Reduced Skeletal Muscle Mass Is Associated with an Increased Risk of Asthma Control and Exacerbation
Abstract
1. Introduction
2. Materials and Methods
2.1. Study Design and Patients
2.2. Data Collection and Clinical Assessments
2.3. Anthropometric and BCAssessments
2.4. Spirometry and FeNO
2.5. Sputum and Blood Processing
2.6. Atopy
2.7. Asthma Control
2.8. Asthma Exacerbation
2.9. Statistical Analyses
2.10. Clinical Prediction Model for Predicting AEx
2.10.1. Selection of Variables and Clinical Prediction Model Establishment
2.10.2. Nomogram Establishment of Predicting AEx
2.10.3. Performance of the Model and Clinical Applicability of the Nomogram
3. Results
3.1. Participant Characteristics
3.2. Anthropometric and BC Assessments
3.3. Asthma Control
3.4. Asthma Exacerbation
3.5. Clinical Prediction Model
3.5.1. Selection of Variables and Establishment of a Clinical Prediction Model
3.5.2. Nomogram of Predicting AEx
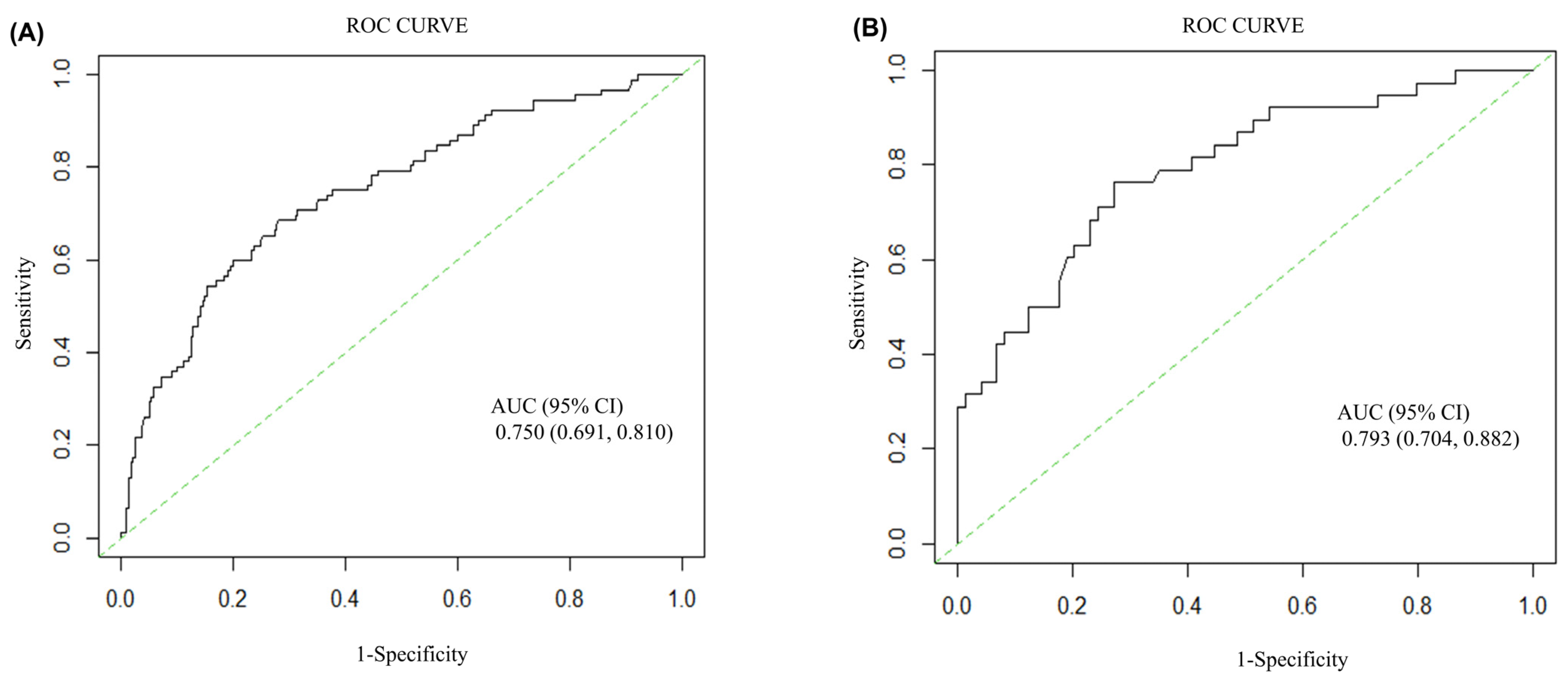
3.5.3. Performance of the Prediction Model and Clinical Applicability of the Nomogram
4. Discussion
5. Conclusions
Supplementary Materials
Author Contributions
Funding
Institutional Review Board Statement
Informed Consent Statement
Data Availability Statement
Acknowledgments
Conflicts of Interest
Abbreviations
| AEx | Asthma exacerbation |
| ACQ | Asthma Control Questionnaire |
| ACT | Asthma Control Test |
| ATS | American Thoracic Society |
| AUC | Receiver operator characteristic (ROC) curve |
| BC | Body composition |
| BMI | Body mass index |
| BIA | Multifrequency bioimpedance analysis |
| BDP | Beclomethasone dipropionate |
| COPD | Chronic obstructive pulmonary disease |
| CIC | Clinical impact curve |
| C-index | Concordance index |
| DCA | Decision curve analysis |
| ER | Emergency room |
| ERS | European Respiratory Society |
| FM | Fat mass |
| FeNO | Fractional exhaled nitric oxide |
| FEV1 | Forced expiratory volume in 1 s |
| FVC | Forced vital capacity |
| GERD | Gastroesophageal reflux disease |
| HADS | Hospital Anxiety and Depression Scale |
| HL | Hosmer–Lemeshow |
| IgE | Immunoglobulin E |
| ICS | Inhaled corticosteroid |
| IDI | Integrated discrimination improvement |
| LABA | Long-acting β2-agonist |
| LASSO | Least absolute shrinkage and selection operator |
| NRI | Net reclassification improvement |
| OCS | Oral corticosteroid |
| PBF | Percentage body fat |
| ROC | Receiver operator characteristic |
| SMM | Skeletal muscle mass |
| SPT | Skin prick test |
| SCS | Systemic corticosteroids |
| VFA | Visceral fat area |
