manifestations of Inflammatory Bowel Disease. Gastroenterol. Hepatol. 2011, 7, 235. [Google Scholar]
- Ercolani, M.; Farinelli, M.; Agostini, A.; Baldoni, F.; Baracchini, F.; Ravegnani, G.; Bortolotti, M. Gastroesophageal Reflux Disease (GERD) and Inflammatory Bowel Disease (IBD): Attachment Styles and Parental Bonding. Percept. Mot. Ski. 2010, 111, 625–630. [Google Scholar] [CrossRef] [PubMed]
- Harbord, M.; Eliakim, R.; Bettenworth, D.; Karmiris, K.; Katsanos, K.; Kopylov, U.; Kucharzik, T.; Molnár, T.; Raine, T.; Sebastian, S.; et al. Third European Evidence-Based Consensus on Diagnosis and Management of Ulcerative Colitis. Part 2: Current Management. J. Crohns Colitis 2017, 11, 769–784. [Google Scholar] [CrossRef] [PubMed]
- Lasa, J.S.; Olivera, P.A.; Danese, S.; Peyrin-Biroulet, L. Efficacy and Safety of Biologics and Small Molecule Drugs for Patients with Moderate-to-Severe Ulcerative Colitis: A Systematic Review and Network Meta-Analysis. Lancet Gastroenterol. Hepatol. 2022, 7, 161–170. [Google Scholar] [CrossRef] [PubMed]
- Martinez, G.J.; Pereira, P.M.; Äijö, T.; Kim, E.Y.; Marangoni, F.; Pipkin, M.E.; Togher, S.; Heissmeyer, V.; Zhang, Y.C.; Crotty, S.; et al. The Transcription Factor NFAT Promotes Exhaustion of Activated CD8+ T Cells. Immunity 2015, 6, 265–278. [Google Scholar]
- Katz, J.; Shenkman, A.; Stavropoulos, F.; Melzer, E. Oral Signs and Symptoms in Relation to Disease Activity and Site of Involvement in Patients with Inflammatory Bowel Disease. Oral Dis. 2003, 9, 34–40. [Google Scholar] [CrossRef] [PubMed]
- Fass, R.; Boeckxstaens, G.E.; El-Serag, H.; Rosen, R.; Sifrim, D.; Vaezi, M.F. Gastro-Oesophageal Reflux Disease. Nat. Rev. Dis. Primers 2021, 7, 55. [Google Scholar] [CrossRef] [PubMed]
- Katz, P.O.; Dunbar, K.B.; Schnoll-Sussman, F.H.; Greer, K.B.; Yadlapati, R.; Spechler, S.J. ACG Clinical Guideline for the Diagnosis and Management of Gastroesophageal Reflux Disease. Am. J. Gastroenterol. 2022, 117, 27–56. [Google Scholar] [CrossRef]
- Vakil, N.; Van Zanten, S.V.; Kahrilas, P.; Dent, J.; Jones, R.; Bianchi, L.K.; Cesario, K.B. The Montreal Definition and Classification of Gastroesophageal Reflux Disease: A Global Evidence-Based Consensus. Am. J. Gastroenterol. 2006, 101, 1900–1920. [Google Scholar] [CrossRef] [PubMed]
