Single-Center 20-Year Experience in Surgical Treatment of Malignant Pleural Mesothelioma
Abstract
1. Introduction
2. Methods
2.1. Patient Selection
2.2. Treatment Strategies
2.3. Outcomes and Statistical Analysis
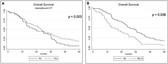
3. Results
4. Discussion
5. Conclusions
Author Contributions
Funding
Institutional Review Board Statement
Informed Consent Statement
Data Availability Statement
Conflicts of Interest
References
- Park, E.K.; Takahashi, K.; Hoshuyama, T.; Cheng, T.J.; Delgermaa, V.; Le, G.V.; Sorahan, T. Global magnitude of reported and unreported mesothelioma. Environ. Health Perspect. 2011, 119, 514–518. [Google Scholar] [CrossRef] [PubMed]
- Migliore, M. Malignant pleural mesothelioma: Between pragmatism and hope. Ann. Transl. Med. 2020, 8, 896. [Google Scholar] [CrossRef] [PubMed]
- Lococo, F. Malignant Pleural Mesothelioma: Time Is Running Out. J. Clin. Med. 2021, 10, 648. [Google Scholar] [CrossRef]
- Vogelzang, N.J.; Rusthoven, J.J.; Symanowski, J.; Denham, C.; Kaukel, E.; Ruffie, P.; Gatzemeier, U.; Boyer, M.; Emri, S.; Manegold, C.; et al. Phase III study of pemetrexed in combinationwith cisplatin versus cisplatin alone in patients withmalignant pleural mesothelioma. J. Clin. Oncol. 2003, 21, 2636–2644. [Google Scholar] [CrossRef] [PubMed]
- Domen, A.; Berzenji, L.; Hendriks, J.M.; Yogeswaran, S.K.; Lauwers, P.; Van Meerbeeck, J.P.; Van Schil, P.E. Extrapleural pneumonectomy: Still indicated? Transl. Lung. Cancer Res. 2018, 7, 550–555. [Google Scholar] [CrossRef] [PubMed]
- Cao, C.; Tian, D.; Park, J.; Allan, J.; Pataky, K.A.; Yan, T.D. A systematic review andmeta-analysis of surgical treatments for malignant pleural mesothelioma. Lung. Cancer 2014, 83, 240–245. [Google Scholar] [CrossRef]
- Taioli, E.; Wolf, A.S.; Flores, R.M. Meta-analysis of survival after pleurectomy decortication versus extrapleural pneumonectomy in mesothelioma. Ann. Thorac. Surg. 2015, 99, 472–480. [Google Scholar] [CrossRef]
- Treasure, T.; Lang-Lazdunski, L.; Waller, D.; Bliss, J.M.; Tan, C.; Entwisle, J.; Snee, M.; O′Brien, M.; Thomas, G.; Senan, S.; et al. Extra-pleural pneumonectomy versus no extra-pleural pneumonectomy for patients with malignant pleural mesothelioma: Clinical outcomes of the Mesothelioma and Radical Surgery (MARS) randomised feasibility study. Lancet Oncol. 2011, 12, 763–772. [Google Scholar] [CrossRef]
- Infante, M.; Morenghi, E.; Bottoni, E.; Zucali, P.; Rahal, D.; Morlacchi, A.; Ascolese, A.M.; De Rose, F.; Navarria, P.; Crepaldi, A.; et al. Comorbidity, postoperative morbidity and survival in patientsundergoing radical surgery for malignant pleural mesothelioma. Eur. J. Cardiothorac. Surg. 2016, 50, 1077–1082. [Google Scholar] [CrossRef]
- Mangiameli, G.; Bottoni, E.; Voulaz, E.; Cariboni, U.; Testori, A.; Crepaldi, A.; Giudici, V.M.; Morenghi, E.; Alloisio, M. Extended Pleurectomy/Decortication for Malignant Pleural Mesothelioma: Humanitas’s Experience. J. Clin. Med. 2021, 10, 4968. [Google Scholar] [CrossRef]