References
- Global Initiative for Asthma. Global Strategy for Asthma Management and Prevention. 2014. Available online: https://www.ginasthma.org (accessed on 20 August 2020).
- Abdo, M.; Waschki, B.; Kirsten, A.M.; Trinkmann, F.; Biller, H.; Herzmann, C.; von Mutius, E.; Kopp, M.; Hansen, G.; Rabe, K.F.; et al. Persistent Uncontrolled Asthma: Long-Term Impact on Physical Activity and Body Composition. J. Asthma Allergy 2021, 14, 229–240. [Google Scholar] [CrossRef] [PubMed]
- Tieland, M.; Trouwborst, I.; Clark, B.C. Skeletal muscle performance and ageing. J. Cachexia Sarcopenia Muscle 2018, 9, 3–19. [Google Scholar] [CrossRef] [PubMed]
- Thibault, R.; Pichard, C. The evaluation of body composition: A useful tool for clinical practice. Ann. Nutr. Metab. 2012, 60, 6–16. [Google Scholar] [CrossRef] [PubMed]
- Son, J.W.; Lee, S.S.; Kim, S.R.; Yoo, S.J.; Cha, B.Y.; Son, H.Y.; Cho, N.H. Low muscle mass and risk of type 2 diabetes in middle-aged and older adults: Findings from the KoGES. Diabetologia 2017, 60, 865–872. [Google Scholar] [CrossRef] [PubMed]
- Fiuza-Luces, C.; Santos-Lozano, A.; Joyner, M.; Carrera-Bastos, P.; Picazo, O.; Zugaza, J.L.; Izquierdo, M.; Ruilope, L.M.; Lucia, A. Exercise benefits in cardiovascular disease: Beyond attenuation of traditional risk factors. Nat. Rev. Cardiol. 2018, 15, 731–743. [Google Scholar] [CrossRef]
- Lin, T.Y.; Peng, C.H.; Hung, S.C.; Tarng, D.C. Body composition is associated with clinical outcomes in patients with non-dialysis-dependent chronic kidney disease. Kidney Int. 2018, 93, 733–740. [Google Scholar] [CrossRef]
- Chandra, A.; Neeland, I.J.; Berry, J.D.; Ayers, C.R.; Rohatgi, A.; Das, S.R.; Khera, A.; McGuire, D.K.; de Lemos, J.A.; Turer, A.T. The relationship of body mass and fat distribution with incident hypertension: Observations from the Dallas Heart Study. J. Am. Coll. Cardiol. 2014, 64, 997–1002. [Google Scholar] [CrossRef]
- Ziolkowski, S.L.; Long, J.; Baker, J.F.; Chertow, G.M.; Leonard, M.B. Relative sarcopenia and mortality and the modifying effects of chronic kidney disease and adiposity. J. Cachexia Sarcopenia Muscle 2019, 10, 338–346. [Google Scholar] [CrossRef]
- Gallagher, D.; Ruts, E.; Visser, M.; Heshka, S.; Baumgartner, R.N.; Wang, J.; Pierson, R.N.; Pi-Sunyer, F.X.; Heymsfield, S.B. Weight stability masks sarcopenia in elderly men and women. Am. J. Physiol. Endocrinol. Metab. 2000, 279, E366–E375. [Google Scholar] [CrossRef]
