Prognostic Nomogram for Postoperative Hypopharyngeal Squamous Cell Carcinoma to Assist Decision Making for Adjuvant Chemotherapy
Abstract
1. Introduction
2. Materials and Methods
2.1. Data Collection
2.2. Variable Definition
2.3. Statistical Analysis
3. Results
3.1. General Characteristics and Treatment Patterns
3.2. Identification of Optimal Cutoff Points
3.3. Survival Analysis in the Entire Cohort Population
3.4. Univariate and Multivariate Analysis in the Training Cohort
3.5. Generation of a Nomogram Model
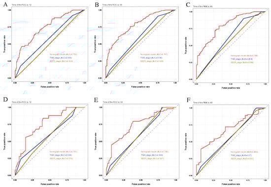
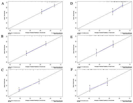
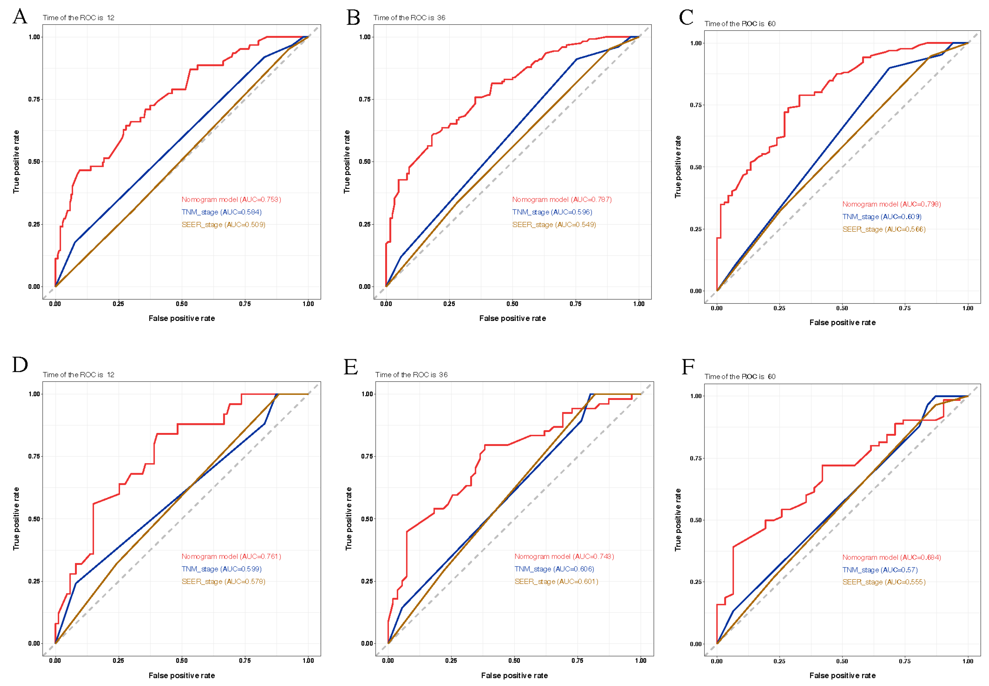
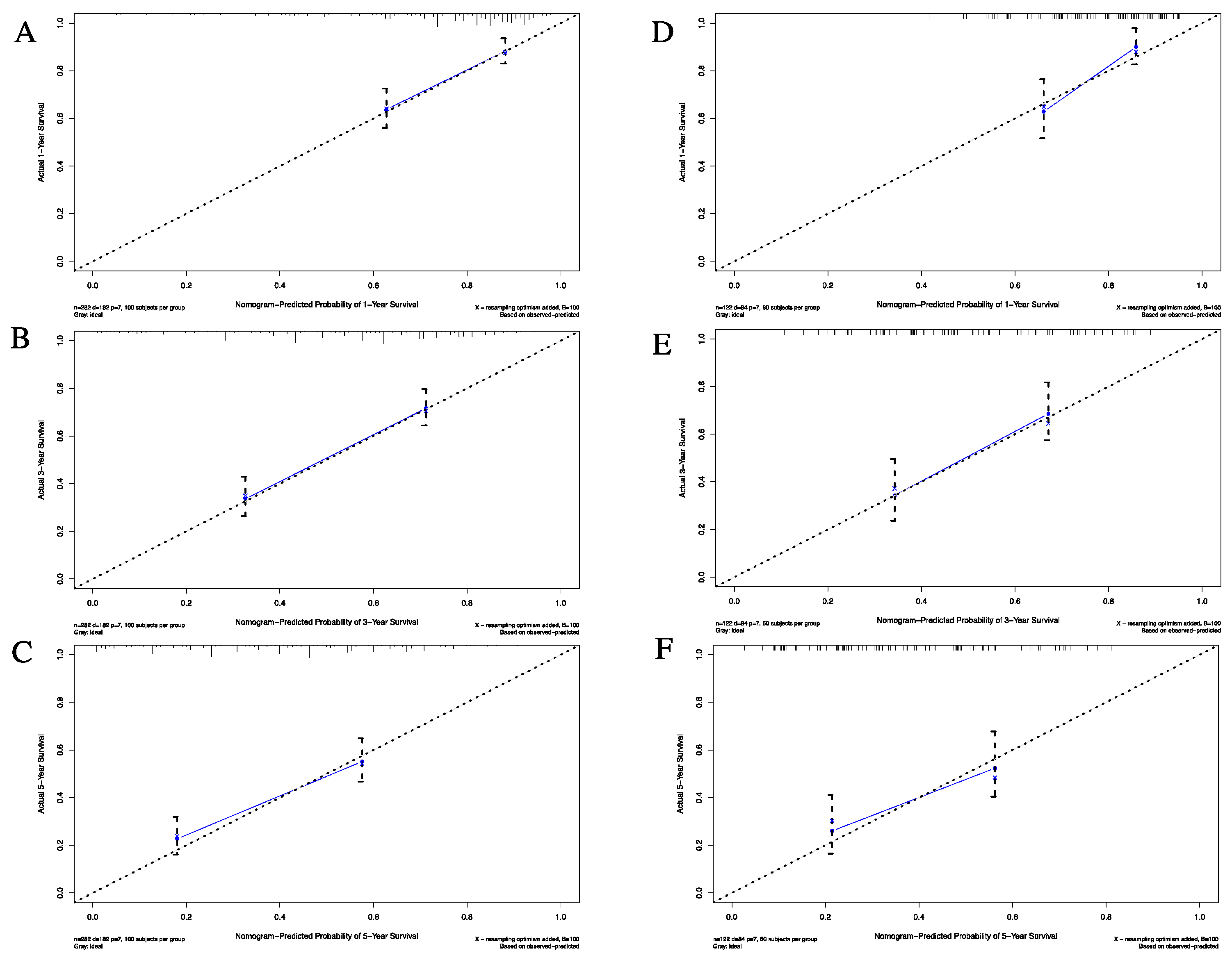
3.6. Nomogram Validation
3.7. Clinical Value of Nomogram Risk Stratification
4. Discussion
5. Conclusions
Supplementary Materials
Author Contributions
Funding
Institutional Review Board Statement
Informed Consent Statement
Data Availability Statement
Acknowledgments
Conflicts of Interest
References
- Siegel, R.L.; Miller, K.D.; Fuchs, H.E.; Jemal, A. Cancer Statistics, 2021. CA Cancer J. Clin. 2021, 71, 7–33. [Google Scholar] [CrossRef]
- Curado, M.P.; Hashibe, M. Recent changes in the epidemiology of head and neck cancer. Curr. Opin. Oncol. 2009, 21, 194–200. [Google Scholar] [CrossRef]
- Petersen, J.F.; Timmermans, A.J.; van Dijk, B.A.C.; Overbeek, L.I.H.; Smit, L.A.; Hilgers, F.J.M.; Stuiver, M.M.; van den Brekel, M.W.M. Trends in treatment, incidence and survival of hypopharynx cancer: A 20-year population-based study in the Netherlands. Eur. Arch. Otorhinolaryngol. 2018, 275, 181–189. [Google Scholar] [CrossRef]
- Shah, J.P.; Shaha, A.R.; Spiro, R.H.; Strong, E.W. Carcinoma of the hypopharynx. Am. J. Surg. 1976, 132, 439–443. [Google Scholar] [CrossRef]
- Belcher, R.; Hayes, K.; Fedewa, S.; Chen, A.Y. Current treatment of head and neck squamous cell cancer. J. Surg. Oncol. 2014, 110, 551–574. [Google Scholar] [CrossRef]
- Heng, Y.; Zhang, D.; Zhou, L.; Zhang, M.; Wu, C.; Tao, L. Assessment and treatment strategies for occult contralateral lymph node metastasis in hypopharyngeal squamous cell carcinoma patients with ipsilateral node-positive necks. Oral Oncol. 2021, 114, 105183. [Google Scholar] [CrossRef]
- Gourin, C.G.; Terris, D.J. Carcinoma of the hypopharynx. Surg. Oncol. Clin. N. Am. 2004, 13, 81–98. [Google Scholar] [CrossRef]
