Tissue Plasminogen Activator as a Possible Indicator of Breast Cancer Relapse: A Preliminary, Prospective Study
Abstract
:Simple Summary
Abstract
1. Introduction
2. Materials and Methods
2.1. Study Participants and Design
2.2. Ethics
2.3. Inclusion and Exclusion Factors
2.4. Study Outcomes and Follow-Up
2.5. Measurements
2.5.1. Blood Sampling and Laboratory Tests
2.5.2. Fibrinolytic Parameters
2.5.3. Immunohistochemistry (IHC) Analysis
2.6. Statistical Analysis
3. Results
3.1. Recruitment and Participation
3.2. Clinical Presentation of Patients with Regard to Fibrinolytic Parameters
3.3. Fibrinolytic Parameters as Potential Markers of Breast Cancer Progression
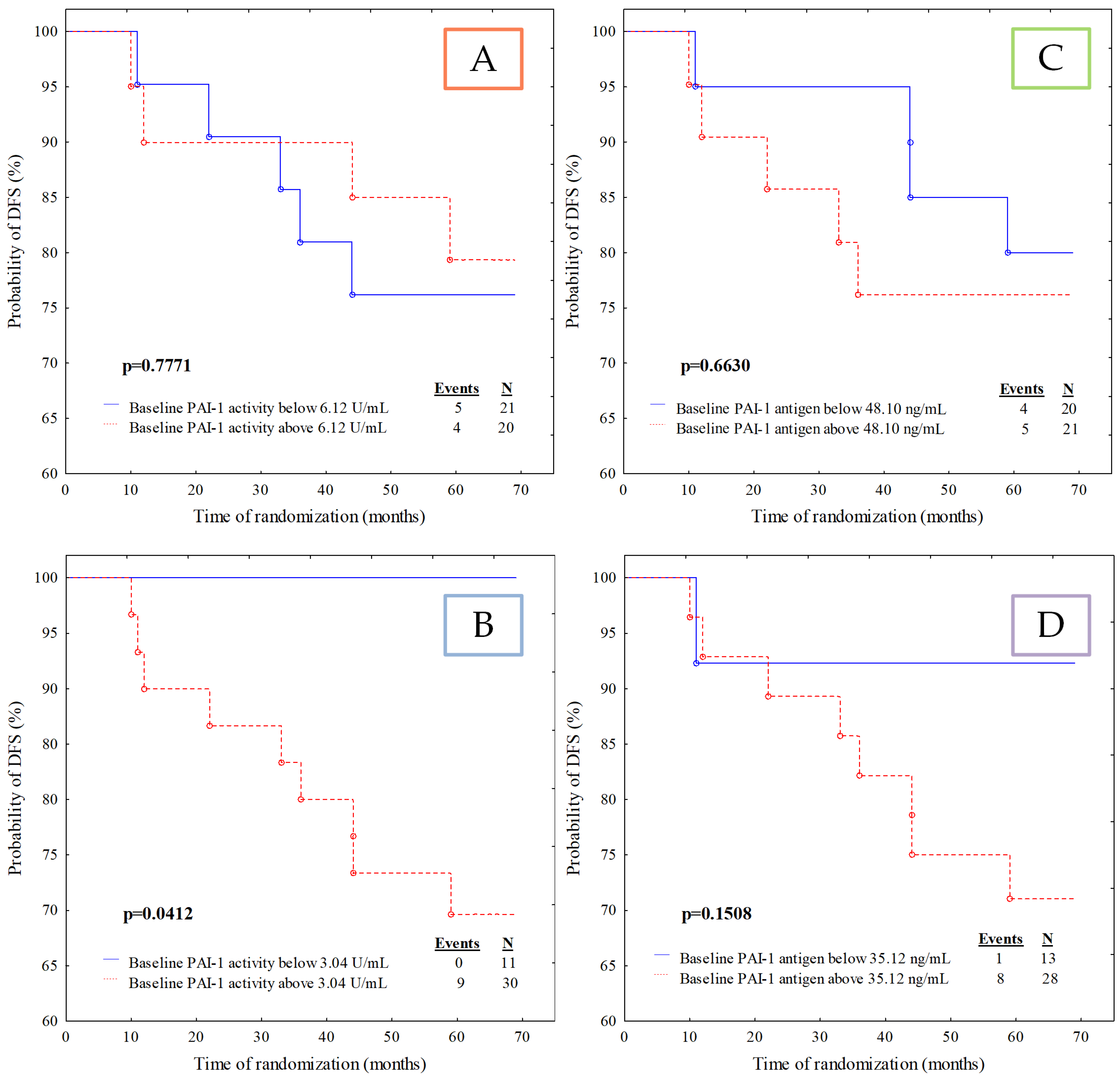
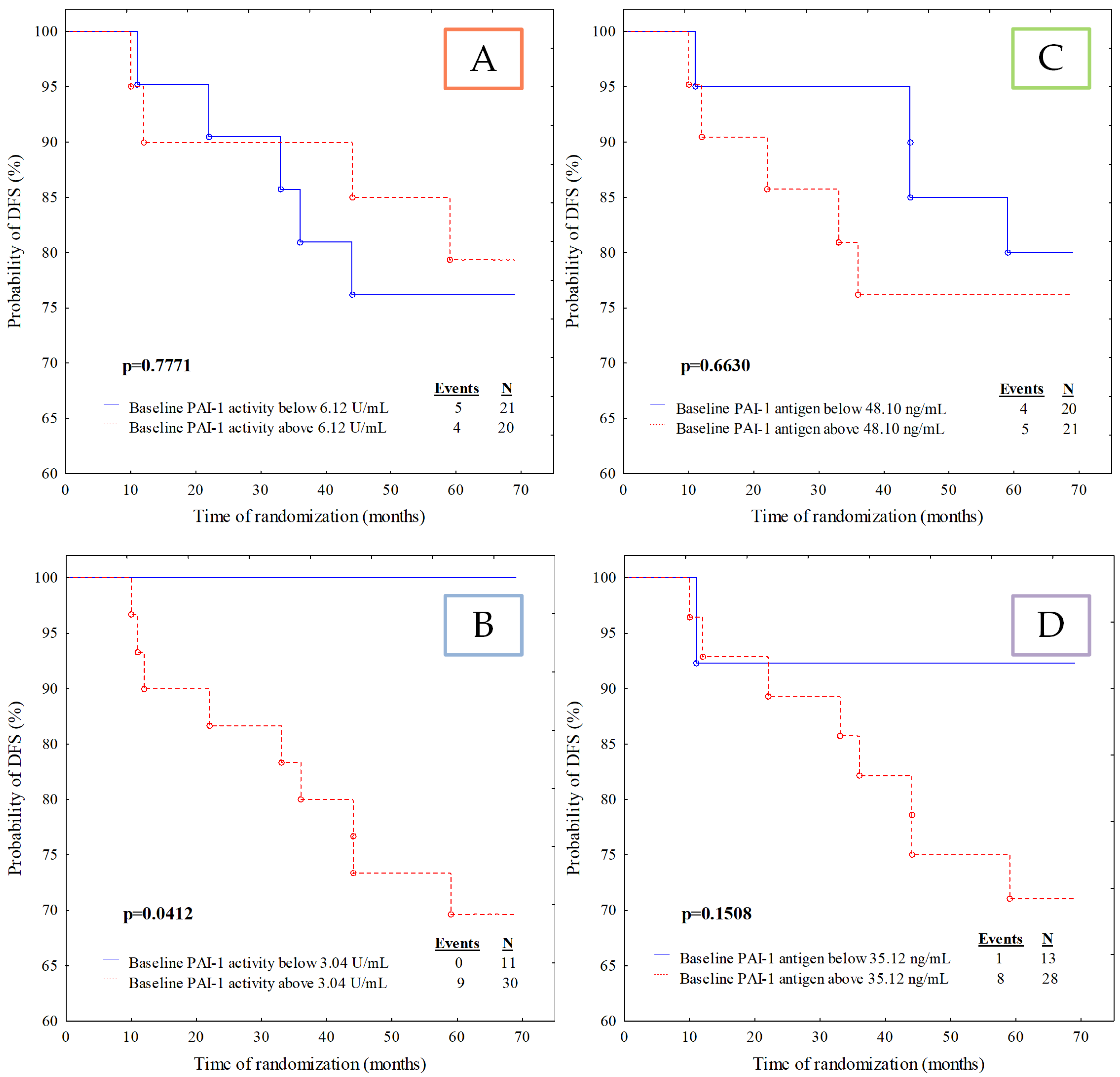
3.4. Survival Analysis Regarding Fibrinolytic Parameters
3.5. Potential Associations of the Disease-Free Survival with Fibrinolytic Parameters
3.6. Analysis of Fibrinolytic Parameters as Prognostic Markers Using Univariate and Multivariate Cox Proportional Hazards Regression Models
3.7. Association of Fibrinolytic Parameters with Disease-Free Survival in Linear Regression Models
4. Discussion
Limitations of the Study
5. Conclusions
Author Contributions
Funding
Institutional Review Board Statement
Informed Consent Statement
Data Availability Statement
Acknowledgments
Conflicts of Interest
References
- World. Global Cancer Observatory; International Agency for Research on Cancer; World Health Organization. 2020. Available online: https://gco.iarc.fr/today/data/factsheets/populations/900-world-fact-sheets.pdf (accessed on 24 November 2021).
