Association between Salivary Hormones, Dental Caries, and Cariogenic Microorganisms during Pregnancy
Abstract
1. Introduction
2. Materials and Methods
2.1. Study Population and Design
2.2. Inclusion and Exclusion Criteria
2.3. Data Collection and Examination
2.4. Identification and Quantification of S. mutans and C. albicans
2.5. Salivary Hormone Measurement
2.6. Statistical Analysis
3. Results
3.1. Hormonal Levels and Clusters of Saliva during the Third Trimester
3.2. Demographic–Medical–Oral Characteristics of All Subjects and Three Hormonal Clusters
3.3. Factors Associated with Clusters of Salivary Hormones
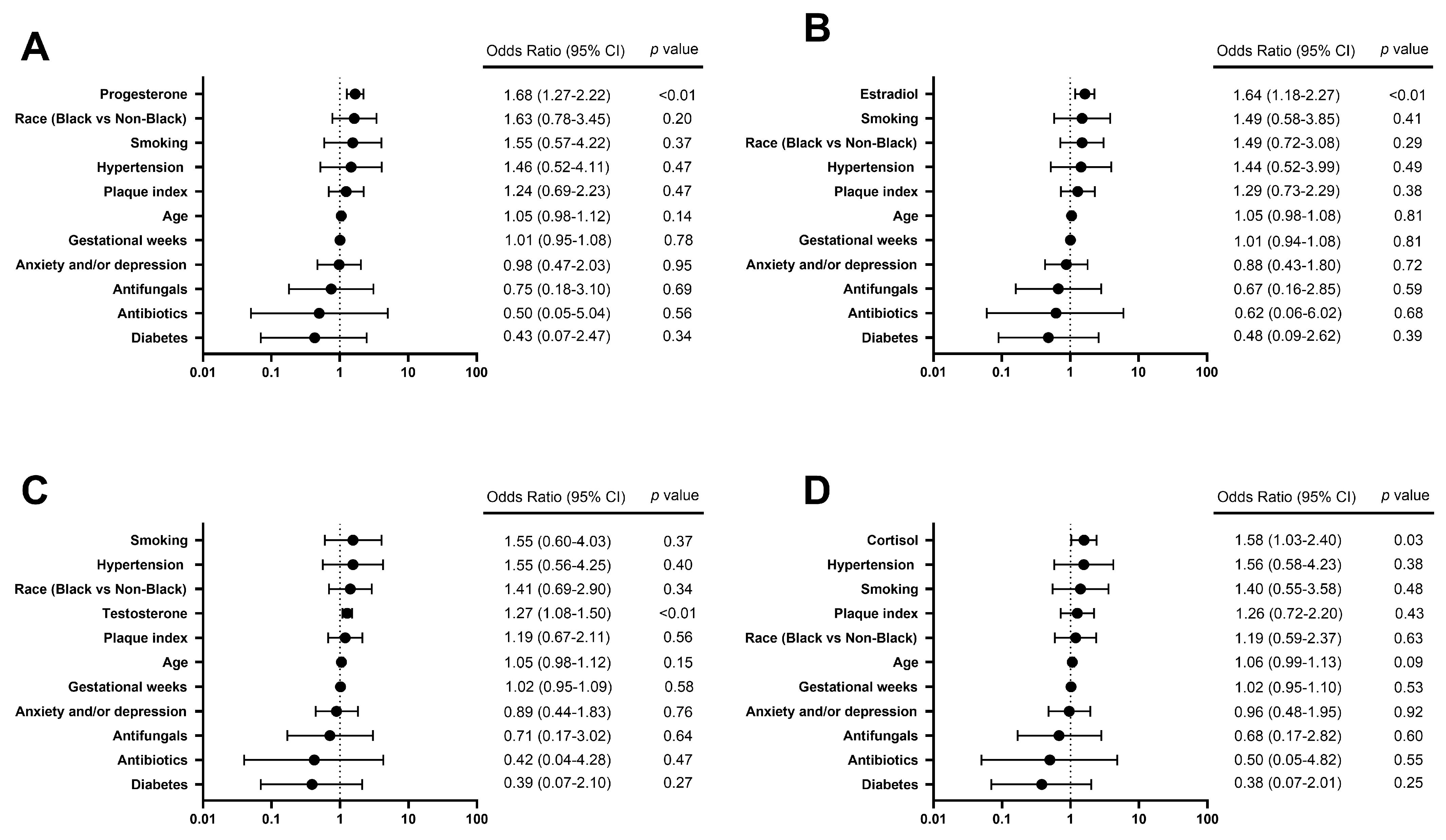
3.4. Hormones Associated with S. mutans Carriage in Saliva
4. Discussion
5. Conclusions
Author Contributions
Funding
Institutional Review Board Statement
Informed Consent Statement
Data Availability Statement
Conflicts of Interest
References
- Qin, X.; Zi, H.; Zeng, X. Changes in the global burden of untreated dental caries from 1990 to 2019: A systematic analysis for the Global Burden of Disease study. Heliyon 2022, 8, e10714. [Google Scholar] [CrossRef] [PubMed]
- Jahan, S.S.; Hoque Apu, E.; Sultana, Z.Z.; Islam, M.I.; Siddika, N. Oral Healthcare during Pregnancy: Its Importance and Challenges in Lower-Middle-Income Countries (LMICs). Int. J. Environ. Res. Public Health 2022, 19, 10681. [Google Scholar] [CrossRef] [PubMed]
- Azofeifa, A.; Yeung, L.F.; Alverson, C.J.; Beltran-Aguilar, E. Dental caries and periodontal disease among U.S. pregnant women and nonpregnant women of reproductive age, National Health and Nutrition Examination Survey, 1999–2004. J. Public Health Dent. 2016, 76, 320–329. [Google Scholar] [CrossRef] [PubMed]
- Grattan, D.R.; Ladyman, S.R. Neurophysiological and cognitive changes in pregnancy. Handb. Clin. Neurol. 2020, 171, 25–55. [Google Scholar] [CrossRef] [PubMed]
- Soma-Pillay, P.; Nelson-Piercy, C.; Tolppanen, H.; Mebazaa, A. Physiological changes in pregnancy. Cardiovasc. J. Afr. 2016, 27, 89–94. [Google Scholar] [CrossRef] [PubMed]
- Saadaoui, M.; Singh, P.; Al Khodor, S. Oral microbiome and pregnancy: A bidirectional relationship. J. Reprod. Immunol. 2021, 145, 103293. [Google Scholar] [CrossRef] [PubMed]
- Giannella, L.G.C.; Quintili, D.; Fiorelli, A.; Montironi, R.; Alia, S.; Delli Carpini, G.; Di Giuseppe, J.; Vignini, A.; Ciavattini, A. Microbiome changes in pregnancy disorders. Antioxidants 2023, 12, 463. [Google Scholar] [CrossRef] [PubMed]
