Sign in to use this feature.

Years

Between: -

Subjects

remove_circle_outline
remove_circle_outline
remove_circle_outline
remove_circle_outline
remove_circle_outline
remove_circle_outline

Journals

Article Types

Countries / Regions

Search Results (46)

Search Parameters:
Keywords = chronic central serous chorioretinopathy

Order results
Result details
Results per page
Select all
Export citation of selected articles as:
12 pages, 1865 KB  
Article
Difluprednate and Loratadine in the Treatment of Pachychoroid Disease Spectrum
by Emile R. Vieta-Ferrer, Adrian Au, Jeeyun Ahn and Michael B. Gorin
J. Clin. Transl. Ophthalmol. 2026, 4(1), 2; https://doi.org/10.3390/jcto4010002 - 29 Dec 2025
Viewed by 267
Abstract
Background: The recently defined pachychoroid disease spectrum (PDS), which includes central serous chorioretinopathy (CSCR), is a group of retinal disorders that share the common characteristic of a thick, dilated, hyperpermeable choroid. This study aimed to evaluate the efficacy of difluprednate and loratadine in [...] Read more.
Background: The recently defined pachychoroid disease spectrum (PDS), which includes central serous chorioretinopathy (CSCR), is a group of retinal disorders that share the common characteristic of a thick, dilated, hyperpermeable choroid. This study aimed to evaluate the efficacy of difluprednate and loratadine in the treatment of pachychoroid disease spectrum (PDS). Methods: A retrospective study of 27 eyes from 19 patients with macular edema secondary to chronic PDS were treated with topical difluprednate and oral loratadine at a tertiary medical center. Visual acuity and optical coherence tomography (OCT) images were analyzed at baseline, 1-, 2-, 3-, 6-, 12-month, and final follow-up. Baseline was defined as the initiation of topical difluprednate. Patients with neovascularization or who had other concurrent treatments for PDS were excluded. Subfoveal choroidal thickness was measured at each time point. Response was defined as eyes that showed a reduction in intra- or subretinal fluid. Results: All 27 eyes studied responded to treatment. Of these, 70.4% resolved by 4 months and 81.5% by 6 months, with 52.2% of these patients having recurrences related to cessation or tapering of topical steroids. Visual acuity remained stable (p > 0.05) while subfoveal choroidal thickness decreased compared to baseline (p < 0.001) across all time points. Eleven (40.7%) of the eyes developed increased intraocular pressure, for which seven (25.9%) required incisional surgery. Conclusions: Chronic PDS can be treated with a combination of topical difluprednate and oral antihistamines to reduce retinal edema and subfoveal choroidal thickness. The effectiveness of therapy could be linked to the regulation of mast cell degranulation, necessitating a well-powered prospective randomized clinical trial. Full article
(This article belongs to the Special Issue Retinal Diseases: Recent Advances in Diagnosis and Treatment)
Show Figures

Figure 1

18 pages, 2749 KB  
Article
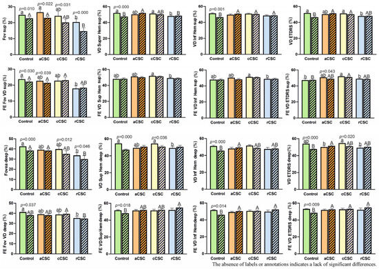
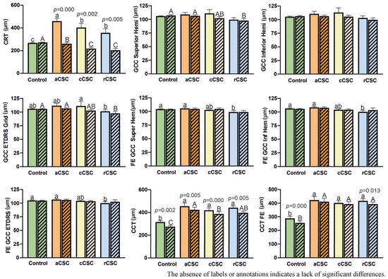
A Novel Panmacular Strategy for Subthreshold Micropulse Laser in CSC: Two-Year Functional and Morphological Outcomes
by Małgorzata Latalska, Sławomir Dresler, Magdalena Wójciak, Ireneusz Sowa and Robert Rejdak
J. Clin. Med. 2026, 15(1), 43; https://doi.org/10.3390/jcm15010043 - 20 Dec 2025
Viewed by 302
Abstract
Background/Objectives: Central serous chorioretinopathy (CSC) is the fourth most common retinal disorder. Subthreshold micropulse laser therapy (MPLT) is a promising option. The study aimed to evaluate whether a novel panmacular MPLT strategy leads to significant long-term functional and structural improvement in acute [...] Read more.
Background/Objectives: Central serous chorioretinopathy (CSC) is the fourth most common retinal disorder. Subthreshold micropulse laser therapy (MPLT) is a promising option. The study aimed to evaluate whether a novel panmacular MPLT strategy leads to significant long-term functional and structural improvement in acute (aCSC), chronic (cCSC), and recurrent (rCSC). Methods: This retrospective, non-comparative study included CSC patients (n = 41) and healthy controls (n = 14). Participants underwent panmacular subthreshold MPLT. Best-corrected visual acuity (BCVA), retinal sensitivity (RetSens), central choroidal thickness (CCT), and pachyvessel diameter were measured at baseline and at 24 months post first treatment. The mean post-intervention observation time (from the last treatment to the final follow-up) was 24.0 months for the aCSC group and 18.6 months for the cCSC and rCSC groups. Treatment required a mean of 1 session in the aCSC group (range 1–3) and a mean of 2.8 sessions in the cCSC and rCSC groups (range 1–8). Results: Complete subretinal fluid (SRF) resolution was achieved in 100% of aCSC cases, 86.66% of cCSC, and 63.63% of rCSC. Non-resolution/recurrence occurred in 13.33% of cCSC (2/15), and 36.37% of rCSC (4/11). After two years BCVA significantly improved across all groups (e.g., aCSC: improved from 0.74 ± 0.05 to 0.98 ± 0.02, p = 0.005). RetSens significantly improved in aCSC (increased by 5 dB, p = 0.001) and cCSC (increased by 3.8 dB, p = 0.046) CCT, CRT and pachyvessel diameter significantly decreased post-treatment in all CSC groups (p < 0.05). Conclusions: Panmacular MPLT is a safe and effective therapy for CSC, providing significant long-term functional and structural improvement, particularly in acute and chronic cases. The therapeutic effects were weakest in the rCSC group, which showed the poorest functional outcomes and a higher burden, suggesting that a recurrent disease course may be a primary negative prognostic factor. Full article
Show Figures