- Echanique, K.A.; Evans, L.K.; Han, A.Y.; Chhetri, D.K.; St John, M.A. Cancer of the Larynx and Hypopharynx. Hematol. Oncol. Clin. N. Am. 2021, 35, 933–947. [Google Scholar] [CrossRef]
- Kuo, P.; Chen, M.M.; Decker, R.H.; Yarbrough, W.G.; Judson, B.L. Hypopharyngeal cancer incidence, treatment, and survival: Temporal trends in the United States. Laryngoscope 2014, 124, 2064–2069. [Google Scholar] [CrossRef]
- Takes, R.P.; Strojan, P.; Silver, C.E.; Bradley, P.J.; Haigentz, M., Jr.; Wolf, G.T.; Shaha, A.R.; Hartl, D.M.; Olofsson, J.; Langendijk, J.A.; et al. Current trends in initial management of hypopharyngeal cancer: The declining use of open surgery. Head Neck 2012, 34, 270–281. [Google Scholar] [CrossRef]
- Eckel, H.E.; Bradley, P.J. Natural History of Treated and Untreated Hypopharyngeal Cancer. Adv. Otorhinolaryngol. 2019, 83, 27–34. [Google Scholar] [CrossRef]
- Newman, J.R.; Connolly, T.M.; Illing, E.A.; Kilgore, M.L.; Locher, J.L.; Carroll, W.R. Survival trends in hypopharyngeal cancer: A population-based review. Laryngoscope 2015, 125, 624–629. [Google Scholar] [CrossRef]
- Ma, Y.; Liu, Y.; Shayan, G.; Yi, J.; Wang, J. Lymph node ratio-based nomogram for prognosis evaluation and treatment optimization of non-metastatic oral cavity squamous cell carcinoma. Transl. Oncol. 2022, 20, 101401. [Google Scholar] [CrossRef]
- Zhu, X.; Zhao, M.; Zhou, L.; Zhang, M.; Cao, P.; Tao, L. Significance of examined lymph nodes number and metastatic lymph nodes ratio in overall survival and adjuvant treatment decision in resected laryngeal carcinoma. Cancer Med. 2020, 9, 3006–3014. [Google Scholar] [CrossRef]
- Huang, F.; Xu, G.; Du, H. A New Nomogram for Predicting Overall Survival and Assisting Postoperative Adjuvant Treatment Decision-Making in Stage II Oral Tongue Squamous Cell Carcinoma: A Surveillance, Epidemiology and End Results (SEER) Database Analysis. J. Oral. Maxillofac. Surg. 2021, 79, 2147–2154. [Google Scholar] [CrossRef]
- Liu, D.; Chen, Y.; Deng, M.; Xie, G.; Wang, J.; Zhang, L.; Liu, Q.; Yuan, P.; Feng, X. Lymph node ratio and breast cancer prognosis: A meta-analysis. Breast Cancer 2014, 21, 1–9. [Google Scholar] [CrossRef]
- Sheppard, S.C.; Frech, L.; Giger, R.; Nisa, L. Lymph Node Yield and Ratio in Selective and Modified Radical Neck Dissection in Head and Neck Cancer-Impact on Oncological Outcome. Cancers 2021, 13, 2205. [Google Scholar] [CrossRef]
