A Comparison of Preoperative Predictive Scoring Systems for Postoperative Pancreatic Fistula after Pancreaticoduodenectomy Based on a Single-Center Analysis
Abstract
1. Introduction
2. Materials and Methods
2.1. Study Population and Data Collection
2.2. Statistical Analysis
3. Results
3.1. Literature Search
3.2. Cohort Characteristics
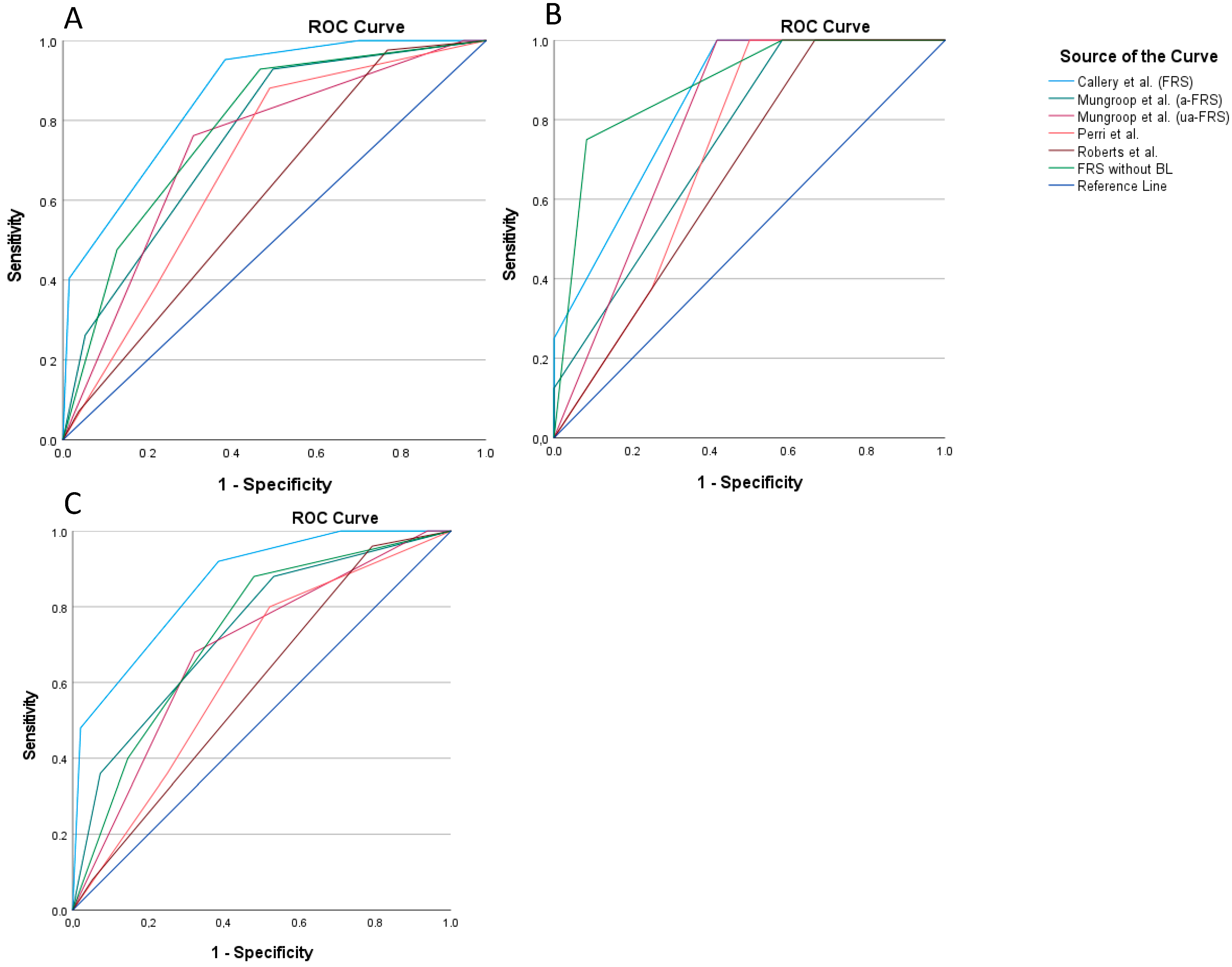
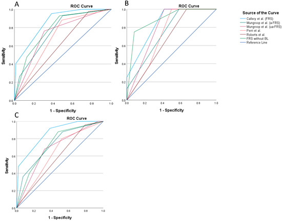
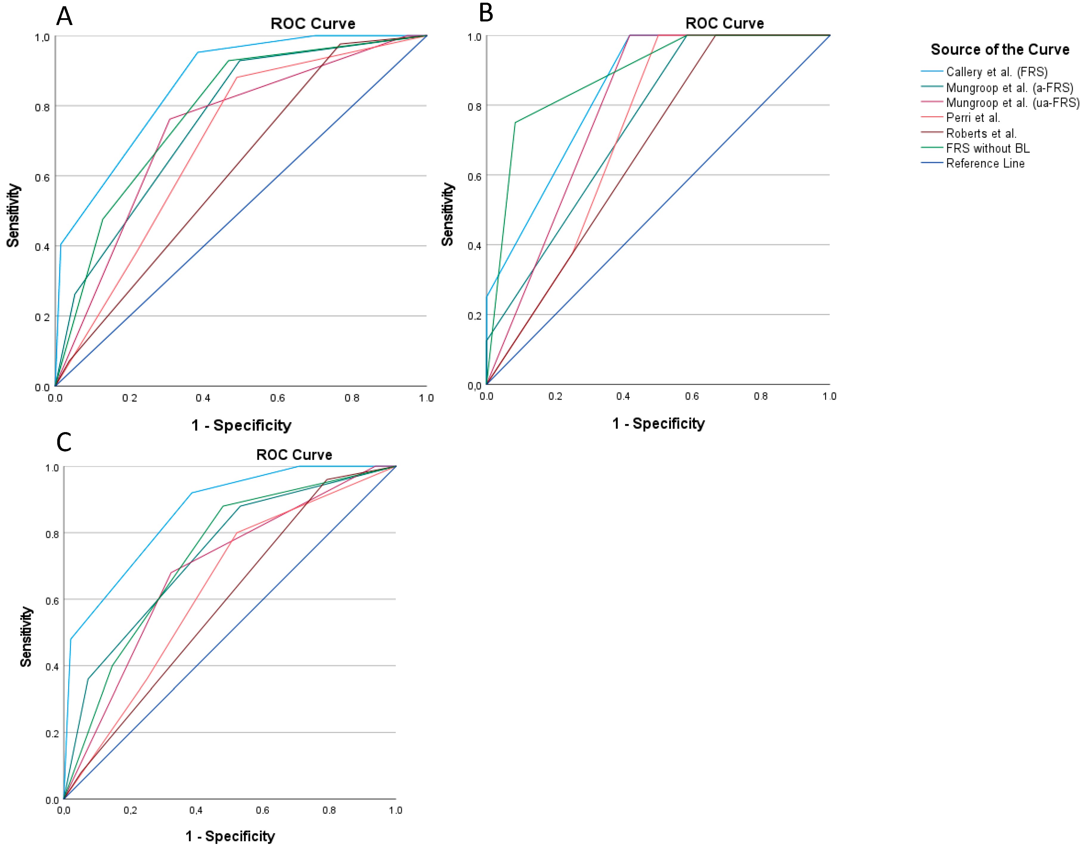
3.3. Validation and Comparison of Prognostic Scoring Systems
4. Discussion
5. Conclusions
Author Contributions
Funding
Institutional Review Board Statement
Informed Consent Statement
Data Availability Statement
Conflicts of Interest
References
- Pugalenthi, A.; Protic, M.; Gonen, M.; Kingham, T.P.; Angelica, M.I.; Dematteo, R.P.; Fong, Y.; Jarnagin, W.R.; Allen, P.J. Postoperative complications and overall survival after pancreaticoduodenectomy for pancreatic ductal adenocarcinoma. J. Surg. Oncol. 2016, 113, 188–193. [Google Scholar] [CrossRef]
- Lapshyn, H.; Petruch, N.; Thomaschewski, M.; Sondermann, S.; May, K.; Frohneberg, L.; Petrova, E.; Zemskov, S.; Honselmann, K.C.; Braun, R.; et al. A simple preoperative stratification tool predicting the risk of postoperative pancreatic fistula after pancreatoduodenectomy. Pancreatology 2021, 21, 957–964. [Google Scholar] [CrossRef]
- Greenblatt, D.Y.; Kelly, K.J.; Rajamanickam, V.; Wan, Y.; Hanson, T.; Rettammel, R.; Winslow, E.R.; Cho, C.S.; Weber, S.M. Preoperative factors predict perioperative morbidity and mortality after pancreaticoduodenectomy. Ann. Surg. Oncol. 2011, 18, 2126–2135. [Google Scholar] [CrossRef] [PubMed]
- Bassi, C.; Marchegiani, G.; Dervenis, C.; Sarr, M.; Abu Hilal, M.; Adham, M.; Allen, P.; Andersson, R.; Asbun, H.J.; Besselink, M.G.; et al. The 2016 update of the International Study Group (ISGPS) definition and grading of postoperative pancreatic fistula: 11 Years After. Surgery 2017, 161, 584–591. [Google Scholar] [CrossRef]
- Harnoss, J.C.; Ulrich, A.B.; Harnoss, J.M.; Diener, M.K.; Büchler, M.W.; Welsch, T. Use and results of consensus definitions in pancreatic surgery: A systematic review. Surgery 2014, 155, 47–57. [Google Scholar] [CrossRef]
- Nahm, C.B.; Connor, S.J.; Samra, J.S.; Mittal, A. Postoperative pancreatic fistula: A review of traditional and emerging concepts. Clin. Exp. Gastroenterol. 2018, 11, 105–118. [Google Scholar] [CrossRef] [PubMed]
- Perri, G.; Marchegiani, G.; Partelli, S.; Crippa, S.; Bianchi, B.; Cinelli, L.; Esposito, A.; Pecorelli, N.; Falconi, M.; Bassi, C.; et al. Preoperative risk stratification of postoperative pancreatic fistula: A risk-tree predictive model for pancreatoduodenectomy. Surgery 2021, 170, 1596–1601. [Google Scholar] [CrossRef] [PubMed]
- Wang, G.Q.; Yadav, D.K.; Jiang, W.; Hua, Y.F.; Lu, C. Risk Factors for Clinically Relevant Postoperative Pancreatic Fistula (CR-POPF) after Distal Pancreatectomy: A Single Center Retrospective Study. Can. J. Gastroenterol. Hepatol. 2021, 2021, 8874504. [Google Scholar] [CrossRef]