Figure 1

21 pages, 307 KB  
Review
Systemic Lupus Erythematosus: Ophthalmological Safety Considerations of Emerging and Conventional Therapeutic Agents
by Wojciech Luboń, Małgorzata Luboń, Anna Agaś-Lange and Mariola Dorecka
Int. J. Mol. Sci. 2025, 26(23), 11744; https://doi.org/10.3390/ijms262311744 - 4 Dec 2025
Viewed by 600
Abstract
Systemic lupus erythematosus (SLE) is a chronic multisystem autoimmune disorder in which ocular involvement represents a clinically significant yet frequently underrecognized contributor to morbidity. Ocular manifestations in SLE may arise from disease activity itself, but also as adverse effects of long-term pharmacological therapy. [...] Read more.
Systemic lupus erythematosus (SLE) is a chronic multisystem autoimmune disorder in which ocular involvement represents a clinically significant yet frequently underrecognized contributor to morbidity. Ocular manifestations in SLE may arise from disease activity itself, but also as adverse effects of long-term pharmacological therapy. With the advent of targeted immunomodulatory agents, the therapeutic landscape of SLE has expanded beyond conventional drugs such as hydroxychloroquine and corticosteroids toward biologics and small molecules designed to interfere with specific immunological pathways. These advances have improved systemic disease control and survival; however, their ophthalmological safety profiles remain only partially defined. This review synthesizes current evidence on ocular adverse events associated with both traditional and emerging SLE therapies. Established agents, particularly hydroxychloroquine and corticosteroids, are consistently linked to complications including retinopathy, posterior subcapsular cataracts, steroid-induced glaucoma, and central serous chorioretinopathy. In contrast, recently approved or investigational therapies—such as belimumab, anifrolumab, voclosporin, dual BAFF/APRIL inhibitors, rituximab, JAK inhibitors, CD40/CD40L blockade, CD38 inhibition, and mesenchymal stromal cell-based strategies—have limited but evolving safety data, with potential ocular adverse events spanning inflammatory, vascular, neuro-ophthalmic, and structural domains. Although ocular complications appear infrequent in clinical trials, underdetection in real-world practice and insufficient long-term monitoring may underestimate their true incidence. These findings highlight the need for systematic ophthalmological surveillance in patients receiving immunomodulatory therapies for SLE. Early recognition and timely management of ocular toxicity are crucial to safeguarding visual function and optimizing long-term therapeutic outcomes in this vulnerable patient population. Full article
25 pages, 3411 KB  
Review
Retinal Laser Therapy Mechanisms, Innovations, and Clinical Applications
by Xinyi Xie, Luqman Munir and Yannis Mantas Paulus
Photonics 2025, 12(11), 1043; https://doi.org/10.3390/photonics12111043 - 22 Oct 2025
Viewed by 2758
Abstract
Retinal laser therapy has been a mainstay for treating proliferative diabetic retinopathy, retinal vascular disease, and retinal breaks since 1961. However, conventional millisecond photocoagulation can cause permanent scarring and procedure discomfort, motivating the development of damage-sparing approaches that preserve the neurosensory retina. Clinically, [...] Read more.
Retinal laser therapy has been a mainstay for treating proliferative diabetic retinopathy, retinal vascular disease, and retinal breaks since 1961. However, conventional millisecond photocoagulation can cause permanent scarring and procedure discomfort, motivating the development of damage-sparing approaches that preserve the neurosensory retina. Clinically, panretinal photocoagulation remains effective for proliferative disease but trades off peripheral visual field and night vision. This review synthesizes development, mechanisms, and clinical evidence for laser modalities, including short-pulse selective retinal therapy (SRT), subthreshold diode micropulse (SDM), and pattern-scanning photocoagulation. We conducted a targeted narrative search of PubMed/MEDLINE, Embase, Web of Science, and trial registries (1960–September 2025), supplemented by reference list screening. We prioritized randomized/prospective studies, large cohorts, systematic reviews, mechanistic modeling, and relevant preclinical work. Pulse duration is the primary determinant of laser–tissue interaction. In the microsecond regime, SRT yields retinal pigment epithelium (RPE)-selective photodisruption via microcavitation and uses real-time optoacoustic or OCT feedback. SDM 100–300 µs delivers nondamaging thermal stress with low duty cycles and titration-based dosing. Pattern-scanning platforms improve throughput and tolerance yet remain destructive photocoagulation. Feedback-controlled SRT shows anatomic/functional benefit in chronic central serous chorioretinopathy and feasibility in diabetic macular edema. SDM can match threshold macular laser for selected DME and may reduce anti-VEGF injection burden. Sub-nanosecond “rejuvenation” lasers show no overall benefit in intermediate AMD and may be harmful in specific phenotypes. Advances in delivery, dosimetry, and closed-loop feedback aim to minimize collateral damage while retaining therapeutic effect. Key gaps include head-to-head trials (SRT vs. PDT/SDM), standardized feedback thresholds across pigmentation and devices, and long-term macular safety to guide broader clinical adoption. Full article
(This article belongs to the Special Issue Novel Techniques and Applications of Ophthalmic Optics)
Show Figures