- Bett, J.V.S.; Batistella, E.A.; Melo, G.; Munhoz, E.A.; Silva, C.A.B.; Guerra, E.; Porporatti, A.L.; De Luca Canto, G. Prevalence of oral mucosal disorders during pregnancy: A systematic review and meta-analysis. J. Oral Pathol. Med. 2019, 48, 270–277. [Google Scholar] [CrossRef]
- Cornejo Ulloa, P.; Krom, B.P.; van der Veen, M.H. Sex Steroid Hormones as a Balancing Factor in Oral Host Microbiome Interactions. Front. Cell. Infect. Microbiol. 2021, 11, 714229. [Google Scholar] [CrossRef]
- Romandini, M.; Shin, H.S.; Romandini, P.; Lafori, A.; Cordaro, M. Hormone-related events and periodontitis in women. J. Clin. Periodontol. 2020, 47, 429–441. [Google Scholar] [CrossRef]
- Ye, C.; Kapila, Y. Oral microbiome shifts during pregnancy and adverse pregnancy outcomes: Hormonal and Immunologic changes at play. Periodontol. 2000 2021, 87, 276–281. [Google Scholar] [CrossRef] [PubMed]
- Kato, S.; Nagasawa, T.; Uehara, O.; Shimizu, S.; Sugiyama, N.; Hasegawa-Nakamura, K.; Noguchi, K.; Hatae, M.; Kakinoki, H.; Furuichi, Y. Increase in Bifidobacterium is a characteristic of the difference in the salivary microbiota of pregnant and non-pregnant women. BMC Oral Health 2022, 22, 260. [Google Scholar] [CrossRef]
- Fujiwara, N.; Tsuruda, K.; Iwamoto, Y.; Kato, F.; Odaki, T.; Yamane, N.; Hori, Y.; Harashima, Y.; Sakoda, A.; Tagaya, A.; et al. Significant increase of oral bacteria in the early pregnancy period in Japanese women. J. Investig. Clin. Dent. 2017, 8, e12189. [Google Scholar] [CrossRef] [PubMed]
- Rio, R.; Simoes-Silva, L.; Garro, S.; Silva, M.J.; Azevedo, A.; Sampaio-Maia, B. Oral yeast colonization throughout pregnancy. Med. Oral Patol. Oral Cir. Bucal 2017, 22, e144–e148. [Google Scholar] [CrossRef][Green Version]
- Jang, H.; Al Jallad, N.; Wu, T.T.; Zeng, Y.; Fadaak, A.; Malmstrom, H.; Fiscella, K.; Xiao, J. Changes in Candida albicans, Streptococcus mutans and oral health conditions following Prenatal Total Oral Rehabilitation among underserved pregnant women. Heliyon 2021, 7, e07871. [Google Scholar] [CrossRef]
- Gilbert Klaczko, C.; Alkhars, N.; Zeng, Y.; Klaczko, M.E.; Gill, A.L.; Kopycka-Kedzierawski, D.T.; Jusko, T.A.; Sohn, M.B.; Xiao, J.; Gill, S.R. The Oral Microbiome and Cross-Kingdom Interactions during Pregnancy. J. Dent. Res. 2023, 102, 1122–1130. [Google Scholar] [CrossRef] [PubMed]