- Breast Cancer: Statistics. Available online: https://www.cancer.net/cancer-types/breast-cancer/statistics (accessed on 24 November 2021).
- Feng, Y.; Spezia, M.; Huang, S.; Yuan, C.; Zeng, Z.; Zhang, L.; Ji, X.; Liu, W.; Huang, B.; Luo, W.; et al. Breast cancer development and progression: Risk factors, cancer stem cells, signaling pathways, genomics, and molecular pathogenesis. Genes Dis. 2018, 5, 77–106. [Google Scholar] [CrossRef] [PubMed]
- Lal, I.; Dittus, K.; Holmes, C.E. Platelets, coagulation and fibrinolysis in breast cancer progression. Breast Cancer Res. 2013, 15, 207. [Google Scholar] [CrossRef] [PubMed] [Green Version]
- Lima, L.G.; Monteiro, R.Q. Activation of blood coagulation in cancer: Implications for tumour progression. Biosci. Rep. 2013, 33, e00064. [Google Scholar] [CrossRef] [PubMed]
- Batschauer, A.P.B.; Figueiredo, C.P.; Bueno, E.C.; Ribeiro, M.A.; Dusse, L.M.S.; Fernandes, A.P.; Gomes, K.B.; Carvalho, M.G. D-dimer as a possible prognostic marker of operable hormone receptor-negative breast cancer. Ann. Oncol. 2010, 21, 1267–1272. [Google Scholar] [CrossRef] [PubMed]
- Tas, F.; Kilic, L.; Duranyildiz, D. Coagulation tests show significant differences in patients with breast cancer. Tumour Biol. 2014, 35, 5985–5992. [Google Scholar] [CrossRef] [PubMed]
- Chavez-MacGregor, M.; Zhao, H.; Kroll, M.; Fang, S.; Zhang, N.; Hortobagyi, G.N.; Buchholz, T.A.; Shih, Y.C.; Giordano, S.H. Risk factors and incidence of thromboembolic events (TEEs) in older men and women with breast cancer. Ann. Oncol. 2011, 22, 2394–2402. [Google Scholar] [CrossRef] [PubMed]
- Decensi, A.; Maisonneuve, P.; Rotmensz, N.; Bettega, D.; Costa, A.; Sacchini, V.; Salvioni, A.; Travaglini, R.; Oliviero, P.; D’Aiuto, G.; et al. Italian Tamoxifen Study Group. Effect of tamoxifen on venous thromboembolic events in a breast cancer prevention trial. Circulation 2005, 111, 650–656. [Google Scholar] [CrossRef] [PubMed] [Green Version]
- Mahmood, N.; Rabbani, S.A. Fibrinolytic system and cancer: Diagnostic and therapeutic applications. Int. J. Mol. Sci. 2021, 22, 4358. [Google Scholar] [CrossRef]
- Zarychta, E.; Rhone, P.; Bielawski, K.; Rosc, D.; Szot, K.; Zdunska, M.; Ruszkowska-Ciastek, B. Elevated plasma levels of tissue factor as a valuable diagnostic biomarker with relevant efficacy for prediction of breast cancer morbidity. J. Physiol. Pharmacol. 2018, 69, 921–931. [Google Scholar] [CrossRef]
- Rhone, P.; Zarychta, E.; Bielawski, K.; Ruszkowska-Ciastek, B. Pre-surgical level of von Willebrand factor as an evident indicator of breast cancer recurrence. Cancer Biomark. 2020, 29, 359–372. [Google Scholar] [CrossRef] [PubMed]
- Yigit, E.; Gönüllü, G.; Yücel, I.; Turgut, M.; Erdem, D.; Cakar, B. Relation between hemostatic parameters and prognostic/predictive factors in breast cancer. Eur. J. Intern. Med. 2008, 19, 602–607. [Google Scholar] [CrossRef]
- Tinholt, M.; Stavik, B.; Tekpli, X.; Garred, Ø.; Borgen, E.; Kristensen, V.; Sahlberg, K.K.; Sandset, P.M.; Iversen, N. Coagulation factor V is a marker of tumor-infiltrating immune cells in breast cancer. Oncoimmunology 2020, 9, 1824644. [Google Scholar] [CrossRef]
