Acute Improvements of Oxygenation with Cpap and Clinical Outcomes in Severe COVID-19 Pneumonia: A Multicenter, Retrospective Study
Abstract
1. Introduction
2. Materials and Methods
3. Results
4. Discussion
5. Conclusions
Author Contributions
Funding
Institutional Review Board Statement
Informed Consent Statement
Data Availability Statement
Acknowledgments
Conflicts of Interest
References
- Perkins, G.D.; Ji, C.; Connolly, B.A.; Couper, K.; Lall, R.; Baillie, J.K.; Bradley, J.M.; Dark, P.; Dave, C.; De Soyza, A.; et al. Effect of Noninvasive Respiratory Strategies on Intubation or Mortality Among Patients with Acute Hypoxemic Respiratory Failure and COVID-19: The RECOVERY-RS Randomized Clinical Trial. JAMA 2022, 327, 546–558. [Google Scholar] [CrossRef]
- Radovanovic, D.; Rizzi, M.; Pini, S.; Saad, M.; Chiumello, D.A.; Santus, P. Helmet CPAP to Treat Acute Hypoxemic Respiratory Failure in Patients with COVID-19: A Management Strategy Proposal. J. Clin. Med. 2020, 9, 1191. [Google Scholar] [CrossRef] [PubMed]
- Radovanovic, D.; Santus, P.; Coppola, S.; Saad, M.; Pini, S.; Giuliani, F.; Mondoni, M.; Chiumello, D.A. Characteristics, outcomes and global trends of respiratory support in patients hospitalized with COVID-19 pneumonia: A scoping review. Minerva Anestesiol. 2021, 87, 915–926. [Google Scholar] [CrossRef] [PubMed]
- Amati, F.; Aliberti, S.; Misuraca, S.; Simonetta, E.; Bindo, F.; Vigni, A.; Bassi, L.; Mazzucco, A.; Cara, A.; Blasi, F. Lung Recruitability of COVID-19 Pneumonia in Patients Undergoing Helmet CPAP. Arch. Bronconeumol. 2021, 57, 92–94. [Google Scholar] [CrossRef] [PubMed]
- Aliberti, S.; Radovanovic, D.; Billi, F.; Sotgiu, G.; Costanzo, M.; Pilocane, T.; Saderi, L.; Gramegna, A.; Rovellini, A.; Perotto, L.; et al. Helmet CPAP treatment in patients with COVID-19 pneumonia: A multicentre cohort study. Eur. Respir. J. 2020, 56, 2001935. [Google Scholar] [CrossRef]
- Radovanovic, D.; Pini, S.; Saad, M.; Perotto, L.; Giuliani, F.; Santus, P. Predictors of weaning from helmet CPAP in patients with COVID-19 pneumonia. Crit. Care 2021, 25, 206. [Google Scholar] [CrossRef]
- Santus, P.; Pini, S.; Amati, F.; Saad, M.; Gatti, M.; Mondoni, M.; Tursi, F.; Rizzi, M.; Chiumello, D.A.; Monzani, V.; et al. Predictors of Helmet CPAP Failure in COVID-19 Pneumonia: A Prospective, Multicenter, and Observational Cohort Study. Can. Respir. J. 2022, 2022, 1499690. [Google Scholar] [CrossRef]