- Karim, S.A.M.; Abdulla, K.S.; Abdulkarim, Q.H.; Rahim, F.H. The outcomes and complications of pancreaticoduodenectomy (Whipple procedure): Cross sectional study. Int. J. Surg. 2018, 52, 383–387. [Google Scholar] [CrossRef]
- Vallance, A.E.; Young, A.L.; Macutkiewicz, C.; Roberts, K.J.; Smith, A.M. Calculating the risk of a pancreatic fistula after a pancreaticoduodenectomy: A systematic review. HPB 2015, 17, 1040–1048. [Google Scholar] [CrossRef]
- Yamamoto, Y.; Sakamoto, Y.; Nara, S.; Esaki, M.; Shimada, K.; Kosuge, T. A preoperative predictive scoring system for postoperative pancreatic fistula after pancreaticoduodenectomy. World J. Surg. 2011, 35, 2747–2755. [Google Scholar] [CrossRef]
- Chong, E.; Ratnayake, B.; Lee, S.; French, J.J.; Wilson, C.; Roberts, K.J.; Loveday, B.P.T.; Manas, D.; Windsor, J.; White, S.; et al. Systematic review and meta-analysis of risk factors of postoperative pancreatic fistula after distal pancreatectomy in the era of 2016 International Study Group pancreatic fistula definition. HPB 2021, 23, 1139–1151. [Google Scholar] [CrossRef] [PubMed]
- Kamarajah, S.K.; Bundred, J.R.; Lin, A.; Halle-Smith, J.; Pande, R.; Sutcliffe, R.; Harrison, E.M.; Roberts, K.J. Systematic review and meta-analysis of factors associated with post-operative pancreatic fistula following pancreatoduodenectomy. ANZ J. Surg. 2021, 91, 810–821. [Google Scholar] [CrossRef]
- Adamu, M.; Plodeck, V.; Adam, C.; Roehnert, A.; Welsch, T.; Weitz, J.; Distler, M. Predicting postoperative pancreatic fistula in pancreatic head resections: Which score fits all? Langenbecks Arch. Surg. 2022, 407, 175–188. [Google Scholar] [CrossRef] [PubMed]
- You, Y.; Han, I.W.; Choi, D.W.; Heo, J.S.; Ryu, Y.; Park, D.J.; Choi, S.H.; Han, S. Nomogram for predicting postoperative pancreatic fistula. HPB 2019, 21, 1436–1445. [Google Scholar] [CrossRef]
- Zhang, Z.L.; Chen, L.; Peng, L.; Li, S.C.; Guo, P.; Zhang, M. A newly improved POSSUM scoring system for prediction of morbidity in patients with pancreaticoduodenectomy. Transl. Cancer Res. 2020, 9, 5517–5527. [Google Scholar] [CrossRef]
- Wiltberger, G.; Muhl, B.; Benzing, C.; Atanasov, G.; Hau, H.M.; Horn, M.; Krenzien, F.; Bartels, M. Preoperative risk stratification for major complications following pancreaticoduodenectomy: Identification of high-risk patients. Int. J. Surg. 2016, 31, 33–39. [Google Scholar] [CrossRef]
- Mungroop, T.H.; van Rijssen, L.B.; van Klaveren, D.; Smits, F.J.; van Woerden, V.; Linnemann, R.J.; de Pastena, M.; Klompmaker, S.; Marchegiani, G.; Ecker, B.L.; et al. Alternative Fistula Risk Score for Pancreatoduodenectomy (a-FRS): Design and International External Validation. Ann. Surg. 2019, 269, 937–943. [Google Scholar] [CrossRef] [PubMed]
- Mungroop, T.H.; Klompmaker, S.; Wellner, U.F.; Steyerberg, E.W.; Coratti, A.; D’Hondt, M.; de Pastena, M.; Dokmak, S.; Khatkov, I.; Saint-Marc, O.; et al. Updated Alternative Fistula Risk Score (ua-FRS) to Include Minimally Invasive Pancreatoduodenectomy: Pan-European Validation. Ann. Surg. 2021, 273, 334–340. [Google Scholar] [CrossRef]