- Xiao, J.; Fogarty, C.; Wu, T.T.; Alkhers, N.; Zeng, Y.; Thomas, M.; Youssef, M.; Wang, L.; Cowen, L.; Abdelsalam, H.; et al. Oral health and Candida carriage in socioeconomically disadvantaged US pregnant women. BMC Pregnancy Childbirth 2019, 19, 480. [Google Scholar] [CrossRef] [PubMed]
- Yousefi, M.; Parvaie, P.; Riahi, S.M. Salivary factors related to caries in pregnancy: A systematic review and meta-analysis. J. Am. Dent. Assoc. 2020, 151, 576–588.e4. [Google Scholar] [CrossRef]
- Mitova, N.; Rashkova, M.R.; Popova, C.L. Saliva diagnostics of sex hormones and subgingival microflora in children in puberty. Biotechnol. Biotechnol. Equip. 2019, 35, 408–414. [Google Scholar] [CrossRef]
- Niu, C.; Dong, T.; Jiang, W.; Gao, L.; Yuan, K.; Hu, X.; Lin, W.; Zhou, X.; Xu, C.; Huang, Z. Pregnancy-Related Ecological Shifts of Salivary Microbiota and its Association with Salivary Sex Hormones. Res. Sq. 2020, preprint. [Google Scholar] [CrossRef]
- Alkhars, N.; Zeng, Y.; Alomeir, N.; Al Jallad, N.; Wu, T.T.; Aboelmagd, S.; Youssef, M.; Jang, H.; Fogarty, C.; Xiao, J. Oral Candida Predicts Streptococcus mutans Emergence in Underserved US Infants. J. Dent. Res. 2022, 101, 54–62. [Google Scholar] [CrossRef] [PubMed]
- Alkhars, N.; Al Jallad, N.; Wu, T.T.; Xiao, J. Multilocus sequence typing of Candida albicans oral isolates reveals high genetic relatedness of mother-child dyads in early life. PLoS ONE 2024, 19, e0290938. [Google Scholar] [CrossRef] [PubMed]
- Alkhars, N.; Gaca, A.; Zeng, Y.; Al-Jallad, N.; Rustchenko, E.; Wu, T.T.; Eliav, E.; Xiao, J. Antifungal Susceptibility of Oral Candida Isolates from Mother-Infant Dyads to Nystatin, Fluconazole, and Caspofungin. J. Fungi 2023, 9, 580. [Google Scholar] [CrossRef]
- Löe, H. The gingival index, the plaque index and the retention index systems. J. Periodontol. 1967, 38, 610–616. [Google Scholar] [CrossRef] [PubMed]
- Goncalves, B.; Ferreira, C.; Alves, C.T.; Henriques, M.; Azeredo, J.; Silva, S. Vulvovaginal candidiasis: Epidemiology, microbiology and risk factors. Crit. Rev. Microbiol. 2016, 42, 905–927. [Google Scholar] [CrossRef]
- Lin, W.; Jiang, W.; Hu, X.; Gao, L.; Ai, D.; Pan, H.; Niu, C.; Yuan, K.; Zhou, X.; Xu, C.; et al. Ecological Shifts of Supragingival Microbiota in Association with Pregnancy. Front. Cell. Infect. Microbiol. 2018, 8, 24. [Google Scholar] [CrossRef] [PubMed]
- Schock, H.; Zeleniuch-Jacquotte, A.; Lundin, E.; Grankvist, K.; Lakso, H.A.; Idahl, A.; Lehtinen, M.; Surcel, H.M.; Fortner, R.T. Hormone concentrations throughout uncomplicated pregnancies: A longitudinal study. BMC Pregnancy Childbirth 2016, 16, 146. [Google Scholar] [CrossRef] [PubMed]
