Outcome after Surgery for Iatrogenic Acute Type A Aortic Dissection
Abstract
1. Introduction
2. Materials and Methods
2.1. Study Design
2.2. Participants
2.3. Risk Factor Criteria
2.4. Interventions
2.5. Outcome Measures
2.6. Statistical Analysis
3. Results
3.1. Patient Population
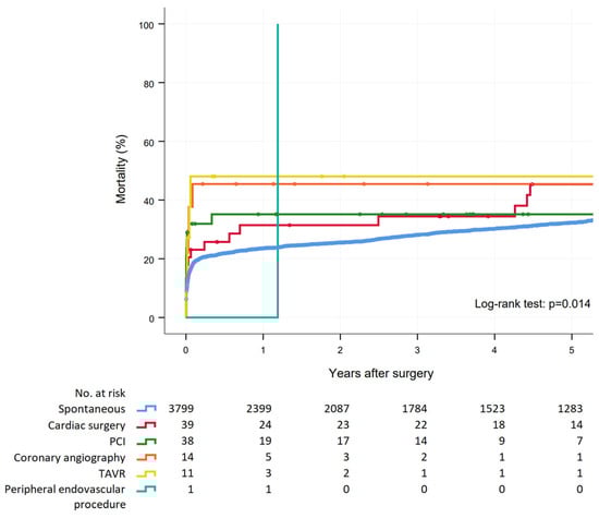
3.2. Outcomes in the Overall Series
3.3. Outcomes of Propensity Score Matched Pairs
3.4. Earlier vs. More Recent Procedures
4. Discussion
5. Conclusions
Author Contributions
Funding
Institutional Review Board Statement
Informed Consent Statement
Data Availability Statement
Conflicts of Interest
References
- Harris, K.M.; Nienaber, C.A.; Peterson, M.D.; Woznicki, E.M.; Braverman, A.C.; Trimarchi, S.; Myrmel, T.; Pyeritz, R.; Hutchison, S.; Strauss, C.; et al. Early mortality in type A acute aortic dissection: Insights from the International Registry of Acute Aortic Dissection. JAMA Cardiol. 2022, 7, 1009–1015. [Google Scholar] [CrossRef]
- Larsen, M.; Trimarchi, S.; Patel, H.J.; Di Eusanio, M.; Greason, K.L.; Peterson, M.D.; Fattori, R.; Hutchison, S.; Desai, N.D.; Korach, A.; et al. Extended versus limited arch replacement in acute Type A aortic dissection. Eur. J. Cardio-Thorac. Surg. 2017, 52, 1104–1110. [Google Scholar] [CrossRef]
- Ram, H.; Dwarakanath, S.; Green, A.E.; Steyn, J.; Hessel, E.A., II. Iatrogenic Aortic Dissection Associated With Cardiac Surgery: A Narrative Review. J. Cardiothorac. Vasc. Anesth. 2022, 35, 3050–3066. [Google Scholar] [CrossRef] [PubMed]
- Núñez-Gil, I.J.; Bautista, D.; Cerrato, E.; Salinas, P.; Varbella, F.; Omedè, P.; Ugo, F.; Ielasi, A.; Giammaria, M.; Moreno, R.; et al. Incidence, management, and immediate-and long-term outcomes after iatrogenic aortic dissection during diagnostic or interventional coronary procedures. Circulation 2015, 131, 2114–2119. [Google Scholar] [CrossRef] [PubMed]
- Dunning, D.W.; Kahn, J.K.; Hawkins, E.T.; O’Neill, W.W. Iatrogenic coronary artery dissections extending into and involving the aortic root. Catheter. Cardiovasc. Interv. 2000, 51, 387–393. [Google Scholar] [CrossRef]
- Leontyev, S.; Borger, M.A.; Legare, J.F.; Merk, D.; Hahn, J.; Seeburger, J.; Lehmann, S.; Mohr, F.W. Iatrogenic type A aortic dissection during cardiac procedures: Early and late outcome in 48 patients. Eur. J. Cardio-Thorac Surg. 2012, 41, 641–646. [Google Scholar] [CrossRef]
- Williams, M.L.; Sheng, S.; Gammie, J.S.; Rankin, J.S.; Smith, P.K.; Hughes, G.C. Aortic dissection as a complication of cardiac surgery: Report from the Society of Thoracic Surgeons database. Ann. Thorac. Surg. 2010, 90, 1812–1817. [Google Scholar] [CrossRef]