- Callery, M.P.; Pratt, W.B.; Kent, T.S.; Chaikof, E.L.; Vollmer, C.M., Jr. A prospectively validated clinical risk score accurately predicts pancreatic fistula after pancreatoduodenectomy. J. Am. Coll. Surg. 2013, 216, 1–14. [Google Scholar] [CrossRef]
- Koek, S.; Wiegele, S.; Ballal, M. Drain fluid amylase and lipase as a predictive factor of postoperative pancreatic fistula. ANZ J. Surg. 2022, 92, 414–418. [Google Scholar] [CrossRef] [PubMed]
- Chen, H.; Wang, W.; Zou, S.; Wang, X.; Ying, X.; Cheng, D.; Weng, Y.; Deng, X.; Shen, B. Serum lipase on postoperative day one is a strong predictor of clinically relevant pancreatic fistula after pancreaticoduodenectomy: A retrospective cohort. Pancreatology 2022, 22, 810–816. [Google Scholar] [CrossRef] [PubMed]
- Griffith, D.; Hanna, T.; Wong, K.; Reece-Smith, A.; Aroori, S.; Bowles, M.; Stell, D.; Briggs, C. Comparison of lipase and amylase for diagnosing post-operative pancreatic fistulae. ANZ J. Surg. 2018, 88, 751–754. [Google Scholar] [CrossRef] [PubMed]
- Roberts, K.J.; Hodson, J.; Mehrzad, H.; Marudanayagam, R.; Sutcliffe, R.P.; Muiesan, P.; Isaac, J.; Bramhall, S.R.; Mirza, D.F. A preoperative predictive score of pancreatic fistula following pancreatoduodenectomy. HPB 2014, 16, 620–628. [Google Scholar] [CrossRef] [PubMed]
- Sugimoto, M.; Takahashi, S.; Kojima, M.; Kobayashi, T.; Gotohda, N.; Konishi, M. In Patients with a Soft Pancreas, a Thick Parenchyma, a Small Duct, and Fatty Infiltration Are Significant Risks for Pancreatic Fistula After Pancreaticoduodenectomy. J. Gastrointest. Surg. 2017, 21, 846–854. [Google Scholar] [CrossRef] [PubMed]
- Keck, T.; Wellner, U.F.; Bahra, M.; Klein, F.; Sick, O.; Niedergethmann, M.; Wilhelm, T.J.; Farkas, S.A.; Börner, T.; Bruns, C.; et al. Pancreatogastrostomy Versus Pancreatojejunostomy for RECOnstruction After PANCreatoduodenectomy (RECOPANC, DRKS 00000767): Perioperative and Long-term Results of a Multicenter Randomized Controlled Trial. Ann. Surg. 2016, 263, 440–449. [Google Scholar] [CrossRef]
- Suzuki, Y.; Fujino, Y.; Tanioka, Y.; Hiraoka, K.; Takada, M.; Ajiki, T.; Takeyama, Y.; Ku, Y.; Kuroda, Y. Selection of pancreaticojejunostomy techniques according to pancreatic texture and duct size. Arch. Surg. 2002, 137, 1044–1047. [Google Scholar] [CrossRef] [PubMed]
- Venkat, R.; Puhan, M.A.; Schulick, R.D.; Cameron, J.L.; Eckhauser, F.E.; Choti, M.A.; Makary, M.A.; Pawlik, T.M.; Ahuja, N.; Edil, B.H.; et al. Predicting the risk of perioperative mortality in patients undergoing pancreaticoduodenectomy: A novel scoring system. Arch. Surg. 2011, 146, 1277–1284. [Google Scholar] [CrossRef]
- Gaujoux, S.; Cortes, A.; Couvelard, A.; Noullet, S.; Clavel, L.; Rebours, V.; Lévy, P.; Sauvanet, A.; Ruszniewski, P.; Belghiti, J. Fatty pancreas and increased body mass index are risk factors of pancreatic fistula after pancreaticoduodenectomy. Surgery 2010, 148, 15–23. [Google Scholar] [CrossRef]
- Mathur, A.; Pitt, H.A.; Marine, M.; Saxena, R.; Schmidt, C.M.; Howard, T.J.; Nakeeb, A.; Zyromski, N.J.; Lillemoe, K.D. Fatty pancreas: A factor in postoperative pancreatic fistula. Ann. Surg. 2007, 246, 1058–1064. [Google Scholar] [CrossRef]