- Mangiameli, G.; Bekmezian, N.; Hernigou, A.; Le Pimpec-Barthes, F. Exceptional thyrolipoma and thymolipoma association: Is there a syndrome? Interact. Cardiovasc. Thorac. Surg. 2021, 32, 828–830. [Google Scholar] [CrossRef] [PubMed]
- Bouassida, I.; Pricopi, C.; Mangiameli, G.; Arame, A.; Auliac, J.B.; Gorbatai, B.; Riquet, M.; Le Pimpec Barthes, F. Cardiac compression of hydatid origin. Rev. Pneumol. Clin. 2018, 74, 248–252. [Google Scholar] [CrossRef]
- Dindo, D.; Demartines, N.; Clavien, P.A. Classification of surgical complications: A new proposal with evaluation in a cohort of 6336 patients and results of a survey. Ann. Surg. 2004, 240, 205–213. [Google Scholar] [CrossRef]
- Batirel, H.F. Extrapleural pneumonectomy (EPP) vs. pleurectomy decortication (P/D). Ann. Transl. Med. 2017, 5, 232. [Google Scholar] [CrossRef]
- Wolf, A.S.; Flores, R.M. Current Treatment of Mesothelioma: Extrapleural Pneumonectomy Versus Pleurectomy/Decortication. Thorac. Surg. Clin. 2016, 26, 359–375. [Google Scholar] [CrossRef]
- Nakas, A.; von Meyenfeldt, E.; Lau, K.; Muller, S.; Waller, D. Long-term survival after lung-sparing total pleurectomy for locally advanced (International Mesothelioma Interest Group Stage T3-T4) non-sarcomatoid malignant pleural mesothelioma. Eur. J. Cardiothorac. Surg. 2011, 41, 1031–1036. [Google Scholar] [CrossRef] [PubMed][Green Version]
- Flores, R.M.; Pass, H.I.; Seshan, V.E.; Dycoco, J.; Zakowski, M.; Carbone, M.; Bains, M.S.; Rusch, V.W. Extrapleural pneumonectomy versus pleurectomy-decortication in the surgicalmanagement of malignant pleural mesothelioma: Results in 663 patients. J. Thorac. Cardiovasc. Surg. 2008, 135, 620–626. [Google Scholar] [CrossRef] [PubMed]
- Burt, B.M.; Cameron, R.B.; Mollberg, N.M.; Kosinski, A.S.; Schipper, P.H.; Shrager, J.B.; Vigneswaran, W.T. Malignant pleural mesothelioma and the Society of Thoracic Surgeons Database: An analysis of surgical morbidity and mortality. J. Thorac. Cardiovasc. Surg. 2014, 148, 30–35. [Google Scholar] [CrossRef]
- Batirel, H.F.; Metintas, M.; Caglar, H.B.; Ak, G.; Yumuk, P.F.; Yildizeli, B.; Yuksel, M. Adoption of pleurectomy and decortication for malignant mesothelioma leads to similar survival as extrapleural pneumonectomy. J. Thorac. Cardiovasc. Surg. 2016, 151, 478–484. [Google Scholar] [CrossRef] [PubMed]
- Sharkey, A.J.; Tenconi, S.; Nakas, A.; Waller, D.A. The effects of an intentional transition from extrapleural pneumonectomy to extended pleurectomy/decortication. Eur. J. Cardiothorac. Surg. 2016, 49, 1632–1641. [Google Scholar] [CrossRef]
- Zhou, N.; Rice, D.C.; Tsao, A.S.; Lee, P.P.; Haymaker, C.L.; Corsini, E.M.; Antonoff, M.B.; Hofstetter, W.L.; Rajaram, R.; Roth, J.A.; et al. Extrapleural Pneumonectomy versus Pleurectomy/Decortication for Malignant Pleural Mesothelioma. Ann. Thorac. Surg. 2021, 113, 200–208. [Google Scholar] [CrossRef] [PubMed]