- Amirfarzan, H.; Cereda, M.; Gaulton, T.; Leissner, K.; Cortegiani, A.; Schumann, R.; Gregoretti, C. Use of Helmet CPAP in COVID-19—A practical review. Pulmonology 2021, 27, 413–422. [Google Scholar] [CrossRef]
- Radovanovic, D.; Coppola, S.; Franceschi, E.; Gervasoni, F.; Duscio, E.; Chiumello, D.A.; Santus, P. Mortality and clinical outcomes in patients with COVID-19 pneumonia treated with non-invasive respiratory support: A rapid review. J. Crit. Care 2021, 65, 1–8. [Google Scholar] [CrossRef]
- The WHO Rapid Evidence Appraisal for COVID-19 Therapies (REACT) Working Group; Sterne, J.A.C.; Murthy, S.; Diaz, J.V.; Slutsky, A.S.; Villar, J.; Angus, D.C.; Annane, D.; Azevedo, L.C.P.; Berwanger, O.; et al. Association between Administration of Systemic Corticosteroids and Mortality Among Critically Ill Patients with COVID-19: A Meta-analysis. JAMA 2020, 324, 1330–1341. [Google Scholar] [CrossRef]
- Kamel, A.M.; Monem, M.S.A.; Sharaf, N.A.; Magdy, N.; Farid, S.F. Efficacy and safety of azithromycin in COVID-19 patients: A systematic review and meta-analysis of randomized clinical trials. Rev. Med. Virol. 2022, 32, e2258. [Google Scholar] [CrossRef] [PubMed]
- Singh, B.; Ryan, H.; Kredo, T.; Chaplin, M.; Fletcher, T. Chloroquine or hydroxychloroquine for prevention and treatment of COVID-19. Cochrane Database Syst. Rev. 2021, 2021, CD013587. [Google Scholar] [CrossRef]
- Radovanovic, D.; Pini, S.; Franceschi, E.; Pecis, M.; Airoldi, A.; Rizzi, M.; Santus, P. Characteristics and outcomes in hospitalized COVID-19 patients during the first 28 days of the spring and autumn pandemic waves in Milan: An observational prospective study. Respir. Med. 2021, 178, 106323. [Google Scholar] [CrossRef] [PubMed]
- De Vita, N.; Scotti, L.; Cammarota, G.; Racca, F.; Pissaia, C.; Maestrone, C.; Colombo, D.; Olivieri, C.; Della Corte, F.; Barone-Adesi, F.; et al. Predictors of intubation in COVID-19 patients treated with out-of-ICU continuous positive airway pressure. Pulmonology 2022, 28, 173–180. [Google Scholar] [CrossRef]
- Ronda, V.E.; Alcaraz, S.R.; Torregrosa, P.R.; Suau, M.G.; Pérez, E.N.; Ramírez, J.M.L.; Andrés, M.; Moreno-Pérez, Ó.; Blanes, A.C.; Gil Carbonell, J.; et al. Application of validated severity scores for pneumonia caused by SARS-CoV-2. Med. Clínica 2021, 157, 99–105. [Google Scholar] [CrossRef]
- Arina, P.; Baso, B.; Moro, V.; Patel, H.; Ambler, G.; UCL Critical Care COVID-19 Research Group. Discriminating between CPAP success and failure in COVID-19 patients with severe respiratory failure. Intensive Care Med. 2021, 47, 237–239. [Google Scholar] [CrossRef]