- Rhone, P.; Ruszkowska-Ciastek, B.; Bielawski, K.; Brkic, A.; Zarychta, E.; Góralczyk, B.; Roszkowski, K.; Rość, D. Comprehensive analysis of haemostatic profile depending on clinicopathological determinants in breast cancer patients. Biosci. Rep. 2018, 38, BSR20171657. [Google Scholar] [CrossRef] [Green Version]
- Mandoj, C.; Pizzuti, L.; Sergi, D.; Sperduti, I.; Mazzotta, M.; Di Lauro, L.; Amodio, A.; Carpano, S.; Di Benedetto, A.; Botti, C.; et al. Observational study of coagulation activation in early breast cancer: Development of a prognostic model based on data from the real world setting. J. Transl. Med. 2018, 16, 129. [Google Scholar] [CrossRef] [PubMed] [Green Version]
- Look, M.P.; van Putten, W.L.; Duffy, M.J.; Harbeck, N.; Christensen, I.J.; Thomssen, C.; Kates, R.; Spyratos, F.; Fernö, M.; Eppenberger-Castori, S.; et al. Pooled analysis of prognostic impact of urokinase-type plasminogen activator and its inhibitor PAI-1 in 8377 breast cancer patients. J. Natl. Cancer Inst. 2002, 94, 116–128. [Google Scholar] [CrossRef] [PubMed] [Green Version]
- Ruszkowska-Ciastek, B.; Kwiatkowska, K.; Bielawska, S.; Robakowska, M.; Bielawski, K.; Rhone, P. Evaluation of the prognostic value of fibrinolytic elements in invasive breast carcinoma patients. Neoplasma 2020, 67, 1146–1156. [Google Scholar] [CrossRef] [PubMed]
- Ortiz-Zapater, E.; Peiró, S.; Roda, O.; Corominas, J.M.; Aguilar, S.; Ampurdanés, C.; Real, F.X.; Navarro, P. Tissue plasminogen activator induces pancreatic cancer cell proliferation by a non-catalytic mechanism that requires extracellular signal-regulated kinase 1/2 activation through epidermal growth factor receptor and annexin A2. Am. J. Pathol. 2007, 170, 1573–1584. [Google Scholar] [CrossRef] [PubMed] [Green Version]
- Suzuki, Y.; Yasui, H.; Brzoska, T.; Mogami, H.; Urano, T. Surface-retained tPA is essential for effective fibrinolysis on vascular endothelial cells. Blood 2011, 118, 3182–3185. [Google Scholar] [CrossRef] [PubMed]
- McMahon, B.; Kwaan, H.C. The plasminogen activator system and cancer. Pathophysiol. Haemost. Thromb. 2008, 36, 184–194. [Google Scholar] [CrossRef] [PubMed]
- Teliga-Czajkowska, J.; Sienko, J.; Jalinik, K.; Smolarczyk, R.; Czajkowski, K. Prognostic value of tissue plasminogen activator (tPA) in patients with epithelial ovarian cancer undergoing chemotherapy. Ginekol. Pol. 2019, 90, 235–241. [Google Scholar] [CrossRef] [PubMed] [Green Version]
- Kumari, S.; Malla, R. New insight on the role of plasminogen receptor in cancer progression. Cancer Growth Metastasis 2015, 8, 5–42. [Google Scholar] [CrossRef] [PubMed] [Green Version]
- Corte, M.D.; Vérez, P.; Rodríguez, J.C.; Roibás, A.; Domínguez, M.L.; Lamelas, M.L.; Vázquez, J.; García Muñiz, J.L.; Allende, M.T.; González, L.O.; et al. Tissue-type plasminogen activator (tPA) in breast cancer: Relationship with clinicopathological parameters and prognostic significance. Breast Cancer Res. Treat. 2005, 90, 33–40. [Google Scholar] [CrossRef] [PubMed]
