The Relationship between Selective Digestive Decontamination and Nosocomial Infections in Patients Receiving Continuous Renal Replacement Therapy in ICUs: A Multicenter Study
Abstract
1. Introduction
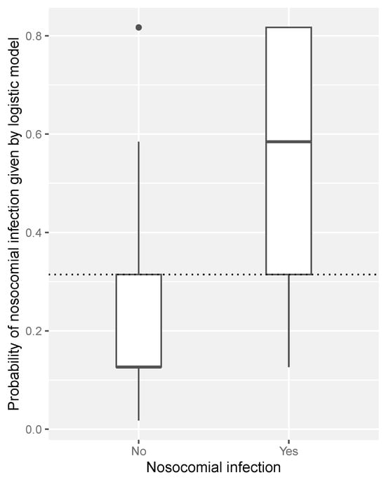
2. Results
3. Discussion
4. Materials and Methods
4.1. Study Design and Patients
- Age of >18 years.
- Required RRT.
- RRT duration of >48 h.
- Sepsis or septic shock at ICU admission.
- Duration of RRT of ≤48 h.
4.2. Study Variables
4.2.1. Patients’ General Characteristics
- Age and sex.
- Body mass index (BMI), in kg/m2.
- Comorbidity scale: Charlson Comorbidity Index [46].
- Patient comorbidities: COVID-19, heart failure, chronic renal failure, COPD, peripheral vascular disease, diabetes, dyslipidemia, and hypertension.
- History of medications prescribed/used: Angiotensin-converting enzyme inhibitors (ACEIs), Angiotensin II receptor antagonists (ARA IIs), immunosuppressants, diuretics, metformin, and corticosteroids. We also recorded whether the patient had consumed antibiotics, undergone surgery, or been admitted to hospital in the previous 30 days, and we assessed whether the patient had a previous admission to an ICU.
4.2.2. Other Variables
- Admission diagnosis: cardiac surgery, coronary artery disease, cardiac arrest, acute respiratory failure, and digestive pathology on admission to the ICU.
- Shock on admission to the ICU and its type: cardiogenic, obstructive, hemorrhagic, and others.
- Risk factors for nosocomial infections: neutropenia, surgery, corticosteroid use, acute respiratory distress syndrome (ARDS), ≥7 days of mechanical ventilation, parenteral nutrition, ≥5 days of central venous catheter use, and urinary catheter use. Renal failure variables: oliguric or non-oliguric renal failure and recovery.
- Infections: The following nosocomial infections were diagnosed according to the ENVIN-HELICS criteria and recorded—nosocomial pneumonia, urinary tract infections, catheter-related bacteremia, and secondary bacteremia. The presence of the following infections caused by multidrug-resistant bacteria was recorded—methicillin-resistant Staphylococcus aureus (MRSA), vancomycin-resistant (VR) Enterococci, multiresistant (MR) Pseudomonas aeruginosa, carbapenemase-producing GNB, MDR GNB, and extended-spectrum β-Lactamases (ESBL) Enterobacteriaceae.
4.3. SDD Protocol
- -
- Orotracheal intubation expected for more than 48 h;
- -
- Decreased level of consciousness;
- -
- Burns;
- -
- Neutropenia and/or transplant;
- -
- Previous colonization by an MDRB;
- -
- Severe pancreatitis.
4.4. Definitions and Study Procedure
4.5. Statistical Analysis
- Design
- Statistical analysis
5. Conclusions
Author Contributions
Funding
Institutional Review Board Statement
Informed Consent Statement
Data Availability Statement
Acknowledgments
Conflicts of Interest
References
- Rewa, O.G.; Villeneuve, P.-M.; Lachance, P.; Eurich, D.T.; Stelfox, H.T.; Gibney, R.T.N.; Hartling, L.; Featherstone, R.; Bagshaw, S.M. Quality indicators of continuous renal replacement therapy (CRRT) care in critically ill patients: A systematic review. Intensive Care Med. 2016, 43, 750–763. [Google Scholar] [CrossRef] [PubMed]
- Ronco, C.; Ricci, Z.; De Backer, D.; Kellum, J.A.; Taccone, F.S.; Joannidis, M.; Pickkers, P.; Cantaluppi, V.; Turani, F.; Saudan, P.; et al. Renal replacement therapy in acute kidney injury: Controversy and consensus. Crit. Care 2015, 19, 1–11. [Google Scholar] [CrossRef]
- Hoste, E.A.J.; Bagshaw, S.M.; Bellomo, R.; Cely, C.M.; Colman, R.; Cruz, D.N.; Edipidis, K.; Forni, L.G.; Gomersall, C.D.; Govil, D.; et al. Epidemiology of acute kidney injury in critically ill patients: The multinational AKI-EPI study. Intensive Care Med. 2015, 41, 1411–1423. [Google Scholar] [CrossRef] [PubMed]
- Sociedad Española de Medicina Intensiva, Crítica y Unidades Coronarias (SEMICYUC), Grupo de Trabajo de Enfermedades Infecciosas. Estudio Nacional de Vigilancia de la Infección Nosocomial (ENVIN): Manual de Definiciones y Términos. Available online: http://hws.vhebron.net/envin-helics/Help/Manual_2017.pdf (accessed on 15 June 2024).