- Lang-Lazdunski, L.; Bille, A.; Lal, R.; Cane, P.; McLean, E.; Landau, D.; Steele, J.; Spicer, J. Pleurectomy/decortication is superior to extrapleural pneumonectomy in the multimodality management of patients with malignant pleural mesothelioma. J. Thorac. Oncol. 2012, 7, 737–743. [Google Scholar] [CrossRef] [PubMed]
- Bölükbas, S.; Eberlein, M.; Fisseler-Eckhoff, A.; Schirren, J. Radical pleurectomy and chemoradiation for malignant pleural mesothelioma: The outcome of incomplete resections. Lung Cancer 2013, 81, 241–246. [Google Scholar] [CrossRef] [PubMed]
- Bolukbas, S.; Eberlein, M.; Kudelin, N.; Demes, M.; Stallmann, S.; Fisseler-Eckhoff, A.; Schirren, J. Factors predicting poor survival after lung-sparing radical pleurectomy of IMIG stage III malignant pleural mesothelioma. Eur. J. Cardiothorac. Surg. 2013, 44, 119–123. [Google Scholar] [CrossRef] [PubMed]
- Rice, D.; Rusch, V.; Pass, H.; Asamura, H.; Nakano, T.; Edwards, J.; Giroux, D.J.; Hasegawa, S.; Kernstine, K.H.; Waller, D.; et al. Recommendations for uniform definitions of surgical techniques for malignant pleural mesothelioma: A consensus report of the international association for the study of lung cancer international staging committee and the international mesothelioma interest group. J. Thorac. Oncol. 2011, 6, 1304–1312. [Google Scholar]
- Sugarbaker, D.J.; Flores, R.M.; Jaklitsch, M.T.; Richards, W.G.; Strauss, G.M.; Corson, J.M.; Jr, M.M.D.; Swanson, S.J.; Bueno, R.; Lukanich, J.M.; et al. Resection margins, extrapleural nodal status, and cell typedetermine postoperative long-term survival in trimodality therapy of malignantpleural mesothelioma: Results in 183 patients. J. Thorac. Cardiovasc. Surg. 1999, 117, 54–65. [Google Scholar] [CrossRef]
- Opitz, I. Management of malignant pleural mesothelioma: The Europeanexperience. J. Thorac. Dis. 2014, 6, S238–S252. [Google Scholar] [PubMed]
- Lauk, O.; Hoda, M.A.; de Perrot, M.; Friess, M.; Klikovits, T.; Klepetko, W.; Keshavjee, S.; Weder, W.; Opitz, I. Extrapleural pneumonectomy after induction chemotherapy: Perioperativeoutcome in 251 mesothelioma patients from three high-volume institutions. Ann. Thorac. Surg. 2014, 98, 1748–1754. [Google Scholar] [CrossRef] [PubMed]
- Spaggiari, L.; Marulli, G.; Bovolato, P.; Alloisio, M.; Pagan, V.; Oliaro, A.; Ratto, G.B.; Facciolo, F.; Sacco, R.; Brambilla, D.; et al. Extrapleural pneumonectomy for malignant mesothelioma: An Italian multicenter retrospective study. Ann. Thorac. Surg. 2014, 97, 1859–1865. [Google Scholar] [CrossRef] [PubMed]
- Van Schil, P.E.; Baas, P.; Gaafar, R.; Maat, A.P.; Van de Pol, M.; Hasan, B.; Klomp, H.M.; Abdelrahman, A.M.; Welch, J.; van Meerbeeck, J.P.; et al. Trimodality therapy for malignant pleural mesothelioma: Results from an EORTC phase II multicentre trial. Eur. Respir. J. 2010, 36, 1362–1369. [Google Scholar] [CrossRef] [PubMed]
