Abstract
Background: Female sex in patients treated by radical cystectomy (RC) is associated with more advanced stage and worse survival. However, studies supporting these findings mostly or exclusively relied on urothelial carcinoma of the urinary bladder (UCUB) and did not address non-urothelial variant-histology bladder cancer (VH BCa). We hypothesized that female sex is associated with a more advanced stage and worse survival in VH BCa, similarly to that of UCUB. Materials and Methods: Within the SEER database (2004–2016), we identified patients aged ≥18 years, with histologically confirmed VH BCa, and treated with comprehensive RC. Logistic regression addressing the non-organ-confined (NOC) stage, as well as cumulative incidence plots and competing risks regression addressing CSM for females vs. males, were fitted. All analyses were repeated in stage-specific and VH-specific subgroups. Results: Overall, 1623 VH BCa patients treated with RC were identified. Of those, 38% were female. Adenocarcinoma (n = 331, 33%), neuroendocrine tumor (n = 304, 18%), and other VH (n = 317, 37%) were less frequent in females but not squamous cell carcinoma (n = 671, 51%). Across all VH subgroups, female patients had higher NOC rates than males did (68 vs. 58%, p < 0.001), and female sex was an independent predictor of NOC VH BCa (OR = 1.55, p = 0.0001). Overall, five-year cancer-specific mortality (CSM) were 43% for females vs. 34% for males (HR = 1.25, p = 0.02). Conclusion: In VH BC patients treated with comprehensive RC, female sex is associated with a more advanced stage. Independently of stage, female sex also predisposes to higher CSM.
1. Introduction
Sex has shown to be an important predictor of survival in urothelial carcinoma of the urinary bladder (UCUB) [1,2,3]. Specifically, radical cystectomy (RC) in female patients is associated with a more advanced stage and worse survival as compared with males [4,5,6,7,8]. However, studies supporting these findings mostly or exclusively relied on UCUB and did not address non-urothelial variant-histology bladder cancer (VH BCa), as reported in a recent systematic review and metanalysis by Uhlig et al. (59 studies, n = 69,666) [9]. Consequently, the association between sex and either advanced stage or worse survival in VH Bca treated with RC is unknown. To address this void, we relied on SEER database and examined four VH Bca subgroups: patients with squamous cell carcinoma (SCC), adenocarcinoma (ADK), neuroendocrine carcinoma (NE) and other types (other VH), according to the 2016 World Health Organization (WHO) classification [10,11]. Mixed histology is not coded in the SEER database; thus, these criteria reflect the predominant histologic subtype [12]. We hypothesized that female sex is associated with a more advanced stage and worse survival in VH BCa, similar to that of UCUB.
2. Materials and Methods
2.1. Study Population
Within the SEER database (2004–2016), we identified radical cystectomy (RC) patients, aged ≥ 18 years old, with a histologically confirmed diagnosis of BCa (International Classification of Disease for Oncology site code C67.0-9), and no distant metastasis according to the American Joint Committee on Cancer (AJCC), Seventh Edition. Only patients harboring VH BCa, consisting of either SCC, ADK, NE, and other types (other VH), were included. Moreover, in accord with previous methodology [8], only patients with comprehensive RC that included lymphadenectomy were selected [13]. Patients with disease confirmed by autopsy, death certificate-only cases, and patients exposed to radiotherapy were excluded.
2.2. Statistical Analysis
The analysis consisted of two main parts. First, we examined the association between female sex and non-organ-confined stage (NOC = T3-4 and/or N1-3) in univariable and multivariable logistic regression models (LRM) after adjustments for age. All analyses were then repeated in each of four VH-specific subgroups: SCC, ADK, NE, and other VH.
Second, we focused on cancer-specific mortality (CSM) according to female sex and relied on cumulative incidence plots and competing risks regression (CRR) models. Covariates consisted of age, T-stage, N-stage, chemotherapy (CHT), and further adjustment for other-cause mortality (OCM) was performed. All analyses were repeated after stratification according to stage-specific (NOC vs. organ-confined [OC]), as well as VH-specific subgroups (SCC, ADK, NE, other VH). All tests were two-sided with a level of significance set at p < 0.05 and R software for statistical computing and graphics (version 3.4.3) was used for all analyses.
