Ultrasonography Measurement of Renal Dimension and Its Correlation with Age, Body Indices, and eGFR in Type 1 Diabetes Mellitus Patients: Real World Data in Taiwan
Abstract
1. Introduction
2. Materials and Methods
2.1. Data Source and Study Population
2.2. Statistical Analysis
3. Results
3.1. Subjects Characteristics
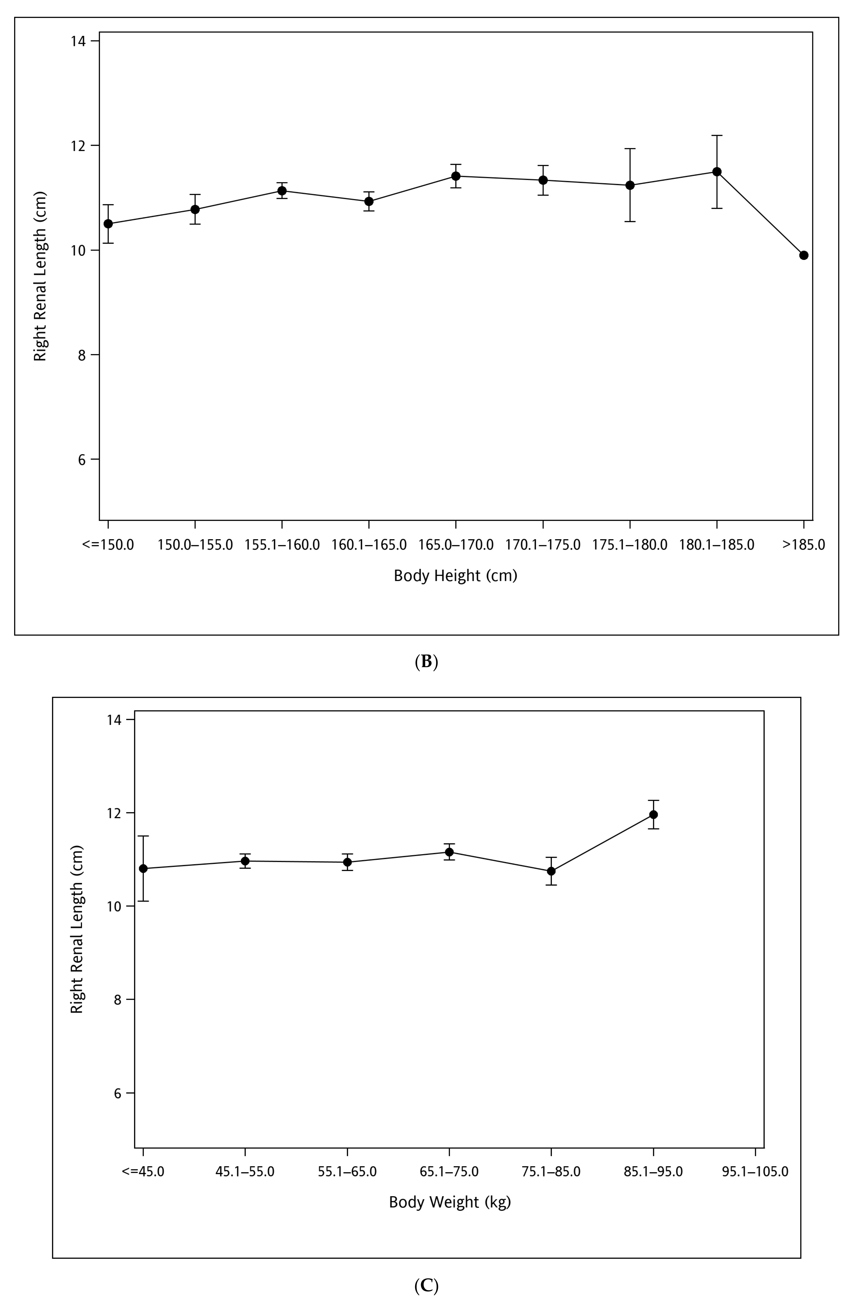
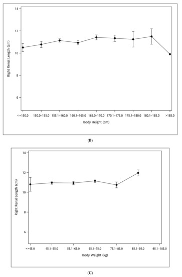
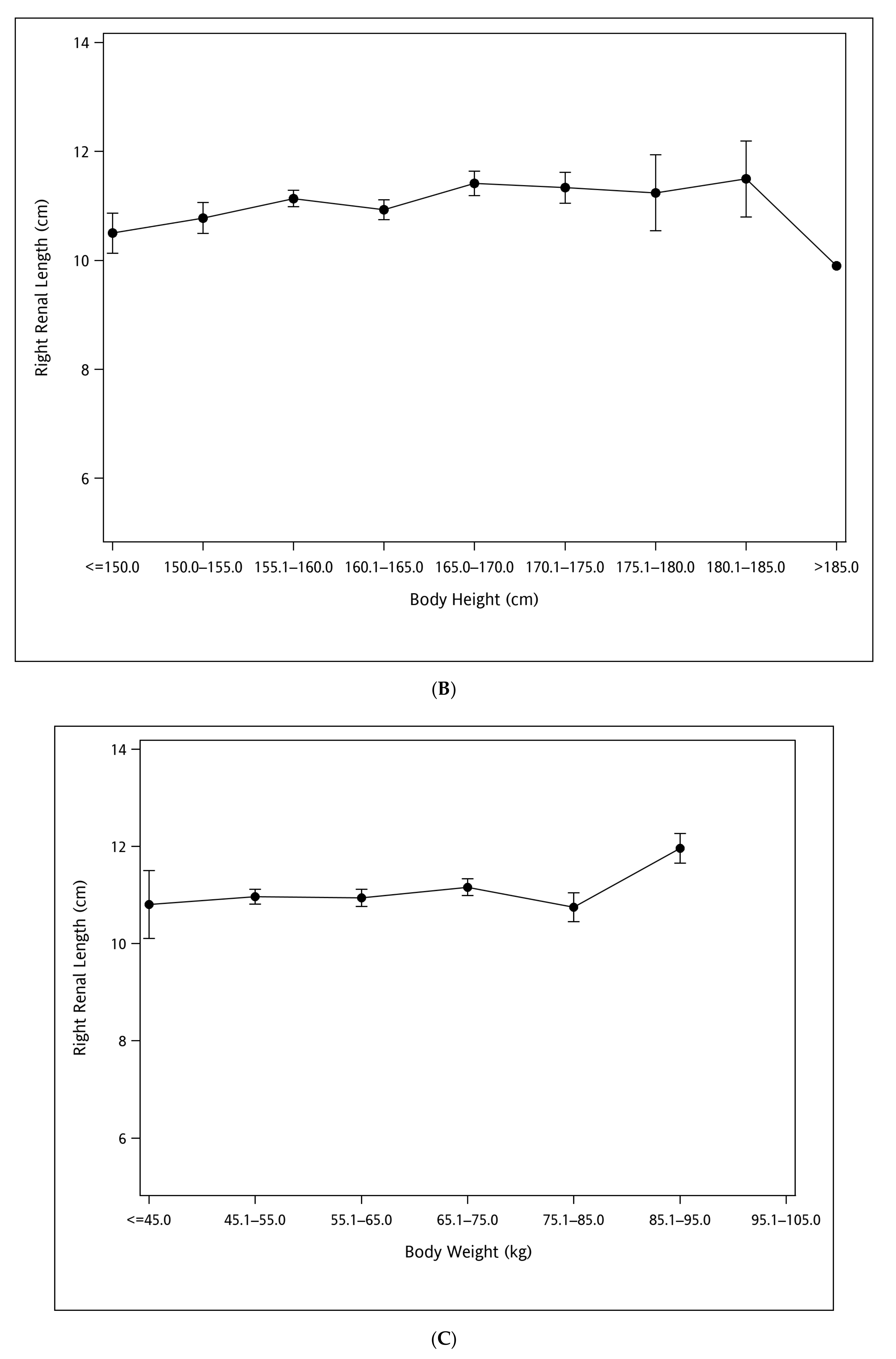
3.2. Correlations between Right Renal Length and the Body Indices in the T1DM Cohort
4. Discussion
5. Conclusions
Author Contributions
Funding
Institutional Review Board Statement
Informed Consent Statement
Data Availability Statement
Acknowledgments
Conflicts of Interest
References
- Norris, J.M.; Johnson, R.K.; Stene, L.C. Type 1 Diabetes-Early Life Origins and Changing Epidemiology. Lancet Diabetes Endocrinol. 2020, 8, 226–238. [Google Scholar] [CrossRef] [PubMed]
- Roep, B.O.; Thomaidou, S.; van Tienhoven, R.; Zaldumbide, A. Type 1 diabetes mellitus as a disease of the β-cell (do not blame the immune system?). Nat. Rev. Endocrinol. 2021, 17, 150–161. [Google Scholar] [CrossRef] [PubMed]
- DiMeglio, L.A.; Evans-Molina, C.; Oram, R.A. Type 1 diabetes. Lancet 2018, 391, 2449–2462. [Google Scholar] [CrossRef] [PubMed]
- Bjornstad, P.; Cherney, D.; Maahs, D.M. Early diabetic nephropathy in type 1 diabetes: New insights. Curr. Opin. Endocrinol. Diabetes Obes. 2014, 21, 279–286. [Google Scholar] [CrossRef]
- Orchard, T.J.; Nathan, D.M.; Zinman, B.; Cleary, P.; Brillon, D.; Backlund, J.Y.C.; Lachin, J.M. Association between 7 years of intensive treatment of type 1 diabetes and long-term mortality. JAMA 2015, 313, 45–53. [Google Scholar] [CrossRef]