- Gerayeli, F.V.; Milne, S.; Cheung, C.; Li, X.; Yang, C.W.T.; Tam, A.; Choi, L.H.; Bae, A.; Sin, D.D. COPD and the risk of poor outcomes in COVID-19: A systematic review and meta-analysis. eClinicalMedicine 2021, 33, 100789. [Google Scholar] [CrossRef]
- Soni, M.; Gopalakrishnan, R.; Vaishya, R.; Prabu, P. D-dimer level is a useful predictor for mortality in patients with COVID-19: Analysis of 483 cases. Diabetes Metab. Syndr. Clin. Res. Rev. 2020, 14, 2245–2249. [Google Scholar] [CrossRef]
- Citu, C.; Burlea, B.; Gorun, F.; Motoc, A.; Gorun, O.M.; Malita, D.; Ratiu, A.; Margan, R.; Grigoras, M.L.; Bratosin, F.; et al. Predictive Value of Blood Coagulation Parameters in Poor Outcomes in COVID-19 Patients: A Retrospective Observational Study in Romania. J. Clin. Med. 2022, 11, 2831. [Google Scholar] [CrossRef]
- Brusasco, C.; Corradi, F.; Di Domenico, A.; Raggi, F.; Timossi, G.; Santori, G.; Brusasco, V.; Galliera CPAP-Covid-19 study group. Continuous positive airway pressure in COVID-19 patients with moderate-to-severe respiratory failure. Eur. Respir. J. 2021, 57, 2002524. [Google Scholar] [CrossRef]
- Alessandri, F.; Tosi, A.; De Lazzaro, F.; Andreoli, C.; Cicchinelli, A.; Carrieri, C.; Lai, Q.; Pugliese, F.; on behalf of the Policlinico Umberto I COVID-19 Group. Use of CPAP Failure Score to Predict the Risk of Helmet-CPAP Support Failure in COVID-19 Patients: A Retrospective Study. J. Clin. Med. 2022, 11, 2593. [Google Scholar] [CrossRef]
- Beloncle, F.M.; Pavlovsky, B.; Desprez, C.; Fage, N.; Olivier, P.-Y.; Asfar, P.; Richard, J.-C.; Mercat, A. Recruitability and effect of PEEP in SARS-Cov-2-associated acute respiratory distress syndrome. Ann. Intensive Care 2020, 10, 55. [Google Scholar] [CrossRef] [PubMed]
- Chiumello, D.; Bonifazi, M.; Pozzi, T.; Formenti, P.; Papa, G.F.S.; Zuanetti, G.; Coppola, S. Positive end-expiratory pressure in COVID-19 acute respiratory distress syndrome: The heterogeneous effects. Crit. Care 2021, 25, 431. [Google Scholar] [CrossRef] [PubMed]
- Gattinoni, L.; Chiumello, D.; Caironi, P.; Busana, M.; Romitti, F.; Brazzi, L.; Camporota, L. COVID-19 pneumonia: Different respiratory treatments for different phenotypes? Intensive Care Med. 2020, 46, 1099–1102. [Google Scholar] [CrossRef] [PubMed]
- Lascarrou, J.-B. COVID-19-related ARDS: One disease, two trajectories, and several unanswered questions. Lancet Respir. Med. 2021, 9, 1345–1347. [Google Scholar] [CrossRef] [PubMed]
- Cronin, J.N.; Camporota, L.; Formenti, F. Mechanical ventilation in COVID-19: A physiological perspective. Exp. Physiol. 2022, 107, 683–693. [Google Scholar] [CrossRef] [PubMed]