- Fleck, T.; Ehrlich, M.; Czerny, M.; Wolner, E.; Grabenwoger, M.; Grimm, M. Intraoperative iatrogenic type A aortic dissection and perioperative outcome. Interact. Cardiovasc. Thorac Surg. 2006, 5, 11–14. [Google Scholar] [CrossRef]
- Januzzi, J.L.; Sabatine, M.S.; Eagle, K.A.; Evangelista, A.; Bruckman, D.; Fattori, R.; Oh, J.K.; Moore, A.G.; Sechtem, U.; Llovet, A.; et al. Iatrogenic aortic dissection. Am. J. Cardiol. 2002, 89, 623–626. [Google Scholar] [CrossRef]
- Rylski, B.; Hoffmann, I.; Beyersdorf, F.; Suedkamp, M.; Siepe, M.; Nitsch, B.; Blettner, M.; Borger, M.A.; Weigang, E. Iatrogenic acute aortic dissection type A: Insight from the German Registry for Acute Aortic Dissection Type A (GERAADA). Eur. J. Cardio-thorac. Surg. 2013, 44, 353–359. [Google Scholar] [CrossRef]
- Eggebrecht, H.; Vaquerizo, B.; Moris, C.; Bossone, E.; Lämmer, J.; Czerny, M.; Zierer, A.; Schröfel, H.; Kim, W.K.; Walther, T.; et al. Incidence and outcomes of emergent cardiac surgery during transfemoral transcatheter aortic valve implantation (TAVI): Insights from the European Registry on Emergent Cardiac Surgery during TAVI (EuRECS-TAVI). Eur. Heart J. 2018, 39, 676–684. [Google Scholar] [CrossRef]
- Biancari, F.; Mariscalco, G.; Yusuff, H.; Tsang, G.; Luthra, S.; Onorati, F.; Francica, A.; Rossetti, C.; Perrotti, A.; Chocron, S.; et al. European registry of type A aortic dissection (ERTAAD)-rationale, design and definition criteria. J. Cardiothorac. Surg. 2021, 16, 171. [Google Scholar] [CrossRef] [PubMed]
- Augoustides, J.G.; Geirsson, A.; Szeto, W.Y.; Walsh, E.K.; Cornelius, B.; Pochettino, A.; Bavaria, J.E. Observational study of mortality risk stratification by ischemic presentation in patients with acute type A aortic dissection: The Penn classification. Nat. Clin. Pract. Cardiovasc. Med. 2009, 6, 140–146. [Google Scholar] [CrossRef]
- Zindovic, I.; Gudbjartsson, T.; Ahlsson, A.; Fuglsang, S.; Gunn, J.; Hansson, E.C.; Hjortdal, V.; Järvelä, K.; Jeppsson, A.; Mennander, A.; et al. Malperfusion in acute type A aortic dissection: An update from the Nordic Consortium for Acute Type A Aortic Dissection. J. Thorac. Cardiovasc. Surg. 2019, 157, 1324–1333.e6. [Google Scholar] [CrossRef]
- Timek, T.A.; Hooker, R.; Patzelt, L.; Bernath, G. Conservative management and resolution of iatrogenic type A aortic dissection in a patient with previous cardiac surgery. J. Thorac. Cardiovasc. Surg. 2012, 144, e18–e21. [Google Scholar] [CrossRef] [PubMed][Green Version]
- Tam, D.Y.; Mazine, A.; Cheema, A.N.; Yanagawa, B. Conservative management of extensive iatrogenic aortic dissection. Aorta 2016, 4, 229–231. [Google Scholar] [CrossRef]