- Lu, C.-L.; Chang, Y.-H.; Martini, S.; Chang, M.-F.; Li, C.-Y. Overall and Cause-Specific Mortality in Patients with Type 1 Diabetes Mellitus: A Population-Based Cohort Study in Taiwan from 1998 Through 2014. J. Epidemiol. 2021, 31, 503–510. [Google Scholar] [CrossRef]
- Su, H.-A.; Hsieh, H.-Y.; Lee, C.-T.; Liao, S.-C.; Chu, C.-H.; Wu, C.-H. Reference ranges for ultrasonographic renal dimensions as functions of age and body indices: A retrospective observational study in Taiwan. PLoS ONE 2019, 14, e0224785. [Google Scholar] [CrossRef]
- Christiansen, J.S.; Gammelgaard, J.; Frandsen, M.; Parving, H.H. Increased kidney size, glomerular filtration rate and renal plasma flow in short-term insulin-dependent diabetics. Diabetologia 1981, 20, 451–456. [Google Scholar] [CrossRef]
- Avram, M.; Hurtado, H. Renal size and function in diabetic nephropathy. Nephron 1989, 52, 259–261. [Google Scholar] [CrossRef]
- Shao, S.; Chan, Y.; Yang, Y.K.; Lin, S.; Hung, M.; Chien, R.; Lai, C.; Lai, E.C. The Chang Gung Research Database-A multi-institutional electronic medical records database for real-world epidemiological studies in Taiwan. Pharmacoepidemiol. Drug Saf. 2019, 28, 593–600. [Google Scholar] [CrossRef]
- Dziak, J.J.; Coffman, D.L.; Lanza, S.T.; Li, R.; Jermiin, L.S. Sensitivity and specificity of information criteria. Brief Bioinform. 2020, 21, 553–565. [Google Scholar] [CrossRef]
- Suzuki, Y.; Harada, M.; Matsuzawa, R.; Hoshi, K.; Koh, Y.M.; Aoyama, N.; Uemura, K.; Yamamoto, S.; Imamura, K.; Yoshikoshi, S.; et al. Trajectory of Serum Albumin Prior to Death in Patients Receiving Hemodialysis. J. Ren. Nutr. 2022, in press. [Google Scholar] [CrossRef]
- Niyyar, V.D.; O’Neill, W.C. Point-of-care ultrasound in the practice of nephrology. Kidney Int. 2018, 93, 1052–1059. [Google Scholar] [CrossRef]