- Kalil, A.C.; Metersky, M.L.; Klompas, M.; Muscedere, J.; Sweeney, D.A.; Palmer, L.B.; Napolitano, L.M.; O’Grady, N.P.; Bartlett, J.G.; Carratala, J.; et al. Management of Adults with Hospital-acquired and Ventilator-associated Pneumonia: 2016 Clinical Practice Guidelines by the Infectious Diseases Society of America and the American Thoracic Society. Clin. Infect. Dis. 2016, 63, e61–e111. [Google Scholar] [CrossRef] [PubMed]
- Bellomo, R.; Kellum, A.J.; Ronco, C. Acute kidney injury. Lancet 2012, 380, 756–766. [Google Scholar] [CrossRef] [PubMed]
- Hoste, E.A.J.; Schurgers, M. Epidemiology of acute kidney injury: How big is the problem? Crit. Care Med. 2008, 36, S146–S151. [Google Scholar] [CrossRef] [PubMed]
- Murugan, R.; Kellum, J.A. Acute kidney injury: What’s the prognosis? Nat. Rev. Nephrol. 2011, 7, 209–217. [Google Scholar] [CrossRef]
- Chawla, L.S.; Eggers, P.W.; Star, R.A.; Kimmel, P.L. Acute Kidney Injury and Chronic Kidney Disease as Interconnected Syndromes. N. Engl. J. Med. 2014, 371, 58–66. [Google Scholar] [CrossRef] [PubMed]
- Slinin, Y.; Foley, R.N.; Collins, A.; Foley, R.N. Clinical epidemiology of pneumonia in hemodialysis patients: The USRDS waves 1, 3, and 4 study. Kidney Int. 2006, 70, 1135–1141. [Google Scholar] [CrossRef]
- Hoste, E.A.J.; Blot, S.I.; Lameire, N.H.; Vanholder, R.C.; De Bacquer, D.; Colardyn, F.A. Effect of Nosocomial Bloodstream Infection on the Outcome of Critically Ill Patients with Acute Renal Failure Treated with Renal Replacement Therapy. J. Am. Soc. Nephrol. 2004, 15, 454–462. [Google Scholar] [CrossRef]
- Magiorakos, A.-P.; Srinivasan, A.; Carey, R.B.; Carmeli, Y.; Falagas, M.E.; Giske, C.G.; Harbarth, S.; Hindler, J.F.; Kahlmeter, G.; Olsson-Liljequist, B.; et al. Multidrug-resistant, extensively drug-resistant and pandrug-resistant bacteria: An international expert proposal for interim standard definitions for acquired resistance. Clin. Microbiol. Infect. 2012, 18, 268–281. [Google Scholar] [CrossRef] [PubMed]
- Sánchez-Ramírez, C.; Hípola-Escalada, S.; Cabrera-Santana, M.; Hernández-Viera, M.A.; Caipe-Balcázar, L.; Saavedra, P.; Artiles-Campelo, F.; Sangil-Monroy, N.; Lübbe-Vázquez, C.F.; Ruiz-Santana, S. Long-term use of selective digestive decontamination in an ICU highly endemic for bacterial resistance. Crit. Care 2018, 22, 141. [Google Scholar] [CrossRef] [PubMed]
- Möhlmann, J.E.; Van Luin, M.; Mascini, E.M.; Van Leeuwen, H.J.; De Maat, M.R. Monitoring of tobramycin serum concentrations in selected critically ill patients receiving selective decontamination of the digestive tract: A retrospective evaluation. Eur. J. Clin. Pharmacol. 2019, 75, 831–836. [Google Scholar] [CrossRef] [PubMed]
- Ramnarain, D.; De Lange, D.W.; Meulenbelt, J. Acute renal failure due to tobramycin intoxication during selective digestive tract decontamination. Intensive Care Med. 2011, 37, 1386–1387. [Google Scholar] [CrossRef][Green Version]
- Mol, M.; Van Kan, H.J.M.; Schultz, M.J.; De Jonge, E. Systemic tobramycin concentrations during selective decontamination of the digestive tract in intensive care unit patients on continuous venovenous hemofiltration. Intensive Care Med. 2008, 34, 903–906. [Google Scholar] [CrossRef] [PubMed]
- Silvestri, L.; Van Saene, H.K.F.; Milanese, M.; Gregori, D. Impact of selective decontamination of the digestive tract on fungal carriage and infection: Systematic review of randomized controlled trials. Intensive Care Med. 2005, 31, 898–910. [Google Scholar] [CrossRef] [PubMed]
- Silvestri, L.; Van Saene, H.K.; Weir, I.; Gullo, A. Survival benefit of the full selective digestive decontamination regimen. J. Crit. Care 2009, 24, 474.e7–474.e14. [Google Scholar] [CrossRef] [PubMed]
- de Smet, A.M.G.; Kluytmans, J.A.; Blok, H.E.; Mascini, E.M.; Benus, R.F.; Bernards, A.T.; Kuijper, E.J.; Hall, M.A.L.-V.; Jansz, A.R.; de Jongh, B.M.; et al. Selective digestive tract decontamination and selective oropharyngeal decontamination and antibiotic resistance in patients in intensive-care units: An open-label, clustered group-randomised, crossover study. Lancet Infect. Dis. 2011, 11, 372–380. [Google Scholar] [CrossRef] [PubMed]