- Costanzo, S.; Parisi, R.; De Curtis, A.; Gamba, S.; Russo, L.; Persichillo, M.; Panzera, T.; Marchetti, M.; Cerletti, C.; de Gaetano, G.; et al. Tissue plasminogen activator levels and risk of breast cancer in a case-cohort study on Italian Women: Results from the Molisani Study. Thromb. Haemost. 2021, 121, 449–456. [Google Scholar] [CrossRef] [PubMed]
- Chernicky, C.L.; Yi, L.; Tan, H.; Ilan, J. Tissue-type plasminogen activator is upregulated in metastatic breast cancer cells exposed to insulin-like growth factor—I. Clin. Breast Cancer 2005, 6, 340–348. [Google Scholar] [CrossRef] [PubMed]
- Duffy, M.J.; McGowan, P.M.; Harbeck, N.; Thomssen, C.; Schmitt, M. uPA and PAI-1 as biomarkers in breast cancer: Validated for clinical use in level-of-evidence-1 studies. Breast Cancer Res. 2014, 16, 428. [Google Scholar] [CrossRef] [PubMed] [Green Version]
- Mahmood, N.; Mihalcioiu, C.; Rabbani, S.A. Multifaceted role of the urokinase-type plasminogen activator (uPA) and its receptor (uPAR): Diagnostic, prognostic, and therapeutic applications. Front. Oncol. 2018, 8, 24. [Google Scholar] [CrossRef] [Green Version]
- Carmona, P.; Mendez, N.; Ili, C.G.; Brebi, P. The Role of clock genes in fibrinolysis regulation: Circadian disturbance and its effect on fibrinolytic activity. Front. Physiol. 2020, 11, 129. [Google Scholar] [CrossRef] [PubMed]
- Lampelj, M.; Arko, D.; Cas-Sikosek, N.; Kavalar, R.; Ravnik, M.; Jezersek-Novakovic, B.; Dobnik, S.; Dovnik, N.F.; Takac, I. Urokinase plasminogen activator (uPA) and plasminogen activator inhibitor type-1 (PAI-1) in breast cancer-correlation with traditional prognostic factors. Radiol. Oncol. 2015, 49, 357–364. [Google Scholar] [CrossRef] [PubMed] [Green Version]
- Harbeck, N.; Schmitt, M.; Meisner, C.; Friedel, C.; Untch, M.; Schmidt, M.; Sweep, C.G.J.; Lisboa, B.W.; Lux, M.P.; Beck, T.; et al. Ten-year analysis of the prospective multicentre Chemo-N0 trial validates American Society of Clinical Oncology (ASCO)-recommended biomarkers uPA and PAI-1 for therapy decision making in node-negative breast cancer patients. Eur. J. Cancer 2013, 49, 1825–1835. [Google Scholar] [CrossRef] [PubMed]
- Placencio, V.R.; DeClerck, Y.A. Plasminogen activator inhibitor-1 in cancer: Rationale and insight for future therapeutic testing. Cancer Res. 2015, 75, 2969–2974. [Google Scholar] [CrossRef] [PubMed] [Green Version]





| Demographic and Clinical Data | Total (n = 41; 100% of European Ancestry) |
|---|---|
| Age (according to median) | |
| <56 | 18 (44%) |
| ≥56 | 23 (56%) |
| Menopausal status | |
| pre-menopause | 12 (29%) |
| post-menopause | 29 (71%) |
| T status (7th ed.) | |
| T1 | 24 (59%) |
| T2 | 17 (41%) |
| N status (7th ed.) | |
| N0 | 28 (68%) |
| N1 | 13 (32%) |
| Stage (7th ed.) | |
| IA | 16 (39%) |
| IIA+IIB | 25 (61%) |
| Molecular components | |
| ER (+) | 37 (90%) |
| ER (−) | 4 (10%) |
| PR (+) | 33 (80%) |
| PR (−) | 8 (20%) |
| HER2 (+) | 5 (12%) |
