Abstract
Background: There is growing interest in the quality of manual ventilation during cardiopulmonary resuscitation (CPR), but accurate assessment of ventilation parameters remains a challenge. Waveform capnography is currently the reference for monitoring ventilation rate in intubated patients, but fails to provide information on tidal volumes and inspiration–expiration timing. Moreover, the capnogram is often distorted when chest compressions (CCs) are performed during ventilation compromising its reliability during CPR. Our main purpose was to characterize manual ventilation during CPR and to assess how CCs may impact on ventilation quality. Methods: Retrospective analysis were performed of CPR recordings fromtwo databases of adult patients in cardiac arrest including capnogram, compression depth, and airway flow, pressure and volume signals. Using automated signal processing techniques followed by manual revision, individual ventilations were identified and ventilation parameters were measured. Oscillations on the capnogram plateau during CCs were characterized, and its correlation with compression depth and airway volume was assessed. Finally, we identified events of reversed airflow caused by CCs and their effect on volume and capnogram waveform. Results: Ventilation rates were higher than the recommended 10 breaths/min in 66.7% of the cases. Variability in ventilation rates correlated with the variability in tidal volumes and other ventilatory parameters. Oscillations caused by CCs on capnograms were of high amplitude (median above 74%) and were associated with low pseudo-volumes (median 26 mL). Correlation between the amplitude of those oscillations with either the CCs depth or the generated passive volumes was low, with correlation coefficients of −0.24 and 0.40, respectively. During inspiration and expiration, reversed airflow events caused opposed movement of gases in 80% of ventilations. Conclusions: Our study confirmed lack of adherence between measured ventilation rates and the guideline recommendations, and a substantial dispersion in manual ventilation parameters during CPR. Oscillations on the capnogram plateau caused by CCs did not correlate with compression depth or associated small tidal volumes. CCs caused reversed flow during inspiration, expiration and in the interval between ventilations, sufficient to generate volume changes and causing oscillations on capnogram. Further research is warranted to assess the impact of these findings on ventilation quality during CPR.
1. Introduction
Cardiopulmonary resuscitation (CPR) focuses on maintaining circulation and oxygenation of patients in cardiac arrest, pursuing restoration of spontaneous circulation (ROSC) [1,2]. Careful ventilation during CPR is key for adequate oxygen administration and carbon dioxide elimination [3]. Insufficient ventilation can result in hypoxemia, hypercapnia or acidosis [4,5,6], while hyperventilation is associated with adverse haemodynamic effects during cardiac arrest [7,8,9]. Also, high tidal volumes or inspiratory flows can produce high airway pressures, increasing the risk of gastric inflation and pulmonary aspiration [3,10].
Current 2020 resuscitation guidelines support the use of mouth-to-mouth or bag-mask ventilation and of advanced airway, using either a supraglottic airway or endotracheal intubation [11,12]. For non-intubated patients, guidelines recommend alternating cycles of 30 chest compressions (CCs) with two rescue breaths. After intubation, guidelines recommend ventilation at a rate of 10 breaths/min with uninterrupted CCs. Each breath should take about 1 s of inspiration time and be enough to produce a visible chest rise (approximately 500–600 mL) [12,13]. It is also recommended to closely monitor the quality of ventilation once ROSC has been achieved [14] and to monitor oxygenation to avoid episodes of hypoxia or hyperoxia, which are associated with poor outcomes [15,16].
There is increasing interest in advanced monitoring of the quality of manual ventilation during CPR [3,17]. However, the data available in the clinical setting are normally very limited. In fact, the ventilation rate is the only parameter routinely monitored by the advanced life support (ALS), generally using capnography [18,19,20]. Although waveform capnography is currently the reference for ventilation rate monitoring in intubated patients, it has severe limitations. To begin with, the capnogram fails to provide detailed information regarding other ventilation components such as tidal volumes, inspiration and expiration times, airway flow or airway pressure [17]. Recording these ventilation parameters requires specific measurement equipment [21,22], and clinical studies compiling these data are scarce [3,23]. Moreover, CCs often induce oscillations on the capnogram that are synchronised with the frequency of CCs [24]. This phenomenon limits the accuracy of the measured ventilation rate and end-tidal CO2 (ETCO2) value [24,25]. In addition, pressure changes in the thorax caused by CCs produce passive ventilations with tidal volumes insufficient for adequate gas exchange [22,26,27,28]. However, there is little information on the relationship between the effects of CCs on capnography, airway flow and volume signals.
In this context, the purpose of this observational retrospective study was twofold. First, we sought to characterize manual ventilation during ALS in intubated adult patients suffering from cardiac arrest. To that end, we calculated several parameters from signals extracted from two different databases. Second, we focused on studying the effect of continuous CCs on ventilation. Specifically, we analysed whether the amplitudes of the oscillations induced in the capnogram were related to the depth of the CCs and to the pseudo-volumes generated by the CCs. We also examined how airflow and volume are altered by CCs during the ventilatory cycle, and how this impacts the capnogram. Our research may contribute to increased knowledge on optimal management of ventilation.
2. Materials and Methods
2.1. Data Collection
Episodes included in the study were collected from two databases. Several episodes were extracted from a large database of adult out-of-hospital cardiac arrest (OHCA) recordings collected from 2011 through 2016 by Tualatin Valley Fire & Rescue (TVF&R), an ALS first response emergency medical services (EMS) agency serving eleven incorporated cities in Oregon, USA. This database is part of the Resuscitation Outcomes Consortium (ROC) Epidemiological Cardiac Arrest Registry. The second database consists of episodes of cardiac arrest collected by the Department of Emergency Medicine, Medical University of Vienna (MUV), from 2012 through 2014 [29]. Most patients were transported to the intensive care unit (ICU) by the ambulance service after suffering OHCA. Patients experiencing cardiac arrest within the hospital outside ICU were also transported internally to the Department of Emergency Medicine’s ICU. Patients were included in the study if they were in cardiac arrest on arrival to the ICU and underwent CPR. Data collections were approved by the Oregon Health & Science University (OHSU) Institutional Review Board (IRB00001736, approved on 10 October 2005) and by the Ethik kommission of Medizinische Universität Wien (EK-Nr: 1574/2012, approved on 3 September 2012, [https://ekmeduniwien.at/core/catalog/2012, (accessed on 1 November 2023)]), respectively. These databases are hereinafter referred to as TVF&R and MUV, respectively.
Episodes from the TVF&R database were recorded with Heartstart MRx monitor-defibrillators (Philips Healthcare, Andover, MA, USA), equipped with real-time CPR feedback technology (Q-CPR, Philips Healthcare, USA). CCs and ventilations were provided manually. Ventilation was provided with a bag-valve-mask or an advanced airway, either endotracheal tube or the King LT-D (supraglottic) device. Capnography was acquired using sidestream technology (Microstream, Oridion Systems Ltd., Jerusalem, Israel).
For the MUV database, a NICO Cardiopulmonary Management System monitor (Novametrix Medical Systems Inc., Wallingford, CT, USA) was used to record capnography, ventilation flow, ventilation volume and airway pressure, and finger photoplethysmography (PPG). In addition, arterial blood pressure (ABP), measured from a catheter in the radial artery, was recorded using a Philips Intellivue® (Philips GmbH, Vienna, Austria) bedside monitor. CCs were applied either manually or mechanically using LUCAS® devices. Endotracheal intubation was used for airway management. After intubation, ventilations were provided manually until the patient was connected to a mechanical ventilator.