- Yang, J.; Long, Q.; Li, H.; Lv, Q.; Tan, Q.; Yang, X. The value of positive lymph nodes ratio combined with negative lymph node count in prediction of breast cancer survival. J. Thorac. Dis. 2017, 9, 1531–1537. [Google Scholar] [CrossRef]
- Vinh-Hung, V.; Verkooijen, H.M.; Fioretta, G.; Neyroud-Caspar, I.; Rapiti, E.; Vlastos, G.; Deglise, C.; Usel, M.; Lutz, J.M.; Bouchardy, C. Lymph node ratio as an alternative to pN staging in node-positive breast cancer. J. Clin. Oncol. 2009, 27, 1062–1068. [Google Scholar] [CrossRef]
- Roberts, T.J.; Colevas, A.D.; Hara, W.; Holsinger, F.C.; Oakley-Girvan, I.; Divi, V. Number of positive nodes is superior to the lymph node ratio and American Joint Committee on Cancer N staging for the prognosis of surgically treated head and neck squamous cell carcinomas. Cancer 2016, 122, 1388–1397. [Google Scholar] [CrossRef]
- Ebrahimi, A.; Clark, J.R.; Zhang, W.J.; Elliott, M.S.; Gao, K.; Milross, C.G.; Shannon, K.F. Lymph node ratio as an independent prognostic factor in oral squamous cell carcinoma. Head Neck 2011, 33, 1245–1251. [Google Scholar] [CrossRef]
- de Kort, W.W.B.; Maas, S.L.N.; Van Es, R.J.J.; Willems, S.M. Prognostic value of the nodal yield in head and neck squamous cell carcinoma: A systematic review. Head Neck 2019, 41, 2801–2810. [Google Scholar] [CrossRef]
- Sun, Y.; Li, Y.; Wu, J.; Tian, H.; Liu, H.; Fang, Y.; Li, Y.; Yu, F. Nomograms for prediction of overall and cancer-specific survival in young breast cancer. Breast Cancer Res. Treat. 2020, 184, 597–613. [Google Scholar] [CrossRef]
- Cho, D.H.; Bae, S.Y.; You, J.Y.; Kim, H.K.; Chang, Y.W.; Choi, Y.J.; Woo, S.U.; Son, G.S.; Lee, J.B.; Bae, J.W.; et al. Lymph node ratio as an alternative to pN staging for predicting prognosis after neoadjuvant chemotherapy in breast cancer. Kaohsiung J. Med. Sci. 2018, 34, 341–347. [Google Scholar] [CrossRef]
- Wang, Y.L.; Feng, S.H.; Zhu, J.; Zhu, G.P.; Li, D.S.; Wang, Y.; Zhu, Y.X.; Sun, G.H.; Ji, Q.H. Impact of lymph node ratio on the survival of patients with hypopharyngeal squamous cell carcinoma: A population-based analysis. PLoS ONE 2013, 8, e56613. [Google Scholar] [CrossRef]
- Abdeyrim, A.; He, S.; Zhang, Y.; Mamtali, G.; Asla, A.; Yusup, M.; Liu, J. Prognostic value of lymph node ratio in laryngeal and hypopharyngeal squamous cell carcinoma: A systematic review and meta-analysis. J. Otolaryngol. Head Neck Surg. 2020, 49, 31. [Google Scholar] [CrossRef]
