Factors Predicting Response to Selective Retina Therapy in Patients with Chronic Central Serous Chorioretinopathy
Abstract
:1. Introduction
2. Materials and Methods
2.1. SRT Procedure
2.2. Clinical Measures
2.3. Statistical Analysis
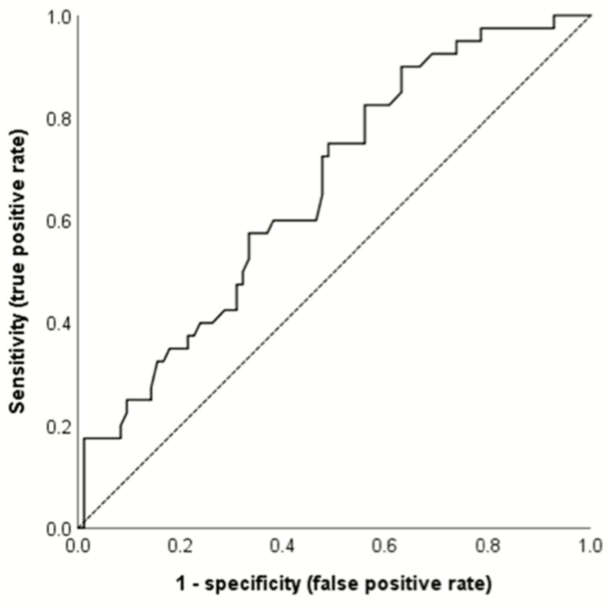
3. Results
4. Discussion
5. Conclusions
Author Contributions
Funding
Institutional Review Board Statement
Informed Consent Statement
Data Availability Statement
Acknowledgments
Conflicts of Interest
References
- Daruich, A.; Matet, A.; Dirani, A.; Bousquet, E.; Zhao, M.; Farman, N.; Jaisser, F.; Behar-Cohen, F. Central serous chorioretinopathy: Recent findings and new physiopathology hypothesis. Prog. Retin. Eye Res. 2015, 48, 82–118. [Google Scholar] [CrossRef] [PubMed] [Green Version]
- Wang, M.; Munch, I.C.; Hasler, P.W.; Prünte, C.; Larsen, M. Central serous chorioretinopathy. Acta Ophthalmol. 2008, 86, 126–145. [Google Scholar] [CrossRef]
- Kitzmann, A.S.; Pulido, J.S.; Diehl, N.N.; Hodge, D.O.; Burke, J.P. The incidence of central serous chorioretinopathy in Olmsted County, Minnesota, 1980–2002. Ophthalmology 2008, 115, 169–173. [Google Scholar] [CrossRef]
- Spaide, R.F.; Campeas, L.; Haas, A.; Yannuzzi, L.A.; Fisher, Y.L.; Guyer, D.R.; Slakter, J.S.; Sorenson, J.A.; Orlock, D.A. Central serous chorioretinopathy in younger and older adults. Ophthalmology 1996, 103, 2070–2079; discussion 2079–2080. [Google Scholar] [CrossRef]
- Guyer, D.R.; Yannuzzi, L.A.; Slakter, J.S.; Sorenson, J.A.; Ho, A.; Orlock, D. Digital indocyanine green videoangiography of central serous chorioretinopathy. Arch. Ophthalmol. 1994, 112, 1057–1062. [Google Scholar] [CrossRef] [PubMed]
- Spitznas, M. Pathogenesis of central serous retinopathy: A new working hypothesis. Graefes Arch. Clin. Exp. Ophthalmol. 1986, 224, 321–324. [Google Scholar] [CrossRef] [PubMed]
- Klein, M.L.; Van Buskirk, E.M.; Friedman, E.; Gragoudas, E.; Chandra, S. Experience with nontreatment of central serous choroidopathy. Arch. Ophthalmol. 1974, 91, 247–250. [Google Scholar] [CrossRef] [PubMed]
- Gilbert, C.M.; Owens, S.L.; Smith, P.D.; Fine, S.L. Long-term follow-up of central serous chorioretinopathy. Br. J. Ophthalmol. 1984, 68, 815–820. [Google Scholar] [CrossRef] [Green Version]
- Loo, R.H.; Scott, I.U.; Flynn, H.W., Jr.; Gass, J.D.; Murray, T.G.; Lewis, M.L.; Rosenfeld, P.J.; Smiddy, W.E. Factors associated with reduced visual acuity during long-term follow-up of patients with idiopathic central serous chorioretinopathy. Retina 2002, 22, 19–24. [Google Scholar] [CrossRef]
- Van Rijssen, T.J.; van Dijk, E.H.C.; Yzer, S.; Ohno-Matsui, K.; Keunen, J.E.E.; Schlingemann, R.O.; Sivaprasad, S.; Querques, G.; Downes, S.M.; Fauser, S.; et al. Central serous chorioretinopathy: Towards an evidence-based treatment guideline. Prog. Retin. Eye Res. 2019, 73, 100770. [Google Scholar] [CrossRef]
- Khosla, P.K.; Rana, S.S.; Tewari, H.K.; Azad, R.U.; Talwar, D. Evaluation of visual function following argon laser photocoagulation in central serous retinopathy. Ophthalmic Surg. Lasers 1997, 28, 693–697. [Google Scholar] [CrossRef] [PubMed]
