Comparative Study of Blood Neopterin and Biopterins in Patients with COVID-19 and Secondary Bacterial Infection
Abstract
1. Introduction
2. Materials and Methods
2.1. Objectives
2.1.1. Patients with COVID-19
2.1.2. Patients with Bacterial Sepsis (No Viral Infection)
2.2. Experimental Design
Comparative Study of Various Parameters
2.3. Laboratory Measurements
2.4. Sequential Organ Failure Assessment
2.5. Statistical Analysis
2.6. Ethics Approval and Consent to Participate
3. Results
3.1. Background of Patients with COVID-19
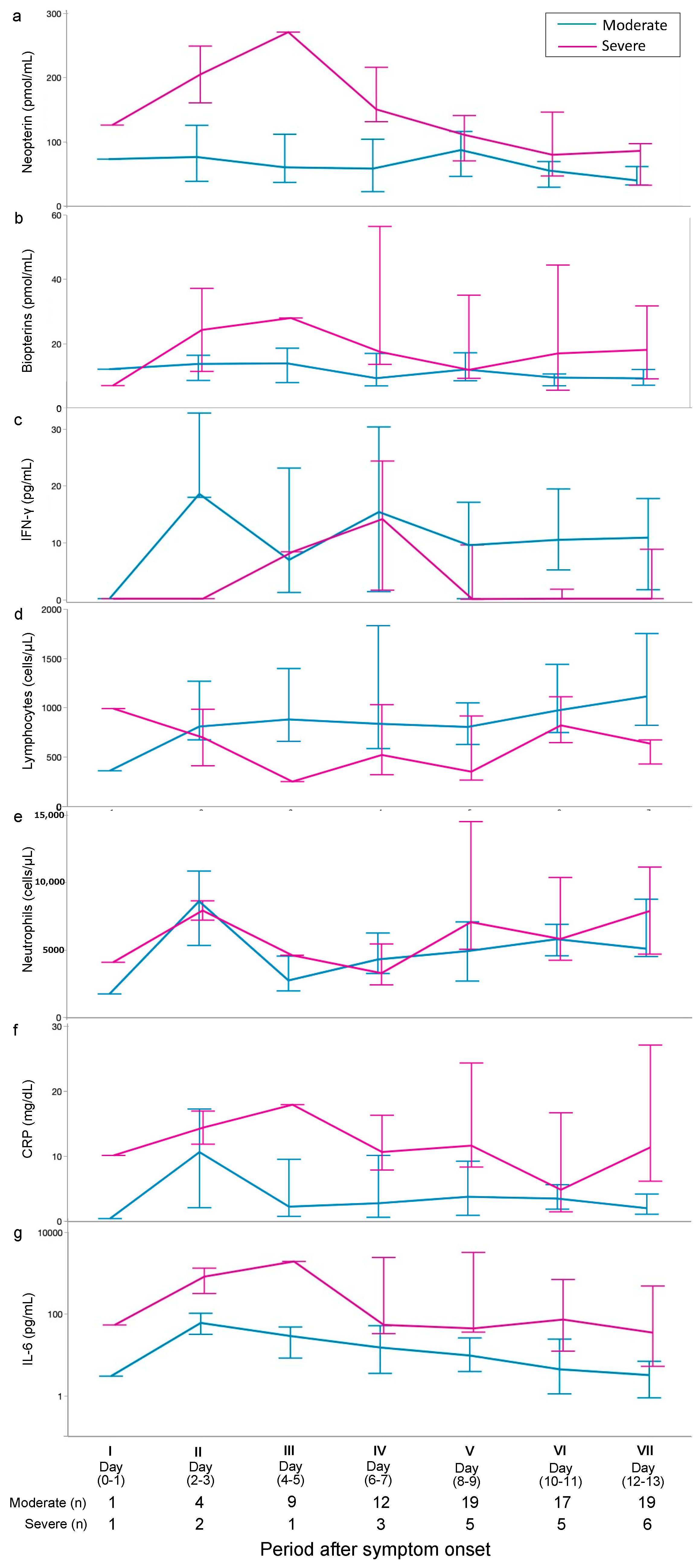
3.2. Changes in Measurement Parameters over Time
3.3. Time Course of Plasma NPs and BP Levels in Patients with Complicated Bacterial Infections
3.4. Plasma NP and BP Levels Due to Different Infectious Agents (COVID-19 vs. Bacterial Infection)
4. Discussion
5. Conclusions
Author Contributions
Funding
Institutional Review Board Statement
Informed Consent Statement
Data Availability Statement
Acknowledgments
Conflicts of Interest
References
- WHO World Health Organization. Injuries and Violence [Internet]. Available online: https://www.who.int/emergencies/diseases/novel-coronavirus-2019 (accessed on 12 July 2023).
