Effects of Individualised High Positive End-Expiratory Pressure and Crystalloid Administration on Postoperative Pulmonary Function in Patients Undergoing Robotic-Assisted Radical Prostatectomy: A Prospective Randomised Single-Blinded Pilot Study
Abstract
1. Introduction
2. Methods
2.1. Study Design
2.2. Patient Cohort
2.3. Anaesthesia Protocol and Surgical Technique
2.4. Measurement of Perioperative Ventilation and Blood Oxygenation
2.5. Measurement of Postoperative Pulmonary Function, Body Weight and Brain Natriuretic Peptide
2.6. Study Aims
2.7. Statistics
2.7.1. Sample Size Considerations
2.7.2. Statistical Methods
2.8. Patient and Public Involvement
3. Results
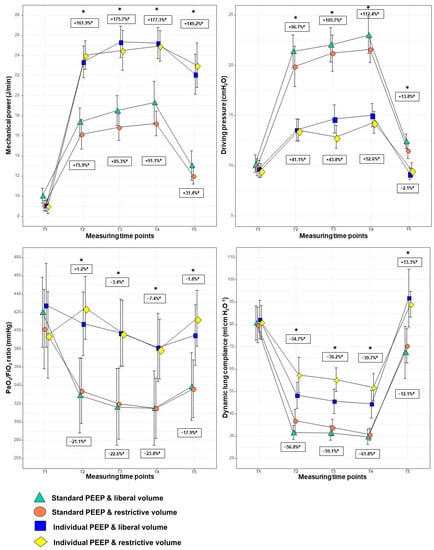
3.1. Perioperative Ventilation and Haemodynamic and Blood Oxygenation
3.2. Postoperative Pulmonary Function, Body Weight and Brain Natriuretic Peptide
4. Discussion
4.1. Perioperative Ventilation and Blood Oxygenation
4.2. Postoperative Pulmonary Function, Body Weight and Brain Natriuretic Peptide
4.3. Strengths and Limitations
5. Conclusions
Supplementary Materials
Author Contributions
Funding
Institutional Review Board Statement
Informed Consent Statement
Data Availability Statement
Acknowledgments
Conflicts of Interest
Abbreviations
| BE | base excess |
| BNP | brain natriuretic peptide |
| BMI | body mass index |
| COPD | chronic obstructive pulmonary disease |
| FEF25 | forced expiratory flow after one quarter of FVC |
| FEF50 | forced expiratory flow after half of FVC |
| FEF75 | forced expiratory flow after three quarter of FVC |
| FEF25-75 | mean forced expiratory flow |
| FEV1 | forced expiratory volume in one second |
| FEV1/FVC ratio | Tiffeneau index |
| FVC | forced vital capacity |
| LC | lung compliance |
| MAP | mean arterial blood pressure |
| MP | mechanical power |
| PaCO2 | partial pressure of arterial carbon dioxide |
| PaO2 | partial pressure of arterial oxygen |
| PBW | predicted body weight |
| Pdriv | driving pressure |
| PEEP | positive end-expiratory pressure |
| PEF | peak expiratory flow |
| P/F ratio | PaO2/FiO2 ratio |
| PIP | peak inspiratory pressure |
| RALP | robotic-assisted laparoscopic prostatectomy |
| RM | recruitment manoeuvre |
| RR | respiratory rate |
| SaO2 | arterial oxygen |
| SD | standard deviation |
| STP | steep Trendelenburg position |
| VC | vital capacity |
| VILI | ventilator-induced lung injury |
| VT | tidal volume |
References
- Tewari, A.; Sooriakumaran, P.; Bloch, D.A.; Seshadri-Kreaden, U.; Hebert, A.E.; Wiklund, P. Positive Surgical Margin and Perioperative Complication Rates of Primary Surgical Treatments for Prostate Cancer: A Systematic Review and Meta-Analysis Comparing Retropubic, Laparoscopic, and Robotic Prostatectomy. Eur. Urol. 2012, 62, 1–15. [Google Scholar] [CrossRef]