- Zerbib, Y.; Lambour, A.; Maizel, J.; Kontar, L.; De Cagny, B.; Soupison, T.; Bradier, T.; Slama, M.; Brault, C. Respiratory effects of lung recruitment maneuvers depend on the recruitment-to-inflation ratio in patients with COVID-19-related acute respiratory distress syndrome. Crit. Care 2022, 26, 12. [Google Scholar] [CrossRef]
- Le Terrier, C.; Suh, N.; Wozniak, H.; Boroli, F.; Giudicelli-Bailly, A.; Sangla, F.; Legouis, D.; Bendjelid, K.; Quintard, H.; Pugin, J. Delayed intubation is associated with mortality in patients with severe COVID-19: A single-centre observational study in Switzerland. Anaesth. Crit. Care Pain Med. 2022, 41, 101092. [Google Scholar] [CrossRef] [PubMed]
- Karim, H.M.R.; Esquinas, A.M. Success or Failure of High-Flow Nasal Oxygen Therapy: The ROX Index Is Good, but a Modified ROX Index May Be Better. Am. J. Respir. Crit. Care Med. 2019, 200, 116–117. [Google Scholar] [CrossRef]
- Petrof, B.J.; Calderini, E.; Gottfried, S.B. Effect of CPAP on respiratory effort and dyspnea during exercise in severe COPD. J. Appl. Physiol. 1990, 69, 179–188. [Google Scholar] [CrossRef]
- Marshall, A.; Pittard, M. Use of continuous positive airway pressure (CPAP) in the critically ill—Physiological principles. Aust. Crit. Care 1999, 12, 154–158. [Google Scholar] [CrossRef]
- Carteaux, G.; Pons, M.; Morin, F.; Tuffet, S.; Lesimple, A.; Badat, B.; Haudebourg, A.-F.; Perier, F.; Deplante, Y.; Guillaud, C.; et al. Continuous positive airway pressure for respiratory support during COVID-19 pandemic: A frugal approach from bench to bedside. Ann. Intensive Care 2021, 11, 38. [Google Scholar] [CrossRef]
- Camous, L.; Pommier, J.-D.; Martino, F.; Tressieres, B.; Demoule, A.; Valette, M. Very late intubation in COVID-19 patients: A forgotten prognosis factor? Crit. Care 2022, 26, 89. [Google Scholar] [CrossRef] [PubMed]
- Abroug, F.; Hammouda, Z.; Lahmar, M.; Nouira, W.; Maatouk, S.; Youssef, S.B.; Dachraoui, F.; Brochard, L.; Ouanes-Besbes, L. Early Variation of ROX Index Predicts High-Flow Nasal Cannula Outcome in Awake Subjects with Severe Hypoxemic COVID-19. Respir. Care 2022, 67, 10125. [Google Scholar] [CrossRef] [PubMed]
- Tobin, M.J.; Jubran, A.; Laghi, F. PaO2/FIO2ratio: The mismeasure of oxygenation in COVID-19. Eur. Respir. J. 2021, 57, 2100274. [Google Scholar] [CrossRef]
- Privitera, D.; Capsoni, N.; Zadek, F.; Vailati, P.; Airoldi, C.; Cozzi, M.; Pierotti, F.; Fumagalli, R.; Bellone, A.; Langer, T. The Effect of Filters on CPAP Delivery by Helmet. Respir. Care 2022, 67, 995–1001. [Google Scholar] [CrossRef]