- Wong, V.W.; Wong, G.L.; Yeung, D.K.; Abrigo, J.M.; Kong, A.P.; Chan, R.S.; Chim, A.M.; Shen, J.; Ho, C.S.; Woo, J.; et al. Fatty pancreas, insulin resistance, and β-cell function: A population study using fat-water magnetic resonance imaging. Am. J. Gastroenterol. 2014, 109, 589–597. [Google Scholar] [CrossRef] [PubMed]
- Lin, Z.; Tang, B.; Cai, J.; Wang, X.; Li, C.; Tian, X.; Yang, Y.; Wang, X. Preoperative prediction of clinically relevant postoperative pancreatic fistula after pancreaticoduodenectomy. Eur. J. Radiol. 2021, 139, 109693. [Google Scholar] [CrossRef] [PubMed]
- Santhosh, S.; Mittal, B.R.; Rana, S.S.; Srinivasan, R.; Bhattacharya, A.; Das, A.; Bhasin, D. Metabolic signatures of malignant and non-malignant mass-forming lesions in the periampulla and pancreas in FDG PET/CT scan: An atlas with pathologic correlation. Abdom. Imaging 2015, 40, 1285–1315. [Google Scholar] [CrossRef] [PubMed]
- Schima, W.; Böhm, G.; Rösch, C.S.; Klaus, A.; Függer, R.; Kopf, H. Mass-forming pancreatitis versus pancreatic ductal adenocarcinoma: CT and MR imaging for differentiation. Cancer Imaging 2020, 20, 52. [Google Scholar] [CrossRef] [PubMed]
- Boggi, U.; Amorese, G.; Vistoli, F.; Caniglia, F.; De Lio, N.; Perrone, V.; Barbarello, L.; Belluomini, M.; Signori, S.; Mosca, F. Laparoscopic pancreaticoduodenectomy: A systematic literature review. Surg. Endosc. 2015, 29, 9–23. [Google Scholar] [CrossRef] [PubMed]
- Rothermel, L.D.; Lipman, J.M. Estimation of blood loss is inaccurate and unreliable. Surgery 2016, 160, 946–953. [Google Scholar] [CrossRef] [PubMed]
- Schorn, M.N. Measurement of blood loss: Review of the literature. J. Midwifery Womens Health 2010, 55, 20–27. [Google Scholar] [CrossRef] [PubMed]
- Perri, G.; Marchegiani, G.; Reich, F.; Casetti, L.; Fontana, M.; Esposito, A.; Ruzzenente, A.; Salvia, R.; Bassi, C. Intraoperative Blood Loss Estimation in Hepato-pancreato-biliary Surgery- Relevant, Not Reported, Not Standardized: Results From a Systematic Review and a Worldwide Snapshot Survey. Ann. Surg. 2023, 277, e849–e855. [Google Scholar] [CrossRef] [PubMed]
- Shubert, C.R.; Wagie, A.E.; Farnell, M.B.; Nagorney, D.M.; Que, F.G.; Reid Lombardo, K.M.; Truty, M.J.; Smoot, R.L.; Kendrick, M.L. Clinical Risk Score to Predict Pancreatic Fistula after Pancreatoduodenectomy: Independent External Validation for Open and Laparoscopic Approaches. J. Am. Coll. Surg. 2015, 221, 689–698. [Google Scholar] [CrossRef]
- Grendar, J.; Jutric, Z.; Leal, J.N.; Ball, C.G.; Bertens, K.; Dixon, E.; Hammill, C.W.; Kastenberg, Z.; Newell, P.H.; Rocha, F.; et al. Validation of Fistula Risk Score calculator in diverse North American HPB practices. HPB 2017, 19, 508–514. [Google Scholar] [CrossRef]
- Ryu, Y.; Shin, S.H.; Park, D.J.; Kim, N.; Heo, J.S.; Choi, D.W.; Han, I.W. Validation of original and alternative fistula risk scores in postoperative pancreatic fistula. J. Hepatobiliary Pancreat. Sci. 2019, 26, 354–359. [Google Scholar] [CrossRef] [PubMed]
- Witzigmann, H.; Diener, M.K.; Kienkötter, S.; Rossion, I.; Bruckner, T.; Bärbel, W.; Pridöhl, O.; Radulova-Mauersberger, O.; Lauer, H.; Knebel, P.; et al. No Need for Routine Drainage after Pancreatic Head Resection: The Dual-Center, Randomized, Controlled PANDRA Trial (ISRCTN04937707). Ann. Surg. 2016, 264, 528–537. [Google Scholar] [CrossRef] [PubMed]