- Sailer, A.M.; van Ommen, V.G.; Tordoir, J.H.; Schurink, G.W.; van Zwam, W.H. Iatrogenic type A aortic dissection: Conservative treatment after complicated left subclavian artery recanalization. J. Vasc. Interv. Radiol. 2013, 4, 1923–1925. [Google Scholar] [CrossRef]
- García Iglesias, D.; Martín Fernández, M.; López Iglesias, F.; Calvo Blanco, J.; Morís de la Tassa, C. Iatrogenic aortic dissection: One or more entities? Ann. Thorac. Surg. 2016, 101, 414–415. [Google Scholar] [CrossRef]
- Jonker, F.H.; Schlosser, F.J.; Indes, J.E.; Sumpio, B.E.; Botta, D.M.; Moll, F.L.; Muhs, B.E. Management of type A aortic dissections: A meta-analysis of the literature. Ann. Thorac. Surg. 2010, 89, 2061–2066. [Google Scholar] [CrossRef] [PubMed]
- Hacibayramoglu, M.; Girth, E.; Mahlo, H.R.; Klepzig, H. Type A dissection after right coronary artery stent-implantation. Clin. Res. Cardiol. 2008, 97, 921–924. [Google Scholar] [CrossRef] [PubMed]
- Stanger, O.; Schachner, T.; Gahl, B.; Oberwalder, P.; Englberger, L.; Thalmann, M.; Harrington, D.; Wiedemann, D.; Südkamp, M.; Sheppard, M.N. Type A aortic dissection after nonaortic cardiac surgery. Circulation 2013, 128, 1602–1611. [Google Scholar] [CrossRef]
- Eggebrecht, H.; Schmermund, A.; Kahlert, P.; Erbel, R.; Voigtländer, T.; Mehta, R.H. Emergent cardiac surgery during transcatheter aortic valve implantation (TAVI): A weighted meta-analysis of 9,251 patients from 46 studies. EuroIntervention 2013, 8, 1072–1080. [Google Scholar] [CrossRef] [PubMed]

| Unmatched Cohorts | Propensity Score Matched Cohorts | |||||
|---|---|---|---|---|---|---|
| Characteristics | Spontaneous TAAD No. 3799 | Iatrogenic TAAD No. 103 | Standardized Differences | Spontaneous TAAD No. 102 | Iatrogenic TAAD No. 102 | Standardized Differences |
| Age, y | 63.2 (13.1) | 69.2 (9.4) | 0.528 | 69.8 (10.9) | 69.2 (9.4) | 0.066 |
| Females | 1138 (30.0) | 47 (45.6) | 0.328 | 53 (52.0) | 46 (45.1) | 0.137 |
| Bicuspid aortic valve | 147 (3.9) | 4 (3.9) | 0.001 | 3 (2.9) | 4 (3.9) | 0.054 |
| Diabetes | 186 (4.9) | 10 (9.7) | 0.186 | 11 (10.8) | 10 (9.8) | 0.032 |
| Stroke | 147 (3.9) | 6 (5.8) | 0.091 | 4 (3.9) | 6 (5.9) | 0.091 |
| Pulmonary disease | 313 (8.2) | 14 (13.6) | 0.172 | 13 (12.7) | 14 (13.7) | 0.029 |
| Extracardiac arteriopathy | 181 (4.8) | 18 (17.5) | 0.413 | 14 (13.7) | 18 (17.6) | 0.108 |
| Prior cardiac surgery | 87 (2.3) | 1 (1.0) | 0.104 | 0 (0) | 1 (1.0) | 0.141 |
| Severe aortic regurgitaion | 706 (18.7) | 9 (8.8) | 0.364 | 16 (15.7) | 9 (8.8) | 0.210 |
| Cardiac massage | 159 (4.2) | 8 (7.8) | 0.151 | 6 (5.9) | 8 (7.8) | 0.078 |
| Cardiogenic shock on inotropes | 631 (16.6) | 17 (16.5) | 0.003 | 17 (16.7) | 17 (16.7) | 0.000 |