3. Results
3.1. Descriptive Characteristics of Study Population
Overall, 1623 patients with VH BCa treated with RC were identified (Table 1). Of those, 38% were female. ADK was less frequent in females than in males (n = 331, 33%), NE (n = 304, 18%), and other VH (n = 317, 37%), but SCC was not (n = 671, 51%). No difference in median age was recorded between females vs. males (67 vs. 68 years).
Table 1.
Descriptive characteristics of 1623 VH BCa treated with RC patients, according to sex (female vs. male).
3.2. The Association of Sex with Non-Organ-Confined (NOC) VH BCa
Across all VH subtypes (Figure 1), female patients had higher NOC rates than males (68 vs. 58%, p < 0.001), and female sex was an independent predictor of NOC VH BCa (OR = 1.55, 95% CI 1.26−1.92, p < 0.001).
Figure 1.
Stacked bar plots depicting stage at presentation according to patient sex in the overall cohort of non-urothelial variant-histology bladder cancer (VH BCa) treated with radical cystectomy and within each VH-specific subgroup. Stages were defined as non-organ-confined (NOC) vs. organ-confined (OC). * p < 0.05.
After stratification according to VH-specific subgroups (Figure 1), female patients exhibited higher NOC rates in SCC (73% vs. 66%, p = 0.046) and ADK (71% vs. 59%, p = 0.040). In SCC and ADK subgroups, female sex was also an independent predictor of NOC VH BCa (Table 2). Conversely, no differences in NOC rates between females and males were detected in NE (62% vs. 54%, p = 0.3) and other VH (52% vs. 47%, p = 0.4). In NE and other VH, female sex was also not an independent predictor of NOC VH BCa (Table 2).
Table 2.
Multivariable logistic regression models predicting non-organ-confined (NOC) stage and multivariable competing risks regression models predicting cancer-specific mortality (CSM) according to sex (female vs. male) in the overall cohort of non-urothelial variant-histology bladder cancer (VH BCa) and within VH-specific subgroup: squamous cell carcinoma (SCC), adenocarcinoma (ADK), neuroendocrine tumor (NE), and other VHs.
