Prognostic Factors of Survival in Patients with Peritoneal Metastasis from Colorectal Cancer
Abstract
:1. Introduction
2. Materials and Methods
2.1. Inclusion/Exclusion Criteria
2.2. Variables
2.3. Treatment
2.4. Statistical Analysis
3. Results
3.1. Patients and Characteristics
3.2. Patient and Tumor Characteristics Categorized by SPM/MPM Time of Detection
3.3. Long-Term Survival
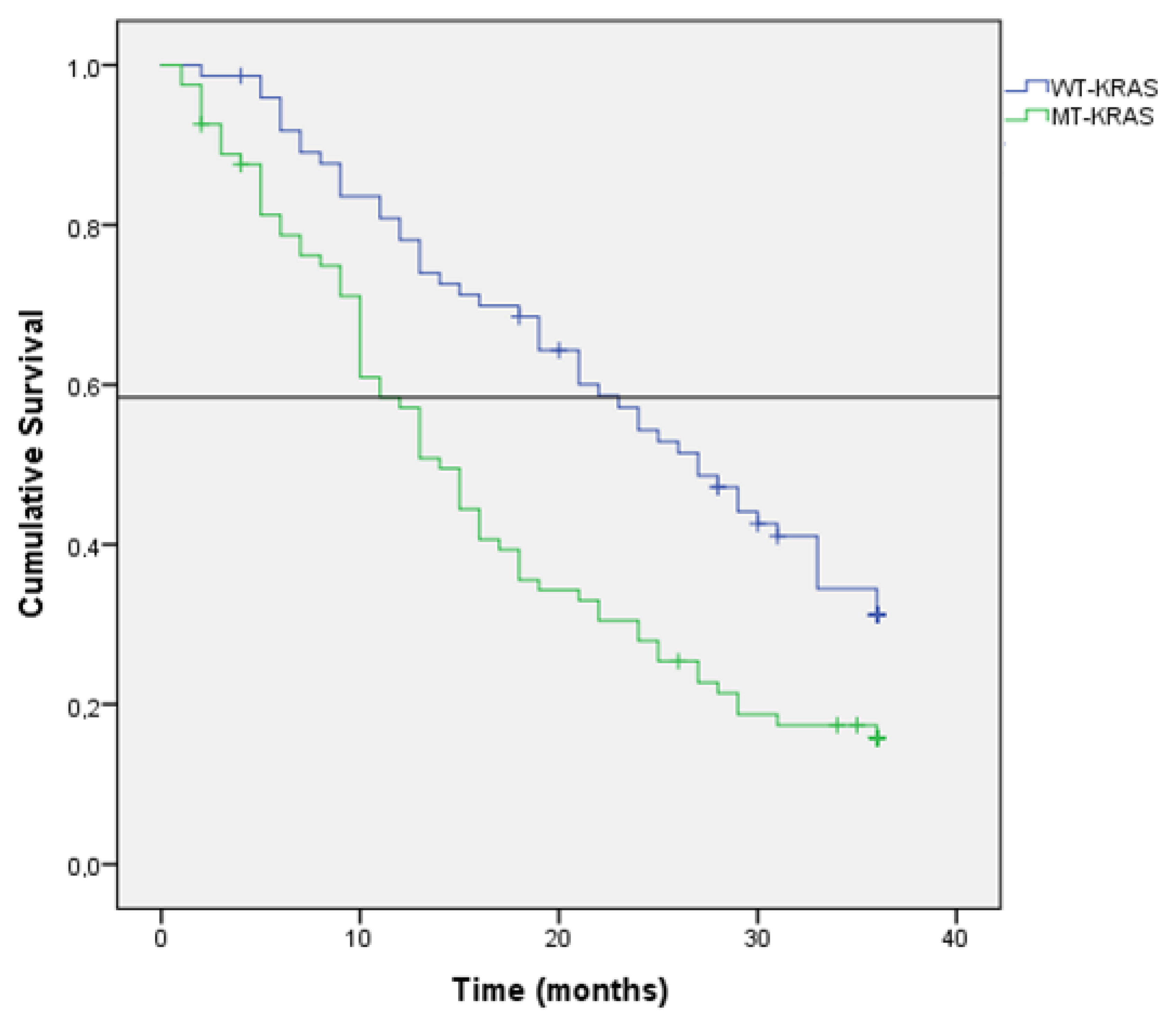
3.4. KRAS Status Affects the Survival
4. Discussion
5. Conclusions
Author Contributions
Funding
Institutional Review Board Statement
Informed Consent Statement
Data Availability Statement
Conflicts of Interest
Abbreviations
| CCR | Colorectal Carcinoma |
| PM | Peritoneal Metastasis |
| HIPEC | Hyperthermic intraperitoneal Chemotherapy |
| CRS | Cytoreductiva Surgery |
| MPM | Metachronous peritoneal metastases |
| SPM | Synchronous peritoneal metastases |
| MRI | Magnetic Resonance Imaging |
| CT | Computed Tomography |
| ECOG | Eastern Cooperative Oncology Group |
| PCI | Peritoneal Carcinomatosis Index |
| WT-KRAS | Wild type KRAS |
| MT-KRAS | Mutant type KRAS |
References
- Xue, L.; Hyman, N.H.; Turaga, K.K.; Eng, O.S. Peritoneal Metastases in Colorectal Cancer: Biology and Barriers. J. Gastrointest. Surg. 2020, 24, 720–727. [Google Scholar] [CrossRef] [PubMed]
- Lurvink, R.J.; Rijken, A.; Bakkers, C.; Lemmens, V.E.; de Reuver, P.R.; Tuynman, J.B.; Kok, N.F.; Nienhuijs, S.W.; van Erning, F.N.; de Hingh, I.H.J.T. The impact of an open or laparoscopic approach on the development of metachronous peritoneal metastases after primary resection of colorectal cancer: Results from a population-based cohort study. Surg. Endosc. 2022. [Google Scholar] [CrossRef] [PubMed]
- Carlomagno, C.; De Stefano, A.; Rosanova, M.; De Falco, S.; Attademo, L.; Fiore, G.; De Placido, S. Multiple treatment lines and prognosis in metastatic colorectal cancer patients. Cancer Metastasis Rev. 2019, 38, 307–313. [Google Scholar] [CrossRef]
- Sánchez-Hidalgo, J.M.; Rodríguez-Ortiz, L.; Arjona-Sánchez, Á.; Rufián-Peña, S.; Casado-Adam, Á.; Cosano-Álvarez, A.; Briceño-Delgado, J. Colorectal peritoneal metastases: Optimal management review. World J. Gastroenterol. 2019, 25, 3484–3502. [Google Scholar] [CrossRef]
- Colloca, G.A.; Venturino, A.; Guarneri, D. Different variables predict the outcome of patients with synchronous versus metachronous metastases of colorectal cancer. Clin. Transl. Oncol. 2020, 22, 1399–1406. [Google Scholar] [CrossRef]