- Leung, A.M. Thyroid function in pregnancy. J. Trace Elem. Med. Biol. 2012, 26, 137–140. [Google Scholar] [CrossRef] [PubMed]
- Korevaar, T.I.M.; Medici, M.; Visser, T.J.; Peeters, R.P. Thyroid disease in pregnancy: New insights in diagnosis and clinical management. Nat. Rev. Endocrinol. 2017, 13, 610–622. [Google Scholar] [CrossRef] [PubMed]
- Sarkar, P.; Bergman, K.; O’Connor, T.G.; Glover, V. Maternal antenatal anxiety and amniotic fluid cortisol and testosterone: Possible implications for foetal programming. J. Neuroendocrinol. 2008, 20, 489–496. [Google Scholar] [CrossRef]
- Hodyl, N.A.; Stark, M.J.; Meyer, E.J.; Lewis, J.G.; Torpy, D.J.; Nenke, M.A. High binding site occupancy of corticosteroid-binding globulin by progesterone increases fetal free cortisol concentrations. Eur. J. Obstet. Gynecol. Reprod. Biol. 2020, 251, 129–135. [Google Scholar] [CrossRef] [PubMed]
- Barrett, E.S.; Mbowe, O.; Thurston, S.W.; Butts, S.; Wang, C.; Nguyen, R.; Bush, N.; Redmon, J.B.; Sheshu, S.; Swan, S.H.; et al. Predictors of Steroid Hormone Concentrations in Early Pregnancy: Results from a Multi-Center Cohort. Matern. Child Health J. 2019, 23, 397–407. [Google Scholar] [CrossRef] [PubMed]
- Zhang, Y.; Graubard, B.I.; Klebanoff, M.A.; Ronckers, C.; Stanczyk, F.Z.; Longnecker, M.P.; McGlynn, K.A. Maternal hormone levels among populations at high and low risk of testicular germ cell cancer. Br. J. Cancer 2005, 92, 1787–1793. [Google Scholar] [CrossRef] [PubMed]
- Ranka, R.; Patil, S.; Chaudhary, M.; Hande, A.; Sharma, P. Prevalence of dental caries and gingivitis among pregnant and nonpregnant women. J. Datta Meghe Inst. Med. Sci. Univ. 2018, 13, 44–47. [Google Scholar] [CrossRef]
- La, X.; Jiang, H.; Chen, A.; Zheng, H.; Shen, L.; Chen, W.; Yang, F.; Zhang, L.; Cai, X.; Mao, H.; et al. Profile of the oral microbiota from preconception to the third trimester of pregnancy and its association with oral hygiene practices. J. Oral Microbiol. 2022, 14, 2053389. [Google Scholar] [CrossRef] [PubMed]
- McGregor, J.A.; Hastings, C.; Roberts, T.; Barrett, J. Diurnal variation in saliva estriol level during pregnancy: A pilot study. Am. J. Obstet. Gynecol. 1999, 180, S223–S225. [Google Scholar] [CrossRef] [PubMed]
- Sachan, A.; Naresh, S.; Bitla, A.R. Utility of Saliva for Measurement of Thyroid Hormones. Indian J. Med. Biochem. 2018, 22, 36–40. [Google Scholar] [CrossRef]