- Romagnani, P.; Remuzzi, G.; Glassock, R.; Levin, A.; Jager, K.J.; Tonelli, M.; Massy, Z.; Wanner, C.; Anders, H.J. Chronic kidney disease. Nat. Rev. Dis. Prim. 2017, 3, 17088. [Google Scholar] [CrossRef]
- Wang, M.; Hsu, H.-C.; Yu, M.-C.; Wang, I.-K.; Huang, C.-C.; Chan, M.; Weng, C.-H.; Huang, W.-H.; Hsu, C.-W.; Huang, L.-M.; et al. Impact of kidney size on the outcome of diabetic patients receiving hemodialysis. PLoS ONE 2022, 17, e0266231. [Google Scholar] [CrossRef]
- Piras, D.; Masala, M.; Delitala, A.; Urru, S.A.M.; Curreli, N.; Balaci, L.; Ferreli, L.P.; Loi, F.; Atzeni, A.; Cabiddu, G.; et al. Kidney size in relation to ageing, gender, renal function, birthweight and chronic kidney disease risk factors in a general population. Nephrol. Dial. Transplant. 2020, 35, 640–647. [Google Scholar] [CrossRef]
- Nickavar, A.; Safaeian, B.; Zaeri, H.; Gharib, M.H.; Chaharnaei, T. Usefulness of Doppler ultrasound for the early diagnosis of diabetic nephropathy in type 1 diabetes mellitus. J. Ultrasound 2022, 25, 79–82. [Google Scholar] [CrossRef]
- Ökten, A.; Dinç, H.; Kul, M.; Kaya, G.; Çan, G. Renal duplex Doppler ultrasonography as a predictor of preclinical diabetic nephropathy in children. Acta Radiol. 1999, 40, 246–249. [Google Scholar] [CrossRef]
- Youssef, D.; Fawzy, F.; Dm, Y.; Fm, F. Value of renal resistive index as an early marker of diabetic nephropathy in children with type-1 diabetes mellitus. Saudi J. Kidney Dis. Transplant. 2012, 23, 985–992. [Google Scholar] [CrossRef]
- Mauer, S.M.; Lane, P.; Zhu, D.; Fioretto, P.; Steffes, M.W. Renal structure and function in insulin-dependent diabetes mellitus in man. J. Hypertens. 1992, 10, S17–S20. [Google Scholar] [CrossRef]
- Østerby, R.; Bangstad, H.-J.; Nyberg, G.; Rudberg, S. On glomerular structural alterations in type-1 diabetes. Companions of early diabetic glomerulopathy. Virchows Arch. 2001, 438, 129–135. [Google Scholar] [PubMed]