- Novara, G.; Ficarra, V.; Rosen, R.C.; Artibani, W.; Costello, A.; Eastham, J.A.; Graefen, M.; Guazzoni, G.; Shariat, S.F.; Stolzenburg, J.; et al. Systematic review and meta-analysis of perioperative outcomes and complications after robot-assisted radical prostatectomy. Eur. Urol. 2012, 62, 431–452. [Google Scholar] [CrossRef] [PubMed]
- Ficarra, V.; Novara, G.; Artibani, W.; Cestari, A.; Galfano, A.; Graefen, M.; Guazzoni, G.; Guillonneau, B.; Menon, M.; Montorsi, F.; et al. Retropubic, laparoscopic, and robot-assisted radical prostatectomy: A systematic review and cumulative analysis of comparative studies. Eur. Urol. 2009, 55, 1037–1063. [Google Scholar] [CrossRef] [PubMed]
- Danic, M.J.; Chow, M.; Alexander, G.; Bhandari, A.; Menon, M.; Brown, M. Anesthesia considerations for robotic-assisted laparoscopic prostatectomy: A review of 1500 cases. J. Robot. Surg. 2007, 1, 119–123. [Google Scholar] [CrossRef]
- Gainsburg, D.M. Anesthetic concerns for robotic-assisted laparoscopic radical prostatectomy. Minerva Anestesiol 2012, 78, 596–604. [Google Scholar]
- Scott Harris, R.; Hess, D.R.; Venegas, J.G. An Objective Analysis of the Pressure-Volume Curve in the Acute Respiratory Distress Syndrome. Am. J. Respir. Crit. Care Med. 2000, 161, 432–439. [Google Scholar] [CrossRef]
- O’Gara, B.; Talmor, D. Perioperative lung protective ventilation. BMJ 2018, 362, k3030. [Google Scholar] [CrossRef]
- Pham, T.; Brochard, L.J.; Slutsky, A.S. Mechanical Ventilation: State of the Art. Mayo Clin. Proc. 2017, 92, 1382–1400. [Google Scholar] [CrossRef] [PubMed]
- Fan, E.; Del Sorbo, L.; Goligher, E.C.; Hodgson, C.L.; Munshi, L.; Walkey, A.J.; Adhikari, N.; Amato, M.; Branson, R.; Brower, R.G.; et al. An Official American Thoracic Society/European Society of Intensive Care Medicine/Society of Critical Care Medicine Clinical Practice Guideline: Mechanical Ventilation in Adult Patients with Acute Respiratory Distress Syndrome. Am. J. Respir. Crit. Care Med. 2017, 195, 1253–1263. [Google Scholar] [CrossRef] [PubMed]
- Amato, M.B.P.; Meade, M.O.; Slutsky, A.S.; Brochard, L.; Costa, E.; Schoenfeld, D.A.; Stewart, T.E.; Briel, M.; Talmor, D.; Mercat, A.; et al. Driving Pressure and Survival in the Acute Respiratory Distress Syndrome. N. Engl. J. Med. 2015, 372, 747–755. [Google Scholar] [CrossRef] [PubMed]
- Serpa Neto, A.; Cardoso, S.O.; Manetta, J.A.; Pereira, V.G.M.; Espósito, D.C.; Pasqualucci, M.; Damasceno, M.; Schultz, M.J. Association between use of lung-protective ventilation with lower tidal volumes and clinical outcomes among patients without acute respiratory distress syndrome: A meta-analysis. JAMA 2012, 308, 1651–1659. [Google Scholar] [CrossRef]
- Stewart, R.M.; Park, P.K.; Hunt, J.P.; McIntyre, R.C.; McCarthy, J.; Zarzabal, L.A.; Michalek, J.E. Less Is More: Improved Outcomes in Surgical Patients with Conservative Fluid Administration and Central Venous Catheter Monitoring. J. Am. Coll. Surg. 2009, 208, 725–735. [Google Scholar] [CrossRef] [PubMed]