- Maret-Ouda, J.; Markar, S.R.; Lagergren, J. Gastroesophageal Reflux Disease a Review. JAMAJ. Am. Med. Assoc. 2020, 324, 2536–2547. [Google Scholar] [CrossRef] [PubMed]
- El-Serag, H.B.; Sweet, S.; Winchester, C.C.; Dent, J. Update on the Epidemiology of Gastro-Oesophageal Reflux Disease: A Systematic Review. Gut 2014, 63, 871–880. [Google Scholar] [CrossRef] [PubMed]
- Giannini, E.G.; Zentilin, P.; Dulbecco, P.; Vigneri, S.; Scarlata, P.; Savarino, V. Management Strategy for Patients with Gastroesophageal Reflux Disease: A Comparison between Empirical Treatment with Esomeprazole and Endoscopy-Oriented Treatment. Am. J. Gastroenterol. 2008, 103, 267–275. [Google Scholar] [CrossRef] [PubMed]
- Sonnenberg, A.; Turner, K.O.; Genta, R.M. Upper Gastrointestinal Disease Influences the Occurrence of Inflammatory Bowel Disease. Dig. Dis. Sci. 2020, 65, 2373–2378. [Google Scholar] [CrossRef] [PubMed]
- Abuquteish, D.; Putra, J. Upper Gastrointestinal Tract Involvement of Pediatric Inflammatory Bowel Disease: A Pathological Review. World J. Gastroenterol. 2019, 25, 1928–1935. [Google Scholar] [CrossRef]
- Xia, B.; Yang, M.; Nguyen, L.H.; He, Q.; Zhen, J.; Yu, Y.; Di, M.; Qin, X.; Lu, K.; Kuo, Z.C.; et al. Regular Use of Proton Pump Inhibitor and the Risk of Inflammatory Bowel Disease: Pooled Analysis of 3 Prospective Cohorts. Gastroenterology 2021, 161, 1842–1852.e10. [Google Scholar] [CrossRef] [PubMed]
- Galeazzi, F.; Lucà, M.G.; Lanaro, D.; D’Incà, R.; D’Odorico, A.; Sturniolo, G.C.; Mastropaolo, G. Esophageal Hyperalgesia in Patients with Ulcerative Colitis: Role of Experimental Stress. Am. J. Gastroenterol. 2001, 96, 2590–2595. [Google Scholar] [CrossRef] [PubMed]
- Hori, K.; Ikeuchi, H.; Nakano, H.; Uchino, M.; Tomita, T.; Ohda, Y.; Hida, N.; Matsumoto, T.; Fukuda, Y.; Miwa, H. Gastroduodenitis Associated with Ulcerative Colitis. J. Gastroenterol. 2008, 43, 193–201. [Google Scholar] [CrossRef]
- Hisabe, T.; Matsui, T.; Miyaoka, M.; Ninomiya, K.; Ishihara, H.; Nagahama, T.; Takaki, Y.; Hirai, F.; Ikeda, K.; Iwashita, A.; et al. Diagnosis and Clinical Course of Ulcerative Gastroduodenal Lesion Associated with Ulcerative Colitis: Possible Relationship with Pouchitis. Dig. Endosc. 2010, 22, 268–274. [Google Scholar] [CrossRef] [PubMed]