- Ficker, L.; Vafidis, G.; While, A.; Leaver, P. Long-term follow-up of a prospective trial of argon laser photocoagulation in the treatment of central serous retinopathy. Br. J. Ophthalmol. 1988, 72, 829–834. [Google Scholar] [CrossRef] [PubMed] [Green Version]
- Ruiz-Moreno, J.M.; Lugo, F.L.; Armadá, F.; Silva, R.; Montero, J.A.; Arevalo, J.F.; Arias, L.; Gómez-Ulla, F. Photodynamic therapy for chronic central serous chorioretinopathy. Acta Ophthalmol. 2010, 88, 371–376. [Google Scholar] [CrossRef] [PubMed]
- Hirami, Y.; Tsujikawa, A.; Otani, A.; Yodoi, Y.; Aikawa, H.; Mandai, M.; Yoshimura, N. Hemorrhagic complications after photodynamic therapy for polypoidal choroidal vasculopathy. Retina 2007, 27, 335–341. [Google Scholar] [CrossRef] [PubMed]
- Huang, W.C.; Chen, W.L.; Tsai, Y.Y.; Chiang, C.C.; Lin, J.M. Intravitreal bevacizumab for treatment of chronic central serous chorioretinopathy. Eye 2009, 23, 488–489. [Google Scholar] [CrossRef] [PubMed]
- Schaal, K.B.; Hoeh, A.E.; Scheuerle, A.; Schuett, F.; Dithmar, S. Intravitreal bevacizumab for treatment of chronic central serous chorioretinopathy. Eur. J. Ophthalmol. 2009, 19, 613–617. [Google Scholar] [CrossRef] [PubMed]
- Dalvin, L.A.; Starr, M.R.; AbouChehade, J.E.; Damento, G.M.; Garcia, M.; Shah, S.M.; Hodge, D.O.; Meissner, I.; Bakri, S.J.; Iezzi, R. Association of intravitreal anti-vascular endothelial growth factor therapy with risk of stroke, myocardial infarction, and death in patients with exudative age-related macular degeneration. JAMA Ophthalmol. 2019, 137, 483–490. [Google Scholar] [CrossRef] [PubMed]
- Luttrull, J.K. Low-intensity/high-density subthreshold diode micropulse laser for central serous chorioretinopathy. Retina 2016, 36, 1658–1663. [Google Scholar] [CrossRef] [PubMed] [Green Version]
- Lanzetta, P.; Furlan, F.; Morgante, L.; Veritti, D.; Bandello, F. Nonvisible subthreshold micropulse diode laser (810 nm) treatment of central serous chorioretinopathy. A pilot study. Eur. J. Ophthalmol. 2008, 18, 934–940. [Google Scholar] [CrossRef] [PubMed]
- Lavinsky, D.; Palanker, D. Nondamaging photothermal therapy for the retina: Initial clinical experience with chronic central serous retinopathy. Retina 2015, 35, 213–222. [Google Scholar] [CrossRef]
- Brinkmann, R.; Roider, J.; Birngruber, R. Selective retina therapy (SRT): A review on methods, techniques, preclinical and first clinical results. Bull. Soc. Belge Ophtalmol. 2006, 302, 51–69. [Google Scholar]
- Neumann, J.; Brinkmann, R. Boiling nucleation on melanosomes and microbeads transiently heated by nanosecond and microsecond laser pulses. J. Biomed. Opt. 2005, 10, 024001. [Google Scholar] [CrossRef] [PubMed]
- Framme, C.; Walter, A.; Prahs, P.; Theisen-Kunde, D.; Brinkmann, R. Comparison of threshold irradiances and online dosimetry for selective retina treatment (SRT) in patients treated with 200 nanoseconds and 1.7 microseconds laser pulses. Lasers Surg. Med. 2008, 40, 616–624. [Google Scholar] [CrossRef] [PubMed]