- Viera, M.A.; Morgan, R.B.; Eng, O.E. Advances in therapeutics for peritoneal metastases from colorectal cancer: A narrative review. Dig. Med. Res. 2022, 5, 18. [Google Scholar] [CrossRef]
- Segelman, J.; Granath, F.; Holm, T.; Machado, M.; Mahteme, H.; Marting, A. Incidence, prevalence and risk factors for peritoneal carcinomatosis from colorectal cancer. Br. J. Surg. 2012, 99, 699–705. [Google Scholar] [CrossRef]
- van Gestel, Y.R.; de Hingh, I.H.; van Herk-Sukel, M.P.; van Erning, F.N.; Beerepool, I.V.; Wijsman, J.H. Patterns of metachronous metastases after curative treatment of colorectal cáncer. Cancer Epidemiol. 2014, 38, 448–454. [Google Scholar] [CrossRef]
- Baaten, I.C.P.A.; West, N.P.; Quyn, A.J.; Seymour, M.T.; Seligmann, J.F. Colorectal cancer peritoneal metastases: Biology, treatment and next steps. Eur. J. Surg. Oncol. 2020, 46, 675–683. [Google Scholar] [CrossRef]
- Van Cutsem, E.; Cervantes, A.; Adam, R.; Sobrero, A.; van Krieken, J.H.; Aderka, D.; Aguilar, E.A.; Bardelli, A.; Benson, A.; Bodoky, G.; et al. ESMO consensus guidelines for the management of patients with metastatic colorectal cancer. Ann. Oncol. 2016, 27, 1386–1422. [Google Scholar] [CrossRef]
- Sanoff, H.K.; Sargent, D.; Campbell, M.E.; Morton, R.F.; Fuchs, C.S.; Ramanathan, R.K.; Williamson, S.K.; Findlay, B.P.; Pitot, H.C.; Goldberg, R.M. Five-year data and prognostic factor Analysis of oxaliplatin and irinotecan combinations for advanced colorectal cancer: N9741. J. Clin. Oncol. 2008, 26, 5721–5727. [Google Scholar] [CrossRef]
- Franko, J.; Shi, Q.; Meyers, J.P.; Maughan, T.S.; Adams, R.A.; Seymour, M.T.; Saltz, L.; Punt, C.J.A.; Koopman, M.; Tournigand, C.; et al. Prognosis of patients with peritoneal metastatic colorectal cancer given systemic therapy: An analysis of individual patient data from prospective randomised trials from the analysis and research in cancers of the digestive system (ARCAD) database. Lancet Oncol. 2016, 17, 1709–1719. [Google Scholar] [CrossRef]
- Veld, J.V.; Wisselink, D.D.; Amelung, F.J.; Consten, E.C.J.; de Wilt, J.H.W.; de Hingh, I.; Bemelman, W.A.; van Hooft, J.E.; Tanis, P.J.; Dutch Snapshot Research Group. Synchronous and Metachronous Peritoneal Metastases in Patients with Left-Sided Obstructive Colon Cancer. Ann. Surg. Oncol. 2020, 27, 2762–2773. [Google Scholar] [CrossRef] [PubMed] [Green Version]