- Tominaga, K.; Tsuchiya, A.; Sato, H.; Mizusawa, T.; Morita, S.; Ishii, Y.; Takeda, N.; Natsui, K.; Kawata, Y.; Kimura, N.; et al. Esophageal Ulcers Associated with Ulcerative Colitis: A Case Series and Literature Review. Intern. Med. 2020, 59, 1983–1989. [Google Scholar] [CrossRef] [PubMed]
- Fasullo, M.; Sreenivasen, A.; Holzwanger, E.; Lavender, C.; Patel, M.; Shah, T.; Mutha, P.; Yacavone, R.F.; Sultan, K.; Trindade, A.J.; et al. Co-Existing Inflammatory Bowel Disease and Barrett’s Esophagus Is Associated with Esophageal Dysplasia: A Propensity Score-Matched Cohort. Endosc. Int. Open 2021, 09, E1524–E1529. [Google Scholar] [CrossRef] [PubMed]
- Annunziata, M.L.; Caviglia, R.; Papparella, L.G.; Cicala, M. Upper Gastrointestinal Involvement of Crohn’s Disease: A Prospective Study on the Role of Upper Endoscopy in the Diagnostic Work-Up. Dig. Dis. Sci. 2012, 57, 1618–1623. [Google Scholar] [CrossRef] [PubMed]
- Spiceland, C.M.; Lodhia, N. Endoscopy in Inflammatory Bowel Disease: Role in Diagnosis, Management, and Treatment. World J. Gastroenterol. 2018, 24, 4014–4020. [Google Scholar] [CrossRef] [PubMed]
- Kamiński, M.F.; Hassan, C.; Bisschops, R.; Pohl, J.; Pellisé, M.; Dekker, E.; Ignjatovic-Wilson, A.; Hoffman, A.; Longcroft-Wheaton, G.; Heresbach, D.; et al. Advanced Imaging for Detection and Differentiation of Colorectal Neoplasia: European Society of Gastrointestinal Endoscopy (ESGE) Guideline. Endoscopy 2014, 46, 435–457. [Google Scholar] [CrossRef]
- Cairns, S.R.; Scholefield, J.H.; Steele, R.J.; Dunlop, M.G.; Thomas, H.J.W.; Evans, G.D.; Eaden, J.A.; Rutter, M.D.; Atkin, W.P.; Saunders, B.P.; et al. Guidelines for Colorectal Cancer Screening and Surveillance in Moderate and High Risk Groups (Update from 2002). Gut 2010, 59, 666–689. [Google Scholar] [CrossRef]
- Magro, F.; Gionchetti, P.; Eliakim, R.; Ardizzone, S.; Armuzzi, A.; Barreiro-de Acosta, M.; Burisch, J.; Gecse, K.B.; Hart, A.L.; Hindryckx, P.; et al. Third European Evidence-Based Consensus on Diagnosis and Management of Ulcerative Colitis. Part 1: Definitions, Diagnosis, Extra-Intestinal Manifestations, Pregnancy, Cancer Surveillance, Surgery, and Ileo-Anal Pouch Disorders. J. Crohns Colitis 2017, 11, 649–670. [Google Scholar] [CrossRef] [PubMed]