- Roider, J.; Brinkmann, R.; Wirbelauer, C.; Laqua, H.; Birngruber, R. Retinal sparing by selective retinal pigment epithelial photocoagulation. Arch. Ophthalmol. 1999, 117, 1028–1034. [Google Scholar] [CrossRef] [PubMed]
- Park, Y.G.; Seifert, E.; Roh, Y.J.; Theisen-Kunde, D.; Kang, S.; Brinkmann, R. Tissue response of selective retina therapy by means of a feedback-controlled energy ramping mode. Clin. Exp. Ophthalmol. 2014, 42, 846–855. [Google Scholar] [CrossRef]
- Treumer, F.; Klettner, A.; Baltz, J.; Hussain, A.A.; Miura, Y.; Brinkmann, R.; Roider, J.; Hillenkamp, J. Vectorial release of matrix metalloproteinases (MMPs) from porcine RPE-choroid explants following selective retina therapy (SRT): Towards slowing the macular ageing process. Exp. Eye Res. 2012, 97, 63–72. [Google Scholar] [CrossRef] [PubMed]
- Richert, E.; Koinzer, S.; Tode, J.; Schlott, K.; Brinkmann, R.; Hillenkamp, J.; Klettner, A.; Roider, J. Release of different cell mediators during retinal pigment epithelium regeneration following selective retina therapy. Investig. Ophthalmol. Vis. Sci 2018, 59, 1323–1331. [Google Scholar] [CrossRef] [PubMed] [Green Version]
- Roider, J.; Brinkmann, R.; Wirbelauer, C.; Laqua, H.; Birngruber, R. Subthreshold (retinal pigment epithelium) photocoagulation in macular diseases: A pilot study. Br. J. Ophthalmol. 2000, 84, 40–47. [Google Scholar] [CrossRef] [PubMed]
- Chhablani, J.; Roh, Y.J.; Jobling, A.I.; Fletcher, E.L.; Lek, J.J.; Bansal, P.; Guymer, R.; Luttrull, J.K. Restorative retinal laser therapy: Present state and future directions. Surv. Ophthalmol. 2018, 63, 307–328. [Google Scholar] [CrossRef] [PubMed]
- Klatt, C.; Saeger, M.; Oppermann, T.; Pörksen, E.; Treumer, F.; Hillenkamp, J.; Fritzer, E.; Brinkmann, R.; Birngruber, R.; Roider, J. Selective retina therapy for acute central serous chorioretinopathy. Br. J. Ophthalmol. 2011, 95, 83–88. [Google Scholar] [CrossRef] [PubMed]
- Elsner, H.; Pörksen, E.; Klatt, C.; Bunse, A.; Theisen-Kunde, D.; Brinkmann, R.; Birngruber, R.; Laqua, H.; Roider, J. Selective retina therapy in patients with central serous chorioretinopathy. Graefes Arch. Clin. Exp. Ophthalmol. 2006, 244, 1638–1645. [Google Scholar] [CrossRef] [PubMed]
- Yasui, A.; Yamamoto, M.; Hirayama, K.; Shiraki, K.; Theisen-Kunde, D.; Brinkmann, R.; Miura, Y.; Kohno, T. Retinal sensitivity after selective retina therapy (SRT) on patients with central serous chorioretinopathy. Graefes Arch. Clin. Exp. Ophthalmol. 2017, 255, 243–254. [Google Scholar] [CrossRef] [PubMed]
- Kang, S.; Park, Y.G.; Kim, J.R.; Seifert, E.; Theisen-Kunde, D.; Brinkmann, R.; Roh, Y.J. Selective retina therapy in patients with chronic central serous chorioretinopathy: A pilot study. Medicine 2016, 95, e2524. [Google Scholar] [CrossRef]
- Park, Y.G.; Kang, S.; Kim, M.; Yoo, N.; Roh, Y.J. Selective retina therapy with automatic real-time feedback-controlled dosimetry for chronic central serous chorioretinopathy in Korean patients. Graefes Arch. Clin. Exp. Ophthalmol. 2017, 255, 1375–1383. [Google Scholar] [CrossRef]