- Lebret, M.; Fresnel, E.; Prieur, G.; Quieffin, J.; Dupuis, J.; Lamia, B.; Combret, Y.; Medrinal, C. High O2 Flow Rates Required to Achieve Acceptable FiO2 in CPAP-Treated Patients with Severe Covid-19: A Clinically Based Bench Study. Arch. Bronconeumol. 2021, 57, 607–610. [Google Scholar] [CrossRef]
- Aboab, J.; Louis, B.; Jonson, B.; Brochard, L. Relation between PaO2/FIO2 ratio and FIO2: A mathematical description. Intensive Care Med. 2006, 32, 1494–1497. [Google Scholar] [CrossRef]
- Tobin, M.J. Basing Respiratory Management of COVID-19 on Physiological Principles. Am. J. Respir. Crit. Care Med. 2020, 201, 1319–1320. [Google Scholar] [CrossRef] [PubMed]
- Katz, J.A.; Marks, J.D. Inspiratory Work with and without Continuous Positive Airway-Pressure in Patients with Acute Respiratory Failure. Anesthesiology 1985, 63, 598–607. [Google Scholar] [CrossRef] [PubMed]
- Tobin, M.J. Extubation and the Myth of “Minimal Ventilator Settings”. Am. J. Respir. Crit. Care Med. 2012, 185, 349–350. [Google Scholar] [CrossRef] [PubMed]
- Potere, N.; Valeriani, E.; Candeloro, M.; Tana, M.; Porreca, E.; Abbate, A.; Spoto, S.; Rutjes, A.W.S.; Di Nisio, M. Acute complications and mortality in hospitalized patients with coronavirus disease 2019: A systematic review and meta-analysis. Crit. Care 2020, 24, 389. [Google Scholar] [CrossRef]
- Grieco, D.L.; Menga, L.S.; Cesarano, M.; Rosà, T.; Spadaro, S.; Bitondo, M.M.; Montomoli, J.; Falò, G.; Tonetti, T.; Cutuli, S.L.; et al. Effect of Helmet Noninvasive Ventilation vs High-Flow Nasal Oxygen on Days Free of Respiratory Support in Patients with COVID-19 and Moderate to Severe Hypoxemic Respiratory Failure: The HENIVOT Randomized Clinical Trial. JAMA 2021, 325, 1731–1743. [Google Scholar] [CrossRef] [PubMed]
- Vaschetto, R.; Barone-Adesi, F.; Racca, F.; Pissaia, C.; Maestrone, C.; Colombo, D.; Olivieri, C.; De Vita, N.; Santangelo, E.; Scotti, L.; et al. Outcomes of COVID-19 patients treated with continuous positive airway pressure outside the intensive care unit. ERJ Open Res. 2021, 7, 00541–02020. [Google Scholar] [CrossRef] [PubMed]
- Salton, F.; Confalonieri, P.; Meduri, G.U.; Santus, P.; Harari, S.; Scala, R.; Lanini, S.; Vertui, V.; Oggionni, T.; Caminati, A.; et al. Prolonged Low-Dose Methylprednisolone in Patients with Severe COVID-19 Pneumonia. Open Forum Infect. Dis. 2020, 7, ofaa421. [Google Scholar] [CrossRef] [PubMed]