Figure 1

16 pages, 3965 KB  
Article
Efficacy of Intravitreal Brolucizumab for Chronic Central Serous Chorioretinopathy: A Pilot Study
by Sunjin Hwang, Rim Kyung Hong, Eun Hee Hong, Min Ho Kang and Yong Un Shin
J. Pers. Med. 2025, 15(9), 409; https://doi.org/10.3390/jpm15090409 - 2 Sep 2025
Viewed by 939
Abstract
Background/Objectives: Chronic central serous chorioretinopathy (cCSC) is a vision-threatening disorder characterized by persistent subretinal fluid (SRF). While several treatment options exist, their efficacy varies, and optimal management remains uncertain. This retrospective pilot study aimed to evaluate the efficacy and safety of intravitreal brolucizumab [...] Read more.
Background/Objectives: Chronic central serous chorioretinopathy (cCSC) is a vision-threatening disorder characterized by persistent subretinal fluid (SRF). While several treatment options exist, their efficacy varies, and optimal management remains uncertain. This retrospective pilot study aimed to evaluate the efficacy and safety of intravitreal brolucizumab in patients with symptomatic cCSC without pachychoroid neovasculopathy (PNV). Methods: In total, 15 eyes of 15 patients diagnosed with symptomatic cCSC without PNV were treated with a single intravitreal injection of brolucizumab. Patients were followed for six months. Primary outcomes included resolution of SRF and changes in central subfield thickness (CST) and subfoveal choroidal thickness (SCT). Best-corrected visual acuity (BCVA) and ocular safety profiles were also assessed. Results: Complete SRF resolution was observed in 14 of 15 eyes (93.3%) within six months. Mean CST significantly decreased from 317.13 ± 73.40 µm to 205.53 ± 20.17 µm (p < 0.001), and mean SCT from 475.87 ± 107.66 µm to 390.13 ± 121.67 µm (p < 0.001). BCVA improved in 12 eyes (80.0%) and remained stable in 3 eyes; however, the mean improvement (logMAR 0.34 ± 0.33 to 0.14 ± 0.13) was statistically significant (p = 0.007). No significant ocular adverse events were reported. Conclusions: Intravitreal brolucizumab may be an effective and safe treatment for reducing SRF and choroidal thickness in patients with cCSC without PNV. Larger, controlled studies are needed to validate these findings. Full article
(This article belongs to the Section Personalized Therapy and Drug Delivery)
Show Figures