- Shin, C.H.; Long, D.R.; McLean, D.; Grabitz, S.D.; Ladha, K.; Timm, F.P.; Thevathasan, T.; Pieretti, A.; Ferrone, C.; Hoeft, A.; et al. Effects of Intraoperative Fluid Management on Postoperative Outcomes: A Hospital Registry Study. Ann. Surg. 2018, 267, 1084–1092. [Google Scholar] [CrossRef] [PubMed]
- Diaper, J.; Schiffer, E.; Barcelos, G.K.; Luise, S.; Schorer, R.; Ellenberger, C.; Licker, M. Goal-directed hemodynamic therapy versus restrictive normovolemic therapy in major open abdominal surgery: A randomized controlled trial. Surgery 2021, 169, 1164–1174. [Google Scholar] [CrossRef] [PubMed]
- Brandstrup, B.; Tønnesen, H.; Beier-Holgersen, R.; Hjortsø, E.; Ørding, H.; Lindorff-Larsen, K.; Rasmussen, M.S.; Lanng, C.; Wallin, L.; Iversen, L.H.; et al. Effects of intravenous fluid restriction on postoperative complications: Comparison of two perioperative fluid regimens: A randomized assessor-blinded multicenter trial. Ann. Surg. 2003, 238, 641–648. [Google Scholar] [CrossRef]
- Myles, P.S.; Bellomo, R.; Corcoran, T.; Forbes, A.; Peyton, P.; Story, D.; Christophi, C.; Leslie, K.; McGuinness, S.; Parke, R.; et al. Restrictive versus Liberal Fluid Therapy for Major Abdominal Surgery. N. Engl. J. Med. 2018, 378, 2263–2274. [Google Scholar] [CrossRef]
- Deane, A.M.; Reid, D.A.; Tobin, A.E. Predicted body weight during mechanical ventilation: Using arm demispan to aid clinical assessment. Crit. Care Resusc. 2008, 10, 14. [Google Scholar]
- Serpa Neto, A.; Deliberato, R.O.; Johnson, A.E.W.; Bos, L.D.; Amorim, P.; Pereira, S.M.; Cazati, D.C.; Cordioli, R.L.; Correa, T.D.; Pollard, T.J.; et al. Mechanical power of ventilation is associated with mortality in critically ill patients: An analysis of patients in two observational cohorts. Intensive Care Med. 2018, 44, 1914–1922. [Google Scholar] [CrossRef]
- Gattinoni, L.; Tonetti, T.; Quintel, M. Intensive care medicine in 2050: Ventilator-induced lung injury. Intensive Care Med. 2018, 44, 76–78. [Google Scholar] [CrossRef]
- Ponikowski, P.; Voors, A.A.; Anker, S.D.; Bueno, H.; Cleland, J.G.F.; Coats, A.J.S.; Falk, V.; González-Juanatey, J.R.; Harjola, V.; Jankowska, E.A.; et al. 2016 ESC Guidelines for the diagnosis and treatment of acute and chronic heart failure: The Task Force for the diagnosis and treatment of acute and chronic heart failure of the European Society of Cardiology (ESC)Developed with the special contribution of the Heart Failure Association (HFA) of the ESC. Eur. Heart J. 2016, 37, 2129–2200. [Google Scholar]
- Whitehead, A.L.; Julious, S.A.; Cooper, C.L.; Campbell, M.J. Estimating the sample size for a pilot randomised trial to minimise the overall trial sample size for the external pilot and main trial for a continuous outcome variable. Stat. Methods Med. Res. 2016, 25, 1057–1073. [Google Scholar] [CrossRef]
- Cocks, K.; Torgerson, D.J. Sample size calculations for pilot randomized trials: A confidence interval approach. J. Clin. Epidemiol. 2013, 66, 197–201. [Google Scholar] [CrossRef]