- Bye, A.; Sjøblom, B.; Wentzel-Larsen, T.; Grønberg, B.H.; Baracos, V.E.; Hjermstad, M.J.; Aass, N.; Bremnes, R.M.; Fløtten, Ø.; Jordhøy, M. Muscle mass and association to quality of life in non-small cell lung cancer patients. J. Cachexia Sarcopenia Muscle 2017, 8, 759–767. [Google Scholar] [CrossRef]
- Moon, S.W.; Choi, J.S.; Lee, S.H.; Jung, K.S.; Jung, J.Y.; Kang, Y.A.; Park, M.S.; Kim, Y.S.; Chang, J.; Kim, S.Y. Thoracic skeletal muscle quantification: Low muscle mass is related with worse prognosis in idiopathic pulmonary fibrosis patients. Respir. Res. 2019, 20, 35. [Google Scholar] [CrossRef] [PubMed]
- GBD 2015 Chronic Respiratory Disease Collaborators. Global, regional, and national deaths, prevalence, disability-adjusted life years, and years lived with disability for chronic obstructive pulmonary disease and asthma, 1990-2015: A systematic analysis for the Global Burden of Disease Study 2015. Lancet Respir. Med. 2017, 5, 691–706. [Google Scholar] [CrossRef] [PubMed]
- Jones, S.E.; Maddocks, M.; Kon, S.S.; Canavan, J.L.; Nolan, C.M.; Clark, A.L.; Polkey, M.I.; Man, W.D. Sarcopenia in COPD: Prevalence, clinical correlates and response to pulmonary rehabilitation. Thorax 2015, 70, 213–218. [Google Scholar] [CrossRef] [PubMed]
- Costa, T.M.; Costa, F.M.; Moreira, C.A.; Rabelo, L.M.; Boguszewski, C.L.; Borba, V.Z. Sarcopenia in COPD: Relationship with COPD severity and prognosis. J. Bras. De Pneumol. 2015, 41, 415–421. [Google Scholar] [CrossRef]
- Vestbo, J.; Prescott, E.; Almdal, T.; Dahl, M.; Nordestgaard, B.G.; Andersen, T.; Sørensen, T.I.; Lange, P. Body mass, fat-free body mass, and prognosis in patients with chronic obstructive pulmonary disease from a random population sample: Findings from the Copenhagen City Heart Study. Am. J. Respir. Crit. Care Med. 2006, 173, 79–83. [Google Scholar] [CrossRef]
- Deng, K.; Zhang, X.; Liu, Y.; Cheng, G.P.; Zhang, H.P.; Wang, T.; Wang, L.; Li, W.M.; Wang, G.; Wood, L. Visceral obesity is associated with clinical and inflammatory features of asthma: A prospective cohort study. Allergy Asthma Proc. 2020, 41, 348–356. [Google Scholar] [CrossRef]
- McDonald, V.M.; Clark, V.L.; Cordova-Rivera, L.; Wark, P.A.B.; Baines, K.J.; Gibson, P.G. Targeting treatable traits in severe asthma: A randomised controlled trial. Eur. Respir. J. 2019, 55, 1901509. [Google Scholar] [CrossRef]
- Peters, U.; Dixon, A.E.; Forno, E. Obesity and asthma. J. Allergy Clin. Immunol. 2018, 141, 1169–1179. [Google Scholar] [CrossRef]
- InBody770. Premium Solution for Your Health. Available online: https://www.inbodyusa.com/pages/inbodys10 (accessed on 1 March 2020).