- Reizine, F.; Massart, N.; Joussellin, V.; Machut, A.; Vacheron, C.-H.; Savey, A.; Friggeri, A.; Lepape, A.; Alfandari, S.; Allaire, A.; et al. Association between selective digestive decontamination and decreased rate of acquired candidemia in mechanically ventilated ICU patients: A multicenter nationwide study. Crit. Care 2023, 27, 494. [Google Scholar] [CrossRef]
- Rodríguez-Gascón, A.; Lloréns-Villar, Y.; Solinís, M.; Barrasa, H.; Canut-Blasco, A. Does selective digestive decontamination (SDD) increase antibiotic resistance? Long-term comparison of two intensive care units (with and without SDD) of the same tertiary hospital. Eur. J. Clin. Microbiol. Infect. Dis. 2024, 43, 885–893. [Google Scholar] [CrossRef]
- The SuDDICU Investigators for the Australian and New Zealand Intensive Care Society Clinical Trials Group; Boschert, C.; Broadfield, E.; Chimunda, T.; Fletcher, J.; Knott, C.; Porwal, S.; Smith, J.; Bhonagiri, D.; Leijten, M.; et al. Effect of Selective Decontamination of the Digestive Tract on Hospital Mortality in Critically Ill Patients Receiving Mechanical Ventilation: A Randomized Clinical Trial. JAMA 2022, 328, 1911. [Google Scholar] [CrossRef]
- Tejerina-Álvarez, E.E.; de la Cal López, M. Selective decontamination of the digestive tract: Concept and application. Med. Intensive (Engl. Ed.) 2023, 47, 603–615. [Google Scholar] [CrossRef]
- Hammond, N.E.; Myburgh, J.; Seppelt, I.; Garside, T.; Vlok, R.; Mahendran, S.; Adigbli, D.; Finfer, S.; Gao, Y.; Goodman, F.; et al. Association Between Selective Decontamination of the Digestive Tract and In-Hospital Mortality in Intensive Care Unit Patients Receiving Mechanical Ventilation: A Systematic Review and Meta-analysis. JAMA 2022, 328, 1922–1934. [Google Scholar] [CrossRef]
- Oostdijk, E.A.N.; De Smet, A.M.G.A.; Kesecioglu, J.; Bonten, M.J.M.; on behalf of the Dutch SOD-SDD Trialists Group. Decontamination of cephalosporin-resistant Enterobacteriaceae during selective digestive tract decontamination in intensive care units. J. Antimicrob. Chemother. 2012, 67, 2250–2253. [Google Scholar] [CrossRef] [PubMed]
- Silvestri, L.; Van Saene, H.; Milanese, M.; Gregori, D.; Gullo, A. Selective decontamination of the digestive tract reduces bacterial bloodstream infection and mortality in critically ill patients. Systematic review of randomized, controlled trials. J. Hosp. Infect. 2007, 65, 187–203. [Google Scholar] [CrossRef] [PubMed]
- D’Amico, R.; Pifferi, S.; Torri, V.; Brazzi, L.; Parmelli, E.; Liberati, A. Antibiotic prophylaxis to reduce respiratory tract infections and mortality in adults receiving intensive care. Cochrane Database Syst. Rev. 2009, 2009, CD000022. [Google Scholar] [CrossRef] [PubMed]
- Brun-Buisson, C.; Legrand, P.; Rauss, A.; Richard, C.; Montravers, F.; Besbes, M.; Meakins, J.L.; Soussy, C.J.; Lemaire, F. Intestinal Decontamination for Control of Nosocomial Multiresistant Gram-Negative Bacilli. Ann. Intern. Med. 1989, 110, 873–881. [Google Scholar] [CrossRef] [PubMed]
- Lübbert, C.; Faucheux, S.; Becker-Rux, D.; Laudi, S.; Dürrbeck, A.; Busch, T.; Gastmeier, P.; Eckmanns, T.; Rodloff, A.C.; Kaisers, U.X. Rapid emergence of secondary resistance to gentamicin and colistin following selective digestive decontamination in patients with KPC-2-producing Klebsiella pneumoniae: A single-centre experience. Int. J. Antimicrob. Agents 2013, 42, 565–570. [Google Scholar] [CrossRef] [PubMed]
- Halaby, T.; al Naiemi, N.; Kluytmans, J.; Van Der Palen, J.; Vandenbroucke-Grauls, C.M.J.E. Emergence of Colistin Resistance in Enterobacteriaceae after the Introduction of Selective Digestive Tract Decontamination in an Intensive Care Unit. Antimicrob. Agents Chemother. 2013, 57, 3224–3229. [Google Scholar] [CrossRef]
- Yang, L.; Li, M.; Gu, S.; Feng, Y.; Huang, X.; Zhang, Y.; Tian, Y.; Wu, X.; Zhan, Q.; Huang, L. Risk factors for bloodstream infection (BSI) in patients with severe acute respiratory distress syndrome (ARDS) supported by veno–venous extracorporeal membrane oxygenation (VV–ECMO). BMC Pulm. Med. 2022, 22, 370. [Google Scholar] [CrossRef]
- Meštrović, T.; Matijašić, M.; Perić, M.; Paljetak, H.; Barešić, A.; Verbanac, D. The Role of Gut, Vaginal, and Urinary Microbiome in Urinary Tract Infections: From Bench to Bedside. Diagnostics 2020, 11, 7. [Google Scholar] [CrossRef] [PubMed]