- Rice, D.C.; Stevens, C.W.; Correa, A.M.; Vaporciyan, A.A.; Tsao, A.; Forster, K.M.; Walsh, G.L.; Swisher, S.G.; Hofstetter, W.L.; Mehran, R.J.; et al. Outcomes after extrapleural pneumonectomy and intensity-modulated radiation therapy for malignant pleural mesothelioma. Ann. Thorac. Surg. 2007, 84, 1685–1692, discussion 1692–1683. [Google Scholar] [CrossRef]
- Gomez, D.R.; Hong, D.S.; Allen, P.K.; Welsh, J.S.; Mehran, R.J.; Tsao, A.S.; Liao, Z.; Bilton, S.D.; Komaki, R.; Rice, D.C. Patterns of failure, toxicity, and survival after extrapleural pneumonectomy and hemithoracic intensity-modulated radiation therapy for malignant pleural mesothelioma. J. Thorac. Oncol. 2013, 8, 238–245. [Google Scholar] [CrossRef] [PubMed]
- Nakas, A.; Waller, D. Predictors of long-term survival following radical surgery for malignant pleural mesothelioma. Eur. J. Cardiothorac. Surg. 2014, 46, 380–385. [Google Scholar] [CrossRef]
- Bovolato, P.; Casadio, C.; Bille, A.; Ardissone, F.; Santambrogio, L.; Ratto, G.B.; Garofalo, G.; Bedini, A.V.; Garassino, M.; Porcu, L.; et al. Does surgery improve survival of patients with malignant pleural mesothelioma?: A multicenter retrospective analysis of 1365 consecutive patients. J. Thorac. Oncol. 2014, 9, 390–396. [Google Scholar] [CrossRef]
- Nakamura, A.; Takuwa, T.; Hashimoto, M.; Kuroda, A.; Nakamichi, T.; Matsumoto, S.; Kondo, N.; Kijima, T.; Yamakado, K.; Hasegawa, S. Clinical Outcomes with Recurrence after Pleurectomy/Decortication for Malignant Pleural Mesothelioma. Ann. Thorac. Surg. 2020, 109, 1537–1543. [Google Scholar] [CrossRef]
- Petrella, F.; Casiraghi, M.; Radice, D.; Prisciandaro, E.; Rizzo, S.; Spaggiari, L. Prognostic Value of Red Blood Cell Distribution Width in Resected pN1 Lung Adenocarcinoma. Cancers 2020, 12, 3677. [Google Scholar] [CrossRef] [PubMed]
- Abakay, O.; Tanrikulu, A.C.; Palanci, Y.; Abakay, A. The value of inflammatory parameters in the prognosis of malignant mesothelioma. J. Int. Med. Res. 2014, 42, 554–565. [Google Scholar] [CrossRef]
- Sugarbaker, D.J.; Richards, W.G.; Bueno, R. Extrapleural pneumonectomy in the treatment of epithelioid malignant pleural mesothelioma: Novel prognostic implications of combined N1 and N2 nodal involvement based on experience in 529 patients. Ann. Surg. 2014, 260, 577–582. [Google Scholar] [CrossRef]
- Berzenji, L.; Van Schil, P.E.; Carp, L. The eighth TNM classification for malignant pleural mesothelioma. Transl. Lung. Cancer Res. 2018, 7, 543–549. [Google Scholar] [CrossRef]
- Sauter, J.L.; Dacic, S.; Galateau-Salle, F.; Attanoos, R.L.; Butnor, K.J.; Churg, A.; Husain, A.N.; Kadota, K.; Khoor, A.; Nicholson, A.G.; et al. The 2021 WHO Classification of Tumors of the Pleura: Advances Since the 2015 Classification. J. Thorac. Oncol. 2022, 17, 608–622. [Google Scholar] [CrossRef]


| Variables | EPP (n = 78) | eP/D (n = 85) | p |
|---|---|---|---|
| Age | 59.9 (57.8–61.2) | 65.2 (63.5–67.0) | <0.001 |
| Male gender | 58 (74.3) | 62 (72.9) | 0.837 |
| Mean BMI | 22.8 (22.2–23.3) | 22.7 (22.2–23.3) | 0.827 |