| HER2 (−) | 36 (88%) |
| Proliferation marker expression | |
| Ki67 < 20% | 29 (71%) |
| Ki67 ≥ 20% | 12 (29%) |
| Histological grade | |
| 1 | 10 (24%) |
| 2 | 31 (76%) |
| Histological type | |
| Ductal | 35 (85%) |
| Lobular | 6 (15%) |
| Tumour localisation | |
| Left breast | 19 (46%) |
| Right breast | 22 (54%) |
| Kit | Manufacturer | Assay Range | Detection Limit | The Intra-Assay Coefficient of Variation (CV, %) | The Inter-Assay Coefficient of Variation (CV, %) |
|---|---|---|---|---|---|
| Human PAI-1 Total Antigen ELISA Kit | Molecular Innovations, Inc., Novi, MI, USA | 0.25–100 ng/mL | 0.122 ng/mL | 3.13–7.89 | 3.83–8.10 |
| Human PAI-1 Activity ELISA Kit | 0.125–100 U/mL | 0.113 U/mL | 4.74–9.18 | 7.85–9.52 | |
| Human u-PA Total Antigen ELISA Kit | 0.1–50 ng/mL | 0.019 ng/mL | 2.77–7.16 | <15 | |
| Human u-PA Activity ELISA Kit | 0.1–50 ng/mL | 0.013 U/mL | 1.60–6.27 | 5.62–7.37 | |
| Human t-PA Total Antigen ELISA Kit | 0.2–25 ng/mL | 0.0108 ng/mL | <10 | <15 | |
| Human PAI-1/u-PA 1 Complex Antigen ELISA Kit | 0.1–100 ng/mL | 0.070 ng/mL | <10 | <15 | |
| Human PAI-1/t-PA Complex Antigen ELISA Kit | 0.5–100 ng/mL | 0.03 ng/mL | <10 | <15 |
| Variables of Interest | PAI-1 Activity [U/mL] p-Value | PAI-1 Antigen [ng/mL] p-Value | t-PA Antigen [ng/mL] p-Value | u-PA Activity [U/mL] p-Value | u-PA Antigen [ng/mL] p-Value | PAI-1/u-PA Complex [ng/mL] p-Value | PAI-1/t-PA Complex [ng/mL] p-Value |
|---|---|---|---|---|---|---|---|
| N0 N1 | 6.32 1.65/13.12 6.05 3.31/9.50 p = 0.9442 | 51.24 35.81/100.00 29.33 23.76/48.36 p = 0.0412 | 1.51 1.20/1.75 1.33 1.12/1.57 p = 0.2324 | 0.79 0.60/1.23 0.98 0.67/1.20 p = 0.7474 | 0.41 0.24/0.73 0.47 0.27/0.74 p = 0.9442 | 2.58 1.51/3.88 2.98 1.66/5.65 p = 0.2565 | 0.73 0.30/1.24 0.99 0.46/1.69 p = 0.6042 |
| T1 T2 | 5.51 1.67/13.07 7.58 3.39/10.83 p = 0.5694 | 48.97 28.44/91.64 42.18 29.56/91.67 p = 0.9052 | 1.55 1.25/1.73 1.32 0.98/1.52 p = 0.1216 | 0.92 0.72/1.23 0.78 0.55/1.03 p = 0.3210 | 0.44 0.23/0.74 0.40 0.28/0.72 p = 0.9262 | 2.77 1.54/4.51 2.60 1.62/5.23 p = 0.8015 | 0.90 0.32/1.71 0.67 0.33/1.18 p = 0.5168 |
| Stage I Stage II | 6.32 1.48/19.41 3.05 3.31/9.50 p = 0.9680 | 58.03 40.84/100.00 39.03 25.37/68.37 p = 0.0931 | 1.55 1.34/1.75 1.33 0.98/1.57 p = 0.1606 | 0.84 0.72/1.45 0.91 0.55/1.06 p = 0.2779 | 0.38 0.23/0.79 0.47 0.27/0.72 p = 0.9893 | 2.58 1.54/3.76 2.96 1.62/5.65 p = 0.3565 | 0.79 0.25/1.47 0.89 0.46/1.27 p = 0.9255 |
| Grade 1 Grade 2 | 3.19 1.33/14.52 6.92 3.31/11.74 p = 0.2189 | 85.80 45.18/100.00 41.94 25.37/68.37 p = 0.0565 | 1.48 1.22/1.73 1.41 1.10/1.68 p = 0.7488 | 0.92 0.73/1.57 0.86 0.55/1.06 p = 0.0904 | 0.47 0.32/0.84 0.40 0.25/0.74 p = 0.5744 | 1.86 0.89/4.26 2.94 1.62/5.65 p = 0.1767 | 0.90 0.23/1.73 0.82 0.33/1.27 p = 0.8198 |
| ER (+) ER (−) | 6.12 3.04/11.74 4.56 1.16/10.57 p = 0.4419 | 48.10 27.54/83.27 66.19 34.52/96.68 p = 0.5219 | 1.41 1.12/1.68 1.77 1.04/2.46 p = 0.1156 | 0.91 0.64/1.20 0.75 0.59/1.21 p = 0.7088 | 0.39 0.25/0.72 0.73 0.57/0.93 p = 0.5531 | 2.56 1.59/4.59 3.88 3.05/5.41 p = 0.2105 | 0.89 0.27/1.27 0.71 0.62/1.99 p = 0.7584 |