- Janssen, I.; Heymsfield, S.B.; Baumgartner, R.N.; Ross, R. Estimation of skeletal muscle mass by bioelectrical impedance analysis. J. Appl. Physiol. 2000, 89, 465–471. [Google Scholar] [CrossRef]
- Bjelland, I.; Dahl, A.A.; Haug, T.T.; Neckelmann, D. The validity of the Hospital Anxiety and Depression Scale. An updated literature review. J. Psychosom. Res. 2002, 52, 69–77. [Google Scholar] [CrossRef] [PubMed]
- Harris, T.B. Invited commentary: Body composition in studies of aging: New opportunities to better understand health risks associated with weight. Am. J. Epidemiol. 2002, 156, 122–124; discussion 125–126. [Google Scholar] [CrossRef]
- Miller, M.R.; Hankinson, J.; Brusasco, V.; Burgos, F.; Casaburi, R.; Coates, A.; Crapo, R.; Enright, P.; van der Grinten, C.P.; Gustafsson, P.; et al. Standardisation of spirometry. Eur. Respir. J. 2005, 26, 319–338. [Google Scholar] [CrossRef] [PubMed]
- Dweik, R.A.; Boggs, P.B.; Erzurum, S.C.; Irvin, C.G.; Leigh, M.W.; Lundberg, J.O.; Olin, A.C.; Plummer, A.L.; Taylor, D.R. An official ATS clinical practice guideline: Interpretation of exhaled nitric oxide levels (FENO) for clinical applications. Am. J. Respir. Crit. Care Med. 2011, 184, 602–615. [Google Scholar] [CrossRef] [PubMed]
- Liu, L.; Zhang, X.; Liu, Y.; Zhang, L.; Zheng, J.; Wang, J.; Hansbro, P.M.; Wang, L.; Wang, G.; Hsu, A.C. Chitinase-like protein YKL-40 correlates with inflammatory phenotypes, anti-asthma responsiveness and future exacerbations. Respir. Res. 2019, 20, 95. [Google Scholar] [CrossRef] [PubMed]
- Wang, G.; Baines, K.J.; Fu, J.J.; Wood, L.G.; Simpson, J.L.; McDonald, V.M.; Cowan, D.C.; Taylor, D.R.; Cowan, J.O.; Gibson, P.G. Sputum mast cell subtypes relate to eosinophilia and corticosteroid response in asthma. Eur. Respir. J. 2016, 47, 1123–1133. [Google Scholar] [CrossRef] [PubMed]
- Zheng, J.; Zhang, X.; Zhang, L.; Zhang, H.P.; Wang, L.; Wang, G. Interactive effects between obesity and atopy on inflammation: A pilot study for asthma phenotypic overlap. Ann. Allergy Asthma Immunol. 2016, 117, 716–717. [Google Scholar] [CrossRef]
- Juniper, E.F.; O’Byrne, P.M.; Guyatt, G.H.; Ferrie, P.J.; King, D.R. Development and validation of a questionnaire to measure asthma control. Eur. Respir. J. 1999, 14, 902–907. [Google Scholar] [CrossRef]
- Reddel, H.K.; Taylor, D.R.; Bateman, E.D.; Boulet, L.P.; Boushey, H.A.; Busse, W.W.; Casale, T.B.; Chanez, P.; Enright, P.L.; Gibson, P.G.; et al. An official American Thoracic Society/European Respiratory Society statement: Asthma control and exacerbations: Standardizing endpoints for clinical asthma trials and clinical practice. Am. J. Respir. Crit. Care Med. 2009, 180, 59–99. [Google Scholar] [CrossRef]
- Gea, J.; Sancho-Muñoz, A.; Chalela, R. Nutritional status and muscle dysfunction in chronic respiratory diseases: Stable phase versus acute exacerbations. J. Thorac. Dis. 2018, 10, S1332–S1354. [Google Scholar] [CrossRef]
- Kim, Y.M.; Kim, J.H.; Baik, S.J.; Jung, D.H.; Park, J.J.; Youn, Y.H.; Park, H. Association between skeletal muscle attenuation and gastroesophageal reflux disease: A health check-up cohort study. Sci. Rep. 2019, 9, 20102. [Google Scholar] [CrossRef]
- Volpato, S.; Bianchi, L.; Lauretani, F.; Lauretani, F.; Bandinelli, S.; Guralnik, J.M.; Zuliani, G.; Ferrucci, L. Role of muscle mass and muscle quality in the association between diabetes and gait speed. Diabetes Care 2012, 35, 1672–1679. [Google Scholar] [CrossRef]