- Fisher, W.E.; Jordan, G.L.; DeBakey, M.E. Reply to Letter: “A Randomized Prospective Multicenter Trial of Pancreaticoduodenectomy With and Without Routine Intraperitoneal Drainage”. Ann. Surg. 2015, 262, e107–e108. [Google Scholar] [CrossRef] [PubMed]
- Wang, Y.C.; Szatmary, P.; Zhu, J.Q.; Xiong, J.J.; Huang, W.; Gomatos, I.; Nunes, Q.M.; Sutton, R.; Liu, X.B. Prophylactic intra-peritoneal drain placement following pancreaticoduodenectomy: A systematic review and meta-analysis. World J. Gastroenterol. 2015, 21, 2510–2521. [Google Scholar] [CrossRef] [PubMed]
- Van Buren, G., 2nd; Bloomston, M.; Hughes, S.J.; Winter, J.; Behrman, S.W.; Zyromski, N.J.; Vollmer, C.; Velanovich, V.; Riall, T.; Muscarella, P.; et al. A randomized prospective multicenter trial of pancreaticoduodenectomy with and without routine intraperitoneal drainage. Ann. Surg. 2014, 259, 605–612. [Google Scholar] [CrossRef]
- Marchegiani, G.; Bassi, C. Prevention, prediction, and mitigation of postoperative pancreatic fistula. Br. J. Surg. 2021, 108, 602–604. [Google Scholar] [CrossRef]
- Shan, Y.S.; Sy, E.D.; Lin, P.W. Role of somatostatin in the prevention of pancreatic stump-related morbidity following elective pancreaticoduodenectomy in high-risk patients and elimination of surgeon-related factors: Prospective, randomized, controlled trial. World J. Surg. 2003, 27, 709–714. [Google Scholar] [CrossRef]
- Gouillat, C.; Chipponi, J.; Baulieux, J.; Partensky, C.; Saric, J.; Gayet, B. Randomized controlled multicentre trial of somatostatin infusion after pancreaticoduodenectomy. Br. J. Surg. 2001, 88, 1456–1462. [Google Scholar] [CrossRef] [PubMed]
- Kawaida, H.; Kono, H.; Hosomura, N.; Amemiya, H.; Itakura, J.; Fujii, H.; Ichikawa, D. Surgical techniques and postoperative management to prevent postoperative pancreatic fistula after pancreatic surgery. World J. Gastroenterol. 2019, 25, 3722–3737. [Google Scholar] [CrossRef]
- Capretti, G.; Donisi, G.; Gavazzi, F.; Nappo, G.; Pansa, A.; Piemonti, L.; Zerbi, A. Total pancreatectomy as alternative to pancreatico-jejunal anastomosis in patients with high fistula risk score: The choice of the fearful or of the wise? Langenbecks Arch. Surg. 2021, 406, 713–719. [Google Scholar] [CrossRef]
- Shahbazov, R.; Naziruddin, B.; Salam, O.; Saracino, G.; Levy, M.F.; Beecherl, E.; Onaca, N. The impact of surgical complications on the outcome of total pancreatectomy with islet autotransplantation. Am. J. Surg. 2020, 219, 99–105. [Google Scholar] [CrossRef] [PubMed]
- Pulvirenti, A.; Pea, A.; Rezaee, N.; Gasparini, C.; Malleo, G.; Weiss, M.J.; Cameron, J.L.; Wolfgang, C.L.; He, J.; Salvia, R. Perioperative outcomes and long-term quality of life after total pancreatectomy. Br. J. Surg. 2019, 106, 1819–1828. [Google Scholar] [CrossRef] [PubMed]
- Stoop, T.F.; Ateeb, Z.; Ghorbani, P.; Scholten, L.; Arnelo, U.; Besselink, M.G.; Del Chiaro, M. Surgical Outcomes After Total Pancreatectomy: A High-Volume Center Experience. Ann. Surg. Oncol. 2021, 28, 1543–1551. [Google Scholar] [CrossRef] [PubMed]