3.3. Effect of Female Sex in Cancer-Specific Mortality (CSM)
3.3.1. CSM in the Overall Cohort
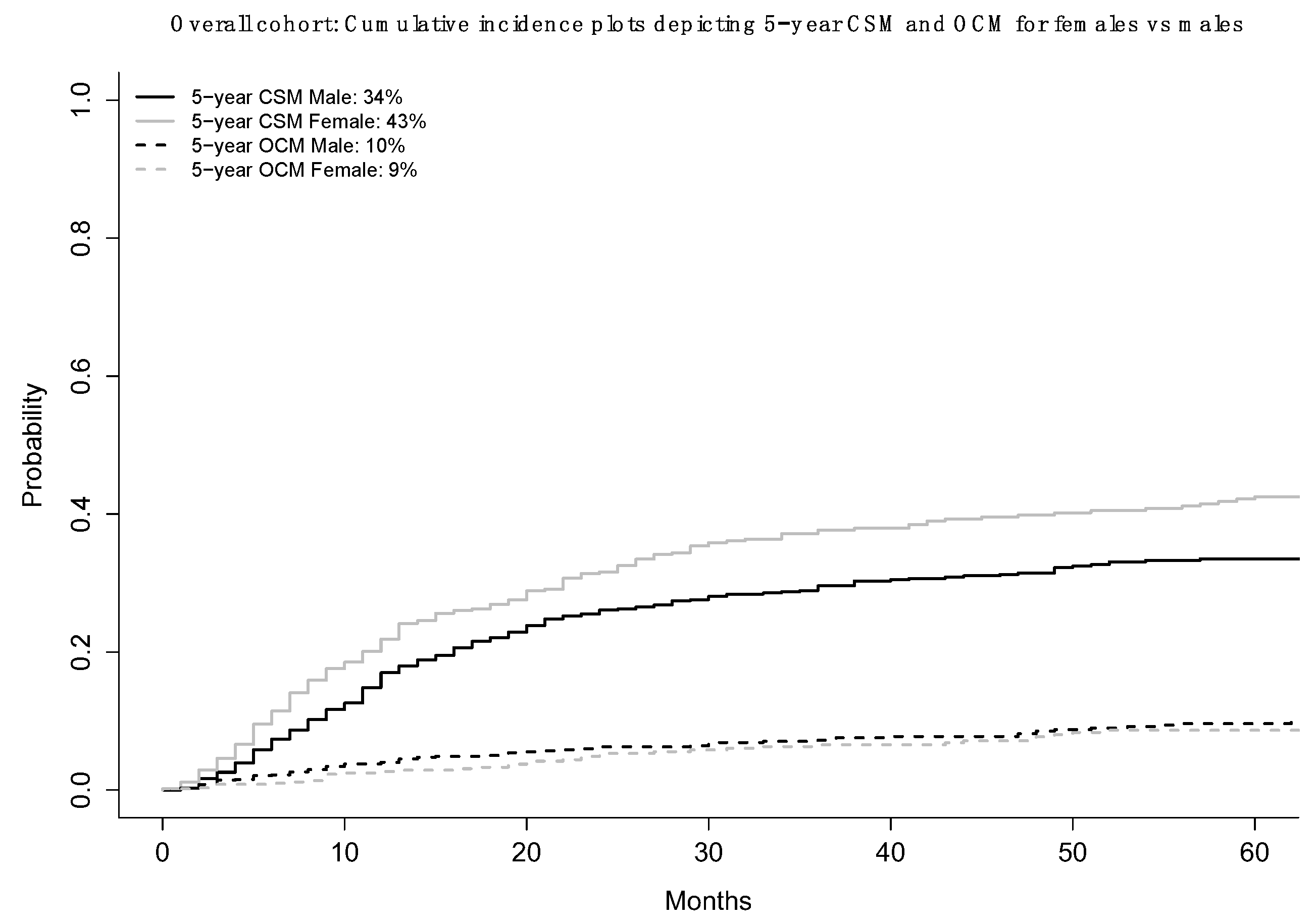
Across all VH subtypes (n = 1623), five-year CSM rates were 43% for females vs. 34% for males (Figure 2). This translated into a CRR HR of 1.25 (95% CI 1.04–1.50, p = 0.02) after adjustment for age, T-stage, N-stage, VH, CHT, and OCM (Table 2).
Figure 2.
Cumulative incidence plots depicting 5-year cancer-specific mortality (CSM) and 5-year other-cause mortality (OCM) in the overall cohort of non-urothelial variant-histology bladder cancer (VH BCa) according to sex (female vs. male).
3.3.2. CSM according to Stage-Specific Subgroups (OC vs. NOC)
In the OC subgroup (n = 623), five-year CSM rates were 21% for females vs. 15 % for males (Figure 3a). This translated into a CRR HR of 1.65 (95% CI 1.08–2.52, p = 0.02) after adjustment for age, T-stage, VH, CHT, and OCM (Table 2). In the NOC subgroup (n = 1000), five-year CSM rates were 54% for females vs. 48% for males (Figure 3b). This translated into a CRR HR of 1.17 (95% CI 0.96–1.43, p = 0.1) after adjustment for age, T-stage, N-stage, VH, CHT, and OCM (Table 2).
Figure 3.
Cumulative incidence plots depicting 5-year cancer-specific mortality (CSM) and 5-year other-cause mortality (OCM) according to sex (female vs. male) in both the organ-confined (OC) (a) as well as non-organ-confined (NOC) subgroup (b).
3.3.3. CSM according to VH-Specific Subgroups (SCC, ADK, NE, other VH)
In the SCC subgroup (n = 671), five-year CSM rates were 39% for females vs. 33% for males (Figure 4). This translated into a CRR HR of 1.33 (95% CI 1.01–1.75, p = 0.045), after adjustment for age, T-stage, N-stage, age, and OCM (Table 2).