- Iasonos, A.; Schrag, D.; Raj, G.V.; Panageas, K.S. How to build and interpret a nomogram for cancer prognosis. J. Clin. Oncol. Off. J. Am. Soc. Clin. Oncol. 2008, 26, 1364–1370. [Google Scholar] [CrossRef] [PubMed]
- Tang, X.R.; Li, Y.Q.; Liang, S.B.; Jiang, W.; Liu, F.; Ge, W.X.; Tang, L.L.; Mao, Y.P.; He, Q.M.; Yang, X.J.; et al. Development and validation of a gene expression-based signature to predict distant metastasis in locoregionally advanced nasopharyngeal carcinoma: A retrospective, multicentre, cohort study. Lancet Oncol. 2018, 19, 382–393. [Google Scholar] [CrossRef] [PubMed]
- Jakobsen, J.C.; Gluud, C.; Wetterslev, J.; Winkel, P. When and how should multiple imputation be used for handling missing data in randomised clinical trials—A practical guide with flowcharts. BMC Med. Res. Methodol. 2017, 17, 162. [Google Scholar] [CrossRef] [PubMed]
- Gong, J.; Ou, J.; Qiu, X.; Jie, Y.; Chen, Y.; Yuan, L.; Cao, J.; Tan, M.; Xu, W.; Zheng, F.; et al. A Tool for Early Prediction of Severe Coronavirus Disease 2019 (COVID-19): A Multicenter Study Using the Risk Nomogram in Wuhan and Guangdong, China. Clin. Infect. Dis. 2020, 71, 833–840. [Google Scholar] [CrossRef] [PubMed]
- Lindholm, D.; Lindbäck, J.; Armstrong, P.W.; Budaj, A.; Cannon, C.P.; Granger, C.B.; Hagström, E.; Held, C.; Koenig, W.; Östlund, O.; et al. Biomarker-Based Risk Model to Predict Cardiovascular Mortality in Patients With Stable Coronary Disease. J. Am. Coll. Cardiol. 2017, 70, 813–826. [Google Scholar] [CrossRef]
- Pencina, M.J.; D’Agostino, R.B., Sr.; D’Agostino, R.B., Jr.; Vasan, R.S. Evaluating the added predictive ability of a new marker: From area under the ROC curve to reclassification and beyond. Stat. Med. 2008, 27, 157–172; discussion 207–212. [Google Scholar] [CrossRef]
- Diblasio, C.J.; Kattan, M.W. Use of nomograms to predict the risk of disease recurrence after definitive local therapy for prostate cancer. Urology 2003, 62 (Suppl. 1), 9–18. [Google Scholar] [CrossRef]
- Akobeng, A.K. Understanding diagnostic tests 3: Receiver operating characteristic curves. Acta Paediatr. 2007, 96, 644–647. [Google Scholar] [CrossRef]
- Steyerberg, E.W.; Vergouwe, Y. Towards better clinical prediction models: Seven steps for development and an ABCD for validation. Eur. Heart J. 2014, 35, 1925–1931. [Google Scholar] [CrossRef]
- Steyerberg, E.W.; Harrell, F.E., Jr.; Borsboom, G.J.; Eijkemans, M.J.; Vergouwe, Y.; Habbema, J.D. Internal validation of predictive models: Efficiency of some procedures for logistic regression analysis. J. Clin. Epidemiol. 2001, 54, 774–781. [Google Scholar] [CrossRef]
- Vickers, A.J.; Elkin, E.B. Decision curve analysis: A novel method for evaluating prediction models. Med. Decis. Mak. Int. J. Soc. Med. Decis. Mak. 2006, 26, 565–574. [Google Scholar] [CrossRef]
- Huang, Y.Q.; Liang, C.H.; He, L.; Tian, J.; Liang, C.S.; Chen, X.; Ma, Z.L.; Liu, Z.Y. Development and Validation of a Radiomics Nomogram for Preoperative Prediction of Lymph Node Metastasis in Colorectal Cancer. J. Clin. Oncol. Off. J. Am. Soc. Clin. Oncol. 2016, 34, 2157–2164. [Google Scholar] [CrossRef]