| Demographics, n = 220 | Value |
|---|---|
| Men | 85 (38.6%) |
| Women | 135 (61.4%) |
| Age (years) | 34.2 ± 18.3 |
| Body height (cm) | 160.7 ± 8.3 |
| Body weight (kg) | 61.1 ± 11.9 |
| BMI (kg/m2) | 23.6 ± 3.9 |
| eGFR (mL/min/1.73 m2) a | 60.0 (22, 84.5) |
| eGFR ≥ 60 | 75 (60.0, 112.0) |
| eGFR < 60 | 19.7 (7.8, 41.8) |
| Left renal length (cm) b | 10.9 ± 1.5 |
| Right renal length (cm) c | 11.0 ± 1.1 |
| Body Height | Body Weight | eGFR | Right Renal Length | ||
|---|---|---|---|---|---|
| Age | r | −0.0141 | 0.1829 | −0.2523 | −0.2268 |
| p-value | 0.8348 | 0.0065 | 0.0003 | 0.0007 | |
| Body height | r | - | 0.5248 | −0.1153 | 0.1835 |
| p-value | - | <0.0001 | 0.0997 | 0.0066 | |
| Body weight | r | - | - | −0.1063 | 0.1717 |
| p-value | - | - | 0.1294 | 0.0111 | |
| eGFR | r | - | - | - | 0.1529 |
| p-value | - | - | - | 0.0291 |
| Parameters | Group L | Group H | p-Value | ||
|---|---|---|---|---|---|
| N/Mean | %/S.D. | N/Mean | %/S.D. | ||
| Sex (male) | 60 | 57.14 | 14 | 20 | <0.0001 * |
| Sex (female) | 45 | 42.86 | 68 | 80 | |
| Age | 39.69 | 19.62 | 28.87 | 14.40 | 0.0002 * |
| BH | 162.33 | 8.62 | 159.24 | 8.31 | 0.0115 * |
| BW | 63.52 | 11.67 | 59.64 | 12.56 | 0.0171 * |
| BMI | 24.08 | 3.86 | 23.42 | 4.01 | 0.1471 |
| LL | 10.79 | 1.47 | 11.29 | 1.07 | 0.0141 * |
| RL | 10.82 | 1.11 | 11.28 | 1.05 | 0.0037 * |
| RL ≤ Ref. | 40 | 38.1 | 19 | 22.35 | 0.0197 * |
| RL > Ref. | 65 | 61.9 | 66 | 77.65 | |
Disclaimer/Publisher’s Note: The statements, opinions and data contained in all publications are solely those of the individual author(s) and contributor(s) and not of MDPI and/or the editor(s). MDPI and/or the editor(s) disclaim responsibility for any injury to people or property resulting from any ideas, methods, instructions or products referred to in the content. |
