Comparison of Analgesic Method in Laparoscopic Gastrectomy Using External Oblique Intercostal Block Versus Wound Infiltration: A Randomized Controlled Trial
Abstract
1. Introduction
2. Materials and Methods
2.1. Study Design and Participants
2.2. External Oblique Intercostal Block and Wound Infiltration Procedures
- (A)
- External oblique intercostal block group
- (B)
- Wound infiltration group
2.3. Intraoperative Procedure
2.4. Postoperative Management
2.5. Postoperative Plasma Levobupivacaine Measurement
2.6. Outcomes
2.7. Statistical Analyses
2.8. Sample Size Calculation
3. Results
3.1. Recruitment and Exclusions
3.2. Patient Characteristics and Intraoperative Data
3.3. Primary Outcome
3.4. Secondary Outcomes
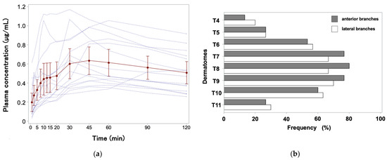
3.5. Exploratory Outcomes
4. Discussion
5. Conclusions
Author Contributions
Funding
Institutional Review Board Statement
Informed Consent Statement
Data Availability Statement
Acknowledgments
Conflicts of Interest
References
- Sung, H.; Ferlay, J.; Siegel, R.L.; Laversanne, M.; Soerjomataram, I.; Jemal, A.; Bray, F. Global cancer statistics 2020: GLOBOCAN estimates of incidence and mortality worldwide for 36 cancers in 185 countries. CA Cancer J. Clin. 2021, 71, 209–249. [Google Scholar] [CrossRef]
- Mortensen, K.; Nilsson, M.; Slim, K.; Schäfer, M.; Mariette, C.; Braga, M.; Carli, F.; Demartines, N.; Griffin, S.M.; Lassen, K. Consensus guidelines for enhanced recovery after gastrectomy: Enhanced Recovery After Surgery (ERAS®) Society recommendations. Br. J. Surg. 2014, 101, 1209–1229. [Google Scholar] [CrossRef] [PubMed]
- Elsharkawy, H.; Kolli, S.; Soliman, L.M.; Seif, J.; Drake, R.L.; Mariano, E.R.; El-Boghdadly, K. The external oblique intercostal block: Anatomic evaluation and case series. Pain. Med. 2021, 22, 2436–2442. [Google Scholar] [CrossRef] [PubMed]
- Coşarcan, S.K.; Erçelen, Ö. The analgesic contribution of external oblique intercostal block: Case reports of 3 different surgeries and 3 spectacular effects. Medicine 2022, 101, e30435. [Google Scholar] [CrossRef] [PubMed]
- Korkusuz, M.; Basaran, B.; Et, T.; Bilge, A.; Yarimoglu, R.; Yildirim, H. Bilateral external oblique intercostal plane block (EOIPB) in patients undergoing laparoscopic cholecystectomy: A randomized controlled trial. Saudi Med. J. 2023, 44, 1037–1046. [Google Scholar] [CrossRef] [PubMed]
- Stamenkovic, D.M.; Bezmarevic, M.; Bojic, S.; Unic-Stojanovic, D.; Stojkovic, D.; Slavkovic, D.Z.; Bancevic, V.; Maric, N.; Karanikolas, M. Updates on wound infiltration use for postoperative pain management: A narrative review. J. Clin. Med. 2021, 10, 4659. [Google Scholar] [CrossRef] [PubMed]
- Lirk, P.; Badaoui, J.; Stuempflen, M.; Hedayat, M.; Freys, S.M.; Joshi, G.P. PROcedure-SPECific postoperative pain management guideline for laparoscopic colorectal surgery: A systematic review with recommendations for postoperative pain management. Eur. J. Anaesthesiol. 2024, 41, 161–173. [Google Scholar] [CrossRef] [PubMed]
- Macfater, H.; Xia, W.; Srinivasa, S.; Hill, A.G.; Van De Velde, M.; Joshi, G.P. Evidence-based management of postoperative pain in adults undergoing laparoscopic sleeve gastrectomy. World J. Surg. 2019, 43, 1571–1580. [Google Scholar] [CrossRef] [PubMed]
