Retinal Microvascular Changes in Internal Carotid Artery Stenosis
Abstract
:1. Introduction
2. Materials and Methods
2.1. Study Population
2.2. Examination and OCTA Analysis
2.3. Statistical Analysis
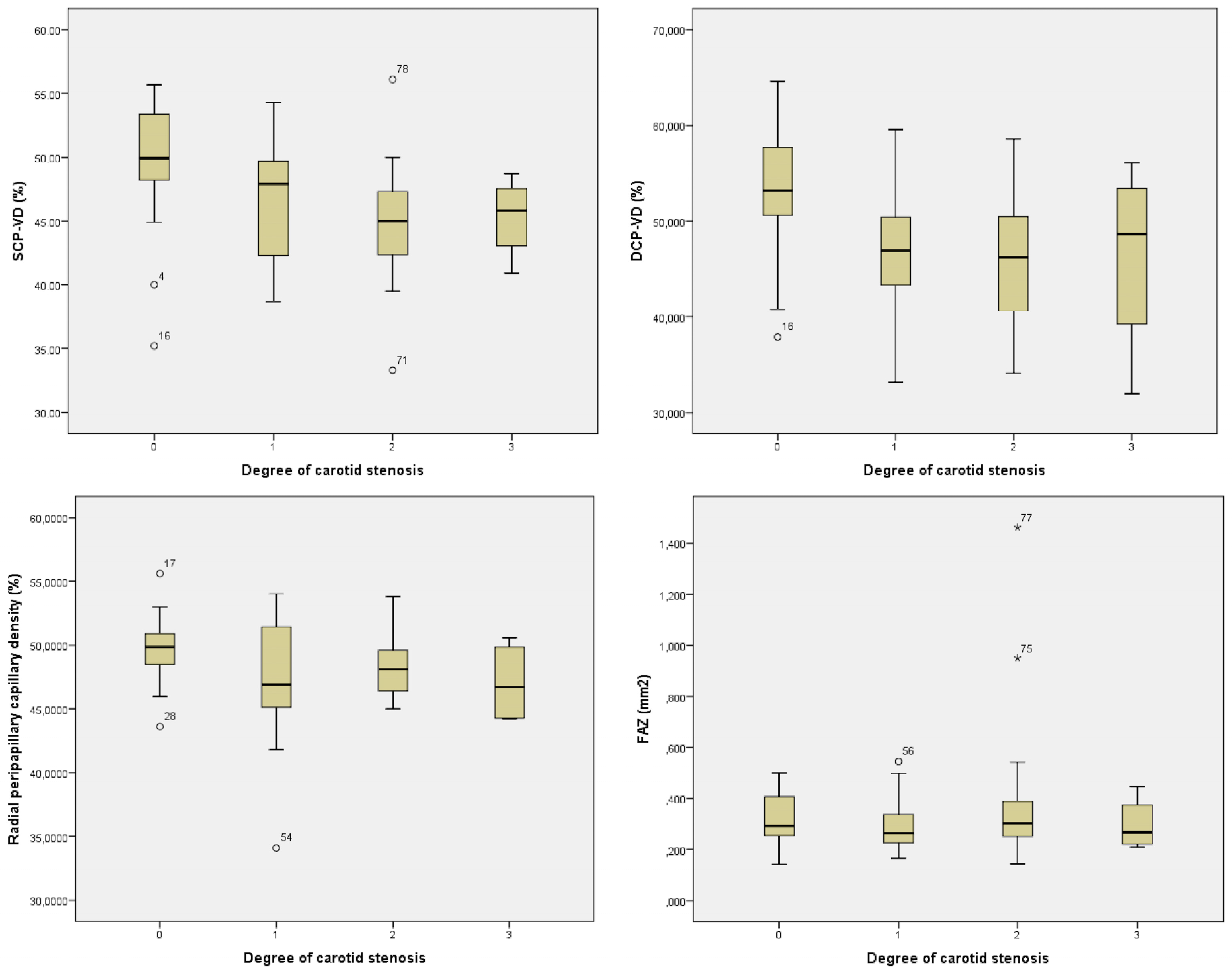
3. Results
3.1. Study Population
3.2. Comparison of OCTA Parameters in Patients with Carotid Stenosis and the Healthy Controls
4. Discussion
Author Contributions
Funding
Institutional Review Board Statement
Informed Consent Statement
Data Availability Statement
Conflicts of Interest
References
- Terelak-Borys, B.; Skonieczna, K.; Grabska-Liberek, I. Ocular ischemic syndrome—A systematic review. Med. Sci. Monit. 2012, 18, RA138–RA144. [Google Scholar] [CrossRef]
- Roberts, D.K.; Sears, J.M. Light-induced amaurosis associated with carotid occlusive disease. Optom. Vis. Sci. 1992, 69, 889–897. [Google Scholar] [CrossRef] [PubMed]
- Arthur, A.; Alexander, A.; Bal, S.; Sivadasan, A.; Aaron, S. Ophthalmic masquerades of the atherosclerotic carotids. Indian J. Ophthalmol. 2014, 62, 472–476. [Google Scholar] [CrossRef]
- Chen, S.-N.; Hwang, J.-F.; Huang, J.; Wu, S.-L. Retinal arterial occlusion with multiple retinal emboli and carotid artery occlusion disease. Haemodynamic changes and pathways of embolism. BMJ Open Ophthalmol. 2020, 5, e000467. [Google Scholar] [CrossRef]
- Lawrence, P.F.; Oderich, G.S. Ophthalmologic findings as predictors of carotid artery disease. Vasc. Endovasc. Surg. 2002, 36, 415–424. [Google Scholar] [CrossRef] [PubMed]
- Barnett, H.J.; Taylor, D.W.; Eliasziw, M.; Fox, A.J.; Ferguson, G.G.; Haynes, R.B.; Rankin, R.N.; Clagett, G.P.; Hachinski, V.C.; Sackett, D.L.; et al. Benefit of carotid endarterectomy in patients with symptomatic moderate or severe stenosis. North American Symptomatic Carotid Endarterectomy Trial Collaborators. N. Engl. J. Med. 1998, 339, 1415–1425. [Google Scholar] [CrossRef]
- Kawaguchi, S.; Sakaki, T.; Iwahashi, H.; Fujimoto, K.; Iida, J.-I.; Mishima, H.; Nishikawa, N. Effect of carotid artery stenting on ocular circulation and chronic ocular ischemic syndrome. Cerebrovasc. Dis. 2006, 22, 402–408. [Google Scholar] [CrossRef]
- Monteiro-Henriques, I.; Rocha-Sousa, A.; Barbosa-Breda, J. Optical coherence tomography angiography changes in cardiovascular systemic diseases and risk factors: A Review. Acta Ophthalmol. 2021, 100, e1–e15. [Google Scholar] [CrossRef] [PubMed]