- Grasl, S.; Janik, S.; Parzefall, T.; Formanek, M.; Grasl, M.C.; Heiduschka, G.; Erovic, B.M. Lymph node ratio as a prognostic marker in advanced laryngeal and hypopharyngeal carcinoma after primary total laryngopharyngectomy. Clin. Otolaryngol. 2020, 45, 73–82. [Google Scholar] [CrossRef]
- Chen, F.; Lin, L.; Liu, F.; Yan, L.; Qiu, Y.; Wang, J.; Hu, Z.; Wu, J.; Bao, X.; Lin, L.; et al. Three prognostic indexes as predictors of response to adjuvant chemoradiotherapy in patients with oral squamous cell carcinoma after radical surgery: A large-scale prospective study. Head Neck 2019, 41, 301–308. [Google Scholar] [CrossRef]
- Urban, D.; Gluck, I.; Pfeffer, M.R.; Symon, Z.; Lawrence, Y.R. Lymph node ratio predicts the benefit of post-operative radiotherapy in oral cavity cancer. Radiother. Oncol. 2013, 106, 74–79. [Google Scholar] [CrossRef]
- Tang, X.; Pang, T.; Yan, W.F.; Qian, W.L.; Gong, Y.L.; Yang, Z.G. A novel prognostic model predicting the long-term cancer-specific survival for patients with hypopharyngeal squamous cell carcinoma. BMC Cancer 2020, 20, 1095. [Google Scholar] [CrossRef]
- Lin, Z.; Lin, H.; Lin, C. Dynamic prediction of cancer-specific survival for primary hypopharyngeal squamous cell carcinoma. Int. J. Clin. Oncol. 2020, 25, 1260–1269. [Google Scholar] [CrossRef]
- Tian, S.; Li, Q.; Li, R.; Chen, X.; Tao, Z.; Gong, H.; Wang, X.; Hu, X. Development and Validation of a Prognostic Nomogram for Hypopharyngeal Carcinoma. Front. Oncol. 2021, 11, 696952. [Google Scholar] [CrossRef]
- Pfister, D.G.; Ang, K.K.; Brizel, D.M.; Burtness, B.A.; Cmelak, A.J.; Colevas, A.D.; Dunphy, F.; Eisele, D.W.; Gilbert, J.; Gillison, M.L.; et al. Head and neck cancers. J. Natl. Compr. Cancer Netw. 2011, 9, 596–650. [Google Scholar] [CrossRef]
- Bernier, J.; Cooper, J.S.; Pajak, T.F.; van Glabbeke, M.; Bourhis, J.; Forastiere, A.; Ozsahin, E.M.; Jacobs, J.R.; Jassem, J.; Ang, K.K.; et al. Defining risk levels in locally advanced head and neck cancers: A comparative analysis of concurrent postoperative radiation plus chemotherapy trials of the EORTC (#22931) and RTOG (# 9501). Head Neck 2005, 27, 843–850. [Google Scholar] [CrossRef]