- Hohmann, F.B.; Chaves, R.C.d.F.; Olivato, G.B.; De Souza, G.M.; Galindo, V.B.; Jr, M.S.; Martino, M.D.V.; De Menezes, F.G.; Corrêa, T.D. Characteristics, risk factors, and outcomes of bloodstream Candida infections in the intensive care unit: A retrospective cohort study. J. Int. Med Res. 2023, 51, 030006052211311. [Google Scholar] [CrossRef] [PubMed]
- Falcone, M.; Tiseo, G.; Galfo, V.; Giordano, C.; Leonildi, A.; Marciano, E.; De Simone, P.; Biancofiore, G.; Boggi, U.; Barnini, S.; et al. Bloodstream infections in patients with rectal colonization by Klebsiella pneumoniae producing different type of carbapenemases: A prospective, cohort study (CHIMERA study). Clin. Microbiol. Infect. 2022, 28, 298.e1–298.e7. [Google Scholar] [CrossRef] [PubMed]
- Oostdijk, E.A.N.; de Smet, A.M.G.A.; Kesecioglu, J.; Bonten, M.J.M. The role of intestinal colonization with Gram-negative bacteria as a source for intensive care unit-acquired bacteremia*. Crit. Care Med. 2011, 39, 961–966. [Google Scholar] [CrossRef] [PubMed]
- Bonten, M. Selective Decontamination of the Digestive Tract: An Answer at Last? JAMA 2022, 328, 2310–2311. [Google Scholar] [CrossRef]
- Schouten, J.; Van Mol, M.; De Waele, J.J. Selective digestive tract decontamination implementation. Intensive Care Med. 2024, 27, 1–4. [Google Scholar] [CrossRef]
- Proyecto Bacteriemia Zero. Seguridad del Paciente-Proyecto Bacteriemia Zero (sanidad.gob.es). Available online: https://seguridaddelpaciente.sanidad.gob.es/proyectos/financiacionEstudios/colaboracionSSCC/semicyuc/bacteriemiaZero.htm (accessed on 8 July 2024).
- Proyecto Resistencia Zero. Seguridad del Paciente-Proyecto Resistencia Zero (sanidad.gob.es). Available online: https://seguridaddelpaciente.sanidad.gob.es/practicasSeguras/seguridadPacienteCritico/resistenciaZero.htm (accessed on 8 July 2024).
- Proyecto Neumonía Zero. Seguridad del Paciente-Proyecto Neumonía Zero. Prevención de la Neumonía Asociada a Ventilación Mecánica (sanidad.gob.es). Available online: https://seguridaddelpaciente.sanidad.gob.es/proyectos/financiacionEstudios/colaboracionSSCC/semicyuc/neumoniaZero.htm (accessed on 8 July 2024).
- Proyecto ITU-Zero. Seguridad del Paciente-Proyecto ITU-Zero (sanidad.gob.es). Available online: https://seguridaddelpaciente.sanidad.gob.es/practicasSeguras/seguridadPacienteCritico/ituZero.htm (accessed on 8 July 2024).
- Álvarez-Lerma, F.; Palomar-Martínez, M.; Sánchez-García, M.; Martínez-Alonso, M.; Álvarez-Rodríguez, J.; Lorente, L.; Arias-Rivera, S.; García, R.; Gordo, F.; Añón, J.M.; et al. Prevention of Ventilator-Associated Pneumonia: The Multimodal Approach of the Spanish ICU “Pneumonia Zero” Program. Crit. Care Med. 2018, 46, 181–188. [Google Scholar] [CrossRef] [PubMed]
- Ruiz-Santana, S.; Mora-Quintero, M.-L.; Saavedra, P.; Montiel-González, R.; Sánchez-Ramírez, C.; Pérez-Acosta, G.; Martín-Velasco, M.; Rodríguez-Mata, C.; Lorenzo-García, J.-M.; Parrilla-Toribio, D.; et al. COVID-19 Secondary Infections in ICU Patients and Prevention Control Measures: A Preliminary Prospective Multicenter Study. Antibiotics 2022, 11, 1016. [Google Scholar] [CrossRef] [PubMed]
- Knaus, W.A.; Draper, E.A.; Wagner, D.P.; Zimmerman, J.E. APACHE II: A severity of disease classification system. Crit. Care Med. 1985, 13, 818–829. [Google Scholar] [CrossRef]
- Vincent, J.L.; Moreno, R.; Takala, J.; Willatts, S.; De Mendonça, A.; Bruining, H.; Reinhart, C.K.; Suter, P.M.; Thijs, L.G. The SOFA (Sepsis-related Organ Failure Assessment) score to describe organ dysfunction/failure: On behalf of the Working Group on Sepsis-Related Problems of the European Society of Intensive Care Medicine (see contributors to the project in the appendix). Intensive Care Med. 1996, 22, 707–710. [Google Scholar] [CrossRef]
- Charlson, M.E.; Carrozzino, D.; Guidi, J.; Patierno, C. Charlson Comorbidity Index: A Critical Review of Clinimetric Properties. Psychother. Psychosom. 2022, 91, 8–35. [Google Scholar] [CrossRef]
- Dean, C.; Lawless, J.F. Tests for Detecting Overdispersion in Poisson Regression Models. J. Am. Stat. Assoc. 1989, 84, 467–472. [Google Scholar] [CrossRef]
- R Core Team. R: A Language and Environment for Statistical Computing; R Foundation for Statistical Computing: Vienna, Austria, 2022; ISBN 3-900051-07-0. Available online: http://www.R-project.org/ (accessed on 23 November 2023).