| Smoker | 29 (37.1) | 44 (51.7) | 0.137 |
| Asbestos exposure | 75/75 (100) | 75/80 (93.7) | 0.06 |
| Any comorbidity | 34 (43.5) | 42 (49.4) | 0.45 |
| FEV1% | 79.4 (75.8–83.0) | 79.6 (76.2–82.9) | 0.88 |
| RDW | 16.6 (15.8–17.4) | 16.8 (16.2–17.4) | 0.40 |
| NLR% | 66.5 (63.6–69.4) | 2.98 (2.63–3.34) | 0.02 |
| LNF% | 21.8 (19.5–24.1) | 24.7(23.0–26.5) | 0.04 |
| PLR | 322.7 (300.5–355.0) | 252.7(231.4–273.9) | <0.001 |
| VATS | 76 (97.4) | 80 (94.1) | 0.44 |
| Talc pleurodesis | 72 (92.3) | 75 (88.2) | 0.38 |
| Right-sided tumor | 37 (47.4) | 49 (57.6) | 0.19 |
| Tumor histology | 0.088 | ||
| Epithelioid | 78 (100) | 75 (88.2) | |
| Sarcomatoid | – | 1 (1.1) | |
| Biphasic | – | 4 (4.7) | |
| pT category | 0.08 | ||
| T0–1 | 5 (6.4) | 6 (7.0) | |
| T2 | 15(19.2) | 18 (21.2) | |
| T3 | 52 (66.7) | 43 (50.6) | |
| T4 | 6 (7.7) | 18 (21.2) | |
| pN category | 0.43 | ||
| N0 | 48 (61.5) | 53 (62.3) | |
| N1 | 12 (15.4) | 18 (21.2) | |
| N2 | 18 (23.1) | 14 (16.5) | |
| N+ | 30 (38.5) | 32 (37.6) | |
| pTNM stage | <0.001 | ||
| I | 4 (5.1) | 44 (51.8) | |
| II | 15 (19.2) | 2 (2.3) | |
| III | 58 (74.3) | 39 (45.9) | |
| Chemotherapy | |||
| Any induction | 42 (53.8) | 75 (88.2) | <0.001 |
| Any adjuvant | 6 (7.6) | 4 (4.8) | 0.522 |
| Adjuvant RT | 39 (50.0) | 66 (77.6) | <0.001 |
| Trimodality therapy | 25 (32.0) | 63 (74.1) | <0.001 |
| Median hospitalization (days) | 11 (3–70) | 15 (7–70) | <0.001 |
| Clavien–Dindo | 28 (35.9) | 46 (54.1) | 0.02 |
| <3 | 16 (20.5) | 35 (48.2) | |
| ≥3 | 12 (15.4) | 11 (12.9) | 0.088 |
| 30-day mortality | 1 (1.3) | 2 (2.3) | 1.000 |
| 90-day mortality | 4 (5.1) | 3 (3.5) | 0.711 |
| EPP (n = 78) | Range | eP/D (n = 85) | Range | p | |
|---|---|---|---|---|---|
| Median follow-up (months) | 28.1 | 0.1–191.6 | 16.2 | 0.7–125.3 | 0.035 |
| Recurrence (n) | 59 (80.82%) | % | 56 (66.67%) | % | 0.046 |
| Local | 2 | 3.39% | 11 | 19.64% | |
| Local and distant | 19 | 32.20% | 35 | 62.50% | |
| Distant | 0 | 0% | 4 | 7.14% | |
| Unknown | 38 | 64.41% | 6 | 10.71% | |
| Median survival (months) | IQR | IQR | |||
| Disease-free | 14.6 | 5.9–28.8 | 13.7 | 9.01–31.71 | 0.300 |
| Overall | 28.1 | 12.5–39.7 | 25.5 | 15.07–47.5 | 0.207 |
| OS probability (%) | % | 95% CI | % | 95% CI | |
| 1-year | 75.34 | 63.76–83.69 | 83.07 | 72.57–89.82 | |
| 3-year | 36.99 | 26.08–47.90 | 36.48 | 23.74–49.31 | |
| 5-year | 10.96 | 5.12–19.30 | 19.64 | 9.27–32–84 | |
| DFS probability (%) | % | 95% CI | % | 95% CI | |
| 1-year | 51.59 | 39.07–62.74 | 56.16 | 44.05–66.63 | |
| 3-year | 14.80 | 6.95–25.43 | 18.93 | 9.74–30.43 | |
| 5-year | 4.23 | 0.81–12.55 | 16.22 | 7.58–27.75 |
| DFS | Univariable | Multivariable | ||||
|---|---|---|---|---|---|---|
| Variable | HR | 95% (CI) | p-Value | HR | 95% (CI) | p-Value |
| Age | 1.00 | 0.98–1.02 | 0.992 | |||
| Male sex | 1.15 | 0.75–1.75 | 0.516 | |||
| BMI | 1.02 | 0.95–1.10 | 0.557 | |||
| Any comorbidity | 0.75 | 0.52–1.09 | 0.134 | |||