Figure 4.
Cumulative incidence plots depicting 5-year cancer-specific mortality (CSM) and 5-year other-cause mortality (OCM), according to sex (female vs. male) in squamous cell carcinoma (SCC) (a), adenocarcinoma (ADK) (b), neuroendocrine tumor (NE) (c), and other VH subgroups (d).
In the ADK subgroup (n = 331), five-year CSM rates were 50% for females vs. 34% for males (Figure 4). This translated into a CRR HR of 1.39 (95% CI 0.94–2.06, p = 0.1) after adjustment for age, T-stage, N-stage, and OCM (Table 2). In the NE subgroup (n = 304), five-year CSM rates were 50% for females vs. 34% for males (Figure 4). This translated into a CRR HR of 1.24 (95% CI 0.77–2.00, p = 0.4) after adjustment for age, T-stage, N-stage, CHT, and OCM (Table 2). In the other VH subgroup (n = 317), five-year CSM rates were 41% for females vs. 33% for 142 males (Figure 4). This translated into a CRR HR of 1.06 (95% CI 0.69–1.63, p = 0.8) after adjustment for age, T-stage, N-stage, and OCM (Table 2).
4. Discussion
We hypothesized that female sex is associated with both pathologic stage and CSM in patients with VH BCa treated with comprehensive RC. Moreover, we tested whether CSM sex-related differences also apply to stage-specific and/or VH-specific subgroups. We tested these three hypotheses and observed important sex-related differences.
First, we identified 1623 patients with VH BCa treated with RC. Of those, 38% were females. Females were a minority in ADK (33%) and NE (18%), as well as other VHs (37%) but not in SCC (51%). These observations, except for SCC, agree with findings on UCUB treated with comprehensive RC, where Rosiello et al. reported a 23% female sex prevalence (SEER 2004–2016) [8]. Interestingly, recurrent urinary tract infections (UTIs) are a risk factor for SCC [14], and females are at increased risk of recurrent UTIs in comparison with males. Consequently, the prevalence of recurrent UTIs among females may represent an explanation for the high rate of SCC. We also observed sex-specific stage distribution differences. Specifically, females had NOC VH BCa more frequently than males when all VH patients were assessed (68% vs. 58%), as well as in SCC (73 vs. 66%) and ADK (71 vs. 59%) subgroups, but not in NE (62 vs. 54%) and other VH (52% vs. 47%) subgroups. Moreover, female sex was an independent predictor of NOC in the overall VH BCa cohort (OR 1.55, p = 0.0001), as well as in SCC (OR 1.40, p = 0.047) and ADK (OR 1.66, p = 0.044) subgroups, but not in NE (OR 1.38, p = 0.3) and other VH (OR 1.29, p = 0.3). Taken together, females represent a minority in VH BCa, except for the SCC subgroup where their proportion is virtually equally to that of males. However, females had NOC VH BCa more frequently than their male counterparts.
Second, we examined the association between female sex and CSM. Here, we accounted for other-cause mortality using CRR models to provide the most unbiased estimate of CSM [15]. In the overall VH BCa cohort, female sex was associated with higher CSM (HR 1.25, p = 0.02). In stage-specific subgroup analyses (NOC vs. OC), female sex was an independent predictor of higher CSM in OC (HR 1.65, p = 0.02), but not in NOC (HR 1.17, p = 0.1) subgroups. Finally, in VH-specific subgroup analyses, females exhibited higher five-year CSM rates in SCC (39 vs. 33%), ADK (50 vs. 34%), and NE (50 vs. 34%) subgroups, but not in the other VH (41% vs. 33%) subgroup. These differences translated into a statistically significant CRR HR for females vs. males only in SCC (1.33, p = 0.045). Moreover, a clinically meaningful CRR HR was also recorded in ADK (1.39, p = 0.1) and NE subgroups (1.24, p = 0.4), although both lacked statistical significance. Finally, neither statistically significant nor clinically meaningful differences in CSM were observed in the other VH subgroup (1.06, p = 0.8). These observations indicate that the female sex disadvantage is mostly operational in the OC and SCC subgroups. Moreover, female sex is also disadvantageous with respect to CSM in ADK and NE. However, the small sample size in these two subgroups potentially undermined the statistical significance of these results. The rarity of VH BCa and the even greater rarity of VH BCa-specific subgroups represents a major limiting factor in this part of the analysis.