- Kim, M.; Park, Y.G.; Roh, Y.J. One-year functional and anatomical outcomes after selective retina therapy with real-time feedback-controlled dosimetry in patients with intermediate age-related macular degeneration: A pilot study. Lasers Surg. Med. 2021, 53, 499–513. [Google Scholar] [CrossRef]
- Minhee, K.; Park, Y.G.; Kang, S.; Roh, Y.J. Comp.p.parison of the tissue response of selective retina therapy with or without real-time feedback-controlled dosimetry. Graefes Arch. Clin. Exp. Ophthalmol. 2018, 256, 1639–1651. [Google Scholar] [CrossRef] [PubMed]
- Seifert, E.; Tode, J.; Pielen, A.; Theisen-Kunde, D.; Framme, C.; Roider, J.; Miura, Y.; Birngruber, R.; Brinkmann, R. Selective retina therapy: Toward an optically controlled automatic dosing. J. Biomed. Opt. 2018, 23, 115002. [Google Scholar] [CrossRef] [PubMed]
- Kim, H.D.; Jang, S.Y.; Lee, S.H.; Kim, Y.S.; Ohn, Y.H.; Brinkmann, R.; Park, T.K. Retinal pigment epithelium responses to selective retina therapy in mouse eyes. Investig. Ophthalmol. Vis. Sci. 2016, 57, 3486–3495. [Google Scholar] [CrossRef] [Green Version]
- Lee, J.-Y.; Kim, M.-H.; Jeon, S.-H.; Lee, S.-H.; Roh, Y.-J. The effect of selective retina therapy with automatic real-time feedback-controlled dosimetry for chronic central serous chorioretinopathy: A randomized, open-label, controlled Clinical trial. J. Clinic. Med. 2021, 10, 4295. [Google Scholar] [CrossRef] [PubMed]
- Lee, H.; Alt, C.; Pitsillides, C.M.; Lin, C.P. Optical detection of intracellular cavitation during selective laser targeting of the retinal pigment epithelium: Dependence of cell death mechanism on pulse duration. J. Biomed. Opt. 2007, 12, 064034. [Google Scholar] [CrossRef] [PubMed] [Green Version]
- Donald, J.; Gass, M. Pathogenesis of disciform detachment of the neuroepithelium: II. Idiopathic central seous chorioretinopathy. Am. J. Ophthalmol. 1967, 63, 587/515–615/543. [Google Scholar] [CrossRef]
- Cao, W.; Tombran-Tink, J.; Elias, R.; Sezate, S.; Mrazek, D.; McGinnis, J.F. In vivo protection of photoreceptors from light damage by pigment epithelium-derived factor. Investig. Ophthalmol. Vis. Sci. 2001, 42, 1646–1652. [Google Scholar]
- Dawson, D.W.; Volpert, O.V.; Gillis, P.; Crawford, S.E.; Xu, H.; Benedict, W.; Bouck, N.P. Pigment epithelium-derived factor: A potent inhibitor of angiogenesis. Science 1999, 285, 245–248. [Google Scholar] [CrossRef] [PubMed]
- Guo, L.; Hussain, A.A.; Limb, G.A.; Marshall, J. Age-dependent variation in metalloproteinase activity of isolated human Bruch’s membrane and choroid. Investig. Ophthalmol. Vis. Sci. 1999, 40, 2676–2682. [Google Scholar]
- Fok, A.C.; Chan, P.P.; Lam, D.S.; Lai, T.Y. Risk factors for recurrence of serous macular detachment in untreated patients with central serous chorioretinopathy. Ophthalmic Res. 2011, 46, 160–163. [Google Scholar] [CrossRef]
- van Dijk, E.H.C.; Fauser, S.; Breukink, M.B.; Blanco-Garavito, R.; Groenewoud, J.M.M.; Keunen, J.E.E.; Peters, P.J.H.; Dijkman, G.; Souied, E.H.; MacLaren, R.E.; et al. Half-dose photodynamic therapy versus high-density subthreshold micropulse laser treatment in patients with chronic central serous chorioretinopathy: The PLACE trial. Ophthalmology 2018, 125, 1547–1555. [Google Scholar] [CrossRef] [PubMed]