- Matsunaga, N.; Hayakawa, K.; Terada, M.; Ohtsu, H.; Asai, Y.; Tsuzuki, S.; Suzuki, S.; Toyoda, A.; Suzuki, K.; Endo, M.; et al. Clinical epidemiology of hospitalized patients with COVID-19 in Japan: Report of the COVID-19 Registry Japan. Clin. Infect. Dis. 2020, 73, e3677–e3689. [Google Scholar] [CrossRef]
- Zheng, Z.; Peng, F.; Xu, B.; Zhao, J.; Liu, H.; Peng, J.; Li, Q.; Jiang, C.; Zhou, Y.; Liu, S.; et al. Risk factors of critical & mortal COVID-19 cases: A systematic literature review and meta-analysis. J. Infect. 2020, 81, e16–e25. [Google Scholar]
- Fadini, G.P.; Morieri, M.L.; Longato, E.; Avogaro, A. Prevalence and impact of diabetes among people infected with SARS-CoV-2. J. Endocrinol. Investig. 2020, 43, 867–869. [Google Scholar] [CrossRef]
- Lippi, G.; Henry, B.M. Chronic obstructive pulmonary disease is associated with severe coronavirus disease 2019 (COVID-19). Respir. Med. 2020, 167, 105941. [Google Scholar] [CrossRef]
- Langford, B.J.; So, M.; Simeonova, M.; Leung, V.; Lo, J.; Kan, T.; Raybardhan, S.; Sapin, M.E.; Mponponsuo, K.; Farrell, A.; et al. Antimicrobial resistance in patients with COVID-19: A systematic review and meta-analysis. Lancet Microbe 2023, 4, e179–e191. [Google Scholar] [CrossRef]
- Shafran, N.; Shafran, I.; Ben-Zvi, H.; Sofer, S.; Sheena, L.; Krause, I.; Shlomai, A.; Goldberg, E.; Sklan, E.H. Secondary bacterial infection in COVID-19 patients is a stronger predictor for death compared to influenza patients. Sci. Rep. 2021, 11, 12703. [Google Scholar] [CrossRef]
- Diao, B.; Wang, C.; Tan, Y.; Chen, X.; Liu, Y.; Ning, L.; Chen, L.; Li, M.; Liu, Y.; Wang, G.; et al. Reduction and functional exhaustion of T cells in patients with coronavirus disease 2019. Front. Immunol. 2020, 11, 827. [Google Scholar] [CrossRef]
- Moss, P. The T cell immune response against SARS-CoV-2. Nat. Immunol. 2022, 23, 186–193. [Google Scholar] [CrossRef]
- Eisenhut, M. Neopterin in diagnosis and monitoring of infectious diseases. J. Biomark. 2013, 2013, 196432. [Google Scholar] [CrossRef] [PubMed]
- Berdowska, A.; Zwirska-Korczala, K. Neopterin measurement in clinical diagnosis. J. Clin. Pharm. Ther. 2001, 26, 319–329. [Google Scholar] [CrossRef] [PubMed]
- Huang, A.; Zhang, Y.Y.; Chen, K.; Hatakeyama, K.; Keaney, J.F., Jr. Cytokine-stimulated GTP cyclohydrolase I expression in endothelial cells requires coordinated activation of nuclear factor-kappaB and Stat1/Stat3. Circ. Res. 2005, 96, 164–171. [Google Scholar] [CrossRef] [PubMed]
- Werner, E.R.; Werner-Felmayer, G.; Fuchs, D.; Hausen, A.; Reibnegger, G.; Yim, J.J.; Pfleiderer, W.; Wachter, H. Tetrahydrobiopterin biosynthetic activities in human macrophages, fibroblasts, THP-1, and T 24 cells. J. Biol. Chem. 1990, 265, 3189–3192. [Google Scholar] [CrossRef] [PubMed]