Stage disadvantage in females may reflect a female-specific delay in BCa diagnosis. Indeed, sex-related differences in referral patterns were reported by Mansson et al. [16]. Specifically, a higher proportion of females vs. males with BCa were referred to a department other than urology (26.9% vs. 3.7%) for an initial hematuria work-up. Similarly, Ark et al. observed that females were less likely than males to be referred to a urologist (OR 0.59) [17]. Moreover, Cohn et al. reported significantly longer delays from initial hematuria diagnosis to urological assessment in females vs. males (85.4 vs. 73.6 days, p < 0.001) [18]. These findings are not surprising, since in females, most general practitioners associate microscopic or even gross hematuria with urinary tract infections [19]. Since delay in diagnosis tends to be greater in females than males, it may be postulated that such delay introduces a stage disadvantage in females, as was observed in the current study. These observations are consistent with previous findings regarding UCUB. Consequently, efforts should be made to maximally reduce or even eliminate diagnostic delays in all females patients at risk of BCa, including VH BCa [20,21]. The female sex disadvantage extends beyond stage at diagnosis. Specifically, female sex is associated with higher CSM after comprehensive RC. The current results validated this hypothesis in the overall VH BCa cohort, including highly statistically significant multivariable CRR HR, even after adjustment for OCM. Similarly, in the stage-specific subgroup analyses, a female-specific CSM disadvantage was observed in OC but not in NOC VH BCa after multivariable adjustments, even for OCM. Finally, in VH-specific subgroup analyses, female sex was associated with a higher CSM in SCC, as evidenced by statistically significant multivariable CRR HR, even after adjustment for OCM. Moreover, in the ADK and NE subgroups, female sex was associated with clinically meaningful higher CSM. However, the small sample size of these VH-specific subgroups undermines the statistical significance of these comparisons. Taken together, female sex clearly predisposes to worse CSM in the overall BCa cohort VH, and this effect is clearly detectable in SCC, ADK, and NE, but not in other VH subgroups.
It is important to emphasize the combined detrimental effect of female sex in both stage distribution (NOC) and CSM in VH BCa. Specifically, in the entire VH BCa cohort, as well as in the SCC subgroup, a highly statistically significant association between female sex and both NOC stage and CSM was observed. In consequence, it may be postulated that in VH BCa, female patients not only present with higher stage but independently of stage, female sex is also disadvantageous with respect to survival. This observation is consistent with the same two-step female disadvantage in UCUB reported by Rosiello et al. [8], where female sex is associated with a more advanced stage at presentation, and fully independently of stage, female sex is also associated with a higher CSM.
To the best of our knowledge, we are the first to report this association in patients with VH BC treated with comprehensive RC. Despite the novelty of our findings, our observations are limited in several regards. First, our findings are based on limited sample size, especially within VH-specific subgroup. However, the current cohort represents the largest group of patients with VH BCa treated with RC. Second, the SEER database does not include detailed preoperative information regarding (1) the time interval from diagnosis to RC, (2) the number of recurrences, (3) the use of intravesical therapy, (4) the number and extent of previous trans-urethral bladder tumor resection (TURBT), (5) TURBT completeness, (6) tumor multifocality, (7) tumor size, (8) presence of associated CIS, and (9) molecular or mutational characteristics, as well as other similar pathological variables that may have been systematically worse in women [22,23,24,25,26]. Third, a centralized pathology review is not available within the SEER database. Fourth, SEER database findings are applicable only to patients from the United States and are not generalizable to other healthcare settings. These, as well as all other limitations related to the retrospective, population-based nature of the SEER database, apply to this research and to other similar analyses that were based on other similar large-scale data repositories (National Cancer Data Base, National Inpatient Sample, SEER-Medicare, or National Surgical Quality Improvement Program).