2.2. Data Inclusion
2.2.1. TVF&R Database
The signals of interest required for the study were the capnogram, the compression depth signal measured by the Q-CPR technology (based on force and acceleration sensors), and the transthoracic impedance (TI) signal acquired from defibrillation pads. Episodes with at least 20 min of continuous and concurrent signals, and with a minimum of 500 CCs, were included in the study [24]. All signals were visually inspected using custom-made software tools (Matlab R2021a) (Matlab®, Natick, MA, USA). Intervals with unreliable raw TI signal or capnogram caused by disconnections or excessive noise were discarded.
2.2.2. MUV Database
Recordings with continuous and concurrent airflow, volume, capnogram, ABP and PPG signals were extracted from the MUV database, and visually inspected using custom-made Matlab software tools (Matlab R2021a). Only patients whose recordings showed intervals with manual ventilations during ongoing CCs were included in the study. Intervals with disconnections or excessive noise were discarded. The transition from manual to automated ventilation was assessed by locating the instant where the airflow waveform changed to the characteristic pattern of automated ventilation. The presence of CCs was confirmed by observing the ABP and PPG signals.
2.3. Data Annotation and Methodology
In this section, we describe the specific procedure of signal processing and data annotation defined for each of the analyses conducted in this study.
2.3.1. Assessment of Ventilation Quality Parameters
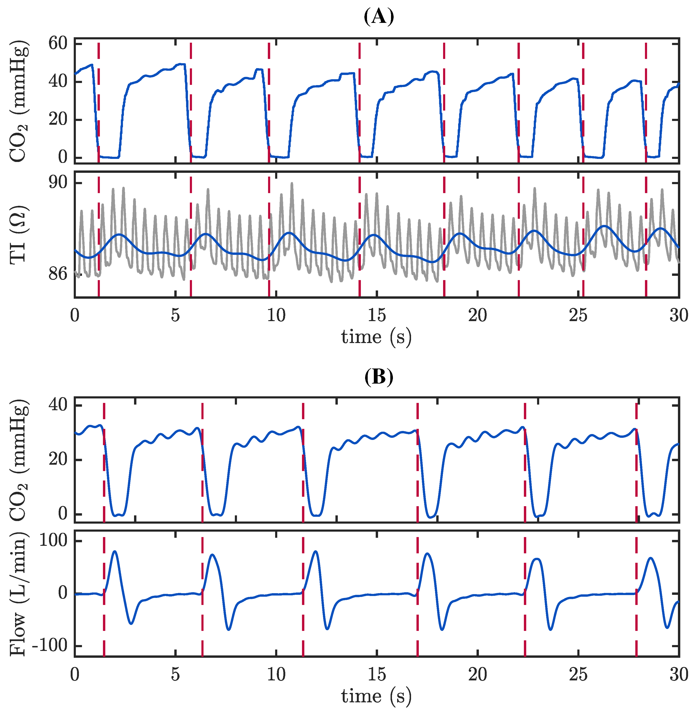
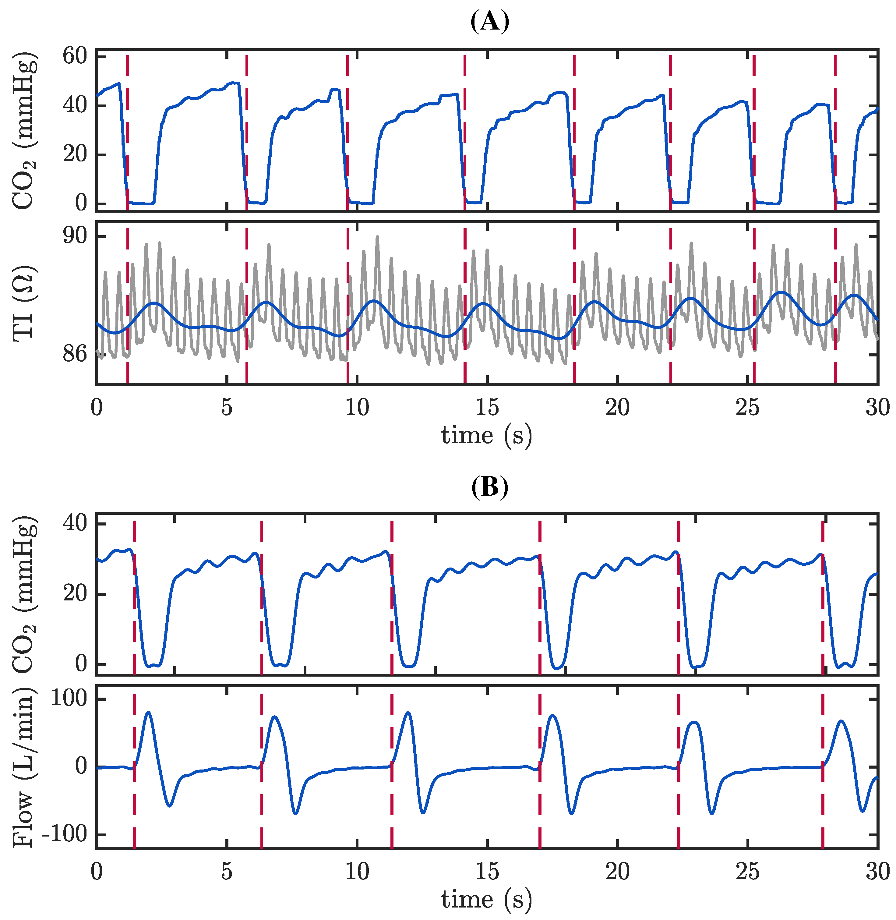
Individual ventilations were manually identified using the capnogram and the TI signal in the TVF&R database (Figure 1, panel A). The TI was low pass filtered to suppress the fast oscillations caused by CCs and thus emphasize the characteristic fluctuation associated with each ventilation (blue tracing in the bottom graph in panel A). Similarly, we annotated ventilations using the capnogram and the airflow signal in the MUV database (Figure 1, panel B). Ventilation rate was measured as the inverse of the time interval between consecutive ventilations, expressed in ventilations per minute (vpm).
Figure 1.
Example of ventilation annotation in the TVF&R (A) and MUV (B) databases. The red dashed lines represent each individual ventilation. (A) Ventilations were annotated using the capnogram (top) and the TI signal (bottom). The raw TI (grey) was low pass filtered to suppress fast oscillations caused by CCs and enhance the ventilation TI component (blue). (B) Ventilations annotated using the capnogram (top) and the airflow signal (bottom).
Additional ventilation parameters, not available routinely, were annotated using the airflow, volume and pressure in the MUV database. Signals were low-pass filtered to suppress the artefact induced by CCs. The beginning and end of each ventilation cycle and the peak inspiratory flow were annotated using the airflow. Then, using the volume and pressure signals, the peak volume and peak pressure of each ventilation were annotated. Figure 2 shows an example of the annotated values in a 30 s ventilation interval. Each ventilation was characterized by the following parameters: tidal volume (top panel, red dots), peak inspiratory flow (middle panel, red dots), peak airway pressure (bottom panel, red dots), ventilation duration, and inspiration and expiration time. Minute volume per selected interval was computed. Also, the coefficient of variation in the tidal volume between consecutive ventilations was calculated, that is, the standard deviation of the tidal volume per ventilation expressed as a percent of the mean tidal volume, in blocks of five consecutive ventilations.
Figure 2.
Example of data annotation of additional ventilation parameters in the MUV database. From top to bottom: volume signal with the peak volume per ventilation annotated with red dots; airway flow signal showing the beginning (red dashed lines) and end (red dotted lines) of each ventilation and the peak inspiratory flow (red dots); airway pressure signal with the peak value per ventilation (red dots).