- Scholten, L.; Stoop, T.F.; Del Chiaro, M.; Busch, O.R.; van Eijck, C.; Molenaar, I.Q.; de Vries, J.H.; Besselink, M.G. Systematic review of functional outcome and quality of life after total pancreatectomy. Br. J. Surg. 2019, 106, 1735–1746. [Google Scholar] [CrossRef] [PubMed]
- Grendar, J.; Ouellet, J.F.; Sutherland, F.R.; Bathe, O.F.; Ball, C.G.; Dixon, E. In search of the best reconstructive technique after pancreaticoduodenectomy: Pancreaticojejunostomy versus pancreaticogastrostomy. Can. J. Surg. 2015, 58, 154–159. [Google Scholar] [CrossRef] [PubMed]
- Andrianello, S.; Marchegiani, G.; Malleo, G.; Masini, G.; Balduzzi, A.; Paiella, S.; Esposito, A.; Landoni, L.; Casetti, L.; Tuveri, M.; et al. Pancreaticojejunostomy with Externalized Stent vs Pancreaticogastrostomy with Externalized Stent for Patients with High-Risk Pancreatic Anastomosis: A Single-Center, Phase 3, Randomized Clinical Trial. JAMA Surg. 2020, 155, 313–321. [Google Scholar] [CrossRef] [PubMed]
- Olakowski, M.; Grudzińska, E.; Mrowiec, S. Pancreaticojejunostomy-a review of modern techniques. Langenbecks Arch. Surg. 2020, 405, 13–22. [Google Scholar] [CrossRef]
- Hong, S.; Wang, H.; Yang, S.; Yang, K. External stent versus no stent for pancreaticojejunostomy: A meta-analysis of randomized controlled trials. J. Gastrointest. Surg. 2013, 17, 1516–1525. [Google Scholar] [CrossRef]

| Author | Perri et al. [7] | Roberts et al. [24] | Callery et al. [20] (FRS) | Mungroop et al. [18] (a-FRS) | Mungroop et al. [19] (ua-FRS) | FRS without BL |
|---|---|---|---|---|---|---|
| Country | Italy | England | USA | Multiple b | Pan-European c | |
| Published | 2021 | 2014 | 2013 | 2019 | 2021 | |
| N | 1022 a | 325 a | 445 a | 2850 a | 952 a | |
| AUC | 0.675 | 0.832 | 0.942 | 0.750 | 0.750 | |
| Stratification | Low (8%), intermediate (21%), high (32%) | Low (<5%), intermediate (5–29%), high (30–55%) | Negligible (0%), low (0–5%), intermediate (5–20%), high (>20%) | Low (0–5%), intermediate (5_20%), high (>20%) | Low (0–5%), intermediate (5–20%), high (>20%) | Negligible (0%), low (0–5%), intermediate (5–20%), high (>20%) |
| ASA | ● | |||||
| Gender | ● | |||||
| BMI | ● | ● | ● | ● | ||
| Histopathology | ● | ● | ||||
| MPD intraoperative | ● | |||||
| MPD radiological | ● | ● | ● | ● | ● | |
| BL | ● | |||||
| Pancreatic texture intraoperative | ● | |||||
| Pancreatic texture radiological | ● | ● | ● |
| Study Group n = 196 | |||
|---|---|---|---|
| Variable | Condition | Median/n | Range/% |
| Age at time of surgery (years) | 69 | 26–90 | |
| Gender | |||
| Male | 97 | 49% | |
| Female | 99 | 51% | |
| BMI | 24.6 | 19.0–31.0 | |
| ASA | |||
| 1 | 10 | 5% | |
| 2 | 92 | 47% | |
| 3 | 94 | 48% | |
| Blood loss (mL) | 350 | 40–3000 | |
| Surgery duration (min) | 539 | 440–638 | |
| Pancreatic anastomosis | |||
| PJ | 195 | 99% | |
| Pancreatic texture radiological | |||
| Soft | 70 | 36% | |
| Hard | 126 | 64% | |
| Malignant lesion | 154 | 79% | |
| PDAC | 91 | 46% | |
| Ampullary carcinoma | 52 | 27% | |