- Kerr, K.F.; Brown, M.D.; Zhu, K.; Janes, H. Assessing the Clinical Impact of Risk Prediction Models with Decision Curves: Guidance for Correct Interpretation and Appropriate Use. J. Clin. Oncol. Off. J. Am. Soc. Clin. Oncol. 2016, 34, 2534–2540. [Google Scholar] [CrossRef]
- Qaisar, R.; Qayum, M.; Muhammad, T. Reduced sarcoplasmic reticulum Ca(2+) ATPase activity underlies skeletal muscle wasting in asthma. Life Sci. 2021, 273, 119296. [Google Scholar] [CrossRef] [PubMed]
- Ramos, E.; de Oliveira, L.V.; Silva, A.B.; Costa, I.P.; Corrêa, J.C.; Costa, D.; Alves, V.L.; Donner, C.F.; Stirbulov, R.; Arena, R.; et al. Peripheral muscle strength and functional capacity in patients with moderate to severe asthma. Multidiscip. Respir. Med. 2015, 10, 3. [Google Scholar] [CrossRef] [PubMed]
- Moon, J.H.; Kong, M.H.; Kim, H.J. Implication of Sarcopenia and Sarcopenic Obesity on Lung Function in Healthy Elderly: Using Korean National Health and Nutrition Examination Survey. J. Korean Med. Sci. 2015, 30, 1682–1688. [Google Scholar] [CrossRef]
- Kelly, M.M.; Leigh, R.; Jayaram, L.; Goldsmith, C.H.; Parameswaran, K.; Hargreave, F.E. Eosinophilic bronchitis in asthma: A model for establishing dose-response and relative potency of inhaled corticosteroids. J. Allergy Clin. Immunol. 2006, 117, 989–994. [Google Scholar] [CrossRef] [PubMed]
- Steensberg, A.; Fischer, C.P.; Keller, C.; Møller, K.; Pedersen, B.K. IL-6 enhances plasma IL-1ra, IL-10, and cortisol in humans. Am. J. Physiol. Endocrinol. Metab. 2003, 285, E433–E437. [Google Scholar] [CrossRef]
- Nielsen, A.R.; Hojman, P.; Erikstrup, C.; Fischer, C.P.; Plomgaard, P.; Mounier, R.; Mortensen, O.H.; Broholm, C.; Taudorf, S.; Krogh-Madsen, R.; et al. Association between interleukin-15 and obesity: Interleukin-15 as a potential regulator of fat mass. J. Clin. Endocrinol. Metab. 2008, 93, 4486–4493. [Google Scholar] [CrossRef] [PubMed]
- Wang, G.; McDonald, V.M.; Gibson, P.G. Management of severe asthma: From stepwise approach to therapy to treatable traits? Precis. Clin. Med. 2021, 4, 293–296. [Google Scholar] [CrossRef]
- Eckardt, K.; Görgens, S.W.; Raschke, S.; Eckel, J. Myokines in insulin resistance and type 2 diabetes. Diabetologia 2014, 57, 1087–1099. [Google Scholar] [CrossRef]
- Levin, O.S.; Polunina, A.G.; Demyanova, M.A.; Isaev, F.V. Steroid myopathy in patients with chronic respiratory diseases. J. Neurol. Sci. 2014, 338, 96–101. [Google Scholar] [CrossRef]
- Joassard, O.R.; Durieux, A.C.; Freyssenet, D.G. β2-Adrenergic agonists and the treatment of skeletal muscle wasting disorders. Int. J. Biochem. Cell Biol. 2013, 45, 2309–2321. [Google Scholar] [CrossRef]
- Boneva-Asiova, Z.; Boyanov, M.A. Body composition analysis by leg-to-leg bioelectrical impedance and dual-energy X-ray absorptiometry in non-obese and obese individuals. Diabetes Obes. Metab. 2008, 10, 1012–1018. [Google Scholar] [CrossRef] [PubMed]
- Stewart, S.P.; Bramley, P.N.; Heighton, R.; Green, J.H.; Horsman, A.; Losowsky, M.S.; Smith, M.A. Estimation of body composition from bioelectrical impedance of body segments: Comparison with dual-energy X-ray absorptiometry. Br. J. Nutr. 1993, 69, 645–655. [Google Scholar] [CrossRef] [PubMed]
- Rusticus, S.A.; Lovato, C.Y. Impact of Sample Size and Variability on the Power and Type I Error Rates of Equivalence Tests: A Simulation Study. 2014. Available online: https://scholarworks.umass.edu/cgi/viewcontent.cgi?article=1323&context=pare (accessed on 2 December 2022).