| Overall N = 140 | Non-SDD N = 59 | SDD N = 81 | p-Value | |
|---|---|---|---|---|
| Age (years) | 61.4 ± 14.7 | 58.9 ± 15.1 | 63.2 ± 14.2 | 0.087 |
| Sex (female), n (%) | 45 (32.1) | 19 (32.2) | 26 (32.1) | 0.99 |
| BMI (kg/m2), mean ± SD | 29.0 ± 5.9 | 29.1 ± 6.4 | 28.9 ± 5.5 | 0.865 |
| APACHE II | 21.0 ± 6.6 | 18.3 ± 6.8 | 23.0 ± 5.8 | <0.001 |
| SOFA | 8.1 ± 3.1 | 6.9 ± 2.7 | 8.9 ± 3.2 | <0.001 |
| Death, n (%) | 0.175 | |||
| No | 66 (47.1) | 23 (39.0) | 43 (53.1) | |
| ICU | 66 (47.1) | 31 (52.5) | 35 (43.2) | |
| Hospital | 8 (5.7) | 5 (8.5) | 3 (3.7) | |
| ICU stay, median (IQR) days | 21 (10; 39.2) | 17 (8; 38.5) | 23 (12; 39) | 0.066 |
| Mechanical ventilation days, median (IQR) | 17 (7.5; 32) | 17 (6; 26.2) | 18 (8; 35) | 0.19 |
| Charlson Comorbidity Index | 4.8 ± 3.0 | 4.3 ± 2.7 | 5.2 ± 3.1 | 0.081 |
| COVID-19, n (%) | 21 (15.0) | 10 (16.9) | 11 (13.6) | 0.581 |
| Liver disease, n (%) | 9 (6.4) | 2 (3.4) | 7 (8.6) | 0.303 |
| Cardiac failure, n (%) | 40 (28.6) | 9 (15.2) | 31 (38.3) | 0.003 |
| Chronic renal failure, n (%) | 41 (29.3) | 14 (23.7) | 27 (33.3) | 0.218 |
| COPD, n (%) | 19 (13.6) | 9 (15.2) | 10 (12.3) | 0.62 |
| Peripheral vascular disease, n (%) | 63 (45.0) | 27 (45.8) | 36 (44.4) | 0.877 |
| Diabetes, n (%) | 62 (44.3) | 27 (45.8) | 35 (43.2) | 0.764 |
| Dyslipidemia, n (%) | 80 (57.1) | 30 (50.9) | 50 (61.7) | 0.199 |
| Hypertension, n (%) | 98 (70.0) | 34 (57.6) | 64 (79.0) | 0.006 |
| ACEIs, n (%) | 39 (27.9) | 17 (28.8) | 22 (27.2) | 0.829 |
| ARA II, n (%) | 31 (22.1) | 4 (6.8) | 27 (33.3) | <0.001 |
| Immunosuppressants, n (%) | 13 (9.3) | 4 (6.8) | 9 (11.1) | 0.383 |
| Diuretics, n (%) | 46 (32.9) | 15 (25.4) | 31 (38.3) | 0.11 |
| ATBs in previous 30 d, n (%) | 41 (29.3) | 16 (27.1) | 25 (30.9) | 0.631 |
| Surgery in previous 30 d, n (%) | 25 (17.9) | 8 (13.6) | 17 (21.0) | 0.257 |
| Patients with previous ICU admission, n (%) | 24 (17.1) | 8 (13.6) | 16 (19.8) | 0.337 |
| Corticosteroids, n (%) | 18 (12.9) | 7 (11.9) | 11 (13.6) | 0.765 |
| Hospital admission in previous 30 d, n (%) | 76 (54.3) | 28 (47.5) | 48 (59.3) | 0.166 |
| ICU admission diagnosis, n (%) | ||||
| Cardiac surgery | 33 (23.6) | 0 | 33 (40.7) | <0.001 |
| Coronary artery disease | 18 (12.9) | 4 (6.8) | 14 (17.3) | 0.067 |
| Cardiac arrest | 13 (9.3) | 9 (15.2) | 4 (4.9) | 0.038 |
| Acute respiratory failure | 61 (43.6) | 29 (49.1) | 32 (39.5) | 0.256 |
| Digestive | 12 (8.6) | 9 (15.2) | 3 (3.7) | 0.016 |
| Shock, n (%) | 59 (42.1) | 25 (42.4) | 34 (42.0) | 0.962 |
| Cardiogenic | 32 (22.9) | 5 (8.5) | 27 (33.3) | <0.001 |
| Obstructive | 3 (2.1) | 1 (1.7) | 2 (2.5) | 1 |
| Hemorrhagic | 11 (7.9) | 7 (11.9) | 4 (4.9) | 0.202 |
| Others | 15 (10.7) | 12 (20.3) | 3 (3.7) | 0.002 |
| MOF, n (%) | 54 (38.6) | 15 (25.4) | 39 (48.1) | 0.006 |
| Previous ICU admission for RF, n (%) | 106 (76.8) | 47 (79.7) | 59 (74.7) | 0.493 |
| RF in ICU, n (%) | 34 (24.6) | 13 (22.0) | 21 (26.6) | 0.54 |
| Acute renal failure, n (%) | 102 (73.9) | 44 (74.6) | 58 (73.4) | 0.878 |