- Barazanchi, A.W.H.; MacFater, W.S.; Rahiri, J.L.; Tutone, S.; Hill, A.G.; Joshi, G.P. Evidence-based management of pain after laparoscopic cholecystectomy: A PROSPECT review update. Br. J. Anaesth. 2018, 121, 787–803. [Google Scholar] [CrossRef]
- De Cassai, A.; Sella, N.; Geraldini, F.; Tulgar, S.; Ahiskalioglu, A.; Dost, B.; Manfrin, S.; Karapinar, Y.E.; Paganini, G.; Beldagli, M.; et al. Single-shot regional anesthesia for laparoscopic cholecystectomies: A systematic review and network meta-analysis. Korean J. Anesthesiol. 2023, 76, 34–46. [Google Scholar] [CrossRef]
- Hill, J.; Ashken, T.; West, S.; Macfarlane, A.J.R.; El-Boghdadly, K.; Albrecht, E.; Chin, K.J.; Fox, B.; Gupta, A.; Haskins, S.; et al. Core outcome set for peripheral regional anesthesia research: A systematic review and Delphi study. Reg. Anesth. Pain. Med. 2022, 47, 691–697. [Google Scholar] [CrossRef] [PubMed]
- Suzuka, T.; Tanaka, N.; Yamanaka, T.; Ida, M.; Suzuki, S.; Asada, K.; Ozu, N.; Kawaguchi, M. Laparoscopic Gastrectomy Using External Oblique Intercostal Block Versus Wound Infiltration: A Trial Protocol. Tokai J. Exp. Clin. Med. 2024, 49, 57–62. [Google Scholar] [PubMed]
- Joshi, G.P.; Janis, J.E.; Haas, E.M.; Ramshaw, B.J.; Nihira, M.A.; Dunkin, B.J. Surgical site infiltration for abdominal surgery: A novel neuroanatomical-based approach. Plast. Reconstr. Surg. Glob. Open 2016, 4, e1181. [Google Scholar] [CrossRef] [PubMed]
- Aikawa, K.; Uchinami, Y.; Morimoto, Y. Chronological changes in plasma levobupivacaine concentrations after bilateral modified thoracoabdominal nerve block through perichondrial approach. J. Anesth. 2023, 37, 641–644. [Google Scholar] [CrossRef] [PubMed]
- Zhu, Z.; Chen, B.; Ye, W.; Wang, S.; Xu, G.; Pan, Z.; Zeng, J.; Luo, Q.; Jun, Y.; Huang, Z. Clinical significance of wound infiltration with ropivacaine for elderly patients in china underwent total laparoscopic radical gastrectomy: A retrospective cohort study. Medicine 2019, 98, e15115. [Google Scholar] [CrossRef] [PubMed]
- Lydersen, S. Statistical review: Frequently given comments. Ann. Rheum. Dis. 2015, 74, 323–325. [Google Scholar] [CrossRef] [PubMed]
- Rozen, W.M.; Tran, T.M.; Ashton, M.W.; Barrington, M.J.; Ivanusic, J.J.; Taylor, G.I. Refining the course of the thoracolumbar nerves: A new understanding of the innervation of the anterior abdominal wall. Clin. Anat. 2008, 21, 325–333. [Google Scholar] [CrossRef] [PubMed]
- Balaban, O.; Tulgar, S.; Ahiskalioğlu, A.; Thomas, D.T.; Aydin, T. Blockage of thoracoabdominal nerves through perichondrial approach (TAPA) for surgical anesthesia after failed erector spinae plane block in mini-laparatomy. J. Clin. Anesth. 2019, 55, 74–75. [Google Scholar] [CrossRef] [PubMed]
- Ohgoshi, Y.; Kawagoe, I.; Ando, A.; Ikegami, M.; Hanai, S.; Ichimura, K. Novel external oblique muscle plane block for blockade of the lateral abdominal wall: A pilot study on volunteers. Can. J. Anaesth. 2022, 69, 1203–1210. [Google Scholar] [CrossRef]
- Liu, S.S.; Richman, J.M.; Thirlby, R.C.; Wu, C.L. Efficacy of continuous wound catheters delivering local anesthetic for postoperative analgesia: A quantitative and qualitative systematic review of randomized controlled trials. J. Am. Coll. Surg. 2006, 203, 914–932. [Google Scholar] [CrossRef]