- Grant, E.G.; Benson, C.B.; Moneta, G.L.; Alexandrov, A.V.; Baker, J.D.; Bluth, E.I.; Carroll, B.A.; Eliasziw, M.; Gocke, J.; Hertzberg, B.S.; et al. Carotid artery stenosis: Gray-scale and Doppler US diagnosis—Society of Radiologists in Ultrasound Consensus Conference. Radiology 2003, 229, 340–346. [Google Scholar] [CrossRef]
- Kwon, H.; Kim, H.-K.; Kwon, S.U.; Lee, S.-W.; Kim, M.-J.; Park, J.W.; Noh, M.; Han, Y.; Kwon, T.-W.; Cho, Y.-P. Risk of major adverse cardiovascular events in subjects with asymptomatic mild carotid artery stenosis. Sci. Rep. 2018, 8, 4700. [Google Scholar] [CrossRef] [PubMed]
- Karlsson, L.; Kangefjärd, E.; Hermansson, S.; Strömberg, S.; Österberg, K.; Nordanstig, A.; Ryndel, M.; Gellerman, K.; Fredén-Lindqvist, J.; Bergström, G. Risk of Recurrent Stroke in Patients with Symptomatic Mild (20–49% NASCET) Carotid Artery Stenosis. Eur. J. Vasc. Endovasc. Surg. 2016, 52, 287–294. [Google Scholar] [CrossRef]
- Liu, J.; Wan, J.; Kwapong, W.R.; Tao, W.; Ye, C.; Liu, M.; Wu, B. Retinal microvasculature and cerebral hemodynamics in patients with internal carotid artery stenosis. BMC Neurol. 2022, 22, 386. [Google Scholar] [CrossRef] [PubMed]
- Wang, J.; Jiang, J.; Zhang, Y.; Qian, Y.W.; Zhang, J.F.; Wang, Z.L. Retinal and choroidal vascular changes in coronary heart disease: An optical coherence tomography angiography study. Biomed. Opt. Express 2019, 10, 1532–1544. [Google Scholar] [CrossRef]
- Arnould, L.; Guenancia, C.; Azemar, A.; Alan, G.; Pitois, S.; Bichat, F.; Zeller, M.; Gabrielle, P.-H.; Bron, A.M.; Creuzot-Garcher, C.; et al. The EYE-MI Pilot Study: A Prospective Acute Coronary Syndrome Cohort Evaluated With Retinal Optical Coherence Tomography Angiography. Investig. Opthalmology Vis. Sci. 2018, 59, 4299–4306. [Google Scholar] [CrossRef] [PubMed]
- Liu, X.; Yang, B.; Tian, Y.; Ma, S.; Zhong, J. Quantitative assessment of retinal vessel density and thickness changes in internal carotid artery stenosis patients using optical coherence tomography angiography. Photodiagnosis Photodyn. Ther. 2022, 39, 103006. [Google Scholar] [CrossRef] [PubMed]
- Lahme, L.; Marchiori, E.; Panuccio, G.; Nelis, P.; Schubert, F.; Mihailovic, N.; Torsello, G.; Eter, N.; Alnawaiseh, M. Changes in retinal flow density measured by optical coherence tomography angiography in patients with carotid artery stenosis after carotid endarterectomy. Sci. Rep. 2018, 8, 17161. [Google Scholar] [CrossRef]