- Gattinoni, L.; Tonetti, T.; Cressoni, M.; Cadringher, P.; Herrmann, P.; Moerer, O.; Protti, A.; Gotti, M.; Chiurazzi, C.; Carlesso, E.; et al. Ventilator-related causes of lung injury: The mechanical power. Intensive Care Med. 2016, 42, 1567–1575. [Google Scholar] [CrossRef] [PubMed]
- Huhle, R.; Serpa Neto, A.; Schultz, M.J.; Gama de Abreu, M. Is mechanical power the final word on ventilator-induced lung injury?-no. Ann. Transl. Med. 2018, 6, 394. [Google Scholar] [CrossRef] [PubMed]
- Nestler, C.; Simon, P.; Petroff, D.; Hammermüller, S.; Kamrath, D.; Wolf, S.; Dietrich, A.; Camilo, L.M.; Beda, A.; Carvalho, A.R.; et al. Individualized positive end-expiratory pressure in obese patients during general anaesthesia: A randomized controlled clinical trial using electrical impedance tomography. Br. J. Anaesth. 2017, 119, 1194–1205. [Google Scholar] [CrossRef] [PubMed]
- Girrbach, F.; Petroff, D.; Schulz, S.; Hempel, G.; Lange, M.; Klotz, C.; Scherz, S.; Giannella-Neto, A.; Beda, A.; Jardim-Neto, A.; et al. Individualised positive end-expiratory pressure guided by electrical impedance tomography for robot-assisted laparoscopic radical prostatectomy: A prospective, randomised controlled clinical trial. Br. J. Anaesth. 2020, 125, 373–382. [Google Scholar] [CrossRef] [PubMed]
- Shono, A.; Katayama, N.; Fujihara, T.; Böhm, S.H.; Waldmann, A.D.; Ugata, K.; Nikai, T.; Saito, Y. Positive End-expiratory Pressure and Distribution of Ventilation in Pneumoperitoneum Combined with Steep Trendelenburg Position. Anesthesiology 2020, 132, 476–490. [Google Scholar] [CrossRef]
- Jun, J.-H.; Chung, R.K.; Baik, H.J.; Chung, M.H.; Hyeon, J.; Lee, Y.; Park, S. The tidal volume challenge improves the reliability of dynamic preload indices during robot-assisted laparoscopic surgery in the Trendelenburg position with lung-protective ventilation. BMC Anesth. 2019, 19, 142. [Google Scholar] [CrossRef]
- Mahjoub, Y.; Touzeau, J.; Airapetian, N.; Lorne, E.; Hijazi, M.; Zogheib, E.; Tinturier, F.; Slama, M.; Dupont, H. The passive leg-raising maneuver cannot accurately predict fluid responsiveness in patients with intra-abdominal hypertension. Crit. Care Med. 2010, 38, 1824–1829. [Google Scholar] [CrossRef]
- Kalmar, A.F.; Foubert, L.; Hendrickx, J.F.A.; Mottrie, A.; Absalom, A.; Mortier, E.P.; Struys, M.M.R.F. Influence of steep Trendelenburg position and CO(2) pneumoperitoneum on cardiovascular, cerebrovascular, and respiratory homeostasis during robotic prostatectomy. Br. J. Anaesth. 2010, 104, 433–439. [Google Scholar] [CrossRef]
- Kilic, O.F.; Börgers, A.; Köhne, W.; Musch, M.; Kröpfl, D.; Groeben, H. Effects of steep Trendelenburg position for robotic-assisted prostatectomies on intra- and extrathoracic airways in patients with or without chronic obstructive pulmonary disease. Br. J. Anaesth. 2015, 114, 70–76. [Google Scholar] [CrossRef]