- Esquivel, J.; Lowy, A.M.; Markman, M.; Chua, T.; Pelz, J.; Baratti, D.; Baumgartner, J.M.; Berri, R.; Bretcha-Boix, P.; Deraco, M.; et al. American society of peritoneal surface malignancies (ASPSM) multiinstitution evaluation of the peritoneal surface disease severity score (PSDSS) in 1013 patients with colorectal cancer with peritoneal carcinomatosis. Ann. Surg. Oncol. 2014, 21, 4195–4201. [Google Scholar] [CrossRef] [PubMed]
- Segelman, J.; Akre, O.; Gustafsson, U.O.; Bottai, M.; Martling, A. Individualized prediction of risk of metachronous peritoneal carcinomatosis from colorectal cancer. Colorectal Dis. 2014, 16, 359–367. [Google Scholar] [CrossRef] [PubMed]
- Díez-Alonso, M.; Mendoza-Moreno, F.; Gómez-Sanz, R.; Matías-García, B.; Ovejero-Merino, E.; Molina, R.; Soto-Schütte, S.; San Juan, A.; Gutierrez-Calvo, A. Prognostic Value of KRAS Gene Mutation on Survival of Patients with Peritoneal Metastases of Colorectal Adenocarcinoma. Int. J. Surg. Oncol. 2021, 2021, 3946875. [Google Scholar] [CrossRef]
- Yarom, N.; Gresham, G.; Boame, N.; Jonker, D. KRAS status as a predictor of chemotherapy activity in patients with metastatic colorectal cancer. Clin. Colorectal Cancer 2019, 18, e309–e315. [Google Scholar] [CrossRef]
- Dietz, M.V.; van Kooten, J.P.; Said, I.; Brandt-Kerkhof, A.R.M.; Verhoef, C.; Bremers, A.J.A.; de Wilt, J.H.W.; de Reuver, P.R.; Madsen, E.V.E. Survival Outcomes After Cytoreductive Surgery with Hyperthermic Intraperitoneal Chemotherapy in Patients with Synchronous Versus Metachronous Onset of Peritoneal Metastases of Colorectal Carcinoma. Ann. Surg. Oncol. 2022. [Google Scholar] [CrossRef]
- Ravn, S.; Heide-Jørgensen, U.; Christiansen, C.F.; Verwaal, V.J.; Hagemann-Madsen, R.H.; Iversen, L.H. Overall risk and risk factors for metachronous peritoneal metastasis after colorectal cancer surgery: A nationwide cohort study. BJS Open 2020, 4, 284–292. [Google Scholar] [CrossRef]
- Zhang, Y.; Qin, X.; Chen, W.; Liu, D.; Luo, J.; Wang, H.; Wang, H. Risk factors for developing peritoneal metastases after curative surgery for colorectal cancer: A systematic review and meta-analysis. Colorectal Dis. 2021, 23, 2846–2858. [Google Scholar] [CrossRef]