- Kingsley, M.J.; Abreu, M.T. A Personalized Approach to Managing Inflammatory Bowel Disease. Gastroenterol. Hepatol. 2016, 12, 308–315. [Google Scholar]
- Krzystek-Korpacka, M.; Kempiński, R.; Bromke, M.A.; Neubauer, K. Oxidative Stress Markers in Inflammatory Bowel Diseases: Systematic Review. Diagnostics 2020, 10, 601. [Google Scholar] [CrossRef] [PubMed]
- Rana, S.V.; Sharma, S.; Prasad, K.K.; Sinha, S.K.; Singh, K. Role of Oxidative Stress & Antioxidant Defence in Ulcerative Colitis Patients from North India. Indian J. Med. Res. 2014, 139, 568–571. [Google Scholar] [PubMed]
- Sihvo, E.I.T.; Ruohtula, T.; Auvinen, M.I.; Koivistoinen, A.; Harjula, A.L.; Salo, J.A.; Mentzer, S.J. Simultaneous Progression of Oxidative Stress and Angiogenesis in Malignant Transformation of Barrett Esophagus. J. Thorac. Cardiovasc. Surg. 2003, 126, 1952–1957. [Google Scholar] [CrossRef] [PubMed]
- Kauppi, J.; Räsänen, J.; Sihvo, E.; Nieminen, U.; Arkkila, P.; Ahotupa, M.; Salo, J. Increased Oxidative Stress in the Proximal Stomach of Patients with Barrett’s Esophagus and Adenocarcinoma of the Esophagus and Esophagogastric Junction. Transl. Oncol. 2016, 9, 336–339. [Google Scholar] [CrossRef] [PubMed]



| GERD w/ UC | GERD w/o UC | p Value | |
|---|---|---|---|
| Age | 61.9 ± 0.3 | 64.3 ± 0.2 | <0.05 |
| Sex | |||
| Female | 3401 (58.7%) | 686,089 (58.4%) | >0.05 |
| Male | 2395 (41.3%) | 487,836 (41.6%) | >0.05 |
| Race | |||
| White | 4615 (79.6%) | 860,522 (73.3%) | <0.05 |
| Black | 474 (8.2%) | 144,190 (12.3%) | <0.05 |
| Hispanic | 296 (5.1%) | 81,313 (6.9%) | <0.05 |
| Asian | 65 (1.1%) | 18,296 (1.6%) | <0.05 |
| Risk factors | |||
| Contr T2DM | 594 (10.2%) | 150,055 (12.8%) | <0.05 |
| Obesity | 986 (17.0%) | 237,327 (20.2%) | <0.05 |
| Smoking | 575 (9.9%) | 169,227 (14.4%) | <0.01 |
| Hiatal Hernia | 391 (6.7%) | 64,332 (5.5%) | <0.05 |
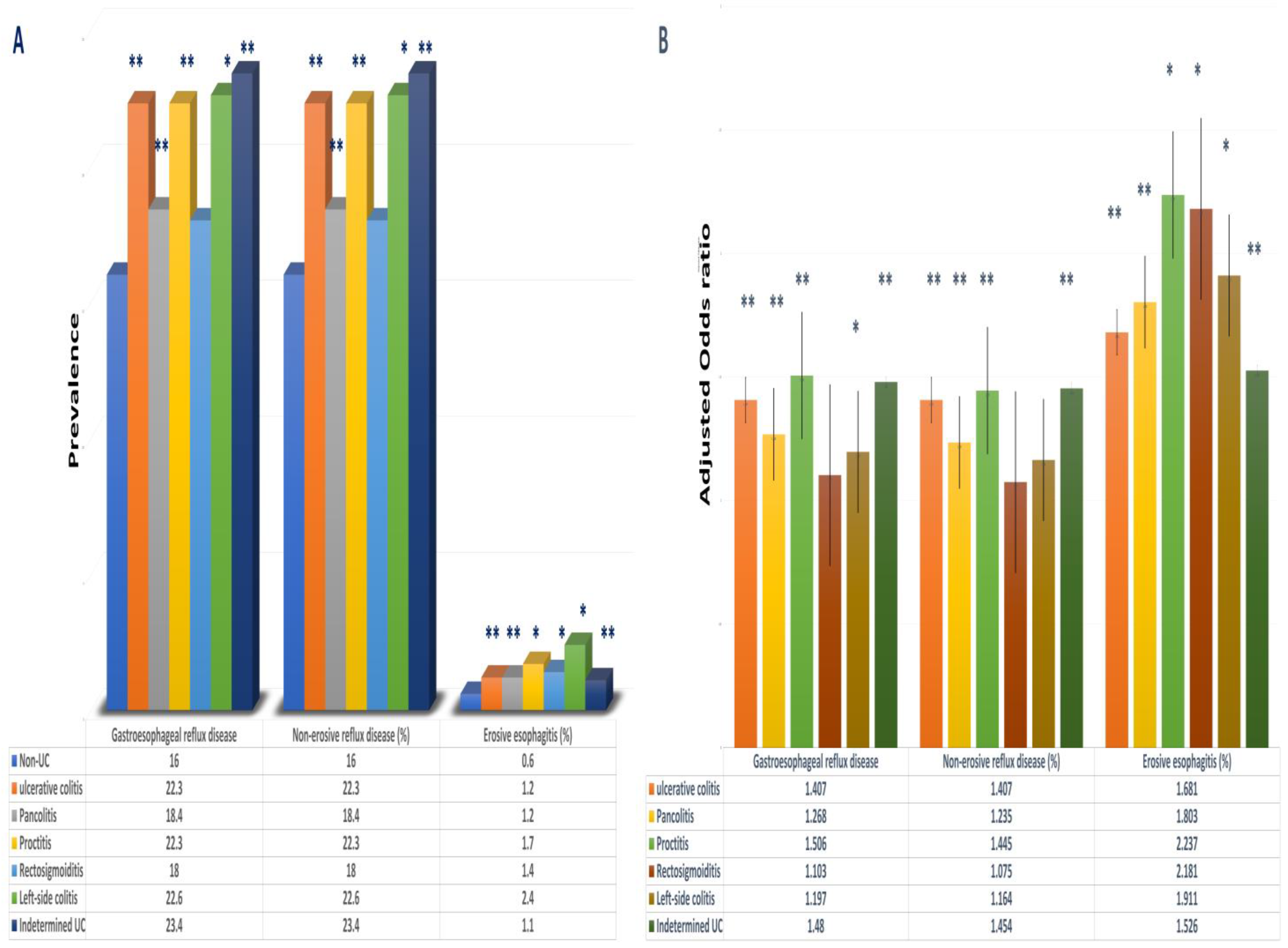
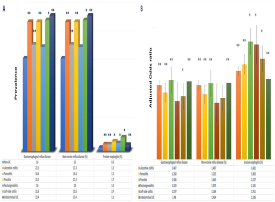
| Gastroesophageal reflux disease | ||||||
| UC | case | prevalence | p value | Adjusted OR | 95%CI | p value |
| YES | 5796 | 22.30% | <0.01 | 1.407 | 1.363–1.453 | <0.01 |
| NO | 1,173,963 | 16.00% | ||||
| UCPAN | 747 | 18.40% | <0.01 | 1.268 | 1.166–1.380 | <0.01 |
| UCPROC | 145 | 22.30% | <0.01 | 1.506 | 1.235–1.836 | <0.01 |