- Kyo, A.; Yamamoto, M.; Hirayama, K.; Kohno, T.; Theisen-Kunde, D.; Brinkmann, R.; Miura, Y.; Honda, S. Factors affecting resolution of subretinal fluid after selective retina therapy for central serous chorioretinopathy. Sci. Rep. 2021, 11, 8973. [Google Scholar] [CrossRef] [PubMed]




| Inclusion Criteria |
|---|
| CSC patients who underwent SRT |
| Presence of SRF involving the fovea on OCT images for ≥3 months |
| Presence of focal or diffuse leakages on FFA caused by CSC |
| Availability of ≥6 months of medical records after the initial SRT |
| Age ≥ 18 years |
| Exclusion Criteria |
| Presence of other macular diseases, including AMD, polypoidal choroidal vasculopathy (PCV), and pathological myopia |
| Presence of an RPE atrophy area > 500 μm diameter |
| History of conventional laser photocoagulation or PDT for CSC |
| History of intravitreal bevacizumab injection ≤ 12 weeks prior to SRT |
| Media opacity that could interfere with SRT irradiation or adequate acquisition of FFA, indocyanine green angiography, FAF, and OCT images |
| Patients’ Characteristics | Values |
|---|---|
| Number of patients (eyes) | 135 (137) |
| Age, years, mean ± SD (range) | 48.2 ± 8.8 (29–69) |
| Gender, n (%) | Male 111 (82.2%)/Female 24 (17.8%) |
| Bilaterality, n (%) | 2 (1.5%) |
| Symptom duration in months, mean ± SD (range) | 15.8 ± 21.2 (3–120) |
| Previous treatments | |
| Patients who received intravitreal bevacizumab injection, n (%) | 58 (43%) |
| Type of leakages | |
| Focal, n (%) | 84 (61.3%) |
| Diffuse, n (%) | 53 (38.7%) |
| Presence of PED | |
| no PED or RPE bumps, n (%) | 44 (32.1%) |
| PED (dome, flat irregular), n (%) | 93 (67.9%) |
| Baseline BCVA (LogMAR), mean ± SD (range) | 0.41 ± 0.31 (0–1.0) |
| Baseline CMT, µm, mean ± SD (range) | 347.67 ± 97.38 (228–808) |
| Baseline SRF height, µm, mean ± SD (range) | 187.85 ± 97.56 (18–648) |
| Baseline | 3 M | 6 M | p Value * | p Value ** | p Value *** | |
|---|---|---|---|---|---|---|
| Best-corrected visual acuity, logMAR, mean ± SD | 0.41 ± 0.31 | 0.34 ± 0.32 | 0.33 ± 0.31 | 0.001 | <0.001 | >0.99 |
| Central macular thickness, µm, mean ± SD | 347.67 ± 97.38 | 222.23 ± 85.34 | 173.42 ± 30.95 | <0.001 | <0.001 | <0.001 |
| Subretinal fluid height, µm, mean ± SD | 187.85 ± 97.56 | 62.41 ± 85.41 | 8.6 ± 31.29 | <0.001 | <0.001 | <0.001 |
| SRF Resolution Group | Remnant SRF Group | p Value | |
|---|---|---|---|
| Number of eyes | 72 | 65 | |
| Age, years, mean ± SD (range) | 47.3 ± 9.4 | 49.8 ± 9.4 | 0.123 |
| Gender, n (%) | Male 61 (84.7%)/Female 11 (15.3%) | Male 52 (80.0%)/Female 13 (20.0%) | 0.468 |
| Symptom duration in months, mean ± SD | 15.7 ± 21.9 | 15.9 ± 20.4 | 0.948 |
| Previous treatments | |||
| Patients who received intravitreal bevacizumab injection, n (%) | 24 (33.3%) | 34 (52.3%) | 0.343 |
| Type of leakages | 0.046 | ||
| Focal, n (%) | 50 (69.4%) | 34 (52.3%) | |
| Diffuse, n (%) | 22 (30.6%) | 31 (47.7%) | |
| Presence of PED | 0.748 | ||
| no PED or RPE bumps, n (%) | 24 (33.3%) | 20 (30.8%) | |
| PED (dome, flat irregular), n (%) | 48 (66.7%) | 45 (69.2%) | |