| Oliguric RF, n (%) | 129 (93.5) | 56 (94.9) | 73 (92.4) | 0.732 |
| Renal failure recovery, n (%) | 29 (21.0) | 14 (23.7) | 15 (19.0) | 0.499 |
| Infections related to CRRT, n (%) | 45 (32.1) | 31 (52.5) | 14 (17.3) | <0.001 |
| Iodine contrast, n (%) | 114 (81.4) | 50 (84.8) | 64 (79.0) | 0.389 |
| ICU neutropenia, n (%) | 10 (7.1) | 5 (8.5) | 5 (6.2) | 0.743 |
| ICU surgery, n (%) | 35 (25.0) | 14 (23.7) | 21 (25.9) | 0.767 |
| ICU corticosteroids, n (%) | 114 (81.4) | 51 (86.4) | 63 (77.8) | 0.193 |
| ARDS, n (%) | 60 (42.9) | 32 (54.2) | 28 (34.6) | 0.02 |
| ≥7 days of MV, n (%) | 100 (71.4) | 37 (62.7) | 63 (77.8) | 0.051 |
| Parenteral nutrition, n (%) | 13 (9.3) | 8 (13.6) | 5 (6.2) | 0.137 |
| ≥5 days with CVC, n (%) | 130 (92.9) | 50 (84.8) | 80 (98.8) | 0.002 |
| ≥5 days with UC, n (%) | 124 (88.6) | 49 (83.0) | 75 (92.6) | 0.08 |
| MRSA, n (%) | 3 (2.1) | 1 (1.7) | 2 (2.5) | 1 |
| VR enterococcus, n (%) | 0 | 0 | 0 | 1 |
| MR Pseudomonas aeruginosa, n (%) | 16 (11.4) | 6 (10.2) | 10 (12.3) | 0.689 |
| ESBL Enterobacteriaceae, n (%) | 36 (25.7) | 14 (23.7) | 22 (27.2) | 0.646 |
| Carbapenemase-producing GNB, n (%) | 10 (7.1) | 8 (13.6) | 2 (2.5) | 0.018 |
| MDR GNB, n (%) | 16 (11.4) | 12 (20.3) | 4 (4.9) | 0.005 |
| Diabetes, n (%) | 0.274 | |||
| No | 79 (56.4) | 33 (55.9) | 46 (56.8) | |
| Type 1 | 7 (5.0) | 5 (8.5) | 2 (2.5) | |
| Type 2 | 54 (38.6) | 21 (35.6) | 33 (40.7) |
| No SDD | SDD | Incidence Density Ratios (95% CI) † | Year Effect (p ‡) | Overdispersion (p) | |
|---|---|---|---|---|---|
| Nosocomial pneumonia | 17 | 7 | 0.174 (0.069–0.443) | 0.059 | 0.925 |
| Days of mechanical ventilation | 1039 | 1889 | |||
| Events per 1000 days | 16.362 | 3.706 | |||
| MDRB | 12 | 4 | 0.156 (0.048–0.506) | 0.957 | 0.898 |
| Days in ICU | 778 | 1713 | |||
| Events per 1000 days | 15.424 | 2.335 | |||
| CRB | 3 | 1 | 0.206 (0.019–2.254) | 0.578 | 0.868 |
| Days with catheter | 1129 | 1741 | |||
| Events per 1000 days | 2.657 | 0.574 | |||
| Secondary bacteremia | 5 | 5 | 0.356 (0.102–1.247) | 0.061 | 0.901 |
| Days in ICU | 778 | 1713 | |||
| Events per 1000 days | 6.427 | 2.919 | |||
| Urinary infection | 8 | 1 | 0.075 (0.009–0.64) | 0.187 | 0.867 |
| Days with urinary catheter | 1320 | 2097 | |||
| Events per 1000 days | 6.061 | 0.477 |
| CRRT Infection | ||||
|---|---|---|---|---|
| Overall N = 140 | No N = 95 | Yes N = 45 | p-Value | |
| Age (years) | 61.4 ± 14.7 | 61.6 ± 15.3 | 60.8 ± 13.6 | 0.764 |
| Sex (female), n (%) | 45 (32.1) | 32 (33.7) | 13 (28.9) | 0.57 |
| BMI (kg/m2), mean ± SD | 29.0 ± 5.9 | 28.8 ± 5.9 | 29.2 ± 5.9 | 0.75 |
| APACHE II | 21.0 ± 6.6 | 21.6 ± 6.4 | 19.7 ± 6.9 | 0.114 |
| SOFA | 8.1 ± 3.1 | 8.2 ± 3.2 | 7.8 ± 3.0 | 0.416 |
| Charlson Comorbidity Index | 4.8 ± 3.0 | 4.5 ± 3.1 | 5.5 ± 2.6 | 0.084 |
| SDD, n (%) | 81 (57.9) | 67 (70.5) | 14 (31.1) | <0.001 |
| Death, n (%) | 0.228 | |||
| No | 66 (47.1) | 49 (51.6) | 17 (37.8) | |
| ICU | 66 (47.1) | 42 (44.2) | 24 (53.3) | |
| Hospital | 8 (5.7) | 4 (4.2) | 4 (8.9) | |
| ICU stay, median (IQR) | 21 (10; 39.2) | 17 (9; 32.5) | 31 (17; 50) | 0.002 |