- Piegeler, T.; Dreessen, P.; Graber, S.M.; Haile, S.R.; Schmid, D.M.; Beck-Schimmer, B. Impact of intraoperative fluid administration on outcome in patients undergoing robotic-assisted laparoscopic prostatectomy--a retrospective analysis. BMC Anesthesiol. 2014, 14, 61. [Google Scholar] [CrossRef] [PubMed]
- Cowie, M.R.; Struthers, A.D.; Wood, D.A.; Coats, A.J.; Thompson, S.G.; Poole-Wilson, P.A.; Sutton, G.C. Value of natriuretic peptides in assessment of patients with possible new heart failure in primary care. Lancet 1997, 350, 1349–1353. [Google Scholar] [CrossRef] [PubMed]
- Seino, Y.; Ogawa, A.; Yamashita, T.; Fukushima, M.; Ogata, K.; Fukumoto, H.; Takano, T. Application of NT-proBNP and BNP measurements in cardiac care: A more discerning marker for the detection and evaluation of heart failure. Eur. J. Heart Fail. 2004, 6, 295–300. [Google Scholar] [CrossRef]
- Lestar, M.; Gunnarsson, L.; Lagerstrand, L.; Wiklund, P.; Odeberg-Wernerman, S. Hemodynamic perturbations during robot-assisted laparoscopic radical prostatectomy in 45° Trendelenburg position. Anesth. Analg. 2011, 113, 1069–1075. [Google Scholar] [CrossRef] [PubMed]
- Pawlik, M.T.; Prasser, C.; Zeman, F.; Harth, M.; Burger, M.; Denzinger, S.; Blecha, S. Pronounced haemodynamic changes during and after robotic-assisted laparoscopic prostatectomy: A prospective observational study. BMJ Open 2020, 10, e038045. [Google Scholar] [CrossRef]
- Blecha, S.; Harth, M.; Schlachetzki, F.; Zeman, F.; Blecha, C.; Flora, P.; Burger, M.; Denzinger, S.; Graf, B.M.; Helbig, H.; et al. Changes in intraocular pressure and optic nerve sheath diameter in patients undergoing robotic-assisted laparoscopic prostatectomy in steep 45° Trendelenburg position. BMC Anesth. 2017, 17, 40. [Google Scholar] [CrossRef] [PubMed]
- Ferroni, M.C.; Abaza, R. Feasibility of robot-assisted prostatectomy performed at ultra-low pneumoperitoneum pressure of 6 mmHg and comparison of clinical outcomes vs standard pressure of 15 mmHg. BJU Int. 2019, 124, 308–313. [Google Scholar] [CrossRef]


| PEEP5 and Liberal Volume (n = 23) | PEEP5 and Restrictive Volume (n = 27) | PEEPIND and Liberal Volume (n = 24) | PEEPIND and Restrictive Volume (n = 24) | p-Value | |
|---|---|---|---|---|---|
| Age (years) | 65 (±6) | 63 (±7) | 64 (±7) | 64 (±9) | 0.846 |
| Height (cm) | 177 (±6) | 178 (±4) | 175 (±5) | 177 (±5) | 0.193 |
| Weight (kg) | 89 (±15) | 85 (±10) | 82 (±10) | 82 (±11) | 0.143 |
| BMI (kg/m²) | 28.2 (±3.5) | 26.6 (±3.2) | 26.8 (±3.4) | 26.13 (±3.0) | 0.177 |
| PBW (kg) | 72.8 (±5.2) | 73.7 (±3.9) | 70.9 (±4.8) | 72.7 (±4.5) | 0.193 |
| Volume/PBW * (mL/kg) | 30.8 (±2.3) | 15.5 (±2.6) | 29.6 (±2.8) | 15.8 (±2.8) | <0.001 |
| Volume/PBW/End of recovery room observation * (mL/kg/h) | 8.1 (±1.2) | 4.2 (±1.0) | 7.8 (±1.3) | 4.2 (±1.2) | <0.001 |
| Duration of surgery (min) | 165 (± 35) | 155 (± 33) | 165 (± 43) | 153 (± 35) | 0.532 |