- Friedman, H.S. Encyclopedia of Mental Health; Academic Press: Cambridge, MA, USA, 2015. [Google Scholar]
- Dukic, J.; Ehlert, U. Longitudinal Course of Sex Steroids from Pregnancy to Postpartum. Endocrinology 2023, 164, bqad108. [Google Scholar] [CrossRef]
- Ukkola, O.G.J.; Rankinen, T.; Thompson, P.A.; Hong, Y.; Leon, A.S.; Rao, D.C.; Skinner, J.S.; Wilmore, J.H.; Bouchard, C. Age, body mass index, race and other determinants of steroid hormone variability: The HERITAGE Family Study. Eur. J. Endocrinol. 2001, 145, 1–9. [Google Scholar] [CrossRef]



| Detection Rate | Mean (pg/mL) ± SD | Median (pg/mL) | Range (pg/mL) | |
|---|---|---|---|---|
| Estradiol | 92% | 856.9 ± 1122.9 | 570.0 | 60.0–9770.0 |
| Progesterone | 97% | 14,435.3 ± 15,182.6 | 10,100.0 | 230.0–97,430.0 |
| Testosterone | 77% | 1131.6 ± 1777.0 | 590.0 | 10.0–15,100.0 |
| Cortisol | 99% | 7252.7 ± 7402.1 | 5730.0 | 270.0–77,080.0 |
| T3 | 71% | 1105.0 ± 1989.3 | 380.0 | 10.0–17,040.0 |
| T4 | 50% | 686.3 ± 1258.0 | 30.0 | 30.0–9950.0 |
| Categories | Total | Hormonal Clusters | ||||
|---|---|---|---|---|---|---|
| n = 181 | Low (n = 48) | Intermediate (n = 56) | High (n = 77) | p Value | ||
| Demographic characteristics | ||||||
| Age (year) | 27.6 ± 5.5 | 27.6 ± 5.7 | 28.0 ± 5.7 | 27.4 ± 5.3 | 0.83 | |
| Gestational weeks | 33.6 ± 5.2 | 32.1 ± 3.6 | 34.9 ± 7.7 | 33.4 ± 3.1 | 0.31 | |
| Race | White | 29.3% | 41.7% | 33.9% | 18.2% | 0.01 |
| Black | 53.0% | 41.7% | 50% | 62.3% | ||
| Other | 17.7% | 16.7% | 16.1% | 19.5% | ||
| Medical conditions | ||||||
| Diabetes | 6.6% | 6.3% | 7.1% | 6.5% | 0.98 | |
| Hypertension | 13.8% | 14.6% | 12.5% | 14.3% | 0.94 | |
| Asthma | 12.7% | 10.4% | 16.1% | 17.7% | 0.65 | |
| Emotional conditions | 33.7% | 37.5% | 37.5% | 28.6% | 0.45 | |
| Smoking | 14.9% | 4.2% | 17.9% | 19.5% | 0.05 | |
| Socioeconomic characteristics | ||||||
| Education | ≤High school | 58.0% | 67.0% | 64.9% | 88% | 0.17 |
| Associate degree | 13.8% | 4.2% | 22.9% | 25.0% | ||
| ≥College | 28.2% | 29.2% | 25.0% | 29.9% | ||
| Employment | 50.8% | 54.2% | 51.8% | 48.1% | 0.79 | |
| Married | 22.1% | 27.1% | 19.6% | 20.8% | 0.62 | |
| Oral health | ||||||
| Tooth brushing | Twice/daily | 65.2% | 75% | 62.5% | 61.0% | 0.25 |
| ≤Once/daily | 34.8% | 25% | 37.5 | 39.0% | ||
| PI | 1.6 ± 0.6 | 1.5 ± 0.6 | 1.8 ± 0.5 | 1.7 ± 0.6 | 0.11 | |
| DT | 2.7 ± 3.7 | 1.8 ± 2.8 | 2.6 ± 2.7 | 3.4 ± 4.6 | 0.02 | |
| DS | 4.1 ± 7.5 | 2.7 ± 4.6 | 3.5 ± 4.1 | 5.5 ± 10.2 | 0.03 | |