However, no prospective studies investigating the role of sex in VH BCa treated with RC have been published so far. Consequently, the current findings represent the strongest, more robust, and most generalizable proof of the association of female sex with the outcome of VH BCa treated with RC.
5. Conclusions
In VH BC patients treated with comprehensive RC, female sex is associated with a more advanced stage. Fully independently of stage, female sex is also associated with a higher CSM.
Author Contributions
Conceptualization, P.I.K. and R.S.F. methodology, P.I.K. and R.S.F. software, Z.T., F.C., A.T., G.S., C.W. and B.H.; validation, P.I.K. and C.L.; formal analysis, Z.T.; investigation, U.A. and A.T.; resources, A.G.; data curation, R.S.F.; writing—original draft preparation, R.S.F. and A.T.; writing—review and editing, P.I.K.; visualization, P.I.K., A.M. and A.G.; supervision, S.F.S., P.I.K., A.B., F.M., F.S., F.K.H.C., C.T. and M.G.; project administration, F.D.G.; funding acquisition, F.D.G. and C.L. All authors have read and agreed to the published version of the manuscript.
Funding
This research received no external funding.
Institutional Review Board Statement
Not applicable.
Informed Consent Statement
Not applicable.
Data Availability Statement
The data presented in this study are openly available at https://seer.cancer.gov/.
Conflicts of Interest
The authors declare no conflict of interest.
References
- Scosyrev, E.; Noyes, K.; Feng, C.; Messing, E. Sex and racial differences in bladder cancer presentation and mortality in the US. Cancer 2009, 115, 68–74. [Google Scholar] [CrossRef] [PubMed]
- Radkiewicz, C.; Edgren, G.; Johansson, A.L.V.; Jahnson, S.; Häggström, C.; Akre, O.; Lambe, M.; Dickman, P.W. Sex Differences in Urothelial Bladder Cancer Survival. Clin. Genitourin. Cancer 2020, 18, 26–34. [Google Scholar] [CrossRef] [PubMed]
- Nakayama, M.; Ito, Y.; Hatano, K.; Nakai, Y.; Kakimoto, K.; Miyashiro, I.; Nishimura, K. Impact of sex difference on survival of bladder cancer: A population-based registry data in Japan. Int. J. Urol. 2019, 26, 649–654. [Google Scholar] [CrossRef]
- Kluth, L.A.; Rieken, M.; Xylinas, E.; Kent, M.; Rink, M.; Rouprêt, M.; Sharifi, N.; Jamzadeh, A.; Kassouf, W.; Kaushik, D.; et al. Gender-specific differences in clinicopathologic outcomes following radical cystectomy: An international multi-institutional study of more than 8000 patients. Eur Urol. 2014, 66, 913. [Google Scholar] [CrossRef]
- Otto, W.; May, M.; Fritsche, H.-M.; Dragun, D.; Aziz, A.; Gierth, M.; Trojan, L.; Herrmann, E.; Moritz, R.; Ellinger, J.; et al. Analysis of sex differences in cancer-specific survival and perioperative mortality following radical cystectomy: Results of a large german multicenter study of nearly 2500 patients with urothelial carcinoma of the bladder. Gend. Med. 2012, 9, 481–489. [Google Scholar] [CrossRef]
- Tufano, A.; Cordua, N.; Nardone, V.; Ranavolo, R.; Flammia, R.S.; D’Antonio, F.; Borea, F.; Anceschi, U.; Leonardo, C.; Morrione, A.; et al. Prognostic Significance of Organ-Specific Metastases in Patients with Metastatic Upper Tract Urothelial Carcinoma. J. Clin. Med. 2022, 11, 5310. [Google Scholar] [CrossRef]