- Schneider, M.A.; Eden, J.; Pache, B.; Laminger, F.; Lopez-Lopez, V.; Steffen, T.; Hübner, M.; Kober, F.; Roka, S.; Campos, P.C.; et al. Mutations of RAS/RAF Proto-oncogenes Impair Survival After Cytoreductive Surgery and HIPEC for Peritoneal Metastasis of Colorectal Origin. Ann. Surg. 2018, 268, 845–853. [Google Scholar] [CrossRef] [PubMed] [Green Version]
- Kamel-Reid, S.; Zhang, T.; Persons, D.L.; Nikiforova, M.N.; Halling, K.C. Molecular Oncology Resource Committee of the College of American Pathologists. Validation of KRAS testing for anti-EGFR therapeutic decisions for patients with metastatic colorectal carcinoma. Arch. Pathol. Lab. Med. 2012, 136, 26–32. [Google Scholar] [CrossRef] [PubMed] [Green Version]
- Venderbosch, S.; de Wilt, J.H.; Teerenstra, S.; Loosveld, O.J.; van Bochove, A.; Sinnige, H.A.; Creemers, G.J.; Tesselaar, M.E.; Mol, L.; Punt, C.J.; et al. Prognostic value of resection of primary tumor in patients with stage IV colorectal cancer: Retrospective analysis of two randomized studies and a review of the literature. Ann. Surg. Oncol. 2011, 17, 3252–3260. [Google Scholar] [CrossRef] [PubMed] [Green Version]
- Yoon, W.; Alame, A.; Berri, R. Peritoneal Surface Disease Severity Score as a predictor of resectability in the treatment of peritoneal surface malignancies. Am. J. Surg. 2014, 207, 403–407. [Google Scholar] [CrossRef]
- Bakkers, C.; Lurvink, R.J.; Rijken, A.; Nienhuijs, S.W.; Kok, N.F.; Creemers, G.J.; Verhoef, C.; Lemmens, V.E.; van Erning, F.N.; De Hingh, I.H. Treatment Strategies and Prognosis of Patients With Synchronous or Metachronous Colorectal Peritoneal Metastases: A Population-Based Study. Ann. Surg. Oncol. 2021, 28, 9073–9083. [Google Scholar] [CrossRef] [PubMed]




| Synchronous Peritoneal Metastases (n = 132) | Metachronous Peritoneal Metastases (n = 108) | p Value | |
|---|---|---|---|
| SEX | p = 0.106 | ||
| Male | 68 | 62 | |
| Female | 64 | 46 | |
| AGE | 70 ± 11 | 65 ± 12 | p = 0.002 |
| LOCATION | p = 0.020 | ||
| Right Colon | 69 | 41 | |
| Left Colon | 53 | 48 | |
| Rectum | 10 | 19 | |
| T STAGE | p = 0.000 | ||
| T3 | 40 | 65 | |
| T4a | 52 | 30 | |
| T4b | 40 | 13 | |
| HISTOLOGICAL TYPE | p = 0.014 | ||
| Adenocarcinoma | 90 | 88 | |
| Mucinous | 42 | 20 | |
| N STAGE | p = 0.000 | ||
| N0 | 13 | 24 | |
| N1 | 37 | 51 | |
| N2 | 82 | 33 | |
| GRADE OF DIFERENTIATION | p = 0.001 | ||
| Well/Moderated | 86 | 91 | |
| Poor | 46 | 17 | |