| Cerebral malperfusion | 819 (21.6) | 10 (9.7) | 0.331 | 9 (8.8) | 10 (9.8) | 0.034 |
| Spinal malperfusion | 80 (2.1) | 2 (1.9) | 0.012 | 1 (1.0) | 2 (2.0) | 0.082 |
| Renal malperfusion | 358 (9.4) | 6 (5.8) | 0.136 | 7 (6.9) | 6 (5.9) | 0.040 |
| Mesenteric malperfusion | 159 (4.2) | 3 (2.9) | 0.069 | 2 (2.0) | 3 (2.9) | 0.063 |
| Peripheral malperfusion | 535 (14.1) | 8 (7.8) | 0.204 | 7 (6.9) | 8 (7.8) | 0.038 |
| DeBakey type I dissection | 3205 (84.7) | 32 (68.6) | 0.399 | 66 (64.7) | 70 (68.6) | 0.083 |
| Salvage procedure | 221 (5.8) | 7 (6.8) | 0.040 | 4 (3.9) | 5 (4.9) | 0.048 |
| Aortic arch replacement | 771 (20.3) | 5 (4.9) | 0.479 | 16 (15.7) | 15 (14.7) | 0.027 |
| Aortic root replacement | 1082 (28.5) | 15 (14.6) | 0.344 | 6 (5.9) | 7 (6.9) | 0.040 |
| CABG | 306 (8.1) | 46 (44.7) | 0.913 | 3 (2.9) | 46 (45.1) | 1.000 |
| Characteristics | Cardiac Surgery No. 39 | PCI No. 38 | Coronary Angiography No. 38 | TAVR No. 11 | Peripheral Endovascular Procedure No. 1 | p-Value |
|---|---|---|---|---|---|---|
| Delay from symptoms to surgery, h | 6.3 (16.0) | 13.7 (19.3) | 17.8 (29.2) | 3.4 (1.8) | 36.0 (0) | <0.0001 |
| Age, y | 72.0 (6.3) | 63.9 (9.3) | 67.9 (10.1) | 77.9 (8.0) | 69.6 (0) | <0.0001 |
| Females | 15 (38.5) | 19 (50.0) | 5 (35.7) | 7 (63.6) | 1 (100 | 0.369 |
| Bicuspid aortic valve | 1 (2.6) | 0 (0) | 1 (7.1) | 2 (18.2) | 0 (0) | 0.085 |
| Diabetes | 5 (12.8) | 3 (7.9) | 1 (7.1) | 1 (9.1) | 0 (0) | 0.940 |
| Stroke | 2 (5.1) | 4 (10.5) | 0 (0) | 0 (0) | 0 (0) | 0.529 |
| Pulmonary disease | 8 (20.5) | 3 (7.9) | 0 (0) | 3 (27.3) | 0 (0) | 0.150 |
| Extracardiac arteriopathy | 10 (25.6) | 5 (13.2) | 2 (14.3) | 1 (9.1) | 0 (0) | 0.535 |
| Prior cardiac surgery | 0 (0) | 0 (0) | 1 (7.1) | 0 (0) | 0 (0) | 0.170 |
| Cardiac massage | 2 (5.1) | 4 (10.5) | 1 (7.1) | 1 (9.1) | 0 (0) | 0.924 |
| Cardiogenic shock on inotropes | 5 (12.8) | 7 (18.4) | 2 (14.3) | 3 (27.3) | 0 (0) | 0.798 |
| Cerebral malperfusion | 2 (5.1) | 4 (10.5) | 3 (21.4) | 1 (100) | 0 (0) | 0.009 |
| Spinal malperfusion | 1 (2.6) | 1 (2.6) | 0 (0) | 0 (0) | 0 (0) | 0.953 |
| Renal malperfusion | 3 (7.7) | 3 (7.9) | 0 (0) | 0 (0) | 0 (0) | 0.708 |
| Mesenteric malperfusion | 2 (5.1) | 1 (2.6) | 0 (0) | 0 (0) | 0 (0) | 0.832 |
| Peripheral malperfusion | 5 (12.8) | 2 (5.1) | 1 (7.1) | 0 (0) | 0 (0) | 0.602 |
| DeBakey type I dissection | 23 (59.0) | 29 (76.3) | 11 (78.6) | 6 (54.5) | 1 (100) | 0.649 |
| Salvage procedure | 2 (5.1) | 3 (7.9) | 1 (7.1) | 1 (9.1) | 0 (0) | 0.982 |
| Aortic arch replacement | 1 (2.6) | 2 (5.3) | 1 (7.1) | 0 (0) | 0 (0) | <0.0001 |