2.3.2. Characterization of the Capnogram Oscillation and Its Relationship with Compression Depth
A high incidence of oscillations on waveform capnography during CCs has been previously reported [24,30]. In a previous work, we categorized the oscillation patterns qualitatively as Type I and Type III (located in the expiratory plateau) and Type II (located in the baseline). Then, we conducted an spectral analysis to conclude that the frequency of the oscillations observed in the capnograms matched the frequency of CCs [24]. In the present study, our aim was to objectively measure the amplitude of the oscillations on the capnogram plateau and to assess whether this amplitude was related to the compression depth achieved with each corresponding CC.
For this purpose, the capnogram and the compression depth signal of a convenience sample of TVF&R recordings were examined. Using the annotations of individual ventilations, segments between consecutive ventilations with presence of CCs were identified. The ETCO2 value was annotated for each ventilation. Oscillations in the capnogram plateau were isolated and characterized by their amplitude, . Then, the percentage drop of CO2 concentration caused by each CCs, was computed as:
Each calculated was associated with the compression depth of each CC measured in the compression depth signal. Figure 3 shows an example of the annotation procedure. The presence of CCs can be tracked in the compression depth signal, concurrent with the oscillations appearing in the capnogram plateau (Figure 3, panel A). The interval delineated by the green dotted vertical lines is expanded in panel B. Along with the values of , the maximum CC-depths were annotated.
Figure 3.
Annotation of parameter and corresponding CC-depth, dcci, in the TVF&R database. (A) Capnogram tracing (top) showing oscillations caused by CCs, which can be distinguished in the compression depth signal (bottom). (B) Expansion of the segment between green dotted lines in panel A, illustrating in detail the annotations.
2.3.3. Characterization of the Capnogram Oscillation and Its Relationship with Associated Pseudo-Volume
A second analysis was conducted using the ventilatory signals contained in the MUV database. Using a similar procedure, values were calculated. In this case, we wanted to assess the relationship between and the tidal volumes caused by CCs. For that purpose, the airflow signal was high-pass filtered to isolate the changes in the airflow caused by CCs (CC-flow component) and the volume attributable to CCs was calculated by integration of the CC-flow signal (CC-volume component). Figure 4A shows an example of the annotation of the segments of interest. The presence of CCs can be tracked in the ABP and PPG signals, concurrent with the oscillations appearing in the capnogram plateau. The grey trace in the bottom panel correspond to the raw airway flow. The red trace depicts the high-pass filtered flow highlighting the changes in the airway flow pattern caused by CCs in isolation. The specific interval delineated by the green dotted vertical lines is expanded in Figure 4B. Along with the values of , the maximum volume caused by each CC, i.e., passive volume, Vi, and the maximum inspiratory flow value caused by each CC, Fi, were annotated.
Figure 4.
Annotation of parameter , CC-volume Vi and CC-flow Fi in the MUV database. (A) From top to bottom: PPG and ABP signals showing the onset of CCs from second 4 onwards. Third panel: the capnogram tracing is affected by CCs. Forth and fifth panels: volume and airflow signals. The raw flow (grey line) was high pass filtered to enhance CCs activity (CC-flow. red line). a.u.: arbitrary units. (B) Expansion of the segment between green dotted lines in panel A, illustrating in detail the annotations.
In addition, we estimated the anatomical dead space per patient. For this purpose, the volumetric capnogram was derived through the analysis of the capnogram and volume signal of ventilations during pauses in CCs to ensure the integrity of the signals [31]. Figure 5 represents the volumetric capnogram for a single ventilation, i.e., the concentration as a function of volume during exhalation. The vertical red line was obtained by equating the areas p and q, and the value in the x-axis corresponds to the volume of the anatomical dead space (141 mL in the example), thus providing an effective measurement of the exchanged gas volume lost in the airway.
Figure 5.
Volumetric capnogram of a ventilatory cycle annotated in the MUV database, representing the exhaled as a function of the exhaled volume in a single ventilation. The red dashed-dotted vertical line, where the areas p and q are equal, indicates the volume of the anatomical dead space.
2.3.4. The Role of Reversed Airflow
We extended our analysis to examine the effects of CCs on the airflow and volume signals and their impact on the waveform capnography along the whole ventilatory cycle. Particularly, we wanted to analyse to what extent changes in the airway flow affect the integrity of the capnogram waveform. Previous authors described the term reversed flow (RF) as the change in the direction of the gas flow during inspiration [32,33]. In our study, we extended the analysis to the whole ventilation cycle. In the absence of CCs, (Figure 2), the airflow is positive during inspiration, reflecting the forward direction of the gas supply; during expiration, the airflow is negative, reflecting the expired gas, and tends to zero at the end of expiration; finally, the airflow is zero in the interval between consecutive ventilations (resting). During CCs, this analysis becomes challenging. We examined our recordings to carefully locate deviations from the conventional airflow pattern attributable to CCs.
2.3.5. Statistical Analysis
Distributions of the ventilation parameters were reported as median (IQR) and depicted using boxplots. Relationships between parameters were analysed using scatter plots and linear regression characterized by the Pearson correlation coefficient, R. Descriptive results are supported by graphical examples.
3. Results
3.1. Assessment of Ventilation Quality Parameters
We examined a total of 52,654 ventilations from 232 patients from the TVF&R database, with a mean (STD) number of ventilations per patient of 227 (118). Patients were 64 (56–75) years of age, and 29% were females. The first recorded rhythm was shockable (ventricular fibrillation/pulseless ventricular tachycardia) in 38% of cases, pulseless electrical activity in 27%, and asystole in 31%. ROSC was achieved in the field in 59% of the patients and 14% were discharged alive. Median (IQR) ventilation rate was 13.3 (8.6–19.6) vpm. A total of 66.7% of the ventilations were delivered over 10 vpm, 42.4% over 15 vpm, and 23.5% over 20 vpm.
We examined the recordings from the 19 patients included in the MUV database [29]. Only four patients met the requirement of being characterised by signals of sufficient quality for the required annotations during ongoing CCs. A total of 1414 manual ventilations were annotated and characterized. All patients were male and 75% achieved ROSC during the intervention. No further patient data were available.