| KRAS STATUS | p = 0.212 | ||
| WT-KRAS | 34 | 39 | |
| MT KRAS | 44 | 37 | |
| LOCATION OF METASTASES | p = 0.092 | ||
| Peritoneum (only) | 52 | 44 | |
| Peritoneum + Liver | 47 | 24 | |
| Peritoneum + Lung | 5 | 6 | |
| Multiple | 28 | 34 | |
| PERITONEAL CARCINOMATOSIS INDEX | p = 0.014 | ||
| 1–10 | 20 | 31 | |
| 11–20 | 55 | 46 | |
| >20 | 57 | 31 | |
| CHEMOTHERAPY TREATMENT | p = 0.010 | ||
| 5FU-Based Scheme + Biologic Agent | 47 | 59 | |
| 5FU-Based Scheme | 36 | 21 | |
| Symptomatic | 50 | 27 | |
| HIPEC | p = 0.084 | ||
| No | 117 | 88 | |
| Yes | 15 | 20 |
| Patients (n) | Survival (Months) | p Value | HR | 95% CI | |
|---|---|---|---|---|---|
| SEX | |||||
| Male | 126 | 14 | p = 0.574 | 1.08 | 0.82–1.43 |
| Female | 114 | 16 | 1 | ||
| DIAGNOSTIC OF METASTASES | |||||
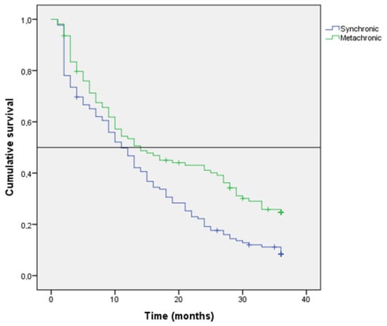
| Synchronic | 132 | 8 | p = 0.001 | 0.63 | 0.47–0.84 |
| Metachronic | 108 | 24 | 1 | ||
| LOCATION | |||||
| Right Colon | 110 | 12 | p = 0.183 | 1 | |
| Left Colon | 101 | 19 | 0.75 | 0.48–1.18 | |
| Rectum | 29 | 14 | 0.78 | 0.58–1.05 | |
| T STAGE | |||||
| T3 | 105 | 18 | p < 0.001 | 1 | |
| T4a | 82 | 19 | 1.89 | 1.33–2.71 | |
| T4b | 53 | 3 | 1.07 | 0.77–1.49 | |
| HISTOLOGICAL TYPE | |||||
| Adenocarcinoma | 178 | 18 | p = 0.011 | 1 | |
| Mucinous | 62 | 8 | 1.46 | 1.75–2.00 | |
| N STAGE | |||||
| N0 | 37 | 30 | p < 0.001 | 1 | |
| N1 | 88 | 19 | 2.30 | 1.94–3.55 | |
| N2 | 115 | 8 | 1.39 | 0.88–2.19 | |
| GRADE OF DIFERENTIATION | |||||
| Well/Moderated | 177 | 19 | p = 0.002 | 1 | |
| Poor | 63 | 5 | 1.88 | 1.29–2.74 | |
| KRAS STATUS | |||||
| WT-KRAS | 73 | 31 | p = 0.001 | 1 | |
| MT KRAS | 81 | 15 | 1.88 | 1.29–2.74 | |
| LOCATION OF METASTASES | |||||
| Peritoneum (only) | 96 | 20 | p = 0.256 | 1 | |
| Peritoneum + Liver | 71 | 12 | 1.05 | 0.73–1.50 | |
| Peritoneum + Lung | 11 | 9 | 1.38 | 0.95–1.99 | |
| Multiple | 62 | 13 | 1.30 | 0.66–2.57 | |
| PERITONEAL CARCINOMATOSIS INDEX | |||||
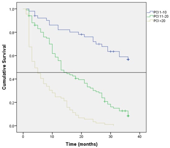
| 1–10 | 51 | 56 | p < 0.001 | 1 | |
| 11–20 | 101 | 8 | 10.38 | 6.23–17.30 | |
| >20 | 88 | 0 | 2.40 | 2.40–6.33 | |
| CHEMOTHERAPY TREATMENT | |||||
| 5FU-Based Scheme + Biologic Agent | 106 | 32 | p < 0.001 | 0.13 | 0.13–0.28 |
| 5FU-Based Scheme | 57 | 5 | 0.81 | 0.54–0.12 | |
| Symptomatic | 77 | 0 | 1 | ||
| HIPEC | |||||
| No | 205 | 7 | p < 0.001 | 1 | |