- Ozger, H.S.; Dizbay, M.; Corbacioglu, S.K.; Aysert, P.; Demirbas, Z.; Tunccan, O.G.; Hizel, K.; Bozdayi, G.; Caglar, K. The prognostic role of neopterin in COVID-19 patients. J. Med. Virol. 2021, 93, 1520–1525. [Google Scholar] [CrossRef] [PubMed]
- Robertson, J.; Gostner, J.M.; Nilsson, S.; Andersson, L.M.; Fuchs, D.; Gisslen, M. Serum neopterin levels in relation to mild and severe COVID-19. BMC Infect. Dis. 2020, 20, 942. [Google Scholar] [CrossRef] [PubMed]
- Madokoro, Y.; Kamikokuryo, C.; Niiyama, S.; Ito, T.; Hara, S.; Ichinose, H.; Kakihana, Y. Early ascorbic acid administration prevents vascular endothelial cell damage in septic mice. Front. Pharmacol. 2022, 13, 929448. [Google Scholar] [CrossRef]
- Hara, S.; Sanatani, T.; Tachikawa, N.; Yoshimura, Y.; Miyata, N.; Sasaki, H.; Kuroda, R.; Kamikokuryo, C.; Eguchi, T.; Niiyama, S.; et al. Comparison of the levels of neopterin, CRP, and IL-6 n patients infected with and without SARS-CoV-2. Heliyon 2022, 8, e09371. [Google Scholar] [CrossRef] [PubMed]
- Tani, Y.; Ohno, T. Analysis of 6R- and 6S-tetrahydrobiopterin and other pterins by reversed-phase ion-pair liquid-chromatography with fluorimetric detection by post-column sodium nitrite oxidation. J. Chromatogr. 1993, 617, 249–255. [Google Scholar] [CrossRef] [PubMed]
- Opladen, T.; López-Laso, E.; Cortès-Saladelafont, E.; Pearson, T.S.; Sivri, H.S.; Yildiz, Y.; Assmann, B.; Kurian, M.A.; Leuzzi, V.; Heales, S.; et al. Consensus guideline for the diagnosis and treatment of tetrahydrobiopterin (BH4) deficiencies. Orphanet J. Rare Dis. 2020, 15, 202. [Google Scholar] [CrossRef] [PubMed]
- Sawada, Y.; Shintaku, H.; Isshiki, G. Neopterin and biopterin concentrations in cerebrospinal fluid in controls less than 1 year old. Brain Dev. 1999, 21, 264–267. [Google Scholar] [CrossRef]
- Ichinose, H.; Inoue, K.I.; Arakawa, S.; Watanabe, Y.; Kurosaki, H.; Koshiba, S.; Hustad, E.; Takada, M.; Aasly, J.O. Alterations in the reduced pteridine contents in the cerebrospinal fluids of LRRK2 mutation carriers and patients with Parkinson’s disease. J. Neural Transm. 2018, 125, 45–52. [Google Scholar] [CrossRef]
- Vincent, J.L.; de Mendonça, A.; Cantraine, F.; Moreno, R.; Takala, J.; Suter, P.M.; Sprung, C.L.; Colardyn, F.; Blecher, S. Use of the SOFA score to assess the incidence of organ dysfunction/failure in intensive care units: Results of a multicenter, prospective study. Crit. Care Med. 1998, 26, 1793–1800. [Google Scholar] [CrossRef] [PubMed]