| ICDAS | 3.5 ± 2.5 | 2.7 ± 2.3 | 3.4 ± 2.5 | 3.9 ± 2.5 | <0.01 | |
| Salivary S. mutans Ln (CFU/mL × 105) | 11.5 ± 4.0 | 9.9 ± 5.5 | 12.5 ± 2.9 | 11.9 ± 3.2 | <0.01 | |
| Salivary C. albicans Ln (CFU/mL × 102) | 3.2 ± 3.7 | 2.0 ± 2.99 | 3.5 ± 3.9 | 3.8 ± 3.7 | 0.02 | |
| Variables | Odds Ratio | Standard Error | Statistic | p Value | 95% | ||
|---|---|---|---|---|---|---|---|
| Lower | Upper | ||||||
| Intermediate vs. Low | Intercept | 0.34 | 1.46 | −0.74 | 0.46 | −3.95 | 1.79 |
| Age (year) | 0.96 | 0.05 | −0.84 | 0.4 | −0.13 | 0.05 | |
| Race (Black vs Non-Black) | 2.77 | 0.42 | 2.40 | 0.02 | 0.19 | 1.85 | |
| Married | 1.31 | 0.52 | 0.52 | 0.61 | −0.74 | 1.28 | |
| Smoking | 1.22 | 0.10 | 1.89 | 0.06 | −0.01 | 0.40 | |
| Hypertension | 1.03 | 0.07 | 0.38 | 0.70 | −0.12 | 0.17 | |
| Emotional condition | 1.00 | 0.39 | −0.01 | 0.99 | −0.76 | 0.76 | |
| PI | 10.01 | 0.86 | 2.68 | 0.01 | 0.62 | 3.99 | |
| DT | 0.53 | 0.45 | −1.42 | 0.16 | −1.51 | 0.24 | |
| ICDAS | 0.83 | 0.58 | −0.32 | 0.75 | −1.32 | 0.95 | |
| C. albicans Ln (CFU/mL × 105) | 1.11 | 0.07 | 1.54 | 0.12 | −0.03 | 0.24 | |
| S. mutans Ln (CFU/mL × 105) | 1.09 | 0.05 | 1.76 | 0.08 | −0.01 | 0.19 | |
| High vs. Low | Intercept | 0.03 | 1.59 | −2.29 | 0.02 | −6.76 | −0.53 |
| Age (year) | 1.02 | 0.05 | 0.37 | 0.71 | −0.07 | 0.11 | |
| Race (Black vs. Non-Black) | 1.63 | 0.44 | 1.13 | 0.26 | −0.36 | 1.35 | |
| Married | 1.00 | 0.54 | 0.01 | 0.99 | −1.06 | 1.06 | |
| Smoking | 1.03 | 0.11 | 0.28 | 0.78 | −0.18 | 0.24 | |
| Hypertension | 0.97 | 0.08 | −0.34 | 0.73 | −0.18 | 0.13 | |
| Emotional condition | 1.83 | 0.41 | 1.49 | 0.14 | −0.19 | 1.40 | |
| PI | 6.84 | 0.88 | 2.19 | 0.03 | 0.21 | 3.64 | |
| DT | 0.78 | 0.45 | −0.54 | 0.59 | −1.14 | 0.64 | |
| ICDAS | 0.85 | 0.62 | −0.25 | 0.80 | −1.37 | 1.06 | |
| C. albicans Ln (CFU/mL×105) | 1.09 | 0.07 | 1.19 | 0.23 | −0.06 | 0.23 | |
| S. mutans Ln (CFU/mL×105) | 1.17 | 0.06 | 2.50 | 0.01 | 0.03 | 0.28 | |
| High vs. Intermediate | Intercept | 12.95 | 1.42 | 1.80 | 0.07 | −0.22 | 5.35 |
| Age (year) | 0.95 | 0.04 | −1.38 | 0.17 | −0.13 | 0.02 | |
| Race (Black vs. Non-Black) | 1.69 | 0.38 | 1.39 | 0.17 | −0.22 | 1.27 | |
| Married | 1.30 | 0.48 | 0.54 | 0.59 | −0.68 | 1.21 | |
| Smoking | 1.18 | 0.09 | 1.75 | 0.08 | −0.02 | 0.35 | |
| Hypertension | 1.06 | 0.06 | 0.98 | 0.33 | −0.05 | 0.16 | |
| Emotional condition | 0.54 | 0.35 | −1.72 | 0.09 | −1.30 | 0.09 | |