| Yes | 35 | 64 | 0.14 | 0.08–0.26 |
| p Value | HR | CI 95% HR | ||
|---|---|---|---|---|
| Lower | Upper | |||
| Poor Grade Differentiation | 0.002 | 1.995 | 1.294 | 3.077 |
| MT KRAS | 0.005 | 1.751 | 1.188 | 2.581 |
| PCI (1–10) | 0.000 | 1 | ||
| PCI (11–20) | 0.000 | 9.935 | 5.204 | 18.966 |
| PCI (>20) | 0.000 | 4.011 | 2.291 | 7.023 |
| Syncrhonous/Metacrhnous | 0.358 | 1.219 | 0.799 | 1.859 |
Publisher’s Note: MDPI stays neutral with regard to jurisdictional claims in published maps and institutional affiliations. |
© 2022 by the authors. Licensee MDPI, Basel, Switzerland. This article is an open access article distributed under the terms and conditions of the Creative Commons Attribution (CC BY) license (https://creativecommons.org/licenses/by/4.0/).
Share and Cite
Mendoza-Moreno, F.; Diez-Alonso, M.; Matías-García, B.; Ovejero-Merino, E.; Gómez-Sanz, R.; Blázquez-Martín, A.; Quiroga-Valcárcel, A.; Vera-Mansilla, C.; Molina, R.; San-Juan, A.; et al. Prognostic Factors of Survival in Patients with Peritoneal Metastasis from Colorectal Cancer. J. Clin. Med. 2022, 11, 4922. https://doi.org/10.3390/jcm11164922
Mendoza-Moreno F, Diez-Alonso M, Matías-García B, Ovejero-Merino E, Gómez-Sanz R, Blázquez-Martín A, Quiroga-Valcárcel A, Vera-Mansilla C, Molina R, San-Juan A, et al. Prognostic Factors of Survival in Patients with Peritoneal Metastasis from Colorectal Cancer. Journal of Clinical Medicine. 2022; 11(16):4922. https://doi.org/10.3390/jcm11164922
Chicago/Turabian StyleMendoza-Moreno, Fernando, Manuel Diez-Alonso, Belén Matías-García, Enrique Ovejero-Merino, Remedios Gómez-Sanz, Alma Blázquez-Martín, Ana Quiroga-Valcárcel, Cristina Vera-Mansilla, Raquel Molina, Alberto San-Juan, and et al. 2022. "Prognostic Factors of Survival in Patients with Peritoneal Metastasis from Colorectal Cancer" Journal of Clinical Medicine 11, no. 16: 4922. https://doi.org/10.3390/jcm11164922
APA StyleMendoza-Moreno, F., Diez-Alonso, M., Matías-García, B., Ovejero-Merino, E., Gómez-Sanz, R., Blázquez-Martín, A., Quiroga-Valcárcel, A., Vera-Mansilla, C., Molina, R., San-Juan, A., Barrena-Blázquez, S., Ortega, M. A., Alvarez-Mon, M., & Gutiérrez-Calvo, A. (2022). Prognostic Factors of Survival in Patients with Peritoneal Metastasis from Colorectal Cancer. Journal of Clinical Medicine, 11(16), 4922. https://doi.org/10.3390/jcm11164922