- Suzuka, T.; Tanaka, N.; Kadoya, Y.; Ida, M.; Iwata, M.; Ozu, N.; Kawaguchi, M. Comparison of quality of recovery between modified thoracoabdominal nerves block through perichondrial approach versus oblique subcostal transversus abdominis plane block in patients undergoing total laparoscopic hysterectomy: A pilot randomized controlled trial. J. Clin. Med. 2024, 13, 712. [Google Scholar] [CrossRef] [PubMed]
- Sento, Y.; Suzuki, T.; Suzuki, Y.; Scott, D.A.; Sobue, K. The past, present and future of the postanesthesia care unit (PACU) in Japan. J. Anesth. 2017, 31, 601–607. [Google Scholar] [CrossRef] [PubMed]
- Black, N.D.; Stecco, C.; Chan, V.W.S. Fascial plane blocks: More questions than answers? Anesth. Analg. 2021, 132, 899–905. [Google Scholar] [CrossRef] [PubMed]
- Bardsley, H.; Gristwood, R.; Baker, H.; Watson, N.; Nimmo, W. A comparison of the cardiovascular effects of levobupivacaine and rac-bupivacaine following intravenous administration to healthy volunteers: Levobupivacaine vs rac-bupivacaine. Br. J. Clin. Pharmacol. 1998, 46, 245–249. [Google Scholar] [CrossRef] [PubMed]
- Hirai, N.; Tanaka, N.; Suzuka, T.; Kadoya, Y.; Kawaguchi, M. Letter to the editor regarding ‘Modified thoracoabdominal nerve block through perichondrial approach (M-TAPA): An anatomical study evaluating dye spread following simulated injection in soft embalmed Thiel cadaver. Reg. Anesth. Pain. Med. 2024, 49, 376–377. [Google Scholar] [CrossRef]
- Tanaka, N.; Suzuka, T.; Kadoya, Y.; Okamoto, N.; Sato, M.; Kawanishi, H.; Azuma, C.; Nishi, M.; Kawaguchi, M. Efficacy of modified thoracoabdominal nerves block through perichondrial approach in open gynecological surgery: A prospective observational pilot study and a cadaveric evaluation. BMC Anesthesiol. 2022, 22, 107. [Google Scholar] [CrossRef]



| EOIB Group (n = 15) | WI Group (n = 17) | |
|---|---|---|
| Patient characteristics | ||
| Age (years) | 68.2 (10.5) | 70.6 (8.3) |
| Sex, n (%) | ||
| Male | 11 (73.3) | 14 (82.3) |
| Female | 4 (26.7) | 3 (17.6) |
| Weight, kg | 63.8 (11.0) | 55.7 (10.3) |
| Height, cm | 162.5 (9.6) | 161.4 (6.0) |
| BMI, kg/m2 | 24.1 (3.0) | 21.4 (4.0) |
| ASA-PS, n (%) | ||
| I | 0 (0) | 2 (12) |
| II | 15 (100) | 15 (88) |
| Albumin (g/dL) | 4.2 (0.5) | 3.9 (0.6) |
| Surgical data | ||
| Type of surgery, n (%) | ||
| Laparoscopy | 11 (73.3) | 13 (76.5) |
| Robot-assisted Laparoscopy | 4 (26.7) | 4 (23.5) |
| Type of gastrectomy, n (%) | ||
| Total | 2 (13.3) | 2 (11.8) |
| Distal | 13 (86.7) | 15 (88.2) |
| Duration of surgery, min | 324.9 (84.8) | 316.4 (81.9) |
| Duration of anesthesia, min | 398.3 (87.6) | 378.2 (88.6) |
| Intraoperative fentanyl use, µg | 436.7 (127.4) | 394.1 (76.8) |
| Remifentanil total amount (µg/kg/min) | 0.17 (0.06) | 0.16 (0.05) |
| EOIB Group (n = 15) | WI Group (n = 17) | Mean Difference (EOIB—WI) (95% CI) | p-Value | |
|---|---|---|---|---|
| Primary Endpoint | ||||
| NRS scores | ||||
| 12 h at rest | 1.27 (1.10) | 1.53 (1.37) | −0.26 (−1.17 to 0.64) | 0.56 |
| 12 h with movement | 3.13 (1.64) | 3.82 (1.74) | −0.69 (−1.92 to 0.54) | 0.26 |
| Secondary Endpoint | ||||
| NRS scores at rest | ||||
| 2 h | 1.73 (1.62) | 2.41 (1.80) | −0.68 (−1.92 to 0.57) | 0.28 |