- Cohen, J. A power primer. Psychol. Bull. 1992, 112, 155–159. [Google Scholar] [CrossRef] [PubMed]





| Variables | SMM Normal | SMM Low | SMM High | χ2/H | p Value |
|---|---|---|---|---|---|
| n | 223 | 88 | 23 | ||
| Anthropometric/asthma data | |||||
| Age, years, median (Q1, Q3) | 44.5 (36.8, 62.0) | 57.0 (40.0, 69.0) | 47.5 (38.3, 53.0) | 0.010 | 0.995 |
| Female/male, n (%) | 148 (66.4)/75 (33.6) | 58 (65.9)/30 (34.1) | 13 (56.5)/10 (43.5) | 0.901 | 0.637 |
| BMI | |||||
| kg/m2, median (Q1, Q3) | 24.09 (22.77, 26.37) | 20.66 (19.46, 22.77) * | 27.85 (27.29, 30.11) *, ** | 111.165 | <0.001 |
| Normal/overweight/obese, n (%) | 130 (58.3)/75 (33.6)/17 (7.6) | 66 (75.0)/5 (5.7)/0 (0) * | 3 (13.0)/8 (34.8)/12 (52.2) *, ** | NA | <0.001 § |
| WHR, median (Q1, Q3) | 0.88 (0.84, 0.92) | 0.83 (0.79, 0.90) * | 0.93 (0.90, 0.95) *, ** | 29.483 | <0.001 |
| Smoking history (n), current/ex/never smoker | 18/29/176 | 6/17/65 | 4/2/17 | 5.058 | 0.281 |
| Pack years & median (Q1, Q3) | 13.00 (2.50, 26.00) | 21.50 (6.63, 32.00) | 18.25 (3.50, 32.00) | 1.276 | 0.528 |
| Asthma duration (y), median (Q1, Q3) | 5.0 (2.0, 20) | 5.0 (2.0, 19.5) | 9.0 (2, 25.0) | 0.771 | 0.680 |
| Early-onset asthma #, n (%) | 38 (17.0) | 14 (15.9) | 6 (26.1) | NA | 0.024 § |
| Atopy status, n (%) | 79 (38.3) | 35 (44.9) | 6 (30.0) | 1.812 | 0.404 |
| Previous upper respiratory infection-induced asthma exacerbations, n (%) | 155 (69.8) | 67 (76.1) | 15 (65.2) | 1.652 | 0.438 |
| Asthma family history, n (%) | 73 (32.7) | 37 (42.0) | 14 (60.9) * | NA | 0.031 § |
| Spirometry | |||||
| Pre-bronchodilator FEV1, L, median (Q1, Q3) | 2.06 (1.64, 2.85) | 1.64 (1.28, 2.49) | 2.32 (2.02, 2.65) ** | 8.632 | 0.013 |
| Pre-bronchodilator FEV1% predicted, median (Q1, Q3) | 76.0 (62.0, 90.0) | 66.0 (47.0, 82.5) * | 92.0 (78.0, 104.0) ** | 15.684 | <0.001 |
| Pre-bronchodilator FEV1/FVC, %, median (Q1, Q3) | 66.01 (57.54, 76.79) | 66.41 (55.23, 75.43) | 74.43 (59.28, 82.21) | 2.316 | 0.314 |
| Asthma control | |||||
| ACQ-6 scores, median (Q1, Q3) | 0.5 (0, 1.3) | 0.8 (0.3, 1.3) | 0.2 (0, 0.6) ** | 8.384 | 0.015 |
| Incompletely controlled asthma, n (%) ‡ | 95 (42.6) | 49 (55.7) | 5 (21.7) ** | 9.599 | 0.008 |
| Health status | |||||
| HADS-A | |||||
| Median (Q1, Q3) | 1.0 (0, 4.0) | 1.0 (0, 4.0) | 1.0 (0, 2.0) | 3.332 | 0.189 |
| ≥8, n (%) ¶ | 15 (6.7) | 6 (6.8) | 1 (4.3) | NA | 1.000 § |
| HADS-D | 0.504 | ||||
| Median (Q1, Q3) | 1.0 (0, 3.0) | 1.0 (0, 3.0) | 0 (0, 2.0) | 1.370 | 0.504 |
| ≥8, n (%) ¶ | 16 (7.2) | 8 (9.1) | 1 (4.3) | NA | 0.780 § |
| Asthma-related medications | |||||
| ICS (BDP equivalent) dose (μg/d), median (Q1, Q3) | 400.0 (400.0, 1000.0) | 500.0 (400.0, 1000.0) | 400.0 (200.0, 625.0) | 4.064 | 0.131 |
| ICS/LABA, n (%) | 135 (60.5) | 44 (50.0) | 13 (56.5) | 2.877 | 0.237 |
| OCS use | |||||
| n (%) | 8 (3.6) | 1 (1.1) | 2 (8.7) | NA | 0.157 § |
| Days with OCS use for exacerbation, median (Q1, Q3) | 7.00 (6.50, 7.00) | 7.00 | 6.00 (2.00, 10.00) | 0.084 | 0.959 |
| Daily doses of OCS equivalent to prednisone †, mg, median (Q1, Q3) | 20.00 (20.00, 32.50) | 20.00 | 55.00 (30.00, 80.00) | 3.598 | 0.165 |
| Cumulative doses of OCS equivalent to prednisone †, mg, median (Q1, Q3) | 157.50 (140.00, 280.00) | 140.00 | 430.00 (60.00, 800.00) | 0.242 | 0.886 |
| Leukotriene modifier, n (%) | 74 (33.2) | 24 (27.3) | 9 (39.1) | 1.584 | 0.453 |