| Duration of anaesthesia (min) | 228 (± 41) | 221 (± 39) | 235 (± 43) | 228 (± 39) | 0.703 |
| Parameters | Time Point | PEEP5 and Liberal Volume (n = 23) | PEEP5 and Restrictive Volume (n = 27) | PEEPIND and Liberal Volume (n = 24) | PEEPIND and Restrictive Volume (n = 24) | p-Value | ||||
|---|---|---|---|---|---|---|---|---|---|---|
| FVC (L) | Preoperative day | 4.40 (±0.83) | 4.25 (±0.84) | 4.02 (±0.61) | 4.30 (±0.63) | 0.339 | ||||
| Recovery room | 3.45 (±0.91) | −21.6% # | 3.46 (±0.89) | −18.6% # | 3.48 (±0.78) | −13.4% # | 3.42 (±0.74) | −20.5% # | 0.995 | |
| Postoperative day 1 | 3.39 (±0.86) | −23.0% # | 3.53 (±0.78) | −16.9% # | 3.48 (±0.71) | −13.4% # | 3.53 (±0.73) | −17.9% # | 0.912 | |
| Postoperative day 2 | 3.82 (±0.80) | −13.2% # | 3.77 (±0.81) | −11.3% # | 3.61 (±0.67) | −10.2% # | 3.79 (±0.66) | −11.9% # | 0.761 | |
| FEV1 (L) | Preoperative day | 3.18 (±0.65) | 3.13 (±0.58) | 3.05 (±0.6) | 3.21 (±0.44) | 0.786 | ||||
| Recovery room | 2.43 (±0.61) | −23.6% # | 2.42 (±0.67) | −22.7% # | 2.53 (±0.62) | −17.1% # | 2.44 (±0.59) | −24.0% # | 0.913 | |
| Postoperative day 1 | 2.51 (±0.66) | −21.1% # | 2.56 (±0.59) | −18.2% # | 2.7 (±0.57) | −11.5% # | 2.72 (±0.55) | −15.3% # | 0.548 | |
| Postoperative day 2 | 2.8 (±0.6) | −11.9% # | 2.69 (±0.61) | −14.1% # | 2.77 (±0.56) | −9.2% # | 2.89 (±0.54) | −10.0% # | 0.677 | |
| FEV1/FVC ratio (Tiffenau index) (%) | Preoperative day | 72.46 (±8.13) | 74.16 (±7.08) | 75.82 (±9.83) | 74.8 (±6.04) | 0.522 | ||||
| Recovery room | 71.44 (±9.71) | −1.4% # | 70.05 (±10.68) | −5,5% # | 72.81 (±9.42) | −3.9% # | 71.24 (±7.57) | −4.8% # | 0.781 | |
| Postoperative day 1 | 74.88 (±8.99) | +3.3% # | 72.52 (±8.65) | −2.2% # | 77.73 (±5.96) | +2.5% # | 77.37 (±7.35) | +3.4% # | 0.069 | |
| Postoperative day 2 | 73.67 (±7.55) | +1.7% # | 71.99 (±10.53) | −2.9% # | 76.76 (±5.98) | +1.2% # | 76.22 (±6.41) | +1.9% # | 0.119 | |
| FEF25 (L/s) | Preoperative day | 6.31 (±1.85) | 6.39 (±1.69) | 6.35 (±1.92) | 6.5 (±1.95) | 0.987 | ||||
| Recovery room | 4.66 (±1.65) | −26.1% # | 4.38 (±1.89) | −31.5% # | 4.62 (±1.82) | −27.2% # | 4.06 (±1.35) | −37.5% # | 0.589 | |
| Postoperative day 1 | 4.96 (±1.59) | −21.4% # | 5.02 (±2.14) | −21.4% # | 5.94 (±1.83) | −6.5% # | 5.42 (±1.4) | −16.6% # | 0.201 | |
| Postoperative day 2 | 5.25 (±1.66) | −16.8% # | 5.29 (±2.03) | −17.2% # | 5.70 (±1.78) | −10.2% # | 5.74 (±1.67) | −11.7% # | 0.683 | |
| FEF50 (L/s) | Preoperative day | 3.39 (±1.55) | 3.39 (±1.15) | 3.65 (±1.23) | 3.89 (±1.55) | 0.525 | ||||
| Recovery room | 2.58 (±1.19) | −23.9% # | 2.56 (±1.21) | −24.5% # | 2.85 (±1.09) | −21.9% # | 2.48 (±1.03) | −36.2% # | 0.698 | |
| Postoperative day 1 | 2.80 (±1.17) | −17.4% # | 2.67 (±0.97) | −21.2% # | 3.41 (±1.05) | −6.6% # | 3.32 (±1.20) | −14.7% # | 0.043 | |
| Postoperative day 2 | 2.92 (±1.21) | −13.9% # | 2.86 (±1.05) | −15.6% # | 3.47 (±1.23) | −4.9% # | 3.51 (±1.49) | −9.8% # | 0.136 | |