- Lee, C.-W.; Cheng, H.-C.; Chang, F.-C.; Wang, A.-G. Optical Coherence Tomography Angiography Evaluation of Retinal Microvasculature Before and After Carotid Angioplasty and Stenting. Sci. Rep. 2019, 9, 14755. [Google Scholar] [CrossRef]
- İncekalan, T.K.; Taktakoğlu, D.; Şimdivar, G.H.N.; Öztürk, I. Optical coherence tomography angiography findings in carotid artery stenosis. Int. Ophthalmol. 2022, 42, 2501–2509. [Google Scholar] [CrossRef]
- Wu, D.-H.; Wu, L.-T.; Wang, Y.-L.; Wang, J.-L. Changes of retinal structure and function in patients with internal carotid artery stenosis. BMC Ophthalmol. 2022, 22, 123. [Google Scholar] [CrossRef] [PubMed]
- Machalińska, A.; Kowalska-Budek, A.; Kawa, M.P.; Kazimierczak, A.; Safranow, K.; Kirkiewicz, M.; Wilk, G.; Lubiński, W.; Gutowski, P.; Machaliński, B. Association between Asymptomatic Unilateral Internal Carotid Artery Stenosis and Electrophysiological Function of the Retina and Optic Nerve. J. Ophthalmol. 2017, 2017, 4089262. [Google Scholar] [CrossRef]
- Yu, P.K.; Cringle, S.J.; Yu, D.-Y. Correlation between the radial peripapillary capillaries and the retinal nerve fibre layer in the normal human retina. Exp. Eye Res. 2014, 129, 83–92. [Google Scholar] [CrossRef] [PubMed]
- Chu, Z.; Zhang, Q.; Gregori, G.; Rosenfeld, P.J.; Wang, R.K. Guidelines for Imaging the Choriocapillaris Using OCT Angiography. Am. J. Ophthalmol. 2021, 222, 92–101. [Google Scholar] [CrossRef] [PubMed]



| Patient Group (n:30) | Control Group (n:42) | p | |
|---|---|---|---|
| Gender (female/male) | 13/17 | 18/24 | 0.968 α |
| Median age [IQR] (years) | 63 (14) (range 32–87) | 60 (7) (range 50–75) | 0.123 β |
| Patient Group | Control Group | p | |
|---|---|---|---|
| SCP-VD % Whole image | 45.67 ± 4.65 | 50.09 ± 4.05 | 0.000 α |
| SCP-VD % Fovea | 16.63 ± 5.96 | 17.92 ± 6.05 | 0.333 β |
| SCP-VD % Parafovea | 47.34 ± 5.75 | 52.44 ± 4.77 | 0.000 α |
| SCP-VD % Perifovea | 46.39 ± 4.99 | 50.66 ± 4.08 | 0.000 α |
| Patient Group | Control Group | p | |
|---|---|---|---|
| DCP-VD % Whole image | 46.33 ± 7.31 | 53.27 ± 6.31 | 0.000 β |
| DCP-VD % Fovea | 32.88 ± 9.53 | 35.18 ± 6.95 | 0.195 β |
| DCP-VD % Parafovea | 52.49 ± 5.63 | 56.78 ± 4.12 | 0.000 β |
| DCP-VD % Perifovea | 46.98 ± 7.79 | 55.10 ± 6.83 | 0.000 β |
| Patient Group | Control Group | p | |
|---|---|---|---|
| FAZ area (mm2) | 0.344 ± 0.230 | 0.324 ± 0.097 | 0.385 α |