- Coppo, A.; Bellani, G.; Winterton, D.; Di Pierro, M.; Soria, A.; Faverio, P.; Cairo, M.; Mori, S.; Messinesi, G.; Contro, E.; et al. Feasibility and physiological effects of prone positioning in non-intubated patients with acute respiratory failure due to COVID-19 (PRON-COVID): A prospective cohort study. Lancet Respir. Med. 2020, 8, 765–774. [Google Scholar] [CrossRef]
- Paternoster, G.; Sartini, C.; Pennacchio, E.; Lisanti, F.; Landoni, G.; Cabrini, L. Awake pronation with helmet continuous positive airway pressure for COVID-19 acute respiratory distress syndrome patients outside the ICU: A case series. Med. Intensiv. 2020, 46, 65–71. [Google Scholar] [CrossRef]
- Li, J.; Luo, J.; Pavlov, I.; Perez, Y.; Tan, W.; Roca, O.; Tavernier, E.; Kharat, A.; McNicholas, B.; Ibarra-Estrada, M.; et al. Awake prone positioning for non-intubated patients with COVID-19-related acute hypoxaemic respiratory failure: A systematic review and meta-analysis. Lancet Respir. Med. 2022, 10, 573–583. [Google Scholar] [CrossRef]


| Characteristics | Entire Study Population (n = 211) | CPAP Success (a) (n = 118) | CPAP Failure (b) (n = 93) | p-Value (a vs. b) | |
|---|---|---|---|---|---|
| Age, years | 64 (55–74) | 61 (51–72) | 67 (60–76) | <0.001 | |
| Males, n (%) | 155 (73.5) | 88 (74.6) | 67 (72) | 0.398 | |
| Past medical history | |||||
| Charlson Comorbidity Index, score | 3 (1–4) | 2 (1–4) | 2 (3–5) | <0.001 | |
| Hypertension, n (%) | 94 (44.5) | 53 (44.9) | 41 (44.1) | 0.508 | |
| Diabetes mellitus, n (%) | 48 (22.7) | 23 (19.5) | 25 (26.9) | 0.134 | |
| Ischemic heart disease, n (%) | 36 (17.1) | 12 (10.2) | 24 (25.8) | 0.002 | |
| Arrhythmia, n (%) | 17 (8.5) | 8 (7.2) | 9 (10.1) | 0.315 | |
| Smoke | Active, n (%) | 7 (3.4) | 5 (4.4) | 2 (2.2) | 0.613 |
| Ex, n (%) | 34 (16.6) | 17 (14.9) | 17 (18.7) | ||
| Never, n (%) | 164 (80) | 92 (80.7) | 72 (79.1) | ||
| COPD, n (%) | 15 (7.1) | 4 (3.4) | 11 (11.8) | 0.018 | |
| Asthma, n (%) | 13 (6.2) | 8 (6.8) | 5 (5.4) | 0.452 | |
| CKD, n (%) | 14 (6.6) | 3 (2.5) | 11 (11.8) | 0.008 | |
| Immune depression, n (%) | 11 (5.5) | 6 (5.4) | 5 (5.6) | 0.593 | |
| Clinical variables before starting CPAP | |||||
| Leucocytes, ×103/L | 8.84 (2.07–55) | 7.28 (5.60–10.31) | 9 (5.81–11.28) | 0.168 | |
| Urea, mg/dL | 38 (28–55) | 37 (26–50) | 45.5 (30–65.5) | 0.004 | |
| IL 6, pg/mL | 56 (22–134) | 45 (14–76) | 114.5 (45.75–254.75) | <0.001 | |
| CRP, mg/L | 24.08 (11.63–93.9) | 25 (11.23–81.5) | 21.82 (12.45–120) | 0.457 | |
| Platelets, ×103/L | 225.5 (169–302.75) | 242 (175–318.5) | 207 (144–284) | 0.062 | |