| MV days, median (IQR) | 17 (7.5; 32) | 13.5 (5; 28.8) | 24 (17; 40) | 0.002 |
| COVID-19, n (%) | 21 (15.0) | 13 (13.7) | 8 (17.8) | 0.526 |
| Cardiac failure, n (%) | 40 (28.6) | 26 (27.4) | 14 (31.1) | 0.647 |
| Chronic renal failure, n (%) | 41 (29.3) | 30 (31.6) | 11 (24.4) | 0.386 |
| COPD, n (%) | 19 (13.6) | 8 (8.4) | 11 (24.4) | 0.01 |
| Peripheral vascular disease, n (%) | 63 (45.0) | 36 (37.9) | 27 (60.0) | 0.014 |
| Diabetes, n (%) | 62 (44.3) | 40 (42.1) | 22 (48.9) | 0.45 |
| Dyslipidemia, n (%) | 80 (57.1) | 51 (53.7) | 29 (64.4) | 0.23 |
| Hypertension, n (%) | 98 (70.0) | 63 (66.3) | 35 (77.8) | 0.167 |
| ACEIs, n (%) | 39 (27.9) | 21 (22.1) | 18 (40.0) | 0.027 |
| ARA II, n (%) | 31 (22.1) | 24 (25.3) | 7 (15.6) | 0.196 |
| Immunosuppressants, n (%) | 13 (9.3) | 8 (8.4) | 5 (11.1) | 0.756 |
| Diuretics, n (%) | 46 (32.9) | 32 (33.7) | 14 (31.1) | 0.762 |
| Metformin, n (%) | 28 (20.0) | 17 (17.9) | 11 (24.4) | 0.366 |
| ATBs in previous 30 d, n (%) | 41 (29.3) | 27 (28.4) | 14 (31.1) | 0.744 |
| Surgery in previous 30 d, n (%) | 25 (17.9) | 21 (22.1) | 4 (8.9) | 0.057 |
| Previous ICU admission, n (%) | 24 (17.1) | 17 (17.9) | 7 (15.6) | 0.732 |
| Corticosteroids, n (%) | 18 (12.9) | 12 (12.6) | 6 (13.3) | 0.908 |
| Hospital admission in previous 30 d, n (%) | 76 (54.3) | 52 (54.7) | 24 (53.3) | 0.876 |
| ICU admission diagnosis, n (%) | ||||
| Cardiac surgery | 33 (23.6) | 27 (28.4) | 6 (13.3) | 0.049 |
| Coronary artery disease | 18 (12.9) | 14 (14.7) | 4 (8.9) | 0.334 |
| Cardiac arrest | 13 (9.3) | 10 (10.5) | 3 (6.7) | 0.549 |
| Acute respiratory failure | 61 (43.6) | 38 (40.0) | 23 (51.1) | 0.216 |
| Digestive | 12 (8.6) | 8 (8.4) | 4 (8.9) | 1 |
| Shock, n (%) | 59 (42.1) | 39 (41.0) | 20 (44.4) | 0.704 |
| Cardiogenic | 32 (22.9) | 23 (24.2) | 9 (20.0) | 0.58 |
| Obstructive | 3 (2.1) | 3 (3.2) | 0 | 0.551 |
| Hemorrhagic | 11 (7.9) | 9 (9.5) | 2 (4.4) | 0.503 |
| Others | 15 (10.7) | 5 (5.3) | 10 (22.2) | 0.006 |
| MOF, n (%) | 54 (38.6) | 34 (35.8) | 20 (44.4) | 0.326 |
| Previous ICU admission for RF, n (%) | 106 (76.8) | 69 (74.2) | 37 (82.2) | 0.295 |
| RF during ICU stay, n (%) | 34 (24.6) | 25 (26.9) | 9 (20.0) | 0.379 |
| Acute renal failure, n (%) | 102 (73.9) | 68 (73.1) | 34 (75.6) | 0.76 |
| Oliguric RF, n (%) | 129 (93.5) | 87 (93.5) | 42 (93.3) | 1 |
| Renal failure recovery, n (%) | 29 (21.0) | 21 (22.6) | 8 (17.8) | 0.516 |
| Iodine contrast, n (%) | 114 (81.4) | 70 (73.7) | 44 (97.8) | <0.001 |
| ICU neutropenia, n (%) | 10 (7.1) | 6 (6.3) | 4 (8.9) | 0.727 |
| ICU surgery, n (%) | 35 (25.0) | 20 (21.1) | 15 (33.3) | 0.117 |
| ICU corticosteroids, n (%) | 114 (81.4) | 72 (75.8) | 42 (93.3) | 0.013 |
| ARDS, n (%) | 60 (42.9) | 32 (33.7) | 28 (62.2) | 0.001 |
| ≥7 days of MV, n (%) | 100 (71.4) | 61 (64.2) | 39 (86.7) | 0.006 |
| Parenteral nutrition, n (%) | 13 (9.3) | 6 (6.3) | 7 (15.6) | 0.116 |
| ≥5 days with CVC, n (%) | 130 (92.9) | 86 (90.5) | 44 (97.8) | 0.168 |
| ≥5 days with UC, n (%) | 124 (88.6) | 80 (84.2) | 44 (97.8) | 0.018 |