| Cholangiocarcinoma | 11 | 6% | |
| Premalignant | 25 | 13% | |
| IPMN | 9 | 5% | |
| MCN | 10 | 5% | |
| NET | 6 | 3% | |
| Pancreatitis | 17 | 8% | |
| Histological preservation method | |||
| Surgery | 80 | 41% | |
| EUS | 93 | 48% | |
| ERCP | 18 | 9% | |
| CT guided | 5 | 2% | |
| ICU stay (days) | 1 | 0–55 | |
| MPD diameter radiological (mm) | 4 | 1–18 | |
| 30-day postoperative mortality | 3 | 2% | |
| Clavien–Dindo Classification | |||
| Grade 0 | 61 | 31% | |
| Grade I | 32 | 16% | |
| Grade II | 74 | 38% | |
| Grade IIIa | 7 | 4% | |
| Grade IIIb | 12 | 6% | |
| Grade IVa | 6 | 3% | |
| Grade IVb | 1 | 1% | |
| Grade V | 3 | 2% | |
| POPF | |||
| Grade A | 4 | 2% | |
| Grade B | 39 | 20% | |
| Grade C | 7 | 4% | |
| PPH | |||
| Yes | 20 | 10% | |
| No | 176 | 90% | |
| DGE | |||
| Yes | 42 | 21% | |
| No | 154 | 79% | |
| Bile leak | |||
| Yes | 6 | 3% | |
| No | 190 | 97% | |
| Intraabdominal abscess | |||
| Yes | 19 | 10% | |
| No | 177 | 90% |
| Univariate | Multivariate | ||||||
|---|---|---|---|---|---|---|---|
| Variables | Condition | OR | 95% CI | p-Value | OR | 95% CI | p-Value |
| Callery et al. [20] (FRS) | |||||||
| Histological diagnosis | |||||||
| PDAC/pancreatitis | |||||||
| Others | 3.53 | 1.77–7.07 | <0.001 | ||||
| Pancreatic texture | |||||||
| Soft | 6.86 | 3.31–14.23 | <0.001 | 5.00 | 1.95–12.80 | <0.001 | |
| Hard | |||||||
| Blood loss (mL) | |||||||
| ≤400 | |||||||
| 401–700 | 1.72 | 0.79–3.74 | 0.175 | ||||
| 701–1000 | 1.52 | 0.37–6.19 | 0.561 | ||||
| >1000 | 1.52 | 0.37–6.19 | 0.561 | ||||
| MPD (mm) | |||||||
| ≥5 | |||||||
| 4 | 2.41 | 0.62–9.35 | 0.202 | ||||
| 3 | 10.23 | 3.72–28.11 | <0.001 | 7.54 | 2.33–24.41 | <0.001 | |
| 2 | 6.59 | 2.27–19.16 | <0.001 | ||||
| ≤1 | 25.33 | 2.00–321.31 | 0.013 | ||||
| Mungroop et al. [18] (a-FRS) | |||||||
| BMI | 1.00 | 0.98–1.02 | 0.938 | ||||
| MPD (mm) | 0.63 | 0.50–0.79 | <0.001 | 0.73 | 0.58–0.91 | 0.006 | |
| Pancreatic texture | |||||||
| Soft | 6.86 | 3.31–14.23 | <0.001 | 4.37 | 2.01–9.50 | <0.001 | |
| Hard | |||||||
| Mungroop et al. [19] (ua-FRS) | |||||||
| Gender | |||||||
| Male | 2.06 | 1.04–4.06 | 0.037 | 2.35 | 1.09–5.07 | 0.029 | |
| Female | |||||||
| BMI | 1.00 | 0.98–1.02 | 0.938 | ||||
| MPD (mm) | 0.50 | 0.37–0.68 | <0.001 | 0.60 | 0.43–0.83 | 0.002 | |
| Pancreatic texture | |||||||
| Soft | 6.86 | 3.31–14.23 | <0.001 | 4.39 | 1.99–9.72 | <0.001 | |
| Hard | |||||||
| Perri et al. [7] | |||||||
| BMI | |||||||
| <25 | |||||||
| ≥25 | 1.52 | 0.78–2.96 | 0.217 | ||||
| ASA | 0.387 | ||||||
| 1 | |||||||
| 2 | 0.87 | 0.21–3.63 | 0.849 | ||||
| 3 | 0.55 | 0.13–2.35 | 0.422 | ||||
| MPD (mm) | |||||||
| <5 | 6.94 | 2.78–17.35 | <0.001 | 6.83 | 2.72–17.16 | <0.001 | |
| ≥5 | |||||||
| Roberts et al. [24] | |||||||
| BMI | 1.00 | 0.98–1.02 | 0.938 | ||||
| MPD (mm) | 0.63 | 0.50–0.79 | <0.001 | 1.00 | 0.97–1.02 | <0.001 | |
| FRS without BL | |||||||
| Histological diagnosis | |||||||
| PDAC/pancreatitis | |||||||
| Others | 3.53 | 1.77–7.07 | <0.001 | ||||
| Pancreatic texture | |||||||
| Soft | 6.86 | 3.31–14.23 | <0.001 | 3.83 | 1.62–9.06 | 0.002 | |