| D-Dimer, µg/L FEU | 929.5 (593–1651.25) | 803 (568–1281) | 1105 (668–2491) | 0.006 | |
| CURB 65 | 2 (1–2) | 1 (0–2) | 2 (1–3) | <0.001 | |
| FiO2, % | 60 (40–100) | 60 (40–60) | 60 (40–100) | 0.027 | |
| pH | 7.48 (7.45–7.51) | 7.48 (7.45–7.5) | 7.48 (7.46–7.51) | 0.308 | |
| PaO2, mmHg | 68 (57–83) | 72.5 (60–87) | 60 (49.5–72.5) | <0.001 | |
| PaCO2, mmHg | 33 (30–37) | 34 (30–37.2) | 32 (28–35) | 0.006 | |
| Respiratory rate, bpm | 28 (24–32) | 27 (22–30) | 30 (25–36) | <0.001 | |
| PaO2/FiO2, mmHg | 128 (91–179) | 141.8 (109.6–194.6) | 118.23 (61–165.5) | <0.001 | |
| (A-a) O2, mmHg | 310 (177–559) | 280.9 (176.7–333.7) | 337.8 (177.95–608.5) | 0.001 | |
| mROX | 4.77 (3.04–7.06) | 5.7 (4–7.6) | 3.7 (2–5.7) | <0.001 | |
| Clinical variables after starting CPAP | |||||
| FiO2, % | 60 (50–60) | 50 (50–60) | 60 (50–65) | <0.001 | |
| PEEP, cmH2O | 10 (7.5–10) | 10 (7.5–10) | 10 (7.5–12) | 0.088 | |
| pH | 7.47 (7.44–7.49) | 7.46 (7.44–7.49) | 7.47 (7.43–7.49) | 0.950 | |
| PaO2, mmHg | 100 (79–141) | 107.5 (86–145.5) | 85 (68–134.5) | 0.001 | |
| PaCO2, mmHg | 36 (32–39) | 36 (34–40) | 34 (31–39) | 0.026 | |
| PaO2/FiO2, mmHg | 195 (131.7–256.7) | 207.5 (165.4–265.8) | 145 (110–242.7) | <0.001 | |
| (A-a) O2, mmHg | 240 (188–308) | 222 (160.8–274.2) | 285.3 (212.8–326.8) | <0.001 | |
| Respiratory rate, bpm | 24 (22–28) | 24 (21–28) | 26 (23–30) | 0.007 | |
| mROX | 7.4 (5.1–10.7) | 8.3 (6.5–11.3) | 6.0 (3.7–9.3) | <0.001 | |
| Differences compared with baseline | |||||
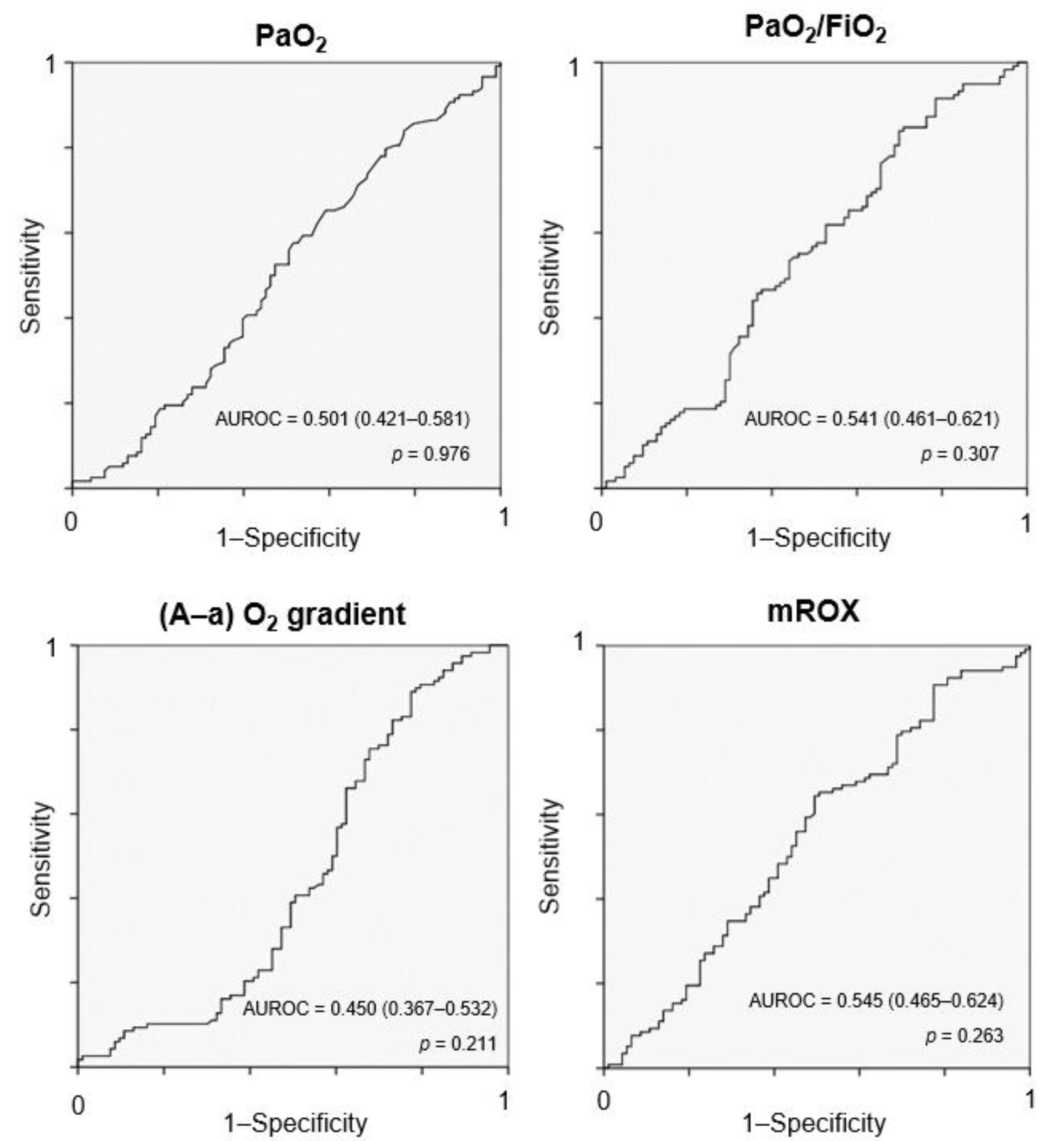
| ΔPaO2, mmHg | 30 (11–68) * | 32 (11–62) | 29 (8.5–75) | 0.976 | |
| ΔPaO2, % increase from baseline | 48.3 (13.8–104.8) | 46.3 (13.4–90) | 50.7 (14.6–128.4) | 0.407 | |
| ΔPaO2/FiO2, mmHg | 57 (12–113.3) * | 60.7 (22–108.6) | 51.1 (−4.9–142.7) | 0.307 | |
| ΔPaO2/FiO2, % increase from baseline | 50.4 (9.1–104.9) | 43.4 (13.4–89.6) | 66.2 (−4.1–136.6) | 0.393 | |
| Δ(A-a) O2, mmHg | 68 (−25–250) * | 55 (−7–136) | 91 (−68–304) | 0.211 | |
| Δ(A-a) O2, % decrease from baseline | 20.7 (−10.6–49.5) | 18.2 (−4.4–48.46) | 27 (−38.5–51) | 0.742 | |
| ΔRespiratory rate, bpm | −2 (−7.5–2.0) * | −2.0 (−6.0–3.7) | −3.0 (−10.0–2.0) | 0.167 | |
| ΔRespiratory rate, % decrease from baseline | 8.2 (−10–24.3) | 6.7 (−12.2–21.4) | 10 (−6.3–27.3) | 0.241 | |
| ΔmROX | 2.5 (0.8–5.3) * | 2.7 (1.0–5.4) | 2.1 (0.5–5.3) | <0.001 | |
| ΔmROX, % increase from baseline | 59.1 (13.8–133.6) | 53.5 (15.3–111.1) | 83 (10–210) | 0.212 | |
| Clinical outcomes | |||||