Figure 1

14 pages, 2030 KB  
Article
Predictive Factors for Morphological and Functional Improvements in Long-Lasting Central Serous Chorioretinopathy Treated with Photodynamic Therapy
by Maciej Gawęcki, Krzysztof Kiciński, Jan Kucharczuk, Monika Gołębiowska-Bogaj and Andrzej Grzybowski
Biomedicines 2025, 13(4), 944; https://doi.org/10.3390/biomedicines13040944 - 11 Apr 2025
Cited by 3 | Viewed by 1340
Abstract
Backgrounds: Photodynamic therapy (PDT) is an established treatment modality in central serous chorioretinopathy (CSCR). The goal of our study was to evaluate the morphological and functional effects of PDT in patients with long-lasting CSCR and determine the related predictive factors for improvement. [...] Read more.
Backgrounds: Photodynamic therapy (PDT) is an established treatment modality in central serous chorioretinopathy (CSCR). The goal of our study was to evaluate the morphological and functional effects of PDT in patients with long-lasting CSCR and determine the related predictive factors for improvement. Methods: This retrospective analysis included consecutive patients with chronic CSCR who consented to PDT. The material comprised 98 eyes of 81 patients (67 males and 14 females) with a disease duration longer than 6 months followed for 6 months post treatment. All patients underwent a basic ophthalmological examination including best corrected visual acuity (BCVA) testing and imaging, spectral-domain optical coherence tomography (SD-OCT), and fluorescein angiography. Patients without macular neovascularization (MNV) were subjected to half-dose PDT (3 mg/m2) with standard fluence (50 J/cm2), guided by indocyanine green angiography. Cases complicated by MNV were subjected to full-dose PDT. Results: A morphological response, defined as complete resolution of subretinal fluid, was achieved in 76.29% of cases, and an improvement in BCVA of at least one logMAR line was obtained in 77.53% of cases. The mean BCVA gain was 1.2 logMAR line. All SD-OCT measurements (central retinal thickness, macular volume, mean subfield thickness, subretinal fluid height, and subfoveal choroidal thickness) showed a significant reduction post PDT. A multivariate analysis proved better morphological outcome associations with a younger age and male gender and better visual gains achieved in patients without intraretinal abnormalities. Univariate testing also showed strong relationships between better baseline BCVA and greater functional and morphological improvements, between shorter disease duration and morphological gains, and between the absence of MNV or intraretinal abnormalities and morphological gains. PDT was highly effective in providing a resolution of pigment epithelial detachment (p = 0.0004). The observed effect was significantly dependent upon the lower baseline central retinal thickness (p = 0.0095). Patients with intraretinal abnormalities or MNV showed moderate improvements post PDT. Conclusions: PDT in long-lasting CSCR cases provides good morphological results but generally minor visual gains. Patients’ expectations of significant increases in BCVA after prolonged disease with distinct alterations of the neurosensory retina should be managed. Full article
(This article belongs to the Special Issue Photodynamic Therapy (3rd Edition))
Show Figures

Figure 1

11 pages, 1042 KB  
Article
Subthreshold Laser Titration Database in a Population with Central Serous Chorioretinopathy and Dome-Shaped Macula
by Jacobo Emilio Enríquez-Fuentes, Alicia Valverde-Megías, Antonio Domingo Alarcón-García, Carlos Oribio-Quinto, Jay Chhablani and José Ignacio Fernández-Vigo
J. Clin. Med. 2025, 14(3), 953; https://doi.org/10.3390/jcm14030953 - 2 Feb 2025
Cited by 2 | Viewed by 1441
Abstract
Objectives: This study aimed to describe the laser titration needed to create a safe and effective subthreshold laser (STL) for use in patients with chronic central serous chorioretinopathy (CSCR) and dome-shaped macula (DSM) and to investigate the possible factors influencing titration. Methods: [...] Read more.
Objectives: This study aimed to describe the laser titration needed to create a safe and effective subthreshold laser (STL) for use in patients with chronic central serous chorioretinopathy (CSCR) and dome-shaped macula (DSM) and to investigate the possible factors influencing titration. Methods: This was a prospective single-center study that recruited 92 eyes of 87 patients that presented with CSCR (84.8%) and DSM (15.2%) for a 577 nm STL treatment for persistent subretinal fluid. Age, sex, and the spherical equivalent (SE) were collected. Titration was performed by applying various impacts, beginning at 800 mW and increasing in 100 mW steps. The photocoagulation threshold (PT) was assessed as the minimum power at which faint whitening was observed in fundus retinography. Results: The mean age was 53.5 ± 10.3 years and 78.3% of patients were male. The mean SE was 0.3 ± 3.0 D (range −9.5–+11.0). The overall mean power to reach PT was 1102.7 ± 183.0 mW (range 800–1600). In the multivariate analysis, age and SE were associated with PT (p = 0.022 and 0.011, respectively). On the contrary, no association was observed between PT and sex (p = 0.924), macular disease (CSCR vs. DSM, p = 0.416), or central macular thickness (CMT) (p = 0.667). Conclusions: This study highlights the broad power range required for effective subthreshold laser (STL) titration and emphasizes the need for individualized treatment parameters to optimize outcomes. No significant differences in titration power were found regarding macular disease type, CMT, or sex. However, a mild correlation between PT, SE, and age was observed. Full article
(This article belongs to the Section Ophthalmology)
Show Figures