© 2023 by the authors. Licensee MDPI, Basel, Switzerland. This article is an open access article distributed under the terms and conditions of the Creative Commons Attribution (CC BY) license (https://creativecommons.org/licenses/by/4.0/).
Share and Cite
Su, H.-A.; Chen, J.-F.; Fu, C.-M.; Lee, Y.-T.; Wang, Y.; Huang, C.-C.; Chen, J.-B.; Lee, C.-T.; Wu, C.-H. Ultrasonography Measurement of Renal Dimension and Its Correlation with Age, Body Indices, and eGFR in Type 1 Diabetes Mellitus Patients: Real World Data in Taiwan. J. Clin. Med. 2023, 12, 1109. https://doi.org/10.3390/jcm12031109
Su H-A, Chen J-F, Fu C-M, Lee Y-T, Wang Y, Huang C-C, Chen J-B, Lee C-T, Wu C-H. Ultrasonography Measurement of Renal Dimension and Its Correlation with Age, Body Indices, and eGFR in Type 1 Diabetes Mellitus Patients: Real World Data in Taiwan. Journal of Clinical Medicine. 2023; 12(3):1109. https://doi.org/10.3390/jcm12031109
Chicago/Turabian StyleSu, Hsuan-An, Jung-Fu Chen, Chung-Ming Fu, Yueh-Ting Lee, Yi Wang, Chiang-Chi Huang, Jin-Bor Chen, Chien-Te Lee, and Chien-Hsing Wu. 2023. "Ultrasonography Measurement of Renal Dimension and Its Correlation with Age, Body Indices, and eGFR in Type 1 Diabetes Mellitus Patients: Real World Data in Taiwan" Journal of Clinical Medicine 12, no. 3: 1109. https://doi.org/10.3390/jcm12031109
APA StyleSu, H.-A., Chen, J.-F., Fu, C.-M., Lee, Y.-T., Wang, Y., Huang, C.-C., Chen, J.-B., Lee, C.-T., & Wu, C.-H. (2023). Ultrasonography Measurement of Renal Dimension and Its Correlation with Age, Body Indices, and eGFR in Type 1 Diabetes Mellitus Patients: Real World Data in Taiwan. Journal of Clinical Medicine, 12(3), 1109. https://doi.org/10.3390/jcm12031109