| Baseline BCVA (LogMAR), mean ± SD | 0.4 ± 0.3 | 0.5 ± 0.3 | 0.107 |
| Baseline CMT, μm, mean ± SD | 330.4 ± 99.6 | 366.8 ± 91.8 | 0.027 |
| Baseline SRF height, μm, mean ± SD | 170.4 ± 99.6 | 207.2 ± 92.2 | 0.009 |
| Single-SRT Group | Retreatment Group | p Value | |
|---|---|---|---|
| Number of eyes | 84 | 40 | |
| Age, years, mean ± SD (range) | 47.6 ± 9.7 | 49.1 ± 8.8 | 0.402 |
| Gender, n (%) | Male 72 (85.7%)/Female 12 (14.3%) | Male 32 (80.0%)/Female 8 (20.0%) | 0.584 |
| Symptom duration in months, mean ± SD | 15.6 ± 21.1 | 17.3 ± 23.9 | 0.685 |
| Previous treatments | |||
| Patients who received intravitreal bevacizumab injection, n (%) | 32 (38.1%) | 20 (50.0%) | 0.224 |
| Type of leakages | 0.29 | ||
| Focal, n (%) | 56 (66.7%) | 22 (55.0%) | |
| Diffuse, n (%) | 28 (33.3%) | 18 (45.0%) | |
| Presence of PED | 0.266 | ||
| no PED or RPE bumps, n (%) | 31 (36.9%) | 10 (25.0%) | |
| PED (dome, flat irregular), n (%) | 53 (63.1%) | 30 (75.0%) | |
| Baseline BCVA (LogMAR), mean ± SD | 0.4 ± 0.3 | 0.5 ± 0.3 | 0.096 |
| Baseline CMT, μm, mean ± SD | 331.4 ± 94.3 | 378.9 ± 90.2 | 0.004 |
| Baseline SRF height, μm, mean ± SD | 171.5 ± 94.4 | 219.0 ± 90.2 | 0.009 |
| OR | 95% CI | p Value | |
|---|---|---|---|
| Baseline SRF height | 1.006 | 1.002–1.011 | 0.008 |
| Baseline BCVA | 2.807 | 0.745–10.569 | 0.750 |
| Age | 1.001 | 0.956–1.048 | 0.961 |
| Gender | 1.845 | 0.620–5.494 | 0.271 |
| Symptom duration | 1 | 0.979–1.020 | 0.973 |
| Previous history of intravitreal bevacizumab injection | 0.988 | 0.861–1.134 | 0.867 |
| Type of leakages | 1.304 | 0.515–3.299 | 0.575 |
| Presence of PED | 1.619 | 0.620–4.227 | 0.326 |
Publisher’s Note: MDPI stays neutral with regard to jurisdictional claims in published maps and institutional affiliations. |
© 2022 by the authors. Licensee MDPI, Basel, Switzerland. This article is an open access article distributed under the terms and conditions of the Creative Commons Attribution (CC BY) license (https://creativecommons.org/licenses/by/4.0/).
Share and Cite
Kim, M.; Jeon, S.H.; Lee, J.-y.; Lee, S.-h.; Roh, Y.-j. Factors Predicting Response to Selective Retina Therapy in Patients with Chronic Central Serous Chorioretinopathy. J. Clin. Med. 2022, 11, 323. https://doi.org/10.3390/jcm11020323
Kim M, Jeon SH, Lee J-y, Lee S-h, Roh Y-j. Factors Predicting Response to Selective Retina Therapy in Patients with Chronic Central Serous Chorioretinopathy. Journal of Clinical Medicine. 2022; 11(2):323. https://doi.org/10.3390/jcm11020323
Chicago/Turabian StyleKim, Minhee, Seung Hee Jeon, Ji-young Lee, Seung-hoon Lee, and Young-jung Roh. 2022. "Factors Predicting Response to Selective Retina Therapy in Patients with Chronic Central Serous Chorioretinopathy" Journal of Clinical Medicine 11, no. 2: 323. https://doi.org/10.3390/jcm11020323
APA StyleKim, M., Jeon, S. H., Lee, J.-y., Lee, S.-h., & Roh, Y.-j. (2022). Factors Predicting Response to Selective Retina Therapy in Patients with Chronic Central Serous Chorioretinopathy. Journal of Clinical Medicine, 11(2), 323. https://doi.org/10.3390/jcm11020323