| CPAP duration, days | 6.0 (3.5–10) | 6.5 (5.0–12.0) | 4.0 (3.0–7.2) | <0.001 | |
| Hospital stay, days | 15.0 (10–23) | 16 (13–24) | 8.0 (5.0–20) | <0.001 | |
| Pneumomediastinum, n (%) | 3 (1.4) | 0 (0) | 3 (3.2) | 0.084 | |
| Pneumothorax, n (%) | 1 (0.5) | 0 (0) | 1 (1.1) | 0.441 | |
| Intubated, n (%) | 51 (24.2) | - | 51 (54.8) | n/a | |
| Died in HDRU, n (%) | 42 (19.9) | - | 42 (45.2) | n/a | |
| Cox Regression between ΔmROX and CPAP Failure | Adjusted OR | 95% C.I. | p-Value |
|---|---|---|---|
| Not adjusted | 0.963 | 0.904–1.026 | 0.239 |
| Adjusted for CURB-65 | 0.974 | 0.908–1.046 | 0.474 |
| Adjusted for Charlson Comorbidity Index | 0.989 | 0.925–1.058 | 0.755 |
Publisher’s Note: MDPI stays neutral with regard to jurisdictional claims in published maps and institutional affiliations. |
© 2022 by the authors. Licensee MDPI, Basel, Switzerland. This article is an open access article distributed under the terms and conditions of the Creative Commons Attribution (CC BY) license (https://creativecommons.org/licenses/by/4.0/).
Share and Cite
Pini, S.; Radovanovic, D.; Saad, M.; Gatti, M.; Danzo, F.; Mondoni, M.; Aliberti, S.; Centanni, S.; Blasi, F.; Chiumello, D.A.; et al. Acute Improvements of Oxygenation with Cpap and Clinical Outcomes in Severe COVID-19 Pneumonia: A Multicenter, Retrospective Study. J. Clin. Med. 2022, 11, 7186. https://doi.org/10.3390/jcm11237186
Pini S, Radovanovic D, Saad M, Gatti M, Danzo F, Mondoni M, Aliberti S, Centanni S, Blasi F, Chiumello DA, et al. Acute Improvements of Oxygenation with Cpap and Clinical Outcomes in Severe COVID-19 Pneumonia: A Multicenter, Retrospective Study. Journal of Clinical Medicine. 2022; 11(23):7186. https://doi.org/10.3390/jcm11237186
Chicago/Turabian StylePini, Stefano, Dejan Radovanovic, Marina Saad, Marina Gatti, Fiammetta Danzo, Michele Mondoni, Stefano Aliberti, Stefano Centanni, Francesco Blasi, Davide Alberto Chiumello, and et al. 2022. "Acute Improvements of Oxygenation with Cpap and Clinical Outcomes in Severe COVID-19 Pneumonia: A Multicenter, Retrospective Study" Journal of Clinical Medicine 11, no. 23: 7186. https://doi.org/10.3390/jcm11237186
APA StylePini, S., Radovanovic, D., Saad, M., Gatti, M., Danzo, F., Mondoni, M., Aliberti, S., Centanni, S., Blasi, F., Chiumello, D. A., & Santus, P. (2022). Acute Improvements of Oxygenation with Cpap and Clinical Outcomes in Severe COVID-19 Pneumonia: A Multicenter, Retrospective Study. Journal of Clinical Medicine, 11(23), 7186. https://doi.org/10.3390/jcm11237186