| Flow area (mm2) Outer Retina | 0.476 ± 0.370 | 0.953 ± 0.487 | 0.000 α |
| Flow area (mm2) Choriocapillaris | 2.069 ± 0.142 | 2.105 ± 0.070 | 0.121 β |
| RPC-VD whole density % | 47.65 ± 3.87 | 49.66 ± 2.13 | 0.006 β |
| RPC-VD peripapillary % | 50.11 ± 4.31 | 52.48 ± 2.62 | 0.004 α |
| RPC-VD inside disc % | 48.73 ± 5.1 | 49.48 ± 4.76 | 0.502 β |
| Mild Stenosis | Moderate Stenosis | Severe Stenosis | p1 (Mild–Moderate Stenosis) | p2 (Mild–Severe Stenosis) | p3 (Moderate–Severe Stenosis) | |
|---|---|---|---|---|---|---|
| SCP-VD (%) | 46.54 ± 4.66 | 45.0 ± 4.90 | 45.3 ± 3.2 | 0.650 | 0.896 | 0.692 |
| DCP-VD (%) | 53.5 ± 6.2 | 47.1 ± 7.4 | 46.3 ± 10.3 | 0.370 | 0.539 | 0.946 |
| FAZ (mm2) | 0.29 ± 0.1 | 0.41 ± 0.33 | 0.29 ± 0.1 | 0.572 | 0.572 | 0.572 |
Disclaimer/Publisher’s Note: The statements, opinions and data contained in all publications are solely those of the individual author(s) and contributor(s) and not of MDPI and/or the editor(s). MDPI and/or the editor(s) disclaim responsibility for any injury to people or property resulting from any ideas, methods, instructions or products referred to in the content. |
© 2023 by the authors. Licensee MDPI, Basel, Switzerland. This article is an open access article distributed under the terms and conditions of the Creative Commons Attribution (CC BY) license (https://creativecommons.org/licenses/by/4.0/).
Share and Cite
Batu Oto, B.; Kılıçarslan, O.; Kayadibi, Y.; Yılmaz Çebi, A.; Adaletli, İ.; Yıldırım, S.R. Retinal Microvascular Changes in Internal Carotid Artery Stenosis. J. Clin. Med. 2023, 12, 6014. https://doi.org/10.3390/jcm12186014
Batu Oto B, Kılıçarslan O, Kayadibi Y, Yılmaz Çebi A, Adaletli İ, Yıldırım SR. Retinal Microvascular Changes in Internal Carotid Artery Stenosis. Journal of Clinical Medicine. 2023; 12(18):6014. https://doi.org/10.3390/jcm12186014
Chicago/Turabian StyleBatu Oto, Bilge, Oğuzhan Kılıçarslan, Yasemin Kayadibi, Aslıhan Yılmaz Çebi, İbrahim Adaletli, and Senihe Rengin Yıldırım. 2023. "Retinal Microvascular Changes in Internal Carotid Artery Stenosis" Journal of Clinical Medicine 12, no. 18: 6014. https://doi.org/10.3390/jcm12186014
APA StyleBatu Oto, B., Kılıçarslan, O., Kayadibi, Y., Yılmaz Çebi, A., Adaletli, İ., & Yıldırım, S. R. (2023). Retinal Microvascular Changes in Internal Carotid Artery Stenosis. Journal of Clinical Medicine, 12(18), 6014. https://doi.org/10.3390/jcm12186014