| PI | 1.46 | 0.51 | 0.75 | 0.45 | −0.62 | 1.38 | |
| DT | 0.68 | 0.40 | −0.98 | 0.33 | −1.16 | 0.39 | |
| ICDAS | 0.97 | 0.54 | −0.05 | 0.96 | −1.09 | 1.03 | |
| C. albicans Ln (CFU/mL × 105) | 1.02 | 0.05 | 0.40 | 0.69 | −0.08 | 0.13 | |
| S. mutans Ln (CFU/mL × 105) | 0.93 | 0.06 | −1.09 | 0.28 | −0.19 | 0.05 | |
| Hormones | Salivary S. mutans ≥105 CFU/mL (n = 125) | Salivary S. mutans <105 CFU/mL (n = 56) | p Value |
|---|---|---|---|
| Estradiol (pg/mL) | 922.4 ± 1092.9 | 712.5 ± 1193.6 | 0.003 |
| Progesterone (pg/mL) | 16,315.2 ± 15,162.6 | 10,353.4 ± 14,661.0 | <0.001 |
| Testosterone (pg/mL) | 1161.6 ± 1524.4 | 1067.3 ± 2265.2 | 0.01 |
| Cortisol (pg/mL) | 7432.9 ± 5459.1 | 6887.5 ± 10,601.5 | 0.09 |
| T3 (pg/mL) | 1032.3 ± 1626.4 | 1268.6 ± 2645.1 | 0.15 |
| T4 (pg/mL) | 640.7 ± 1079.1 | 797.0 ± 1597.6 | 0.86 |
Disclaimer/Publisher’s Note: The statements, opinions and data contained in all publications are solely those of the individual author(s) and contributor(s) and not of MDPI and/or the editor(s). MDPI and/or the editor(s) disclaim responsibility for any injury to people or property resulting from any ideas, methods, instructions or products referred to in the content. |
© 2024 by the authors. Licensee MDPI, Basel, Switzerland. This article is an open access article distributed under the terms and conditions of the Creative Commons Attribution (CC BY) license (https://creativecommons.org/licenses/by/4.0/).
Share and Cite
Yang, R.; Lu, X.; Alomeir, N.; Quataert, S.; Wu, T.; Xiao, J. Association between Salivary Hormones, Dental Caries, and Cariogenic Microorganisms during Pregnancy. J. Clin. Med. 2024, 13, 3183. https://doi.org/10.3390/jcm13113183
Yang R, Lu X, Alomeir N, Quataert S, Wu T, Xiao J. Association between Salivary Hormones, Dental Caries, and Cariogenic Microorganisms during Pregnancy. Journal of Clinical Medicine. 2024; 13(11):3183. https://doi.org/10.3390/jcm13113183
Chicago/Turabian StyleYang, Ruqian, Xingyi Lu, Nora Alomeir, Sally Quataert, Tongtong Wu, and Jin Xiao. 2024. "Association between Salivary Hormones, Dental Caries, and Cariogenic Microorganisms during Pregnancy" Journal of Clinical Medicine 13, no. 11: 3183. https://doi.org/10.3390/jcm13113183
APA StyleYang, R., Lu, X., Alomeir, N., Quataert, S., Wu, T., & Xiao, J. (2024). Association between Salivary Hormones, Dental Caries, and Cariogenic Microorganisms during Pregnancy. Journal of Clinical Medicine, 13(11), 3183. https://doi.org/10.3390/jcm13113183