| Aortic root replacement | 5 (12.8) | 3 (7.9) | 4 (28.6) | 3 (27.3) | 0 (0) | 0.262 |
| CABG | 17 (43.6) | 24 (63.2) | 5 (35.7) | 0 (0) | 0 (0) | 0.004 |
| Procedures | No. (%) | In-Hospital Mortality | 5-Year Mortality |
|---|---|---|---|
| Cardiac surgery | 39 (37.8) | 8 (20.5) | 16 (47.5) |
| Isolated CABG | 17 (16.5) | ||
| Mitral valve surgery | 8 (7.8) | ||
| Mitral valve surgery, CABG | 3 (2.9) | ||
| AVR | 5 (4.9) | ||
| AVR, ascending aortic aneurysm replacement | 1 (9.7) | ||
| Ascending aortic aneurysm replacement | 2 (1.9) | ||
| AVR, tricuspid valve repair | 2 (1.9) | ||
| David procedure | 1 (9.7) | ||
| Percutaneous coronary intervention | 38 (36.9) | 12 (31.6) | 13 (35.2) |
| Coronary angiography | 14 (13.6) | 6 (42.9) | 6 (45.5) |
| Transcatheter aortic valve replacement | 11 (10.7) | 5 (45.5) | 5 (48.1) |
| Intracranial endovascular procedure | 1 (1.0) | 0 (0) | 1 (100) |
| Unmatched Cohorts | Propensity Score Matched Pairs | |||||
|---|---|---|---|---|---|---|
| Outcomes | Spontaneous TAAD No. 3799 | Iatrogenic TAAD No. 103 | p-Value | Spontaneous TAAD No. 102 | Iatrogenic TAAD No. 102 | p-Value |
| Early outcomes | ||||||
| In-hospital mortality | 658 (17.3) | 31 (30.1) | 0.001 | 16 (15.7) | 31 (30.4) | 0.013 |
| Neurological complications | 812 (21.4) | 22 (21.4) | 0.997 | 20 (19.6) | 22 (21.6) | 0.729 |
| Stroke | 575 (15.1) | 17 (16.5) | 0.702 | 15 (14.7) | 17 (16.7) | 0.700 |
| Ischemic stroke | 525 (13.8) | 14 (13.6) | 0.947 | 15 (14.7) | 14 (13.7) | 0.841 |
| Hemorrhagic stroke | 73 (1.9) | 3 (2.9) | 0.453 | 0 (0) | 3 (2.9) | 0.246 |
| Global brain ischemia | 175 (4.6) | 2 (1.2) | 0.330 | 3 (2.9) | 2 (2.0) | 1.000 |
| Paraplegia/paraparesis | 198 (5.2) | 6 (5.8) | 0.783 | 3 (2.9) | 6 (5.9) | 0.498 |
| Tetraplegia | 3 (0.1) | 0 (0) | 1.000 | 0 (0) | 0 (0) | - |
| Composite end-point a | 1107 (29.1) | 45 (43.7) | 0.001 | 29 (28.4) | 45 (44.1) | 0.020 |
| Heart failure | 516 (13.6) | 36 (35.0) | <0.0001 | 11 (10.8) | 36 (35.3) | <0.0001 |
| Mechanical circulatory support | 128 (3.4) | 13 (12.6) | <0.0001 | 2 (2.0) | 13 (12.7) | 0.005 |
| IABP | 29 (0.) | 6 (5.8) | <0.0001 | 1 (1.0) | 6 (5.9) | 0.119 |
| VA-ECMO | 102 (2.7) | 9 (8.7) | 0.002 | 1 (1.0) | 9 (8.8) | 0.019 |
| Dialysis | 543 (14.3) | 16 (15.5) | 0.725 | 13 (12.7) | 16 (15.7) | 0.548 |
| Sepsis | 464 (12.2) | 10 (9.7) | 0.443 | 13 (12.7) | 10 (9.8) | 0.507 |
| Laryngeal nerve palsy | 71 (1.9) | 0 (0) | 0.264 | 0 (0) | 0 (0) | - |
| Reoperation for intrathoracic bleeding | 530 (14.0) | 19 (18.4) | 0.195 | 15 (14.7) | 19 (18.6) | 0.452 |
| Tracheostomy | 305 (8.0) | 14 (13.6) | 0.042 | 6 (5.9) | 14 (13.7) | 0.060 |