| PR (+) PR (−) | 6.12 3.31/12.68 5.16 1.62/8.40 p = 0.3157 | 48.10 27.54/91.67 46.06 34.52/73.28 p = 0.9604 | 1.41 1.12/1.68 1.39 1.04/2.19 p = 0.3189 | 0.93 0.67/1.26 0.73 0.53/0.87 p = 0.2429 | 0.37 0.25/0.74 0.57 0.45/0.80 p = 0.8051 | 2.50 1.59/4.59 3.37 2.58/5.41 p = 0.3656 | 0.89 0.27/1.28 0.71 0.45/1.17 p = 1.0000 |
| Ki67 < 20% Ki67 ≥ 20% | 6.12 1.79/11.74 6.66 2.67/11.39 p = 0.9886 | 45.18 29.33/68.37 60.77 26.88/96.68 p = 0.5941 | 1.52 1.29/1.68 1.24 1.01/1.75 p = 0.6432 | 0.96 0.55/1.26 0.76 0.70/1.07 p = 0.6364 | 0.39 0.26/0.67 0.63 0.30/0.81 p = 0.3980 | 2.89 1.62/4.59 2.58 1.41/4.75 p = 0.8974 | 0.89 0.38/1.27 0.71 1.41/4.75 p = 0.7526 |
| Luminal A Other types | 8.26 3.31/13.46 3.53 1.58/7.27 p = 0.0410 | 45.02 25.37/71.60 49.84 38.84/100.00 p = 0.2948 | 1.45 1.29/1.68 1.18 0.90/1.78 p = 0.8989 | 0.81 0.56/1.06 0.93 0.73/1.30 p = 0.6357 | 0.32 0.22/0.67 0.59 0.40/0.88 p = 0.0530 | 2.60 1.59/4.59 3.24 1.64/6.56 p = 0.5072 | 0.77 0.27/1.21 0.89 0.56/1.73 p = 0.3863 |
| ROC Data | Stimulant | Stimulant | Destimulant | Destimulant | Destimulant | Destimulant | Stimulant |
|---|---|---|---|---|---|---|---|
| PAI-1 Activity | PAI-1 Antigen | t-PA Antigen | u-PA Antigen | u-PA Activity | PAI-1/u-PA Complex | PAI-1/t-PA Complex | |
| AUC | 0.552 | 0.566 | 0.799 | 0.521 | 0.557 | 0.510 | 0.542 |
| Youden index | 0.34 | 0.26 | 0.58 | 0.17 | 0.25 | 0.24 | 0.23 |
| Cut-off point | 3.04 | 35.12 | 1.37 | 0.74 | 1.30 | 1.93 | 0.89 |
| Sensitivity (%) | 100 | 88.9 | 88.9 | 88.9 | 100 | 55.6 | 66.7 |
| Specificity (%) | 34.4 | 37.5 | 65.6 | 28.1 | 25.0 | 68.8 | 56.3 |
| Positive predictive value (%) | 30.0 | 28.6 | 42.1 | 25.8 | 27.3 | 33.3 | 30.0 |
| Negative predictive value (%) | 100.0 | 92.3 | 95.5 | 90.0 | 100.0 | 84.6 | 85.7 |
| Accuracy (%) | 48.8 | 48.8 | 70.7 | 41.5 | 41.5 | 65.9 | 58.5 |
| p-value | 0.5695 | 0.5044 | 0.0006 | 0.8369 | 0.5706 | 0.9350 | 0.7210 |
| PAI-1 Activity [U/mL] | PAI-1 Antigen [ng/mL] | t-PA Antigen [ng/mL] | u-PA Activity [U/mL] | u-PA Antigen [ng/mL] | PAI-1/u-PA Complex [ng/mL] | PAI-1/t-PA Complex [ng/mL] | |
|---|---|---|---|---|---|---|---|
| Medians | 6.12 | 48.10 | 1.41 | 0.86 | 0.41 | 2.65 | 0.82 |
| ROC cut-off points | 3.04 | 35.12 | 1.37 | 1.30 | 0.74 | 1.93 | 0.89 |
| Variable | Code | Disease-Free Survival | |
|---|---|---|---|
| OR (95% CI) | p-Value | ||
| PAI-1 antigen | <48.10 ng/mL ≥48.10 ng/mL | 1.25 (0.28–5.53) | 0.7685 |
| PAI-1 activity | <6.12 U/mL ≥6.12 U/mL | 0.80 (0.18–3.54) | 0.7685 |
| u-PA antigen | <0.41 ng/mL ≥0.41 ng/mL | 0.71 (0.16–3.12) | 0.6461 |
| u-PA activity | <0.86 U/mL ≥0.86 U/mL | 1.25 (0.28–5.53) | 0.7685 |
| t-PA antigen | <1.41 ng/mL ≥1.41 ng/mL | 0.06 (0.01–0.68) | 0.0209 |
| PAI-1/u-PA complex | <2.65 ng/mL ≥2.65 ng/mL | 0.71 (0.16–3.12) | 0.6461 |
| PAI-1/t-PA complex | <0.82 ng/mL ≥0.82 ng/mL | 2.27 (0.48–10.69) | 0.3008 |
| Multivariate | Univariate | |||
|---|---|---|---|---|
| Variables | HR (95% CI) | p-Values | HR (95% CI) | p-Values |