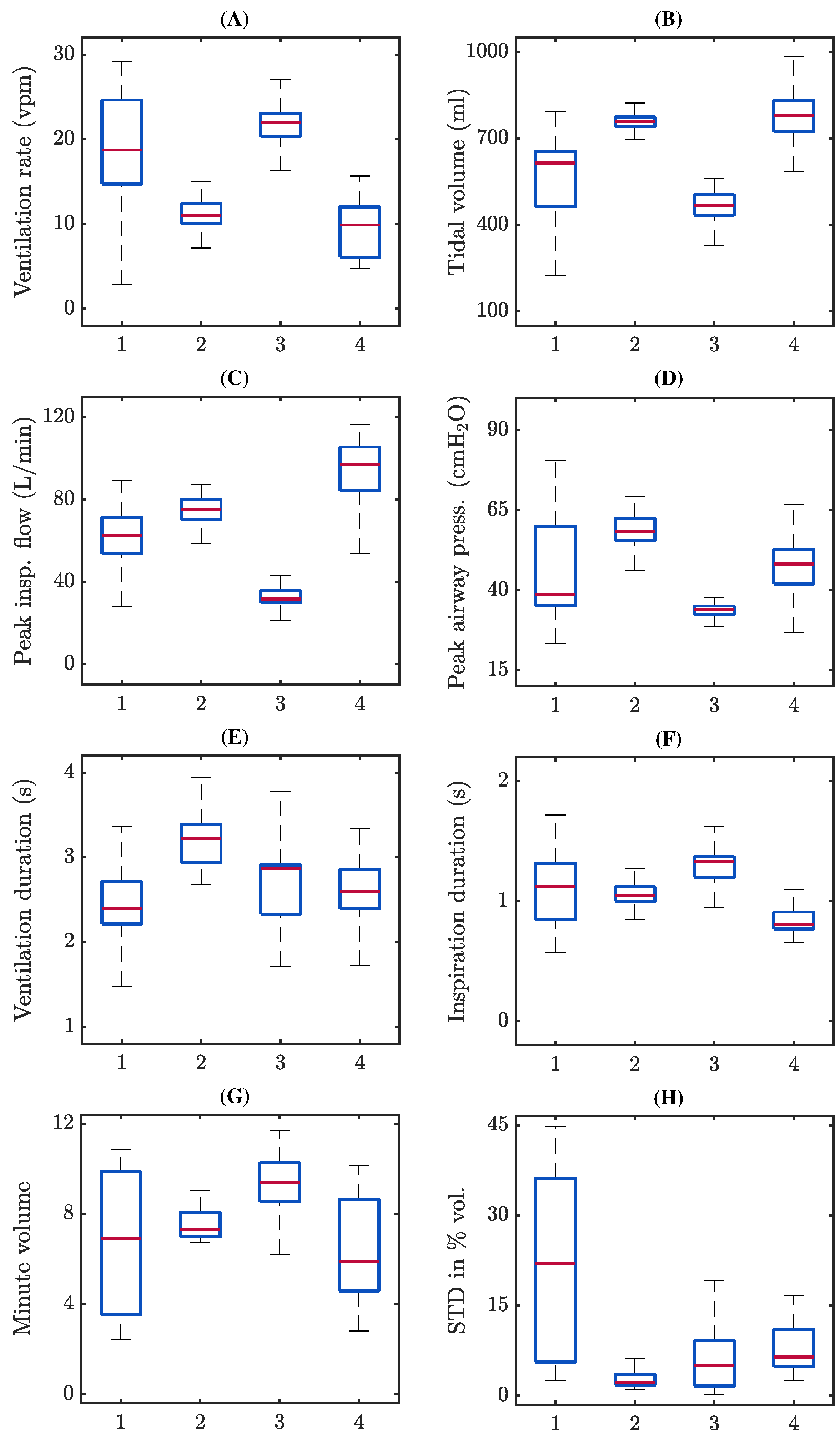
Figure 6 shows the distributions of the annotated ventilation parameters for each case. From panel A to F: median ventilation rate ranged from 9.9 to 22 vpm; median tidal volume from 568 to 778 mL; median peak inspiratory flow between 31.6 and 97.1 L/min; median peak airway pressure between 34.1 and 58.3 cmH2O; median ventilation duration from 2.4 to 3.2 s, and median inspiration time from 0.8 to 1.3 s. Panels G and H: median value for minute volume ranged from 5.9 to 9.4 L/min; median coefficient of variation in the tidal volume between consecutive ventilations per episode ranged from 2.2 to 22%. Figure 7 depicts a scatter plot of tidal volume as a function of ventilation rate for all analysed ventilations with the resulting linear regression model, yielding a correlation coefficient R of −0.8.
Figure 6.
Distributions of the analysed ventilation parameters in the MUV database using boxplots. On each box, the red mark indicates the median, and the bottom and top edges of the box indicate the 25th and 75th percentiles, respectively. The whiskers extend to the most extreme data points not considered outliers. From panel (A–H): ventilation rate, tidal volume, peak inspiratory flow, peak airway pressure, ventilation duration, inspiration duration, minute volume and coefficient of variation of tidal volume. A large variability was observed intra-patient and inter-patent, confirming that homogeneity in the application of manual ventilation is far from being achieved.
Figure 7.
Scatter plot of tidal volume versus ventilation rate (MUV database), with the resulting regression line yielding a Pearson correlation coefficient R of (strong negative correlation).
3.2. Capnogram Oscillation Amplitude and Compression Depth
Annotations from a subset of 32 patients from the TVF&R were included in this analysis (19% female, median age 64 (55–75), 38% ROSC, 22% shockable rhythm, 100% death in field). Ventilation rate per episode was 12.3 (8.3–16.7) vpm, compression depth 44.1 (36.0–52.0) mm and compression rate 111.94 (103.45–120.00) cpm. was 18.08 (11.15–28.26) mmHg. Percentage of distorted ventilations per case was 42.9% (22.0–67.1%). Globally, was 73.7% (43.1–91.9%).
The correlation between and its corresponding compression depth yielded a correlation coefficient R of −0.24 (weak negative correlation). Figure 8 represents the distributions of values corresponding to CCs within the range of recommended depth (50–60 mm) and for those outside recommendations.
Figure 8.
Distributions using boxplots of values for CCs with and without adherence to guidelines recommendations for compression depth (from TVF&R database). Despite the absence of correlation between and dcci, differences in the two groups were observed.
3.3. Capnogram Oscillation Amplitude and Pseudo-Volumes
For this analysis, six patients from the MUV database contained concurrent airflow, ventilation volume, capnogram, and ABP and PPG signals with sufficient quality for the required annotations. Manual CCs were administered in three cases, whereas mechanical CCs were delivered in the other three. All patients were male, and four of them achieved ROSC at some point during the intervention (no further patient data were available). In the episodes with mechanical CCs, no passive ventilations generated by CCs were observed, i.e., there was neither CC-artefact in the capnogram nor CC-volume component in the volume signal. Durations of the episodes with manual CCs were 55, 60 and 83 min, with median ventilation rates of 18.8 (14.7–24.6), 22.0 (20.3–23.1) and 9.9 (6.1–12.0) vpm, respectively. In these episodes, we annotated 190 segments containing passive ventilations caused by CCs (24, 37 and 129) with a total of 1490 CCs (96, 299 and 1095), respectively.
Figure 9 shows the distributions for CC-flow (Fi), CC-volume (Vi) and per episode and for the whole population. Globally, median was 32.5 (27.6–35.1) , median was 25.6 (21.0–30.0) mL, and median was 88.7 (78.0–93.7)%.
Figure 9.
Boxplots of the maximum CC-flow (top), CC-volume (middle), and values (bottom) per patient and for the whole population (MUV database). A noticeable variability between patients was observed. Note the stable measurements in patient 2, in contrast with the dispersion in the other cases.
According to the procedure depicted in Figure 5, median anatomic dead space volumes per patient were 149.2, 138.8 and 151.7 mL, respectively.
Figure 10 presents a scatter plot of as a function of and the obtained linear regression model, with a correlation coefficient R of 0.4. Figure 11 shows two segments with differences in the relationship between and . The first segment (Figure 11A) showed similar passive volumes in the four applied CCs, 24.1 mL on average. However, caused by the first compression was 43.2%, while it increased to 62.4%, 72.5% and 75% in the following three CCs, respectively. The second segment (Figure 11B) presented ten CCs with an average passive volume of 11.5 mL generating an average of 85.7%, with no observable differences between consecutive CCs.
Figure 10.
Scatter plot of versus passive volume, Vi, caused by CCs (MUV database). The red line corresponds to the linear regression model, which yielded a Pearson correlation coefficient R of 0.4 (moderate positive correlation).
Figure 11.