- Chen, G.; Wu, D.; Guo, W.; Cao, Y.; Huang, D.; Wang, H.; Wang, T.; Zhang, X.; Chen, H.; Yu, H.; et al. Clinical and immunologic features in severe and moderate Coronavirus Disease 2019. J. Clin. Investig. 2020, 130, 2620–2629. [Google Scholar] [CrossRef] [PubMed]
- Park, A.; Iwasaki, A. Type I and type III interferons-induction, signaling, evasion, and application to combat COVID-19. Cell Host Microbe 2020, 27, 870–878. [Google Scholar] [CrossRef] [PubMed]
- Li, Q.; Guan, X.; Wu, P.; Wang, X.; Zhou, L.; Tong, Y.; Ren, R.; Leung KS, M.; Lau EH, Y.; Wong, J.Y.; et al. Early transmission dynamics in Wuhan, China, of novel coronavirus-infected pneumonia. N. Engl. J. Med. 2020, 382, 1199–1207. [Google Scholar] [CrossRef] [PubMed]
- Weiner-Lastinger, L.M.; Pattabiraman, V.; Konnor, R.Y.; Patel, P.R.; Wong, E.; Xu, S.Y.; Smith, B.; Edwards, J.R.; Dudeck, M.A. The impact of coronavirus disease 2019 (COVID-19) on healthcare-associated infections in 2020: A summary of data reported to the National Healthcare Safety Network. Infect. Control Hosp. Epidemiol. 2022, 43, 12–25. [Google Scholar] [CrossRef] [PubMed]
- Baker, M.A.; Sands, K.E.; Huang, S.S.; Kleinman, K.; Septimus, E.J.; Varma, N.; Blanchard, J.; Poland, R.E.; Coady, M.H.; Yokoe, D.S.; et al. The impact of coronavirus disease 2019 (COVID-19) on healthcare-associated infections. Clin. Infect. Dis. 2021, 74, 1748–1754. [Google Scholar] [CrossRef]
- Galley, H.F.; Le Cras, A.E.; Yassen, K.; Grant, I.S.; Webster, N.R. Circulating tetrahydrobiopterin concentrations in patients with septic shock. Br. J. Anaesth. 2001, 86, 578–580. [Google Scholar] [CrossRef][Green Version]





| All Patients | Moderate | Severe | p-Value | |||||
|---|---|---|---|---|---|---|---|---|
| n = 52 | n = 42 | n = 10 | ||||||
| Sex | Male (%) | 37 | (71.2) | 30 | (69.77) | 8 | (72.73) | |
| Female (%) | 15 | (28.8) | 13 | (30.23) | 3 | (27.27) | ||
| Age (IQR) | 63 | (53–71) | 61 | (52–68) | 69 | (66–77) | <0.05 | |
| From onset of symptom to hospital admission, median (IQR) (days) | 8 | (5–10) | 8 | (5–10) | 9 | (5.3–11.3) | NS | |
| SOFA score (IQR) | 2 | (1–4) | 2 | (1–3) | 5 | (3–8) | <0.05 | |
| Hospital mortality (%) | 9.8 | 0 | 36.4 | |||||
| Laboratory findings, median (IQR) | ||||||||
| Neopterin (pmol/mL) | 93.0 | (49.7–117.9) | 75.2 | (47.9–112.6) | 125.8 | (80.7–224.0) | <0.05 | |
| Biopterin (pmol/mL) | 12.2 | (8.9–17.3) | 11.7 | (9.0–16.6) | 13.4 | (8.3–38.8) | NS | |
| Neopterin/biopterin ratio | 6.3 | (5.1–8.1) | 6.2 | (5.2–7.4) | 9.0 | (4.5–12.4) | NS | |
| IFN-γ (pg/mL) | 7.0 | (0.2–14.8) | 9.3 | (0.2–17.4) | 0.2 | (0.2–6.4) | <0.05 | |
| Lymphocyte (cells/μL) | 740 | (472.3–1032) | 804 | (572–1084) | 447 | (298–817) | <0.05 | |