Figure 1

13 pages, 5501 KB  
Article
Quantitative Changes in Vascular and Neural Fibers Induced by Subretinal Fluid Excluding the Peripapillary Region in Patients with Chronic Central Serous Chorioretinopathy
by Esra Kızıldağ Özbay, Şenol Sabancı, Mehmet Fatih Küçük and Muhammet Kazım Erol
Diagnostics 2025, 15(2), 174; https://doi.org/10.3390/diagnostics15020174 - 14 Jan 2025
Viewed by 1188
Abstract
Background: This study aims to evaluate the quantitative changes in retinal nerve fiber layer (RNFL) thickness and radial peripapillary capillary (RPC) vessel density in patients with chronic central serous chorioretinopathy (CSCR), specifically excluding the peripapillary region. Methods: A prospective case–control study was conducted [...] Read more.
Background: This study aims to evaluate the quantitative changes in retinal nerve fiber layer (RNFL) thickness and radial peripapillary capillary (RPC) vessel density in patients with chronic central serous chorioretinopathy (CSCR), specifically excluding the peripapillary region. Methods: A prospective case–control study was conducted at the Antalya Training and Research Hospital, Health Sciences University, involving 65 patients with chronic CSCR. Participants were categorized into two groups based on the presence or regression of subretinal fluid (SRF). A control group of age- and sex-matched healthy individuals was also included. Optical coherence tomography angiography (OCTA) was used to assess RNFL thickness and RPC vessel density. Statistical analyses were conducted using SPSS, with non-parametric tests employed for between-group comparisons. Results: Patients with persistent SRF exhibited significant increases in RNFL thickness in the inferior and nasal quadrants compared to healthy controls (p = 0.003 and p = 0.014, respectively). Additionally, RPC vessel density in the small vessel disc area (%) was significantly lower in the persistent SRF group compared to controls (p = 0.021). A significant negative correlation was found between nasal quadrant RNFL thickness and small vessel disc area (p = 0.014, r = −0.306). Conclusions: Chronic SRF in CSCR patients, even when not involving the peripapillary region, leads to significant structural changes in both the neural and vascular components of the retina. These findings suggest that SRF contributes to broader retinal alterations and supports the need for early detection and management of CSCR to prevent long-term visual impairment. Full article
(This article belongs to the Special Issue Optical Coherence Tomography (OCT): State of the Art)
Show Figures

Figure 1

11 pages, 729 KB  
Article
Choroidal Remodeling After Subthreshold Micropulse Laser in Chronic Central Serous Chorioretinopathy: Short-Term Outcomes
by Pasquale Viggiano, Giacomo Scotti, Alba Chiara Termite, Alfonso Savastano, Giacomo Boscia, Arcangelo Clemente, Antonio Salvelli, Ermete Giancipoli, Francesco Pignatelli, Federica Evangelista, Giovanni Alessio and Francesco Boscia
J. Clin. Med. 2025, 14(2), 306; https://doi.org/10.3390/jcm14020306 - 7 Jan 2025
Cited by 3 | Viewed by 1711
Abstract
Objectives: To evaluate the effects of subthreshold micropulse laser treatment (SMLT) on choroidal architecture in chronic central serous chorioretinopathy (CSC) and their correlations with functional outcomes. Methods: This retrospective study included 48 eyes with chronic CSC that were treated with 577 [...] Read more.
Objectives: To evaluate the effects of subthreshold micropulse laser treatment (SMLT) on choroidal architecture in chronic central serous chorioretinopathy (CSC) and their correlations with functional outcomes. Methods: This retrospective study included 48 eyes with chronic CSC that were treated with 577 nm SMLT. The choroidal thickness (CT); Sattler’s layer and choriocapillaris complex thickness (SLCCT); Haller’s layer thickness (HLT); subretinal fluid (SRF); and best-corrected visual acuity (BCVA) were assessed at baseline and at 2 months post treatment. Results: At 2 months, the SLCCT increased from 185.92 ± 80.89 μm to 214.17 ± 83.36 μm (p = 0.023), and the total CT increased from 444.46 ± 80.43 μm to 484.33 ± 93.19 μm (p = 0.002). The SRF height decreased from 140.38 ± 95.89 μm to 57.58 ± 63.54 μm (p < 0.001), with complete resolution in 79.2% of cases. The BCVA improved from 0.41 ± 0.48 to 0.22 ± 0.30 logMAR (p < 0.001). Changes in the SLCCT correlated negatively with BCVA changes (r = −0.48, p = 0.025) and positively with total CT changes (r = 0.687, p < 0.001). Conclusions: SMLT induces significant choroidal remodeling in chronic CSC, particularly affecting the Sattler–Bruch layer complex. The increase in the SLCCT correlates with visual improvement, challenging the conventional understanding of choroidal thinning in CSC treatment. Full article
(This article belongs to the Section Ophthalmology)
Show Figures