Examples of distorted capnogram plateau (similar to the representation in Figure 4B), showing different behaviour in relation to drop, passive CC-volume and CC-flow (green dots) (MUV database). (A) Increasing values despite stable CC-volumes. (B) Stable values and CC-volumes. Top, left labels: Mean values of the annotations along the whole time interval.
3.4. The Role of Reversed Airflow
For this exploratory analysis, we reviewed the capnogram, volume and airflow signals during CCs of all the annotated ventilations in the MUV database for assessing occurrences of RF along the whole ventilation cycle (inspiration, expiration, and rest). During CCs, spiky patterns were observed in the airflow at the instants when the chest is compressed and released, disturbing the normal airflow pattern. Undesired changes in the airflow polarity caused alterations in the volume and in the capnogram (see Figure 12). When the airflow was negligible (resting interval between consecutive ventilations), spikes on airflow originated by CCs generated small volumes (passive ventilations) which were responsible for the characteristic oscillations in the capnogram plateau (described as Type I and III in our previous work [24]). This was observed in 70% of the examined ventilations. During positive airflow (inspiration) and negative airflow (expiration), events of RF caused opposed movement of gases in the 80% of the examined ventilations. However, only when RF caused noticeable volume drops during inspiration did this result in significant rises CO2 concentration (Type II oscillations in our study [24]). During the onset of expiration phase prior to the capnogram plateau, RF events did not have a significant impact on either volume or capnogram, although little distortions in the waveform were observed.
Figure 12.
RF events causing capnogram oscillations (bottom panel, green arrows). Red arrows on top of the figure indicate individual CCs. Red dashed lines indicate the onset of inspiration and red dotted lines the offset of expiration. Events of RF cause distortion in the volume signal (middle panel) that affect differently the capnogram pattern. Upward oscillations in the capnogram baseline (green down-arrowhead) and downward oscillations in the plateau (green up-arrowhead) resemble pseudo-expirations and pseudo-inspirations, respectively. Segments extracted from the MUV database.
4. Discussion
High-quality CPR plays a key role in survival from cardiac arrest. Over the years, resuscitation guidelines have emphasized on the quality of CCs, defining clear metrics of adequate CC performance with well-established targeted goals for CC depth and rate. Widespread deployment of systems for real-time monitoring of the quality of CCs in the field have made it possible to measure, review and improve quality of care. The guidelines also reinforce the importance of avoiding excessive ventilation rates, but recognise the limitations of the capnography signal and the lack of technology to measure other important parameters such as tidal volumes or inspiratory pressures. Due to this lack of robust evidence, the optimization of ventilation during CPR remains a challenge.
4.1. Assessment of Ventilation Quality Parameters
Currently, the ventilation parameter most commonly monitored during resuscitation is ventilation rate, usually derived from real-time processing of waveform capnography. Studies reveal a tendency to over-ventilate the patient, that is, to apply excessive ventilation rates [3]. Technical limitations complicate monitoring other relevant ventilation parameters such as tidal volumes, airway flow and pressure, or inspiratory/expiratory durations. Studies reporting these parameters in real cardiac arrest interventions are scarce and, in general, involve a reduced number of patients [34,35].
Our study confirmed the tendency to apply ventilation rates higher than the recommendation of 10 breaths/min after intubation of OHCA patients. We observed a significant dispersion among the measured values, supporting the need to further investigate on the reasons for this lack of homogeneity. When we replicated the analysis for the MUV patients during the ICU-CPR, we also observed large inter-patient deviations, with patients being ventilated at large ranges of ventilation rates, some coming close or even exceeding 20 vpm. The same patient could also be ventilated with a very high range of ventilation rate. The use of a metronome to conveniently guide the frequency of ventilations could help improve adherence to recommendations. In our opinion, further efforts should be made to develop feedback systems on the quality of the ventilation rate. Either the capnogram or the transthoracic impedance can be used for this purpose, although both signals have to be pre-processed to remove the fluctuations that CCs cause in the waveforms to emphasise the ventilation component [36,37].
Regarding the relationship between ventilation rate and volume, we generally found an inversely proportional relationship between tidal volumes and ventilation rates (Figure 7). However, some patients who were routinely ventilated at 10 vpm also presented volumes well above the recommended ones. In contrast, some patients hyperventilated at rates close to 20 vpm maintained the recommended volumes. We also observed a positive association between tidal volumes and peak inspiratory flow, but a weaker association between peak flow and peak inspiratory pressure (Figure 6). The timing of ventilation was more consistent. Median ventilation duration ranged from 2.4 to 3.2 s, while inspiratory time varied between 0.8 and 1.3 s, quite close to the 1 s guideline. Volume changes between adjacent ventilations were in general below 10% of the mean volume, although we detected one patient with a variation of 22%.
Despite the limitations of the data, the variability in ventilation rate had a correspondence with the variability of other key parameters. Our findings suggest that there is a need to deploy systems that can measure more information than only ventilation rate. A recent pilot study by Yang et al. [21] showed that measuring respiratory mechanics in the pre-hospital setting was feasible. Recently described feedback devices could assist rescuers during ventilation, although they were tested in simulated manikin environments [38,39]. Nonetheless, there is still a long way to go before reliable, useful and cost-effective devices are clinically available [3].
4.2. What We Know about Oscillations in the Capnogram Plateau during Chest Compressions
Distortion of the capnogram during CCs impedes accurate detection of ventilation occurrences, therefore affecting the accuracy of the measurement of ventilation rate. In a previous study, we demonstrated the accurate synchronization of the oscillations in the capnogram plateau and the chest compression rate [24]. In the present study, we found a weak correlation between the amplitude of the oscillation and the depth of the chest compression. Therefore, we focused on other ventilatory signals that are not routinely recorded at present to look for possible relationships.
Several studies have demonstrated and quantified the generation of passive ventilations during CCs, caused by changes in intrathoracic pressures and consequent movement of gas in the airway [5,22,27,40,41]. In all the analysed manual CCs, there was full concurrence among the compression–decompression manoeuvre, the appearance of a small added volume during expiration and an oscillation in the capnogram expiratory plateau. Previous studies on OHCA patients receiving compression-only CPR showed median tidal volumes varying from 7.5 mL [28] to 41.5 mL [27]. Our results were in line with those reported in pre-hospital settings [22], with a median passive volume of 25.6 mL, and low dispersion among patients. These small volumes are clearly insufficient for adequate patient ventilation. This fact was confirmed by the large differences between measured passive volumes and the patient anatomical dead spaces (139–152 mL). Globally, CC flow values were relevant compared to the raw flow (Figure 9) but generated low CC volumes due to the short duration of the CC flow changes (Figure 4). Furthermore, the CC-flow waveform has two different phases in each individual CC, one varying faster than the other (compression vs. decompression or release phase). Only the slower burst appearing during chest decompression generated gas movement into the airway, sufficient to decrease concentration and distort the capnogram (Figure 11). When CC-flow was less impulsive, the waveform presented only a single identifiable phase in each CC. These differences may be attributable to the influence of both the anatomical characteristics of each patient and the rescuer’s CPR delivery.