- Harris, B.N.; Biron, V.L.; Donald, P.; Farwell, D.G.; Luu, Q.C.; Bewley, A.F.; Chen, A.M.; Daly, M.E. Primary Surgery vs Chemoradiation Treatment of Advanced-Stage Hypopharyngeal Squamous Cell Carcinoma. JAMA Otolaryngol. Head Neck Surg. 2015, 141, 636–640. [Google Scholar] [CrossRef]
- Ang, K.K.; Harris, J.; Wheeler, R.; Weber, R.; Rosenthal, D.I.; Nguyen-Tân, P.F.; Westra, W.H.; Chung, C.H.; Jordan, R.C.; Lu, C.; et al. Human papillomavirus and survival of patients with oropharyngeal cancer. N. Engl. J. Med. 2010, 363, 24–35. [Google Scholar] [CrossRef]
- Bourhis, J.; Sire, C.; Graff, P.; Grégoire, V.; Maingon, P.; Calais, G.; Gery, B.; Martin, L.; Alfonsi, M.; Desprez, P.; et al. Concomitant chemoradiotherapy versus acceleration of radiotherapy with or without concomitant chemotherapy in locally advanced head and neck carcinoma (GORTEC 99-02): An open-label phase 3 randomised trial. Lancet Oncol. 2012, 13, 145–153. [Google Scholar] [CrossRef]
- Heng, Y.; Zhu, X.; Zhou, L.; Zhang, M.; Li, J.; Tao, L. A prognostic nomogram for predicting the long-term survival outcome of hypopharyngeal squamous cell carcinoma patients after tumour resection to assist the decision-making of postoperative adjuvant treatment. Eur. J. Surg. Oncol. 2020, 46, 245–251. [Google Scholar] [CrossRef]
- Hochfelder, C.G.; McGinn, A.P.; Mehta, V.; Castellucci, E.; Kabarriti, R.; Ow, T.J. Treatment sequence and survival in locoregionally advanced hypopharyngeal cancer: A surveillance, epidemiology, and end results-based study. Laryngoscope 2020, 130, 2611–2621. [Google Scholar] [CrossRef]
- Wan, M.; Zhao, D.; Sun, Y.; Wang, W. A Novel Overall Survival Nomogram Prediction of Secondary Primary Malignancies after Hypopharyngeal Cancer: A Population-Based Study. J. Oncol. 2022, 2022, 4681794. [Google Scholar] [CrossRef]
- Kuo, P.; Sosa, J.A.; Burtness, B.A.; Husain, Z.A.; Mehra, S.; Roman, S.A.; Yarbrough, W.G.; Judson, B.L. Treatment trends and survival effects of chemotherapy for hypopharyngeal cancer: Analysis of the National Cancer Data Base. Cancer 2016, 122, 1853–1860. [Google Scholar] [CrossRef]





| Characteristics | Entire Population | Training Cohort | Validation Cohort | p | |||
|---|---|---|---|---|---|---|---|
| n = 404 | % | n = 282 | % | n = 122 | % | ||
| Year of diagnosis | 0.765 | ||||||
| 2004–2011 | 190 | 47.03 | 134 | 47.52 | 56 | 45.90 | |
| 2011–2019 | 214 | 52.97 | 148 | 52.48 | 66 | 54.10 | |