Graphical abstract

15 pages, 2607 KB  
Article
Choroidal Response to Intravitreal Bevacizumab Injections in Treatment-Naïve Macular Neovascularization Secondary to Chronic Central Serous Chorioretinopathy
by David Rabinovitch, Shiri Shulman, Dafna Goldenberg, Liang Wang, Prashanth Iyer, Anat Loewenstein, Noah Igra, Olivia Levine, Gissel Herrera and Omer Trivizki
Biomedicines 2024, 12(12), 2760; https://doi.org/10.3390/biomedicines12122760 - 3 Dec 2024
Cited by 1 | Viewed by 1762
Abstract
Background/Objectives: To evaluate the impact of intravitreal bevacizumab (IVB) therapy on anatomical and visual outcomes in patients with macular neovascularization (MNV) secondary to chronic central serous chorioretinopathy (cCSC). Methods: This retrospective observational study reviewed the medical records of treatment-naïve patients diagnosed with cCSC [...] Read more.
Background/Objectives: To evaluate the impact of intravitreal bevacizumab (IVB) therapy on anatomical and visual outcomes in patients with macular neovascularization (MNV) secondary to chronic central serous chorioretinopathy (cCSC). Methods: This retrospective observational study reviewed the medical records of treatment-naïve patients diagnosed with cCSC complicated by MNV and treated with IVB injections over a 5-year period. The presence of MNV was confirmed using optical coherence tomography angiography (OCTA). Best-corrected visual acuity (BCVA), subfoveal choroidal thickness (SFCT), and subretinal fluid (SRF) were recorded pre- and post-IVB treatment. Results: Twenty-two eyes of 22 patients (mean age, 68 ± 11 years) were included. After a mean follow-up of 21.0 ± 14.6 months, SRF significantly decreased from baseline (176.86 ± 115.62 µm) to the final follow-up (80.95 ± 87.32 µm, p = 0.003). A greater SRF reduction was associated with more injections (>7) (p = 0.047). However, no significant changes were observed in BCVA (p > 0.05) or SFCT (p > 0.05), irrespective of follow-up duration or injection frequency. Complete resolution of SRF was achieved in nine patients (40.9%), and a significantly greater reduction in SFCT was observed in complete responders compared to non-responders (p = 0.03). Conclusions: IVB therapy significantly reduced SRF in cCSC patients with secondary MNV, though it did not lead to visual improvement or significant changes in SFCT. However, greater choroidal thinning in patients with complete fluid resorption may suggest distinct underlying mechanisms or alternative sources of subretinal fluid beyond the MNV itself. Full article
Show Figures

Figure 1

9 pages, 1057 KB  
Article
Optical Coherence Tomography Study of Choroidal Response to Exercise-Induced Hypertension in Chronic Central Serous Chorioretinopathy
by Anindya Samanta, Giulia Gregori, Alessio Muzi, Ramkailash Gujar, Cesare Mariotti, Daniela Fruttini, Kiran K. Vupparaboina, Jay Chhablani, Massimo Nicolò, Chiara M. Eandi, Felice Cardillo Piccolino and Marco Lupidi
J. Clin. Med. 2024, 13(21), 6580; https://doi.org/10.3390/jcm13216580 - 1 Nov 2024
Viewed by 2115
Abstract
Background/Objectives: The aim of this study was to evaluate the choroidal vascular response using optical coherence tomography (OCT) in patients with chronic central serous chorioretinopathy (CSCR) during transient increases in blood pressure. Methods: This observational, case–control study enrolled chronic CSCR patients [...] Read more.
Background/Objectives: The aim of this study was to evaluate the choroidal vascular response using optical coherence tomography (OCT) in patients with chronic central serous chorioretinopathy (CSCR) during transient increases in blood pressure. Methods: This observational, case–control study enrolled chronic CSCR patients and age-matched healthy controls. OCT scans of the macula were performed at rest and during hand-grip (HG) isometric exercise. Mean ocular perfusion pressure (MOPP) and subfoveal choroidal thickness (SCT) were measured at baseline and during stress. Quantitative OCT assessment included the bright area (BA, stroma), dark area (DA, vascular lumen), and total choroidal area (CA). The choroidal vascularity index (CVI) was calculated as DA/CA to assess vascular response to stress. A comparative analysis between CSCR patients and controls was conducted. Conclusions: MOPP was significantly higher (p = 0.008) at baseline in CSCR patients and further increased under stress compared to controls. SCT and CA were both significantly higher in CSCR patients than in healthy subjects at rest and under stress (p < 0.001), but no change occurred after HG. A significant decrease in CVI (p = 0.005) was noted in controls under stress, but not in CSCR patients. Additionally, a negative correlation between CVI and MOPP was found in healthy subjects (−0.648; p = 0.043). The study demonstrated a choroidal vasoconstrictive response to stress in healthy subjects, as evidenced by a decrease in CVI, but not in CSCR patients. This suggests that CSCR patients may experience impaired choroidal blood flow regulation, resulting in potentially higher perfusion pressures during stress without compensatory vasoconstriction, potentially affecting the choriocapillaris. Full article
(This article belongs to the Section Ophthalmology)
Show Figures