In spite of these small induced flows and volumes, the oscillations caused by CCs in the capnograms were of high amplitude, with a global median value of 73.7% in the TVF&R database and of 88.7% in the MUV database. This confirmed their negative impact on adequate clinical interpretation of the capnogram in terms of ventilation rate feedback and accurate measurement of ETCO2 [24,25,42,43]. There was a slight tendency of increasing oscillation with increasing volume (Figure 10), but no direct relationship was observed locally, as reflected in the examples of Figure 11. Such behaviour suggests a certain randomness in the amplitude of these oscillations. Recent studies have investigated this phenomenon using bench models and human cadaver models [41,44] and have related it to the physiological concept of lung volume reduction and its associated thoracic airway closure. They hypothesized that the appearance or absence of oscillations on the capnogram may be indicative that the patient’s airway is open or closed, respectively. In our study, we found that the amplitude of the CO2 oscillation was higher (airway open) when CCs were provided with a depth outside the recommended range. This contradictory finding merits further study.
Ultimately, capnogram oscillations during CCs can be seen as either an interference that needs to be removed to enhance the clinical interpretation of the capnogram or a desired phenomenon to observe, indicative of airway opening. Oscillations can be removed using linear filtering to enhance ventilation detection [36] and the envelop of the capnogram can be restored to allow accurate ETCO2 measurement [45]. Measuring the amplitude of oscillations in the capnogram is feasible. Efforts should be made to transfer these techniques to new real-time guidance systems.
4.3. The Role of Reversed Airflow during Chest Compressions
Finally, asynchronous ventilations during ongoing CCs produced a high incidence of reversed flow. Between ventilations, when the airflow is close to zero, CCs induced airflow spikes and pseudo-volumes (passive ventilation), eventually causing oscillations in the capnogram plateau, as we have already described before. More importantly, during positive and negative airflow (corresponding to inspiration and expiration, respectively), events of RF caused opposed movement of gases in the majority of the examined ventilations. However, we observed that only when RF caused noticeable volume drops during inspiration did this result in significant rises in CO2 concentration (Type II oscillations). During the expiration phase, RF events did not have a significant impact on volume or capnogram, although a small distortion was observed. Our findings are in line with the observations by Duchatelet et al. [32] reporting a high incidence of reversed flow in most of the OHCA patients included in the study, and recently by Van Den Daele et al. [33] reporting airflow fragmentation in all analysed patients. In the present study, we have taken a small step forward by characterising these occurrences in the different phases of the ventilation cycle, relating them to changes in volume and their implication on the capnogram. Despite our limited dataset, we have observed similar results in our study and agree that this fragmentation may affect proper ventilation, leading to exhalation of gases during inspiration and errors in the measurement of delivered tidal volumes. As waveform capnography is the only current gold standard for monitoring ventilation in out-of-hospital settings, distortions in its waveform due to these phenomena should be studied further.
4.4. Limitations
The major limitation of the study is the relatively low number of patients for whom ventilation parameters have been assessed and compared. A second limitation is its retrospective nature, due to which full control on the signal recordings was not possible. However, the observed variability in ventilation rate in our patient population might anticipate a similar variability in other components during manual ventilation. Finally, the data were acquired some time ago. This is in part because such databases are hard to obtain, and also since the process of data gathering, curation, review and annotation was long and costly. Updating these results with recent data would, nevertheless, improve reliability and applicability of the study.
5. Conclusions
Our study confirmed lack of adherence between routinely measured ventilation rates and the guidelines recommendation in intubated patients during CPR, as well as substantial dispersion in additional and relevant ventilation parameters, which are not often recorded in the field nowadays due to lack of adequate devices. The development of ventilation feedback systems, similar to those currently available for chest compression quality monitoring, would be of great benefit. Oscillations caused by CCs on capnograms were frequent, but their amplitudes did not correlate with compression depth or with associated tidal volumes. CCs caused changes in the airflow direction during inspiration, expiration and in the interval between ventilations, sufficient to generate volume changes and causing oscillations on capnograms. Further research is justified to assess the impact of these findings on ventilation quality during CPR.
Author Contributions
Conceptualization, I.A., S.R.d.G. and J.J.G.; methodology, I.A., S.R.d.G. and J.J.G.; software, I.A., J.A.U. and M.L.; validation, C.L.S., K.R. and J.J.G.; formal analysis, I.A., S.R.d.G., J.A.U., M.L. and J.J.G.; resources, J.K.R., P.W., F.S., M.R.D. and S.R.d.G.; data curation, M.L., C.L.S. and J.K.R.; writing—original draft preparation, I.A., J.A.U. and S.R.d.G.; writing—review and editing, I.A., J.A.U., M.L., K.R., J.J.G., J.K.R., P.W., F.S., M.R.D. and S.R.d.G.; visualization, M.L., I.A. and C.L.S.; supervision, J.J.G. and S.R.d.G.; project administration, S.R.d.G.; funding acquisition, J.J.G. and S.R.d.G. All authors have read and agreed to the published version of the manuscript.
Funding
This research was funded by the grant PID2021-126021OB-I00 by MCIN/AEI/10.13039/501100011033 and by ERDF A way of making Europe, and by the grant IT1590-22 by the Basque Government. The funders had no role in study design, data collection and analysis, decision to publish, or preparation of the manuscript.
Institutional Review Board Statement
Data collections which were the source of this retrospective research were approved by the Oregon Health & Science University (OHSU) Institutional Review Board on 10 October 2005 (IRB00001736) and by the Ethik kommission of Medizinische Universität Wien on 3 September 2012 (EK-Nr: 1574/2012, [https://ekmeduniwien.at/core/catalog/2012, (accessed on 1 November 2023)]), respectively.
Informed Consent Statement
Patient consent was waived due to its retrospective study design. Data were anonymized.
Data Availability Statement
Data are available upon request to the corresponding author.
Acknowledgments
We would like to thank Jesus María Ruiz for their helpful advice in the conceptualization of this study and to the staff of TVF&R and MUV for their support and dedication to resuscitation science.
Conflicts of Interest
The authors declare no conflict of interest.