| MRSA, n (%) | 3 (2.1) | 3 (3.2) | 0 | 0.551 |
| VR enterococcus, n (%) | 0 | 0 | 0 | 1 |
| MR Pseudomonas aeruginosa, n (%) | 16 (11.4) | 8 (8.4) | 8 (17.8) | 0.104 |
| ESBL Enterobacteriaceae, n (%) | 36 (25.7) | 20 (21.1) | 16 (35.6) | 0.067 |
| Carbapenemase-producing GNB, n (%) | 10 (7.1) | 3 (3.2) | 7 (15.6) | 0.013 |
| MDR GNB, n (%) | 16 (11.4) | 7 (7.4) | 9 (20.0) | 0.028 |
| p-Value (†) | BIC (‡) | Odds Ratio (95% CI) | |
|---|---|---|---|
| SDD | <0.001 | 176.5 | 0.10 (0.04; 0.26) |
| Peripheral vascular disease | 0.007 | 155.5 | 3.17 (1.33; 7.56) |
| ≥7 days of MV | <0.001 | 164.3 | 7.91 (2.54; 24.66) |
Disclaimer/Publisher’s Note: The statements, opinions and data contained in all publications are solely those of the individual author(s) and contributor(s) and not of MDPI and/or the editor(s). MDPI and/or the editor(s) disclaim responsibility for any injury to people or property resulting from any ideas, methods, instructions or products referred to in the content. |
© 2024 by the authors. Licensee MDPI, Basel, Switzerland. This article is an open access article distributed under the terms and conditions of the Creative Commons Attribution (CC BY) license (https://creativecommons.org/licenses/by/4.0/).
Share and Cite
Vicente Arranz, J.L.; Sánchez-Ramírez, C.; Saavedra, P.; Rivero Perdomo, Y.; Lorenzo-Martín, M.V.; Blanco-López, J.; Domínguez Cabrera, C.; Hernández-Socorro, C.-R.; Ruiz-Santana, S. The Relationship between Selective Digestive Decontamination and Nosocomial Infections in Patients Receiving Continuous Renal Replacement Therapy in ICUs: A Multicenter Study. J. Clin. Med. 2024, 13, 4211. https://doi.org/10.3390/jcm13144211
Vicente Arranz JL, Sánchez-Ramírez C, Saavedra P, Rivero Perdomo Y, Lorenzo-Martín MV, Blanco-López J, Domínguez Cabrera C, Hernández-Socorro C-R, Ruiz-Santana S. The Relationship between Selective Digestive Decontamination and Nosocomial Infections in Patients Receiving Continuous Renal Replacement Therapy in ICUs: A Multicenter Study. Journal of Clinical Medicine. 2024; 13(14):4211. https://doi.org/10.3390/jcm13144211
Chicago/Turabian StyleVicente Arranz, Juan Luis, Catalina Sánchez-Ramírez, Pedro Saavedra, Yasmina Rivero Perdomo, María Victoria Lorenzo-Martín, José Blanco-López, Casimira Domínguez Cabrera, Carmen-Rosa Hernández-Socorro, and Sergio Ruiz-Santana. 2024. "The Relationship between Selective Digestive Decontamination and Nosocomial Infections in Patients Receiving Continuous Renal Replacement Therapy in ICUs: A Multicenter Study" Journal of Clinical Medicine 13, no. 14: 4211. https://doi.org/10.3390/jcm13144211
APA StyleVicente Arranz, J. L., Sánchez-Ramírez, C., Saavedra, P., Rivero Perdomo, Y., Lorenzo-Martín, M. V., Blanco-López, J., Domínguez Cabrera, C., Hernández-Socorro, C.-R., & Ruiz-Santana, S. (2024). The Relationship between Selective Digestive Decontamination and Nosocomial Infections in Patients Receiving Continuous Renal Replacement Therapy in ICUs: A Multicenter Study. Journal of Clinical Medicine, 13(14), 4211. https://doi.org/10.3390/jcm13144211