Figure 1

10 pages, 1489 KB  
Article
Role of Plasma Angiopoietin-1 and VEGF Levels as Potential Biomarkers in Chronic Central Serous Chorioretinopathy with Macular Neovascularization
by Michał Chrząszcz, Weronika Pociej-Marciak, Natalia Mackiewicz, Bożena Romanowska-Dixon, Marek Sanak, Sławomir Teper, Maciej Gawęcki and Izabella Karska-Basta
Int. J. Mol. Sci. 2024, 25(19), 10748; https://doi.org/10.3390/ijms251910748 - 6 Oct 2024
Cited by 2 | Viewed by 1545
Abstract
To evaluate the plasma levels of angiopoietin-1 and vascular endothelial growth factor (VEGF) and their association with macular neovascularization (MNV) in patients with chronic central serous chorioretinopathy (cCSC). Correlations between plasma cytokine levels, CSC duration, and mean choroidal thickness (CT) were also investigated. [...] Read more.
To evaluate the plasma levels of angiopoietin-1 and vascular endothelial growth factor (VEGF) and their association with macular neovascularization (MNV) in patients with chronic central serous chorioretinopathy (cCSC). Correlations between plasma cytokine levels, CSC duration, and mean choroidal thickness (CT) were also investigated. Of the 59 patients with cCSC, 10 patients with MNV secondary to cCSC and 10 patients with cCSC without MNV were enrolled in the study. The control group included 15 healthy volunteers matched for age, sex, smoking status, and comorbidities. Chronic CSC was diagnosed based on typical findings on swept-source optical coherence tomography (OCT), fundus fluorescein angiography, and indocyanine green angiography. Additionally, all patients underwent OCT angiography to help detect MNV. Plasma angiopoietin-1 and VEGF levels were assessed using multiplex immunoassay. The plasma angiopoietin-1 levels differed between the 3 groups (p = 0.005). The angiopoietin-1 levels were lower in patients with cCSC with MNV than in controls (p = 0.006). There were no differences in the plasma VEGF levels between all the 3 groups (p = 0.329). The VEGF levels were negatively correlated with mean CT in cCSC patients with MNV (rho = −0.683, p = 0.042) but correlated positively with disease duration in patients with cCSC without MNV (rho = 0.886, p = 0.003). Our study confirms that MNV is a common complication of cCSC and provides new insights into the role of angiopoietin-1 in cCSC and MNV. Reduced angiopoietin-1 levels in cCSC patients, regardless of MNV status, highlight the importance of the Ang–Tie2 pathway in disease pathogenesis and may point to new therapeutic targets and future novel treatments to improve the management of these patients. Full article
Show Figures

Figure 1

8 pages, 1826 KB  
Article
The Evaluation of Change in Choroidal Circulation Time before and after Half-Dose Photodynamic Therapy in Central Serous Chorioretinopathy Using Wide-Field Indocyanine Green Angiography
by Ruri Sugiyama, Ryusaburo Mori, Akiyuki Kawamura, Koji Tanaka, Hajime Onoe, Yu Wakatsuki and Hiroyuki Nakashizuka
J. Clin. Med. 2024, 13(14), 4257; https://doi.org/10.3390/jcm13144257 - 21 Jul 2024
Cited by 1 | Viewed by 1413
Abstract
Background: Indocyanine green angiography (ICGA) is often used for diagnosis of, and as an indication to apply laser treatment for, central serous chorioretinopathy (CSC). Although photodynamic therapy (PDT) is effective against CSC, the details of the mechanism are unknown. To verify the [...] Read more.
Background: Indocyanine green angiography (ICGA) is often used for diagnosis of, and as an indication to apply laser treatment for, central serous chorioretinopathy (CSC). Although photodynamic therapy (PDT) is effective against CSC, the details of the mechanism are unknown. To verify the effect of PDT, we compared the time of choroidal circulation before and after PDT in CSC patients, using ICGA. Methods: Seven eyes of seven patients (six male, one female) who were diagnosed with chronic CSC associated with serous retinal detachment (SRD) in the macular area and who underwent half-dose PDT were included. Wide-field ICGA images with an angle of 102° were taken and evaluated at the superior and inferior temporal quadrants. Choroidal circulation time (CCT) was defined as the time from the start of contrast filling in the choroidal artery to the first appearance of contrast filling in the temporal vortex vein ampulla. Results: The average CCT before and after PDT in the superior temporal vortex vein was 3.96 s and 5.41 s (p = 0.018), and 4.12 s and 5.02 s (p = 0.046) in the inferior temporal vortex vein, respectively. All SRD and choroidal vascular hyperpermeability areas dissolved after PDT. Conclusions: In this pilot study, half-dose PDT prolonged CCT in CSC patients, indicating the effect of selective vascular obstruction in the choriocapillaris. Full article
(This article belongs to the Special Issue An Update on Retinal Diseases: From Diagnosis to Treatment)
Show Figures