Abbreviations
The following abbreviations are used in this manuscript:
| CPR | Cardiopulmonary resuscitation |
| CCs | Chest compressions |
| ROSC | Restoration of spontaneous circulation |
| ALS | Advanced life support |
| ETCO2 | End-tidal CO2 |
| OHCA | Out-of-hospital cardiac arrest |
| TVF&R | Tualatin Valley Fire & Rescue |
| EMS | Emergency medical services |
| ROC | Resuscitation outcomes consortium |
| OHSU | Oregon Health & Science University |
| MUV | Medical University of Vienna |
| TI | Transthoracic impedance |
| PPG | Photoplethysmography |
| ABP | Arterial blood pressure |
| AOI | Airway opening index |
| RF | Reversed airflow |
References
- Meaney, P.A.; Bobrow, B.J.; Mancini, M.E.; Christenson, J.; De Caen, A.R.; Bhanji, F.; Abella, B.S.; Kleinman, M.E.; Edelson, D.P.; Berg, R.A.; et al. Cardiopulmonary resuscitation quality: Improving cardiac resuscitation outcomes both inside and outside the hospital: A consensus statement from the American Heart Association. Circulation 2013, 128, 417–435. [Google Scholar] [CrossRef]
- Gul, S.S.; Cohen, S.A.; Avery, K.L.; Balakrishnan, M.P.; Balu, R.; Chowdhury, M.A.B.; Crabb, D.; Huesgen, K.W.; Hwang, C.W.; Maciel, C.B.; et al. Cardiac arrest: An interdisciplinary review of the literature from 2018. Resuscitation 2020, 148, 66–82. [Google Scholar] [CrossRef]
- Neth, M.R.; Idris, A.; McMullan, J.; Benoit, J.L.; Daya, M.R. A review of ventilation in adult out-of-hospital cardiac arrest. J. Am. Coll. Emerg. Physicians Open 2020, 1, 190–201. [Google Scholar] [CrossRef] [PubMed]
- Dorph, E.; Wik, L.; Strømme, T.; Eriksen, M.; Steen, P. Oxygen delivery and return of spontaneous circulation with ventilation: Compression ratio 2: 30 versus chest compressions only CPR in pigs. Resuscitation 2004, 60, 309–318. [Google Scholar] [CrossRef]
- Idris, A.H.; Banner, M.J.; Wenzel, V.; Fuerst, R.S.; Becker, L.B.; Melker, R.J. Ventilation caused by external chest compression is unable to sustain effective gas exchange during CPR: A comparison with mechanical ventilation. Resuscitation 1994, 28, 143–150. [Google Scholar] [CrossRef] [PubMed]
- Idris, A.H.; Wenzel, V.; Becker, L.B.; Banner, M.J.; Orban, D.J. Does hypoxia or hypercarbia independently affect resuscitation from cardiac arrest? Chest 1995, 108, 522–528. [Google Scholar] [CrossRef] [PubMed]
- Aufderheide, T.P.; Lurie, K.G. Death by hyperventilation: A common and life-threatening problem during cardiopulmonary resuscitation. Crit. Care Med. 2004, 32, S345–S351. [Google Scholar] [CrossRef]
- Aufderheide, T.P.; Sigurdsson, G.; Pirrallo, R.G.; Yannopoulos, D.; McKnite, S.; Von Briesen, C.; Sparks, C.W.; Conrad, C.J.; Provo, T.A.; Lurie, K.G. Hyperventilation-induced hypotension during cardiopulmonary resuscitation. Circulation 2004, 109, 1960–1965. [Google Scholar] [CrossRef] [PubMed]
- Pepe, P.E.; Roppolo, L.P.; Fowler, R.L. The detrimental effects of ventilation during low-blood-flow states. Curr. Opin. Crit. Care 2005, 11, 212–218. [Google Scholar] [CrossRef]
- Panchal, A.R.; Berg, K.M.; Hirsch, K.G.; Kudenchuk, P.J.; Del Rios, M.; Cabañas, J.G.; Link, M.S.; Kurz, M.C.; Chan, P.S.; Morley, P.T.; et al. American Heart Association focused update on advanced cardiovascular life support: Use of advanced airways, vasopressors, and extracorporeal cardiopulmonary resuscitation during cardiac arrest: An update to the American Heart Association guidelines for cardiopulmonary resuscitation and emergency cardiovascular care. Circulation 2019, 140, e881–e894. [Google Scholar]
- Soar, J.; Böttiger, B.W.; Carli, P.; Couper, K.; Deakin, C.D.; Djärv, T.; Lott, C.; Olasveengen, T.; Paal, P.; Pellis, T.; et al. European Resuscitation Council guidelines 2021: Adult advanced life support. Resuscitation 2021, 161, 115–151. [Google Scholar] [CrossRef]
- Panchal, A.R.; Bartos, J.A.; Cabañas, J.G.; Donnino, M.W.; Drennan, I.R.; Hirsch, K.G.; Kudenchuk, P.J.; Kurz, M.C.; Lavonas, E.J.; Morley, P.T.; et al. Part 3: Adult basic and advanced life support: 2020 American Heart Association guidelines for cardiopulmonary resuscitation and emergency cardiovascular care. Circulation 2020, 142, S366–S468. [Google Scholar] [CrossRef] [PubMed]
- Olasveengen, T.M.; Semeraro, F.; Ristagno, G.; Castren, M.; Handley, A.; Kuzovlev, A.; Monsieurs, K.G.; Raffay, V.; Smyth, M.; Soar, J.; et al. European resuscitation council guidelines 2021: Basic life support. Resuscitation 2021, 161, 98–114. [Google Scholar] [CrossRef]
- Robba, C.; Badenes, R.; Battaglini, D.; Ball, L.; Brunetti, I.; Jakobsen, J.C.; Lilja, G.; Friberg, H.; Wendel-Garcia, P.D.; Young, P.J.; et al. Ventilatory settings in the initial 72 h and their association with outcome in out-of-hospital cardiac arrest patients: A preplanned secondary analysis of the targeted hypothermia versus targeted normothermia after out-of-hospital cardiac arrest (TTM2) trial. Intensive Care Med. 2022, 48, 1024–1038. [Google Scholar] [PubMed]
- Robba, C.; Badenes, R.; Battaglini, D.; Ball, L.; Sanfilippo, F.; Brunetti, I.; Jakobsen, J.C.; Lilja, G.; Friberg, H.; Wendel-Garcia, P.D.; et al. Oxygen targets and 6-month outcome after out of hospital cardiac arrest: A pre-planned sub-analysis of the targeted hypothermia versus targeted normothermia after Out-of-Hospital Cardiac Arrest (TTM2) trial. Crit. Care 2022, 26, 323. [Google Scholar] [CrossRef]
- LA Via, L.; Astuto, M.; Bignami, E.; Busalacchi, D.; Dezio, V.; Girardis, M.; Lanzafame, B.; Ristagno, G.; Pelosi, P.; Sanfilippo, F. The effects of exposure to severe hyperoxemia on neurological outcome and mortality after cardiac arrest. Minerva Anestesiol. 2022, 88, 853–863. [Google Scholar]
- Idris, A. The importance of measuring ventilation during resuscitation. Resuscitation 2022, 177, 41–42. [Google Scholar] [CrossRef]
- Falk, J.L.; Rackow, E.C.; Weil, M.H. End-tidal carbon dioxide concentration during cardiopulmonary resuscitation. N. Engl. J. Med. 1988, 318, 607–611. [Google Scholar] [CrossRef]
- Ortega, R.; Connor, C.; Kim, S.; Djang, R.; Patel, K. Monitoring ventilation with capnography. N. Engl. J. Med. 2012, 367, e27. [Google Scholar] [CrossRef]
- Sandroni, C.; De Santis, P.; D’Arrigo, S. Capnography during cardiac arrest. Resuscitation 2018, 132, 73–77. [Google Scholar] [CrossRef] [PubMed]
- Yang, B.Y.; Blackwood, J.E.; Shin, J.; Guan, S.; Gao, M.; Jorgenson, D.B.; Boehl, J.E.; Sayre, M.R.; Kudenchuk, P.J.; Rea, T.D.; et al. A pilot evaluation of respiratory mechanics during prehospital manual ventilation. Resuscitation 2022, 177, 55–62. [Google Scholar] [CrossRef]
- Vanwulpen, M.; Wolfskeil, M.; Duchatelet, C.; Hachimi-Idrissi, S. Do manual chest compressions provide substantial ventilation during prehospital cardiopulmonary resuscitation? Am. J. Emerg. Med. 2021, 39, 129–131. [Google Scholar] [CrossRef]