| Age at diagnosis (year) | 0.443 | ||||||
| Median (range) | 62 | 26–87 | 62 | 30–87 | 62 | 26–85 | |
| Origin | 0.322 | ||||||
| Non-Spanish–Hispanic–Latino | 369 | 91.34 | 255 | 90.43 | 114 | 93.44 | |
| Spanish–Hispanic–Latino | 35 | 8.66 | 27 | 9.57 | 8 | 6.56 | |
| Race | 0.611 | ||||||
| White | 313 | 77.48 | 218 | 77.3 | 95 | 77.87 | |
| Black | 57 | 14.11 | 38 | 13.48 | 19 | 15.57 | |
| Other | 34 | 8.42 | 26 | 9.22 | 8 | 6.56 | |
| Sex | 0.962 | ||||||
| Male | 335 | 82.92 | 234 | 82.98 | 101 | 82.79 | |
| Female | 69 | 17.08 | 48 | 17.02 | 21 | 17.21 | |
| Married | 0.467 | ||||||
| Married | 181 | 44.80 | 123 | 43.62 | 58 | 47.54 | |
| No/Unknown | 223 | 55.20 | 159 | 56.38 | 64 | 52.46 | |
| Primary site | 0.328 | ||||||
| Pyriform sinus | 236 | 58.42 | 165 | 58.51 | 71 | 58.20 | |
| Other sites | 68 | 16.83 | 43 | 15.25 | 25 | 20.49 | |
| Hypopharynx, NOS | 100 | 24.75 | 74 | 26.24 | 26 | 21.31 | |
| Pathological grade | 0.366 | ||||||
| I | 11 | 2.72 | 5 | 1.77 | 6 | 4.92 | |
| II | 195 | 48.27 | 139 | 49.29 | 56 | 45.90 | |
| III | 169 | 41.83 | 120 | 42.55 | 49 | 40.16 | |
| IV | 6 | 1.49 | 4 | 1.42 | 2 | 1.64 | |
| Unknown | 23 | 5.69 | 14 | 4.96 | 9 | 7.38 | |
| SEER stage | 0.652 | ||||||
| Localized | 30 | 7.43 | 20 | 7.09 | 10 | 8.20 | |
| Regional | 259 | 64.11 | 178 | 63.12 | 81 | 66.39 | |
| Metastasis | 115 | 28.47 | 84 | 29.79 | 31 | 25.41 | |
| AJCC TNM stage | 0.595 | ||||||
| I | 8 | 1.98 | 4 | 1.42 | 4 | 3.28 | |
| II | 19 | 4.70 | 12 | 4.26 | 7 | 5.74 | |
| III | 35 | 8.66 | 27 | 9.57 | 8 | 6.56 | |
| IVA | 296 | 73.27 | 207 | 73.4 | 89 | 72.95 | |
| IVB | 46 | 11.39 | 32 | 11.35 | 14 | 11.48 | |
| T stage | 0.538 | ||||||
| T1 | 26 | 6.44 | 17 | 6.03 | 9 | 7.38 | |
| T2 | 76 | 18.81 | 54 | 19.15 | 22 | 18.03 | |
| T3 | 61 | 15.10 | 47 | 16.67 | 14 | 11.48 | |
| T4a | 219 | 54.21 | 149 | 52.84 | 70 | 57.38 | |
| T4b | 22 | 5.45 | 15 | 5.32 | 7 | 5.74 | |
| N stage | 0.585 | ||||||
| N0 | 76 | 18.81 | 54 | 19.15 | 22 | 18.03 | |
| N1 | 70 | 17.33 | 44 | 15.6 | 26 | 21.31 | |
| N2 | 230 | 56.93 | 164 | 58.16 | 66 | 54.10 | |
| N3 | 28 | 6.93 | 20 | 7.09 | 8 | 6.56 | |
| Tumor size (cm) | 0.849 | ||||||
| ≤2 | 51 | 12.62 | 35 | 12.41 | 16 | 13.11 | |
| 2–4 | 146 | 36.14 | 101 | 35.82 | 45 | 36.89 | |
| >4 | 192 | 47.52 | 134 | 47.52 | 58 | 47.54 | |
| Unknown | 15 | 3.71 | 12 | 4.26 | 3 | 2.46 | |
| ELN | 0.340 | ||||||