| PAI-1 antigen | ||||
| Low | 4.41 | 0.0768 | 1.34 | 0.6652 |
| High | (0.85–22.85) | (0.36–4.99) | ||
| PAI-1 activity | ||||
| Low | 8.42 | 0.1497 | 0.83 | 0.7784 |
| High | (0.46–152.83) | (0.22–3.08) | ||
| u-PA antigen | ||||
| Low | 0.73 | 0.7551 | 0.74 | 0.6468 |
| High | (0.10–5.36) | (0.20–2.74) | ||
| u-PA activity | ||||
| Low | 0.64 | 0.6849 | 1.17 | 0.8192 |
| High | (0.08–5.46) | (0.31–4.34) | ||
| t-PA antigen | ||||
| Low | 0.15 | 0.1199 | 0.10 | 0.0323 |
| High | (0.01–1.64) | (0.01–0.83) | ||
| PAI-1/u-PA complex | ||||
| Low | 0.12 | 0.71 | ||
| High | (0.01–1.34) | 0.0839 | (0.19–2.64) | 0.6065 |
| PAI-1/t-PA complex | ||||
| Low | 0.87 | 0.8812 | 1.93 | 0.3527 |
| High | (0.15–5.24) | (0.48–7.72) | ||
| Model 1 | Model 2 | Model 3 | Model 4 | ||
|---|---|---|---|---|---|
| PAI-1 antigen | Beta p-value | 0.0914 0.5758 | 0.1434 0.3886 | 0.1468 0.3865 | 0.2002 0.1832 |
| PAI-1 activity | Beta p-value | −0.0930 0.5941 | −0.0116 0.9556 | −0.0094 0.9651 | 0.3033 0.1133 |
| u-PA antigen | Beta p-value | −0.1048 0.6066 | −0.0259 0.9793 | −0.0204 0.9093 | −0.0499 0.7539 |
| u-PA activity | Beta p-value | −0.1041 0.5458 | −0.1306 0.4624 | −0.1386 0.4430 | −0.1739 0.2721 |
| t-PA antigen | Beta p-value | −0.4197 0.0071 | −0.3788 0.0213 | −0.3815 0.0227 | −0.1996 0.2039 |
| PAI-1/u-PA complex | Beta p-value | 0.0925 0.5700 | 0.1224 0.4590 | 0.1136 0.5064 | 0.0939 0.5611 |
| PAI-1/t-PA complex | Beta p-value | 0.0160 0.9228 | 0.0931 0.5985 | 0.0836 0.6471 | 0.1960 0.2081 |
Publisher’s Note: MDPI stays neutral with regard to jurisdictional claims in published maps and institutional affiliations. |
© 2022 by the authors. Licensee MDPI, Basel, Switzerland. This article is an open access article distributed under the terms and conditions of the Creative Commons Attribution (CC BY) license (https://creativecommons.org/licenses/by/4.0/).
Share and Cite
Wrzeszcz, K.; Słomka, A.; Zarychta, E.; Rhone, P.; Ruszkowska-Ciastek, B. Tissue Plasminogen Activator as a Possible Indicator of Breast Cancer Relapse: A Preliminary, Prospective Study. J. Clin. Med. 2022, 11, 2398. https://doi.org/10.3390/jcm11092398
Wrzeszcz K, Słomka A, Zarychta E, Rhone P, Ruszkowska-Ciastek B. Tissue Plasminogen Activator as a Possible Indicator of Breast Cancer Relapse: A Preliminary, Prospective Study. Journal of Clinical Medicine. 2022; 11(9):2398. https://doi.org/10.3390/jcm11092398
Chicago/Turabian StyleWrzeszcz, Katarzyna, Artur Słomka, Elżbieta Zarychta, Piotr Rhone, and Barbara Ruszkowska-Ciastek. 2022. "Tissue Plasminogen Activator as a Possible Indicator of Breast Cancer Relapse: A Preliminary, Prospective Study" Journal of Clinical Medicine 11, no. 9: 2398. https://doi.org/10.3390/jcm11092398
APA StyleWrzeszcz, K., Słomka, A., Zarychta, E., Rhone, P., & Ruszkowska-Ciastek, B. (2022). Tissue Plasminogen Activator as a Possible Indicator of Breast Cancer Relapse: A Preliminary, Prospective Study. Journal of Clinical Medicine, 11(9), 2398. https://doi.org/10.3390/jcm11092398