- Messer, J.C.; Shariat, S.F.; Dinney, C.P.; Novara, G.; Fradet, Y.; Kassouf, W.; Karakiewicz, P.I.; Fritsche, H.-M.; Izawa, J.I.; Lotan, Y.; et al. Female gender is associated with a worse survival after radical cystectomy for urothelial carcinoma of the bladder: A competing risk analysis. Urology 2014, 83, 863–868. [Google Scholar] [CrossRef]
- Rosiello, G.; Palumbo, C.; Pecoraro, A.; Luzzago, S.; Deuker, M.; Stolzenbach, L.F.; Tian, Z.; Gallina, A.; Gandaglia, G.; Montorsi, F.; et al. The effect of sex on disease stage and survival after radical cystectomy: A population-based analysis. Urol. Oncol. Semin. Orig. Investig. 2021, 39, e1–e236. [Google Scholar] [CrossRef]
- Uhlig, A.; Hosseini, A.S.A.; Simon, J.; Lotz, J.; Trojan, L.; Schmid, M.; Uhlig, J. Gender Specific Differences in Disease-Free, Cancer Specific and Overall Survival after Radical Cystectomy for Bladder Cancer: A Systematic Review and Meta-Analysis. J. Urol. 2018, 200, 48–60. [Google Scholar] [CrossRef]
- Humphrey, P.A.; Moch, H.; Cubilla, A.L.; Ulbright, T.M.; Reuter, V.E. The 2016 WHO Classification of Tumours of the Urinary System and Male Genital Organs—Part B: Prostate and Bladder Tumours. Eur. Urol. 2016, 70, 106–119. [Google Scholar] [CrossRef] [PubMed]
- Flammia, R.S.; Chierigo, F.; Würnschimmel, C.; Wenzel, M.; Horlemann, B.; Tian, Z.; Borghesi, M.; Leonardo, C.; Tilki, D.; Shariat, S.F.; et al. Sex-related differences in non-urothelial variant histology, non-muscle invasive bladder cancer. Cent. Eur. J. Urol. 2022, 75, 240–247. [Google Scholar] [CrossRef]
- Deuker, M.; Martin, T.; Stolzenbach, F.; Rosiello, G.; Collà Ruvolo, C.; Karakiewicz, P.I. Bladder Cancer: A Comparison Between Non-urothelial Variant Histology and Urothelial Carcinoma Across All Stages and Treatment Modalities. Clin. Genitourin. Cancer 2021, 19, 60–68.e1. [Google Scholar] [CrossRef]
- Flaig, T.W.; Spiess, P.E.; Agarwal, N.; Bangs, R.; Boorjian, S.A.; Buyyounouski, M.K.; Chang, S.; Downs, T.M.; Efstathiou, J.A.; Friedlander, T.; et al. Bladder Cancer, Version 3.2020, NCCN Clinical Practice Guidelines in Oncology. J. Natl. Compr Cancer Netw. 2020, 18, 329–354. [Google Scholar] [CrossRef]
- Pottegård, A.; Kristensen, K.B.; Friis, S.; Hallas, J.; Jensen, J.B.; Nørgaard, M. Urinary tract infections and risk of squamous cell carcinoma bladder cancer: A Danish nationwide case-control study. Int. J. Cancer 2020, 146, 1930–1936. [Google Scholar] [CrossRef]
- Noon, A.; Albertsen, P.C.; Thomas, F.; Rosario, D.J.; Catto, J.W.F. Competing mortality in patients diagnosed with bladder cancer: Evidence of undertreatment in the elderly and female patients. Br. J. Cancer 2013, 108, 1534–1540. [Google Scholar] [CrossRef]
- Månsson, Å.; Anderson, H.; Colleen, S. Time lag to diagnosis of bladder cancer-influence of psychosocial parameters and level of health-care provision. Scand. J. Urol. Nephrol. 1993, 27, 363–369. [Google Scholar] [CrossRef]
- Ark, J.T.; Alvarez, J.R.; Koyama, T.; Bassett, J.C.; Blot, W.J.; Mumma, M.T.; Resnick, M.J.; You, C.; Penson, D.; Barocas, D.A. Variation in the Diagnostic Evaluation among Persons with Hematuria: Influence of Gender, Race and Risk Factors for Bladder Cancer. J. Urol. 2017, 198, 1033–1038. [Google Scholar] [CrossRef]