- Khoury, A.; De Luca, A.; Sall, F.; Pazart, L.; Capellier, G. Performance of manual ventilation: How to define its efficiency in bench studies? A review of the literature. Anaesthesia 2015, 70, 985–992. [Google Scholar] [CrossRef] [PubMed]
- Leturiondo, M.; Ruiz de Gauna, S.; Ruiz, J.M.; Gutiérrez, J.J.; Leturiondo, L.A.; González-Otero, D.M.; Russell, J.K.; Zive, D.; Daya, M. Influence of chest compression artefact on capnogram-based ventilation detection during out-of-hospital cardiopulmonary resuscitation. Resuscitation 2018, 124, 63–68. [Google Scholar] [CrossRef]
- Leturiondo, M.; Ruiz de Gauna, S.; Gutiérrez, J.J.; Alonso, D.; Corcuera, C.; Urtusagasti, J.F.; González-Otero, D.M.; Russell, J.K.; Daya, M.R.; Ruiz, J.M. Chest compressions induce errors in end-tidal carbon dioxide measurement. Resuscitation 2020, 153, 195–201. [Google Scholar] [CrossRef] [PubMed]
- Rodarte, J.R.; Hyatt, R.E.; Cortese, D.A. Influence of expiratory flow on closing capacity at low expiratory flow rates. J. Appl. Physiol. 1975, 39, 60–65. [Google Scholar] [CrossRef]
- Deakin, C.D.; O’Neill, J.F.; Tabor, T. Does compression-only cardiopulmonary resuscitation generate adequate passive ventilation during cardiac arrest? Resuscitation 2007, 75, 53–59. [Google Scholar] [CrossRef]
- McDannold, R.; Bobrow, B.J.; Chikani, V.; Silver, A.; Spaite, D.W.; Vadeboncoeur, T. Quantification of ventilation volumes produced by compressions during emergency department cardiopulmonary resuscitation. Am. J. Emerg. Med. 2018, 36, 1640–1644. [Google Scholar] [CrossRef]
- Hubner, P.; Wijshoff, R.W.; Muehlsteff, J.; Wallmüller, C.; Warenits, A.M.; Magnet, I.A.M.; Nammi, K.; Russell, J.K.; Sterz, F. On detection of spontaneous pulse by photoplethysmography in cardiopulmonary resuscitation. Am. J. Emerg. Med. 2020, 38, 526–533. [Google Scholar] [CrossRef] [PubMed]
- Idris, A.H.; Daya, M.; Owens, P.; O’Neill, S.; Helfenbein, E.D.; Babaeizadeh, S.; Zhou, S.H. High incidence of chest compression oscillations associated with capnography during out-of-hospital cardiopulmonary resuscitation. Circulation 2010, 122, A83. [Google Scholar]
- Gravenstein, J.S.; Jaffe, M.B.; Gravenstein, N.; Paulus, D.A. Capnography; Cambridge University Press: Cambridge, UK, 2011. [Google Scholar]
- Duchatelet, C.; Kalmar, A.F.; Monsieurs, K.G.; Hachimi-Idrissi, S. Chest compressions during ventilation in out-of-hospital cardiac arrest cause reversed airflow. Resuscitation 2018, 129, 97–102. [Google Scholar] [CrossRef]
- Van Den Daele, C.; Vanwulpen, M.; Hachimi-Idrissi, S. Chest compressions during ventilation in out-of-hospital cardiopulmonary resuscitation cause fragmentation of the airflow. Am. J. Emerg. Med. 2021, 50, 455–458. [Google Scholar] [CrossRef]
- O’Neill, J.F.; Deakin, C.D. Do we hyperventilate cardiac arrest patients? Resuscitation 2007, 73, 82–85. [Google Scholar] [CrossRef]
- McCarty, K.; Roosa, J.; Kitamura, B.; Page, R.; Roque, P.; Silver, A.; Spaite, D.; Stolz, U.; Vadeboncoeur, T.; Bobrow, B. Ventilation rates and tidal volume during emergency department cardiac resuscitation. Resuscitation 2012, 83, e45. [Google Scholar] [CrossRef]
- Gutiérrez, J.J.; Leturiondo, M.; Ruiz de Gauna, S.; Ruiz, J.M.; Leturiondo, L.A.; González-Otero, D.M.; Zive, D.; Russell, J.K.; Daya, M. Enhancing ventilation detection during cardiopulmonary resuscitation by filtering chest compression artifact from the capnography waveform. PLoS ONE 2018, 13, e0201565. [Google Scholar] [CrossRef] [PubMed]
- González-Otero, D.M.; Ruiz de Gauna, S.; Ruiz, J.; Daya, M.R.; Wik, L.; Russell, J.K.; Kramer-Johansen, J.; Eftestøl, T.; Alonso, E.; Ayala, U. Chest compression rate feedback based on transthoracic impedance. Resuscitation 2015, 93, 82–88. [Google Scholar] [CrossRef] [PubMed]
- Khoury, A.; De Luca, A.; Sall, F.S.; Pazart, L.; Capellier, G. Ventilation feedback device for manual ventilation in simulated respiratory arrest: A crossover manikin study. Scand. J. Trauma Resusc. Emerg. Med. 2019, 27, 1–8. [Google Scholar] [CrossRef]
- You, K.M.; Lee, C.; Kwon, W.Y.; Lee, J.C.; Suh, G.J.; Kim, K.S.; Park, M.J.; Kim, S. Real-time tidal volume feedback guides optimal ventilation during simulated CPR. Am. J. Emerg. Med. 2017, 35, 292–298. [Google Scholar] [CrossRef]
- Whitehurst, M.E.; Blount, A.D.; Austin, P.E.; Carroll, R.G. Ventilatory strategies affect gas exchange in a pig model of closed-chest cardiac compression. Ann. Emerg. Med. 1998, 31, 568–574. [Google Scholar] [CrossRef]
- Grieco, D.L.; Brochard, L.J.; Drouet, A.; Telias, I.; Delisle, S.; Bronchti, G.; Ricard, C.; Rigollot, M.; Badat, B.; Ouellet, P.; et al. Intrathoracic airway closure impacts CO2 signal and delivered ventilation during cardiopulmonary resuscitation. Am. J. Respir. Crit. Care Med. 2019, 199, 728–737. [Google Scholar] [CrossRef]
- Daya, M.; Helfenbein, E.; Idris, A.; Edelson, D.; Firoozabadi, R.; Babaeizadeh, S.; Zhou, S. Hyperventilation Alert During Out-of-Hospital Cardiopulmonary Resuscitation Using an Automated Capnogram Analysis Algorithm. Circulation 2011, 124, A84. [Google Scholar]
- Leturiondo, M.; Ruiz de Gauna, S.; Gutiérrez, J.J.; Ruiz, J.; Corcuera, C.; Ustusagasti, J.F.; Russell, J.K.; Daya, M.R. Chest compression artefact compromises real-time feedback capnometry: Quantification of differences in end-tidal measurements by two capnometers. Resuscitation 2019, 142, e32. [Google Scholar] [CrossRef]
- Charbonney, E.; Grieco, D.L.; Cordioli, R.L.; Badat, B.; Savary, D.; Richard, J.C.M. Ventilation during cardiopulmonary resuscitation: What have we learned from models? Respiratory Care 2019, 64, 1132–1138. [Google Scholar] [CrossRef] [PubMed]
- Ruiz de Gauna, S.; Leturiondo, M.; Gutiérrez, J.J.; Ruiz, J.M.; González-Otero, D.M.; Russell, J.K.; Daya, M. Enhancement of capnogram waveform in the presence of chest compression artefact during cardiopulmonary resuscitation. Resuscitation 2018, 133, 53–58. [Google Scholar] [CrossRef] [PubMed]
Disclaimer/Publisher’s Note: The statements, opinions and data contained in all publications are solely those of the individual author(s) and contributor(s) and not of MDPI and/or the editor(s). MDPI and/or the editor(s) disclaim responsibility for any injury to people or property resulting from any ideas, methods, instructions or products referred to in the content. |
© 2023 by the authors. Licensee MDPI, Basel, Switzerland. This article is an open access article distributed under the terms and conditions of the Creative Commons Attribution (CC BY) license (https://creativecommons.org/licenses/by/4.0/).