Figure 1

9 pages, 1649 KB  
Brief Report
Three-Year Follow-Up Detecting Choroidal Neovascularization with Swept Source Optical Coherence Tomography Angiography (SS-OCTA) after Successful Half-Fluence Photodynamic Therapy for Chronic Central Serous Chorioretinopathy
by Olivia Esteban-Floría, Guillermo Pérez-Rivasés, Ana Honrubia-Grijalbo, Isabel Bartolomé-Sesé, María Dolores Díaz-Barreda, Ana Boned-Murillo, Pablo Cisneros-Arias, Javier Mateo-Gabás and Francisco-Javier Ascaso-Puyelo
Diagnostics 2023, 13(17), 2792; https://doi.org/10.3390/diagnostics13172792 - 29 Aug 2023
Cited by 2 | Viewed by 2577
Abstract
Purpose: To assess the clinical course, structural changes, and choroidal neovascularization detection by SS-OCTA in long-standing and resolved patients with chronic central serous chorioretinopathy (cCSC) after successful half-fluence photodynamic therapy (hf-PDT) treatment. Methods: Twenty-four eyes presenting with cCSC were examined with SS-OCTA [...] Read more.
Purpose: To assess the clinical course, structural changes, and choroidal neovascularization detection by SS-OCTA in long-standing and resolved patients with chronic central serous chorioretinopathy (cCSC) after successful half-fluence photodynamic therapy (hf-PDT) treatment. Methods: Twenty-four eyes presenting with cCSC were examined with SS-OCTA and were classified as choroidal neovascular (CNV) or non-choroidal neovascular (non-CNV) cCSC depending on the vascular pattern detected by SS-OCTA after one, two, and three years after hf-PDT. Two groups were compared based on the following clinical findings: demographic characteristics, time of clinical signs, best corrected visual acuity (BCVA), central retinal thickness (CRT), central choroidal thickness (CFT), subretinal fluid (SRF), flat, irregular pigment epithelial detachment (FIPED), and features of fluorescein angiography (FA) and vascular pattern by SS-OCTA. Results: All patients showed resolved cCSC during follow-up after hf-PDT. A total of 5 of 24 (20.8%) eyes showed a neovascular pattern by SS-OCTA. No differences between BCVA, CRT, SRF, FIPED, or FA features were found between both groups (p > 0.05). However, CFT and older age were associated with a neovascular pattern by SS-OCTA (p < 0.05) in follow-up. No signs of neovascular activity were detected by SS-OCT during follow-up in CNV cCSC patients, and no antiVEGF treatment was required for three-year follow-ups. Conclusions: Despite patients with cCSC showing a favorable clinical response after hf-PDT, lower foveal thickness and older age were associated with CNV patterns by SS-OCTA during follow-up. Full article
(This article belongs to the Special Issue Eye Diseases: Diagnosis and Management—2nd Edition)
Show Figures

Figure 1

2 pages, 192 KB  
Reply
Reply to Fernandez-Vigo et al. Comment on “Torrellas et al. Effectiveness, Safety and Choroidal Changes of a Fovea-Sparing Technique for the Treatment of Chronic Central Serous Chorioretinopathy with Yellow Subthreshold Laser. J. Clin. Med. 2023, 12, 1127”
by Beatriz Torrellas, Alejandro Filloy, Lihteh Wu, Jay Chhablani and Pedro Romero-Aroca
J. Clin. Med. 2023, 12(17), 5440; https://doi.org/10.3390/jcm12175440 - 22 Aug 2023
Cited by 2 | Viewed by 1012
Abstract
We thank the comment written by Fernández-Vigo et al. [...] Full article
(This article belongs to the Section Ophthalmology)
Back to TopTop