| UCRECTSIG | 128 | 18.00% | >0.05 | 1.103 | 0.903–1.347 | >0.05 |
| UCLEFT | 236 | 22.60% | <0.01 | 1.197 | 1.023–1.401 | <0.05 |
| UCOTHER | 4454 | 23.40% | <0.01 | 1.48 | 1.427–1.534 | <0.01 |
| Non-erosive reflux disease | ||||||
| UC | case | prevalence | p value | Adjusted OR | 95%CI | p value |
| YES | 5563 | 22.30% | <0.01 | 1.407 | 1.363–1.453 | <0.01 |
| NO | 1,139,480 | 16.00% | ||||
| UCPAN | 710 | 18.40% | <0.01 | 1.235 | 1.133–1.345 | <0.01 |
| UCPROC | 137 | 22.30% | <0.01 | 1.445 | 1.181–1.768 | <0.01 |
| UCRECTSIG | 121 | 18.00% | <0.01 | 1.075 | 0.877–1.317 | >0.05 |
| UCLEFT | 218 | 22.60% | <0.01 | 1.164 | 0.992–1.366 | >0.05 |
| UCOTHER | 4296 | 23.40% | <0.01 | 1.454 | 1.402–1.508 | <0.01 |
| Erosive esophagitis | ||||||
| UC | case | prevalence | p value | Adjusted OR | 95%CI | p value |
| YES | 238 | 1.20% | <0.01 | 1.681 | 1.467–1.926 | <0.01 |
| NO | 35,471 | 0.60% | ||||
| UCPAN | 37 | 1.20% | <0.01 | 1.803 | 1.288–2.525 | <0.01 |
| UCPROC | 8 | 1.70% | <0.01 | 2.237 | 1.123–4.905 | <0.05 |
| UCRECTSIG | 8 | 1.40% | <0.01 | 2.181 | 1.057–4.503 | <0.05 |
| UCLEFT | 18 | 2.40% | <0.01 | 1.911 | 1.123–3.252 | <0.05 |
| UCOTHER | 161 | 1.10% | <0.01 | 1.526 | 1.325–1.841 | <0.01 |
| Barrett’s esophagus w/o dysplasia | ||||||
| UC | case | Case per 10,000 | p value | Adjusted OR | 95%CI | p value |
| YES | 184 | 94.5 | <0.01 | 1.892 | 1.621–2.209 | <0.01 |
| NO | 23,522 | 39.3 | ||||
| UCPAN | 21 | 66.2 | <0.05 | 1.657 | 1.070–2.566 | <0.05 |
| UCPROC | 8 | 166.3 | <0.01 | 3.328 | 1.543–7.177 | <0.01 |
| UCRECTSIG | 2 | 36.3 | >0.05 | 0.876 | 0.217–3.535 | >0.05 |
| UCLEFT | 2 | 26.7 | >0.05 | 0.408 | 0.101–1.655 | >0.05 |
| UCOTHER | 146 | 103 | <0.01 | 1.996 | 1.677–2.376 | <0.01 |
| Barrett’s esophagus w/ dysplasia | ||||||
| UC | case | Case per 10,000 | p value | Adjusted OR | 95%CI | p value |
| YES | 2 | 1 | >0.05 | 0.473 | 0.066–3.369 | >0.05 |
| NO | 530 | 0.8 | ||||
| UCPAN | 0 | N/A | N/A | N/A | N/A | N/A |
| UCPROC | 0 | N/A | N/A | N/A | N/A | N/A |
| UCRECTSIG | 0 | N/A | N/A | N/A | N/A | N/A |
| UCLEFT | 0 | N/A | N/A | N/A | N/A | N/A |
| UCOTHER | 2 | 1.4 | >0.05 | 0.636 | 0.089–4.531 | >0.05 |
| Esophageal stricture | ||||||
| UC | case | Case per 10,000 | p value | Adjusted OR | 95%CI | p value |