| Neutrophil (cells/μL) | 4360 | (2673–7061) | 4391 | (2508–6090) | 4237 | (3213–11,807) | NS | |
| Neutrophil/lymphocyte ratio | 6.1 | (3.1–10.6) | 5.8 | (3.0–9.3) | 11.9 | (4.5–35.6) | <0.05 | |
| CRP (mg/dL) | 5.6 | (1.9–10.4) | 4.5 | (1.5–9.5) | 10.3 | (7.2–15.1) | <0.05 | |
| IL-6 (pg/mL) | 24.9 | (2.8–46.1) | 18.3 | (1.3–36.9) | 49.0 | (24.7–372.0) | <0.05 | |
| # | Sex | Age | Source | Organisms |
|---|---|---|---|---|
| 1 | F | 88 | Blood | Staphylococcus aureus, Haemophilus influenzae, Corynebacterium species |
| 2 | M | 66 | Lung | Staphylococcus aureus, Streptococcus pneumoniae, Haemophilus influenzae |
| 3 | F | 76 | Blood | Escherichia coli |
| 4 | M | 66 | Blood | Escherichia coli |
Disclaimer/Publisher’s Note: The statements, opinions and data contained in all publications are solely those of the individual author(s) and contributor(s) and not of MDPI and/or the editor(s). MDPI and/or the editor(s) disclaim responsibility for any injury to people or property resulting from any ideas, methods, instructions or products referred to in the content. |
© 2024 by the authors. Licensee MDPI, Basel, Switzerland. This article is an open access article distributed under the terms and conditions of the Creative Commons Attribution (CC BY) license (https://creativecommons.org/licenses/by/4.0/).
Share and Cite
Eguchi, T.; Niiyama, S.; Kamikokuryo, C.; Madokoro, Y.; Shimono, K.; Hara, S.; Ichinose, H.; Kakihana, Y. Comparative Study of Blood Neopterin and Biopterins in Patients with COVID-19 and Secondary Bacterial Infection. J. Clin. Med. 2024, 13, 4365. https://doi.org/10.3390/jcm13154365
Eguchi T, Niiyama S, Kamikokuryo C, Madokoro Y, Shimono K, Hara S, Ichinose H, Kakihana Y. Comparative Study of Blood Neopterin and Biopterins in Patients with COVID-19 and Secondary Bacterial Infection. Journal of Clinical Medicine. 2024; 13(15):4365. https://doi.org/10.3390/jcm13154365
Chicago/Turabian StyleEguchi, Tomohiro, Shuhei Niiyama, Chinatsu Kamikokuryo, Yutaro Madokoro, Kenshin Shimono, Satoshi Hara, Hiroshi Ichinose, and Yasuyuki Kakihana. 2024. "Comparative Study of Blood Neopterin and Biopterins in Patients with COVID-19 and Secondary Bacterial Infection" Journal of Clinical Medicine 13, no. 15: 4365. https://doi.org/10.3390/jcm13154365
APA StyleEguchi, T., Niiyama, S., Kamikokuryo, C., Madokoro, Y., Shimono, K., Hara, S., Ichinose, H., & Kakihana, Y. (2024). Comparative Study of Blood Neopterin and Biopterins in Patients with COVID-19 and Secondary Bacterial Infection. Journal of Clinical Medicine, 13(15), 4365. https://doi.org/10.3390/jcm13154365