| 24 h | 1.80 (1.32) | 2.53 (1.50) | −0.73 (−1.76 to 0.30) | 0.16 |
| 48 h | 1.33 (1.11) | 1.06 (1.03) | 0.27 (−0.50 to 1.05) | 0.47 |
| NRS scores with movement | ||||
| 2 h | 3.73 (1.71) | 4.76 (1.60) | −1.03 (−2.23 to 0.16) | 0.09 |
| 24 h | 4.00 (1.93) | 5.12 (2.03) | −1.11 (−2.55 to 0.32) | 0.12 |
| 48 h | 3.87 (0.92) | 4.35 (1.66) | −0.49 (−1.47 to 0.50) | 0.32 |
| QoR-15 | ||||
| Pre | 141.53 (10.79) | 137.94 (16.70) | - | - |
| POD 1—Pre | −24.2 (25.2) | −22.9 (23.6) | −1.32 (−18.94 to 16.31) | 0.88 |
| POD 2—Pre | −16.6 (19.9) | −14.2 (22.3) | −2.42 (−17.75 to 12.91) | 0.75 |
| POD 7—Pre | −4.5 (14.8) | −1.4 (10.6) | −3.11 (−12.33 to 6.10) | 0.50 |
| Postoperative fentanyl | ||||
| Total amount (µg/kg) | 10.12 (10.54) | 9.88 (6.86) | 0.24 (−6.10 to 6.59) | 0.94 |
| WHO-DAS 2.0 (%) | ||||
| Pre | 4.72 (4.42) | 10.66 (16.20) | - | - |
| 3 months | 11.25 (17.52) | 16.79 (19.28) | 0.40 (−8.20 to 9.00) | 0.92 |
| Exploratory Endpoint | ||||
| Plasma concentration of levobupivacaine | ||||
| Cmax (µg/mL) | 0.70 (0.55 to 0.86) | - | - | - |
| Tmax (min) | 44.7 (30.0 to 59.3) | - | - | - |
Disclaimer/Publisher’s Note: The statements, opinions and data contained in all publications are solely those of the individual author(s) and contributor(s) and not of MDPI and/or the editor(s). MDPI and/or the editor(s) disclaim responsibility for any injury to people or property resulting from any ideas, methods, instructions or products referred to in the content. |
© 2024 by the authors. Licensee MDPI, Basel, Switzerland. This article is an open access article distributed under the terms and conditions of the Creative Commons Attribution (CC BY) license (https://creativecommons.org/licenses/by/4.0/).
Share and Cite
Suzuka, T.; Tanaka, N.; Kadoya, Y.; Yamanaka, T.; Ida, M.; Nakade, H.; Kunishige, T.; Matsumoto, S.; Ozu, N.; Kawaguchi, M. Comparison of Analgesic Method in Laparoscopic Gastrectomy Using External Oblique Intercostal Block Versus Wound Infiltration: A Randomized Controlled Trial. J. Clin. Med. 2024, 13, 4174. https://doi.org/10.3390/jcm13144174
Suzuka T, Tanaka N, Kadoya Y, Yamanaka T, Ida M, Nakade H, Kunishige T, Matsumoto S, Ozu N, Kawaguchi M. Comparison of Analgesic Method in Laparoscopic Gastrectomy Using External Oblique Intercostal Block Versus Wound Infiltration: A Randomized Controlled Trial. Journal of Clinical Medicine. 2024; 13(14):4174. https://doi.org/10.3390/jcm13144174
Chicago/Turabian StyleSuzuka, Takanori, Nobuhiro Tanaka, Yuma Kadoya, Takayuki Yamanaka, Mitsuru Ida, Hiroshi Nakade, Tomohiro Kunishige, Sohei Matsumoto, Naoki Ozu, and Masahiko Kawaguchi. 2024. "Comparison of Analgesic Method in Laparoscopic Gastrectomy Using External Oblique Intercostal Block Versus Wound Infiltration: A Randomized Controlled Trial" Journal of Clinical Medicine 13, no. 14: 4174. https://doi.org/10.3390/jcm13144174
APA StyleSuzuka, T., Tanaka, N., Kadoya, Y., Yamanaka, T., Ida, M., Nakade, H., Kunishige, T., Matsumoto, S., Ozu, N., & Kawaguchi, M. (2024). Comparison of Analgesic Method in Laparoscopic Gastrectomy Using External Oblique Intercostal Block Versus Wound Infiltration: A Randomized Controlled Trial. Journal of Clinical Medicine, 13(14), 4174. https://doi.org/10.3390/jcm13144174