| Median (range) | 43 | 1–90 | 44 | 1–90 | 42 | 1–90 | |
| PLNN | 0.494 | ||||||
| Median (range) | 2 | 0–34 | 3 | 0–34 | 2 | 0–24 | |
| LNR | 0.785 | ||||||
| Median (range) | 0.06 | 0–1 | 0.06 | 0–1 | 0.05 | 0–1 | |
| Surgery | 0.00 | 0 | 0.00 | 0.289 | |||
| Pharyngectomy | 86 | 21.29 | 55 | 19.5 | 31 | 25.41 | |
| Pharyngectomy with laryngectomy or removal of contiguous bone tissue | 271 | 67.08 | 191 | 67.73 | 80 | 65.57 | |
| Radical pharyngectomy | 47 | 11.63 | 36 | 12.77 | 11 | 9.02 | |
| Radiotherapy | 0.00 | 0.104 | |||||
| No | 101 | 25.00 | 64 | 22.7 | 37 | 30.33 | |
| Yes | 303 | 75.00 | 218 | 77.3 | 85 | 69.67 | |
| Chemotherapy | 0.00 | 0.141 | |||||
| No | 206 | 50.99 | 137 | 48.58 | 69 | 56.56 | |
| Yes | 198 | 49.01 | 145 | 51.42 | 53 | 43.44 | |
| Characteristics | Univariate | p | Multivariate | p |
|---|---|---|---|---|
| HR (95% CI) | HR (95% CI) | |||
| Year of diagnosis | ||||
| 2004–2011 | 1 | |||
| 2011–2019 | 1.009 (0.738–1.381) | 0.953 | ||
| Age at diagnosis (year) | ||||
| ≤71 | 1 | 1 | ||
| >71 | 1.736 (1.203–2.506) | 0.003 | 2.011 (1.356–2.983) | 0.001 |
| Origin | ||||
| Non-Spanish–Hispanic–Latino | 1 | |||
| Spanish–Hispanic–Latino | 0.870 (0.521–1.454) | 0.595 | 0.497 (0.287–0.861) | 0.013 |
| Race | ||||
| White | 1 | |||
| Black | 0.856 (0.53–1.381) | 0.523 | ||
| Other | 0.910 (0.525–1.576) | 0.735 | ||
| Sex | ||||
| Male | ||||
| Female | 1.056 (0.717–1.556) | 0.781 | ||
| Married | ||||
| Married | 1 | |||
| No/Unknown | 1.294 (0.961–1.743) | 0.090 | ||
| Primary site | ||||
| Pyriform sinus | 1 | 1 | ||
| Other sites | 0.993 (0.656–1.502) | 0.973 | 0.821 (0.533–1.265) | 0.372 |
| Hypopharynx, NOS | 0.611 (0.419–0.892) | 0.011 | 0.522 (0.350–0.778) | 0.001 |
| Pathological grade | ||||
| I | 1 | |||
| II | 0.763 (0.279–2.086) | 0.597 | ||
| III | 0.870 (0.317–2.383) | 0.786 | ||
| IV | 2.087 (0.462–9.424) | 0.339 | ||
| Unknown | 0.870 (0.276–2.747) | 0.812 | ||
| T stage | ||||
| T1 | 1 | 1 | ||
| T2 | 3.273 (1.292–8.289) | 0.012 | 4.123 (1.589–10.698) | 0.004 |
| T3 | 2.871 (1.105–7.462) | 0.030 | 5.024 (1.861–13.562) | 0.001 |
| T4 | 3.554 (1.448–8.724) | 0.006 | 5.733 (2.264–14.518) | 0.001 |
| N stage | ||||
| N0 | 1 | |||
| N1 | 1.453 (0.863–2.447) | 0.160 | ||
| N2 | 1.960 (1.267–3.033) | 0.002 | ||
| N3 | 2.821 (1.343–5.927) | 0.006 | ||
| Tumor size | ||||