| YES | 33 | 16.9 | <0.05 | 1.099 | 0.773–1.561 | >0.05 |
| NO | 6849 | 11.4 | ||||
| UCPAN | 4 | 12.5 | >0.05 | 0.984 | 0.366–2.645 | >0.05 |
| UCPROC | 2 | 41.3 | >0.05 | 2.547 | 0.614–10.568 | >0.05 |
| UCRECTSIG | 1 | 17.9 | >0.05 | 1.151 | 0.158–8.370 | >0.05 |
| UCLEFT | 4 | 52.3 | <0.01 | 1.844 | 0.672–5.061 | >0.05 |
| UCOTHER | 22 | 15.5 | >0.05 | 1.023 | 0.664–1.576 | >0.05 |
Disclaimer/Publisher’s Note: The statements, opinions and data contained in all publications are solely those of the individual author(s) and contributor(s) and not of MDPI and/or the editor(s). MDPI and/or the editor(s) disclaim responsibility for any injury to people or property resulting from any ideas, methods, instructions or products referred to in the content. |
© 2024 by the authors. Licensee MDPI, Basel, Switzerland. This article is an open access article distributed under the terms and conditions of the Creative Commons Attribution (CC BY) license (https://creativecommons.org/licenses/by/4.0/).
Share and Cite
Wang, X.; Almetwali, O.; Wang, J.; Wright, Z.; Patton-Tackett, E.D.; Roy, S.; Tu, L.; Song, G. Enhanced Risk of Gastroesophageal Reflux Disease and Esophageal Complications in the Ulcerative Colitis Population. J. Clin. Med. 2024, 13, 4783. https://doi.org/10.3390/jcm13164783
Wang X, Almetwali O, Wang J, Wright Z, Patton-Tackett ED, Roy S, Tu L, Song G. Enhanced Risk of Gastroesophageal Reflux Disease and Esophageal Complications in the Ulcerative Colitis Population. Journal of Clinical Medicine. 2024; 13(16):4783. https://doi.org/10.3390/jcm13164783
Chicago/Turabian StyleWang, Xiaoliang, Omar Almetwali, Jiayan Wang, Zachary Wright, Eva D. Patton-Tackett, Stephen Roy, Lei Tu, and Gengqing Song. 2024. "Enhanced Risk of Gastroesophageal Reflux Disease and Esophageal Complications in the Ulcerative Colitis Population" Journal of Clinical Medicine 13, no. 16: 4783. https://doi.org/10.3390/jcm13164783
APA StyleWang, X., Almetwali, O., Wang, J., Wright, Z., Patton-Tackett, E. D., Roy, S., Tu, L., & Song, G. (2024). Enhanced Risk of Gastroesophageal Reflux Disease and Esophageal Complications in the Ulcerative Colitis Population. Journal of Clinical Medicine, 13(16), 4783. https://doi.org/10.3390/jcm13164783