- Cohn, J.A.; Vekhter, B.; Lyttle, C.; Steinberg, G.D.; Large, M.C. Sex disparities in diagnosis of bladder cancer after initial resentation with hematuria: A nationwide claims-based investigation. Cancer 2014, 120, 555–561. [Google Scholar] [CrossRef]
- Santos, F.; Dragomir, A.; Kassouf, W.; Franco, E.; Aprikian, A. Urologist referral delay and its impact on survival after radical cystectomy for bladder cancer. Curr. Oncol. 2015, 22, 20–26. [Google Scholar] [CrossRef]
- Barocas, D.A.; Boorjian, S.A.; Alvarez, R.D.; Downs, T.M.; Gross, C.P.; Hamilton, B.D.; Kobashi, K.C.; Lipman, R.R.; Lotan, Y.; Ng, C.K.; et al. Microhematuria: AUA/SUFU Guideline. J. Urol. 2020, 204, 778–786. [Google Scholar] [CrossRef]
- Woldu, S.L.; Ng, C.K.; Loo, R.K.; Slezak, J.M.; Jacobsen, S.J.; Tan, W.S.; Kelly, J.D.; Lough, T.; Darling, D.; van Kessel, K.E.M.; et al. Evaluation of the New American Urological Association Guidelines Risk Classification for Hematuria. J. Urol. 2021, 205, 1387–1393. [Google Scholar] [CrossRef] [PubMed]
- Mir, C.; Shariat, S.F.; Van der Kwast, T.; Ashfaq, R.; Lotan, Y.; Evans, A.; Skeldon, S.; Hanna, S.; Vajpeyi, R.; Kuk, C.; et al. Loss of androgen receptor expression is not associated with pathological stage, grade, gender or outcome in bladder cancer: A large multi-institutional study. BJU Int. 2011, 108, 24–30. [Google Scholar] [CrossRef] [PubMed]
- Del Giudice, F.; Busetto, G.M.; Gross, M.S.; Maggi, M.; Sciarra, A.; Salciccia, S.; Ferro, M.; Sperduti, I.; Flammia, S.; Canale, V.; et al. Efficacy of three BCG strains (Connaught, TICE and RIVM) with or without secondary resection (re-TUR) for intermediate/high-risk non-muscle-invasive bladder cancers: Results from a retrospective single-institution cohort analysis. J. Cancer Res. Clin. Oncol. 2021, 147, 3073–3080. [Google Scholar] [CrossRef]
- Sorce, G.; Chierigo, F.; Flammia, R.S.; Hoeh, B.; Hohenhorst, L.; Tian, Z.; Goyal, J.A.; Graefen, M.; Terrone, C.; Gallucci, M.; et al. Survival trends in chemotherapy exposed metastatic bladder cancer patients and chemotherapy effect across different age, sex, and race/ethnicity. Urol. Oncol. 2022, 40, e19–e380. [Google Scholar] [CrossRef] [PubMed]
- Flammia, R.S.; Chierigo, F.; Würnschimmel, C.; Horlemann, B.; Gallucci, M.; Karakiewicz, P.I. Survival benefit of chemotherapy in a contemporary cohort of metastatic urachal carcinoma. Urol. Oncol. 2022, 40, 165.e9–165.e15. [Google Scholar] [CrossRef]
- Sorce, G.; Flammia, R.S.; Hoeh, B.; Chierigo, F.; Briganti, A.; Karakiewicz, P.I. Plasmacytoid variant urothelial carcinoma of the bladder: Effect of radical cystectomy and chemotherapy in non-metastatic and metastatic patients. World J. Urol. 2022, 40, 1481–1488. [Google Scholar] [CrossRef] [PubMed]
Disclaimer/Publisher’s Note: The statements, opinions and data contained in all publications are solely those of the individual author(s) and contributor(s) and not of MDPI and/or the editor(s). MDPI and/or the editor(s) disclaim responsibility for any injury to people or property resulting from any ideas, methods, instructions or products referred to in the content. |
© 2023 by the authors. Licensee MDPI, Basel, Switzerland. This article is an open access article distributed under the terms and conditions of the Creative Commons Attribution (CC BY) license (https://creativecommons.org/licenses/by/4.0/).