| Theophylline, n (%) | 35 (15.7) | 19 (21.6) | 3 (13.0) | NA | 0.428 § |
| Exacerbation in the past year, n (%) | |||||
| Severe exacerbation | 57 (25.6) | 29 (33.0) | 10 (43.5) | 4.303 | 0.116 |
| Hospitalization | 59 (26.5) | 22 (25.0) | 3 (13.0) | 1.994 | 0.369 |
| Emergency room visit | 31 (13.9) | 14 (15.9) | 2 (8.7) | NA | 0.728 § |
| Unscheduled visit | 68 (30.5) | 28 (31.8) | 5 (21.7) | 0.899 | 0.638 |
| Comorbidity, n (%) | |||||
| Rhinitis | 129 (57.8) | 42 (47.7) | 8 (34.8) | 6.113 | 0.047 |
| Bronchiectasis | 11 (4.9) | 4 (4.5) | 0 (0.0) | NA | 0.825 § |
| Sleep apnea | 3 (1.3) | 0 (0.0) | 0 (0.0) | NA | 0.646 § |
| GERD | 14 (6.3) | 4 (4.5) | 1 (4.3) | NA | 0.922 § |
| Eczema | 45 (20.2) | 17 (19.3) | 6 (26.1) | NA | 0.750 § |
| COPD | 11 (4.9) | 11 (12.5) | 0 (0.0) | NA | 0.037 § |
| Diabetes | 7 (3.1) | 1 (1.1) | 1 (4.3) | NA | 0.346 § |
| Group | β | SE for β | OR adj | 95% CI for OR adj | p Value | |
|---|---|---|---|---|---|---|
| Lower | Upper | |||||
| SMM Normal | Reference | |||||
| SMM High | −0.983 | 0.523 | 0.374 | 0.134 | 1.044 | 0.060 |
| SMM Low | 0.512 | 0.255 | 1.668 | 1.012 | 2.749 | 0.045 |
| Variables | SMM Normal Group | SMM Low Group | SMM High Group | Total | χ2/H | p Value |
|---|---|---|---|---|---|---|
| n | 213 | 82 | 23 | 318 | ||
| Moderate-to-severe exacerbation | ||||||
| n (%) | 55 (25.8) | 33 (40.2) * | 4 (17.4) | 92 | 7.595 | 0.022 |
| Mean ± SD | 0.61 ± 1.40 | 0.94 ± 1.53 * | 0.52 ± 1.24 | 0.65 ± 1.40 | 7.149 | 0.028 |
| Severe exacerbation | ||||||
| n (%) | 29 (13.6) | 20 (24.4) | 0 (0) ** | 49 | NA | 0.006 § |
| Mean ± SD | 0.27 ± 0.84 | 0.43 ± 0.96 | 0 ± 0 ** | 0.28 ± 0.83 | 9.399 | 0.009 |
Publisher’s Note: MDPI stays neutral with regard to jurisdictional claims in published maps and institutional affiliations. |
© 2022 by the authors. Licensee MDPI, Basel, Switzerland. This article is an open access article distributed under the terms and conditions of the Creative Commons Attribution (CC BY) license (https://creativecommons.org/licenses/by/4.0/).
Share and Cite
Zhang, S.; Zhang, X.; Deng, K.; Wang, C.; Wood, L.G.; Wan, H.; Liu, L.; Wang, J.; Zhang, L.; Liu, Y.; et al. Reduced Skeletal Muscle Mass Is Associated with an Increased Risk of Asthma Control and Exacerbation. J. Clin. Med. 2022, 11, 7241. https://doi.org/10.3390/jcm11237241
Zhang S, Zhang X, Deng K, Wang C, Wood LG, Wan H, Liu L, Wang J, Zhang L, Liu Y, et al. Reduced Skeletal Muscle Mass Is Associated with an Increased Risk of Asthma Control and Exacerbation. Journal of Clinical Medicine. 2022; 11(23):7241. https://doi.org/10.3390/jcm11237241
Chicago/Turabian StyleZhang, Shuwen, Xin Zhang, Ke Deng, Changyong Wang, Lisa G. Wood, Huajing Wan, Lei Liu, Ji Wang, Li Zhang, Ying Liu, and et al. 2022. "Reduced Skeletal Muscle Mass Is Associated with an Increased Risk of Asthma Control and Exacerbation" Journal of Clinical Medicine 11, no. 23: 7241. https://doi.org/10.3390/jcm11237241
APA StyleZhang, S., Zhang, X., Deng, K., Wang, C., Wood, L. G., Wan, H., Liu, L., Wang, J., Zhang, L., Liu, Y., Cheng, G., Gibson, P. G., Oliver, B. G., Luo, F., McDonald, V. M., Li, W., & Wang, G. (2022). Reduced Skeletal Muscle Mass Is Associated with an Increased Risk of Asthma Control and Exacerbation. Journal of Clinical Medicine, 11(23), 7241. https://doi.org/10.3390/jcm11237241