| ≤2 | 1 | |||
| 2–4 | 2.017 (1.170–3.476) | 0.012 | ||
| >4 | 2.168 (1.270–3.703) | 0.005 | ||
| Unknown | 2.552 (1.124–5.797) | 0.025 | ||
| ELN | ||||
| 1–36 | 1 | 1 | ||
| 37–72 | 1.253 (0.91–1.727) | 0.167 | 1.339 (0.935–1.917) | 0.111 |
| 73–90 | 1.815 (1.164–2.832) | 0.009 | 1.947 (1.153–3.287) | 0.013 |
| PLNN | ||||
| 0–1 | 1 | |||
| 2–6 | 1.629 (1.152–2.303) | 0.006 | ||
| 7–34 | 2.998 (2.006–4.479) | 0.000 | ||
| LNR | ||||
| 0–0.03 | 1 | 1 | ||
| 0.03–0.23 | 1.797 (1.279–2.526) | 0.001 | 2.721 (1.492–4.963) | 0.001 |
| 0.23–1.00 | 2.554 (1.633–3.996) | <0.001 | 3.776 (1.713–8.324) | 0.001 |
| Surgery | ||||
| Pharyngectomy | 1 | |||
| Pharyngectomy with laryngectomy or removal of contiguous bone tissue | 1.072 (0.740–1.554) | 0.713 | ||
| Radical pharyngectomy | 1.293 (0.794–2.104) | 0.302 | ||
| Radiotherapy | ||||
| No | 1 | 1 | ||
| Yes | 0.525 (0.379–0.728) | <0.001 | 0.294 (0.205–0.423) | <0.001 |
Publisher’s Note: MDPI stays neutral with regard to jurisdictional claims in published maps and institutional affiliations. |
© 2022 by the authors. Licensee MDPI, Basel, Switzerland. This article is an open access article distributed under the terms and conditions of the Creative Commons Attribution (CC BY) license (https://creativecommons.org/licenses/by/4.0/).
Share and Cite
Zhang, D.; Li, L.; Wen, T.; Wu, Y.; Ma, F. Prognostic Nomogram for Postoperative Hypopharyngeal Squamous Cell Carcinoma to Assist Decision Making for Adjuvant Chemotherapy. J. Clin. Med. 2022, 11, 5801. https://doi.org/10.3390/jcm11195801
Zhang D, Li L, Wen T, Wu Y, Ma F. Prognostic Nomogram for Postoperative Hypopharyngeal Squamous Cell Carcinoma to Assist Decision Making for Adjuvant Chemotherapy. Journal of Clinical Medicine. 2022; 11(19):5801. https://doi.org/10.3390/jcm11195801
Chicago/Turabian StyleZhang, Di, Lixi Li, Tingyu Wen, Yun Wu, and Fei Ma. 2022. "Prognostic Nomogram for Postoperative Hypopharyngeal Squamous Cell Carcinoma to Assist Decision Making for Adjuvant Chemotherapy" Journal of Clinical Medicine 11, no. 19: 5801. https://doi.org/10.3390/jcm11195801
APA StyleZhang, D., Li, L., Wen, T., Wu, Y., & Ma, F. (2022). Prognostic Nomogram for Postoperative Hypopharyngeal Squamous Cell Carcinoma to Assist Decision Making for Adjuvant Chemotherapy. Journal of Clinical Medicine, 11(19), 5801. https://doi.org/10.3390/jcm11195801