| Hard | |||||||
| MPD (mm) | |||||||
| ≥5 | 2.41 | 0.62–9.35 | 0.202 | ||||
| 4 | 10.23 | 3.72–28.11 | <0.001 | 6.47 | 2.22–18.88 | <0.001 | |
| 3 | 6.59 | 2.27–19.16 | <0.001 | ||||
| 2 | 25.33 | 2.00–321.31 | 0.013 | 19.62 | 1.29–297.36 | 0.032 | |
| ≤1 | |||||||
| AUC a | AUC b | AUC c | POPF (%) | p | 95% CI | Sensitivity | Specificity | PPV | NPV | |||
|---|---|---|---|---|---|---|---|---|---|---|---|---|
| Low | Medium | High | ||||||||||
| Callery et al. [20] (FRS) | 0.862 | 0.862 | 0.844 | 4.5 | 31.5 | 89.4 | <0.001 | 0.89–0.97 | 95.2 | 61.5 | 43.6 | 97.6 |
| Mungroop et al. [18] (a-FRS) | 0.757 | 0.738 | 0.745 | 5.2 | 31.2 | 61.9 | <0.001 | 0.72–0.86 | 91.3 | 50.3 | 36.8 | 94.8 |
| Mungroop et al. [19] (ua-FRS) | 0.733 | 0.689 | 0.792 | 0 | 10.7 | 43.8 | <0.001 | 0.74–0.87 | 100 | 5.5 | 25.1 | 100 |
| Perri et al. [7] | 0.693 | 0.633 | 0.719 | 7.4 | 34.4 | 37.2 | <0.001 | 0.62–0.78 | 87 | 51 | 35.7 | 92.6 |
| Roberts et al. [24] | 0.614 | 0.591 | 0.667 | 2.6 | 28.6 | 37.5 | <0.001 | 0.66–0.81 | 95.7 | 34 | 29 | 97.4 |
| FRS without blood loss | 0.783 | 0.732 | 0.885 | 4.9 | 28.6 | 52.4 | <0.001 | 0.72–0.86 | 91.3 | 52.4 | 37.5 | 95.1 |
Disclaimer/Publisher’s Note: The statements, opinions and data contained in all publications are solely those of the individual author(s) and contributor(s) and not of MDPI and/or the editor(s). MDPI and/or the editor(s) disclaim responsibility for any injury to people or property resulting from any ideas, methods, instructions or products referred to in the content. |
© 2024 by the authors. Licensee MDPI, Basel, Switzerland. This article is an open access article distributed under the terms and conditions of the Creative Commons Attribution (CC BY) license (https://creativecommons.org/licenses/by/4.0/).
Share and Cite
Verdeyen, N.; Gryspeerdt, F.; Abreu de Carvalho, L.; Dries, P.; Berrevoet, F. A Comparison of Preoperative Predictive Scoring Systems for Postoperative Pancreatic Fistula after Pancreaticoduodenectomy Based on a Single-Center Analysis. J. Clin. Med. 2024, 13, 3286. https://doi.org/10.3390/jcm13113286
Verdeyen N, Gryspeerdt F, Abreu de Carvalho L, Dries P, Berrevoet F. A Comparison of Preoperative Predictive Scoring Systems for Postoperative Pancreatic Fistula after Pancreaticoduodenectomy Based on a Single-Center Analysis. Journal of Clinical Medicine. 2024; 13(11):3286. https://doi.org/10.3390/jcm13113286
Chicago/Turabian StyleVerdeyen, Naomi, Filip Gryspeerdt, Luìs Abreu de Carvalho, Pieter Dries, and Frederik Berrevoet. 2024. "A Comparison of Preoperative Predictive Scoring Systems for Postoperative Pancreatic Fistula after Pancreaticoduodenectomy Based on a Single-Center Analysis" Journal of Clinical Medicine 13, no. 11: 3286. https://doi.org/10.3390/jcm13113286
APA StyleVerdeyen, N., Gryspeerdt, F., Abreu de Carvalho, L., Dries, P., & Berrevoet, F. (2024). A Comparison of Preoperative Predictive Scoring Systems for Postoperative Pancreatic Fistula after Pancreaticoduodenectomy Based on a Single-Center Analysis. Journal of Clinical Medicine, 13(11), 3286. https://doi.org/10.3390/jcm13113286