| Deep sternal wound infection | 84 (2.2) | 5 (4.9) | 0.085 | 2 (2.0) | 5 (4.9) | 0.445 |
| Mesenteric ischemia | 145 (3.8) | 4 (3.9) | 0.973 | 3 (2.9) | 4 (3.9) | 1.000 |
| Acute lower limb ischemia | 120 (3.2) | 4 (3.9) | 0.569 | |||
| Acute upper limb ischemia | 12 (0.3) | 1 (1.0) | 0.294 | 0 (0) | 4 (3.9) | 0.121 |
| Additional procedures | ||||||
| Revasc. for mesenteric ischemia | 7 (0.2) | 0 (0) | 1.000 | 0 (0) | 0 (0) | - |
| Revasc. for renal ischemia | 7 (0.2) | 0 (0) | 1.000 | 0 (0) | 0 (0) | - |
| Revasc. for lower limb ischemia | 51 (1.3) | 1 (1.0) | 1.000 | 0 (0) | 1 (1.0) | 1.000 |
| Revasc. for upper limb ischemia | 7 (0.2) | 1 (1.0) | 0.193 | 0 (0) | 0 (0) | - |
| Major lower limb amputation | 17 (0.4) | 0 (0) | 1.000 | 0 (0) | 0 (0) | - |
| Surgery for intestinal complications | 18 (0.5) | 0 (0) | 1.000 | 0 (0) | 0 (0) | - |
| Late outcome | ||||||
| 5-year mortality | 1087 (32.3) | 41 (45.6) | 0.002 | 34 (39.4) | 41 (46.2) | 0.163 |
Publisher’s Note: MDPI stays neutral with regard to jurisdictional claims in published maps and institutional affiliations. |
© 2022 by the authors. Licensee MDPI, Basel, Switzerland. This article is an open access article distributed under the terms and conditions of the Creative Commons Attribution (CC BY) license (https://creativecommons.org/licenses/by/4.0/).
Share and Cite
Biancari, F.; Pettinari, M.; Mariscalco, G.; Mustonen, C.; Nappi, F.; Buech, J.; Hagl, C.; Fiore, A.; Touma, J.; Dell’Aquila, A.M.; et al. Outcome after Surgery for Iatrogenic Acute Type A Aortic Dissection. J. Clin. Med. 2022, 11, 6729. https://doi.org/10.3390/jcm11226729
Biancari F, Pettinari M, Mariscalco G, Mustonen C, Nappi F, Buech J, Hagl C, Fiore A, Touma J, Dell’Aquila AM, et al. Outcome after Surgery for Iatrogenic Acute Type A Aortic Dissection. Journal of Clinical Medicine. 2022; 11(22):6729. https://doi.org/10.3390/jcm11226729
Chicago/Turabian StyleBiancari, Fausto, Matteo Pettinari, Giovanni Mariscalco, Caius Mustonen, Francesco Nappi, Joscha Buech, Christian Hagl, Antonio Fiore, Joseph Touma, Angelo M. Dell’Aquila, and et al. 2022. "Outcome after Surgery for Iatrogenic Acute Type A Aortic Dissection" Journal of Clinical Medicine 11, no. 22: 6729. https://doi.org/10.3390/jcm11226729
APA StyleBiancari, F., Pettinari, M., Mariscalco, G., Mustonen, C., Nappi, F., Buech, J., Hagl, C., Fiore, A., Touma, J., Dell’Aquila, A. M., Wisniewski, K., Rukosujew, A., Perrotti, A., Hervé, A., Demal, T., Conradi, L., Pol, M., Kacer, P., Onorati, F., ... Peterss, S. (2022). Outcome after Surgery for Iatrogenic Acute Type A Aortic Dissection. Journal of Clinical Medicine, 11(22), 6729. https://doi.org/10.3390/jcm11226729