| FEF75 (L/s) | Preoperative day | 0.89 (±0.58) | 0.89 (±0.41) | 1.10 (±0.46) | 1.0 (±0.45) | 0.346 | ||||
| Recovery room | 0.72 (±0.37) | −19.1% # | 0.72 (±0.37) | −19.1% # | 0.80 (±0.34) | −27.3% # | 0.89 (±0.48) | −11.0% # | 0.382 | |
| Postoperative day 1 | 0.78 (±0.47) | −12.4% # | 0.79 (±0.41) | −11.2% # | 0.93 (±0.39) | −15.5% # | 0.99 (±0.62) | −1.0% # | 0.302 | |
| Postoperative day 2 | 0.83 (±0.45) | −6.7% # | 0.79 (±0.46) | −11.2% # | 0.91 (±0.29) | −17.3% # | 0.92 (±0.52) | −8.0% # | 0.664 | |
Disclaimer/Publisher’s Note: The statements, opinions and data contained in all publications are solely those of the individual author(s) and contributor(s) and not of MDPI and/or the editor(s). MDPI and/or the editor(s) disclaim responsibility for any injury to people or property resulting from any ideas, methods, instructions or products referred to in the content. |
© 2023 by the authors. Licensee MDPI, Basel, Switzerland. This article is an open access article distributed under the terms and conditions of the Creative Commons Attribution (CC BY) license (https://creativecommons.org/licenses/by/4.0/).
Share and Cite
Blecha, S.; Hager, A.; Gross, V.; Seyfried, T.; Zeman, F.; Lubnow, M.; Burger, M.; Pawlik, M.T. Effects of Individualised High Positive End-Expiratory Pressure and Crystalloid Administration on Postoperative Pulmonary Function in Patients Undergoing Robotic-Assisted Radical Prostatectomy: A Prospective Randomised Single-Blinded Pilot Study. J. Clin. Med. 2023, 12, 1460. https://doi.org/10.3390/jcm12041460
Blecha S, Hager A, Gross V, Seyfried T, Zeman F, Lubnow M, Burger M, Pawlik MT. Effects of Individualised High Positive End-Expiratory Pressure and Crystalloid Administration on Postoperative Pulmonary Function in Patients Undergoing Robotic-Assisted Radical Prostatectomy: A Prospective Randomised Single-Blinded Pilot Study. Journal of Clinical Medicine. 2023; 12(4):1460. https://doi.org/10.3390/jcm12041460
Chicago/Turabian StyleBlecha, Sebastian, Anna Hager, Verena Gross, Timo Seyfried, Florian Zeman, Matthias Lubnow, Maximilian Burger, and Michael T. Pawlik. 2023. "Effects of Individualised High Positive End-Expiratory Pressure and Crystalloid Administration on Postoperative Pulmonary Function in Patients Undergoing Robotic-Assisted Radical Prostatectomy: A Prospective Randomised Single-Blinded Pilot Study" Journal of Clinical Medicine 12, no. 4: 1460. https://doi.org/10.3390/jcm12041460
APA StyleBlecha, S., Hager, A., Gross, V., Seyfried, T., Zeman, F., Lubnow, M., Burger, M., & Pawlik, M. T. (2023). Effects of Individualised High Positive End-Expiratory Pressure and Crystalloid Administration on Postoperative Pulmonary Function in Patients Undergoing Robotic-Assisted Radical Prostatectomy: A Prospective Randomised Single-Blinded Pilot Study. Journal of Clinical Medicine, 12(4), 1460. https://doi.org/10.3390/jcm12041460