| Asbestos exposure | 1.17 | 0.54–2.52 | 0.693 | |||
| FEV1% | 1.00 | 0.99–1.01 | 0.842 | |||
| DLCO% | 1.01 | 0.98–1.03 | 0.689 | |||
| RDW | 1.00 | 0.94–1.07 | 0.885 | |||
| NLR | 1.04 | 0.98–1.11 | 0.184 | |||
| PLR | 1.01 | 1.00–1.02 | 0.223 | |||
| Induction therapy | 0.53 | 0.36–0.78 | 0.001 | 0.55 | 0.37–0.81 | 0.003 |
| Trimodality therapy | 0.59 | 0.41–0.86 | 0.006 | |||
| Operation time | 1.12 | 0.96–1.29 | 0.144 | |||
| Right side | 1.06 | 0.73–1.53 | 0.766 | |||
| Any complication | 1.09 | 0.75–1.58 | 0.642 | |||
| C-D complication ≥ 3 | 1.26 | 0.76–2.09 | 0.367 | |||
| pT3-4 | 2.16 | 1.38–3.38 | 0.001 | 2.01 | 1.26–3.23 | 0.004 |
| pN+ | 1.83 | 1.25–2.68 | 0.002 | 1.54 | 1.03–2.33 | 0.038 |
| EPP | 1.21 | 0.84–1.75 | 0.301 | |||
| OS | Univariable | Multivariable | ||||
|---|---|---|---|---|---|---|
| Variable | HR | 95% (CI) | p-Value | HR | 95% (CI) | p-Value |
| Age | 1.01 | 0.99–1.03 | 0.265 | |||
| Male sex | 1.12 | 0.74–1.69 | 0.586 | |||
| BMI | 1.02 | 0.94–1.11 | 0.588 | |||
| Any comorbidity | 0.87 | 0.60–1.25 | 0.443 | |||
| Asbestos exposure | 0.85 | 0.39–1.83 | 0.675 | |||
| FEV1% | 1.00 | 0.99–1.01 | 0.593 | |||
| DLCO% | 1.00 | 0.96–1.03 | 0.827 | |||
| RDW | 1.04 | 0.98–1.11 | 0.169 | 1.08 | 1.01–1.15 | 0.020 |
| NLR | 0.99 | 0.94–1.05 | 0.699 | |||
| PLR | 1.00 | 0.99–1.01 | 0.978 | |||
| Induction therapy | 0.66 | 0.45–0.97 | 0.033 | 0.50 | 0.32–0.78 | 0.002 |
| Trimodality therapy | 0.71 | 0.49–1.03 | 0.073 | – | ||
| Operation time | 1.15 | 0.98–1.35 | 0.097 | 1.23 | 1.03–1.48 | 0.023 |
| Right side | 1.08 | 0.75–1.56 | 0.671 | |||
| Any complication | 1.04 | 0.72–1.50 | 0.833 | |||
| C-D complication ≥ 3 | 1.58 | 0.97–2.56 | 0.064 | – | ||
| pT3-4 | 1.52 | 1.00–2.30 | 0.050 | – | ||
| pN+ | 1.98 | 1.37–2.87 | <0.001 | 1.99 | 1.34–2.95 | 0.001 |
| EPP | 1.27 | 0.87–1.85 | 0.209 | – | ||
| Author | Year | N° | EPP/P/D | Age | Epithelial | Stage 3–4 | R2 | 30 D | Median Survival |
|---|---|---|---|---|---|---|---|---|---|
| Flores [17] | 2008 | 663 | 385/278 | 60/63 * | 269/178 | 289 (75)/180 (64.7) | - | 7/4 | 12/16 |
| Burt [18] | 2014 | 225 | 95/130 | 63/68 * | - | - | - | 10.5/3.1 | - |
| Batirel [19] | 2016 | 130 | 42/66 | 55.7 | 97 | 68 | 60 (46) | 7/2 | 18.3/14.6 |
| Sharkey [20] | 2016 | 362 | 133/229 | 57/65 * | 96/173 | 114 (85)/183 (80) | - | 6/3.5 | 12.9/12.3 |
| Zhou [21] | 2021 | 282 | 187/95 | 61/65 * | 141/71 | 84 (44.9)/44 (46.3) | - | 7/0 | 11/18 |
| Current study | 2022 | 163 | 78/85 | 60/65 * | 78/75 | 58 (74)/39 (45.8) | 0/1 | 1.3/2.3 | 28.1/25.5 |
Publisher’s Note: MDPI stays neutral with regard to jurisdictional claims in published maps and institutional affiliations. |
© 2022 by the authors. Licensee MDPI, Basel, Switzerland. This article is an open access article distributed under the terms and conditions of the Creative Commons Attribution (CC BY) license (https://creativecommons.org/licenses/by/4.0/).
Share and Cite
Mangiameli, G.; Bottoni, E.; Cariboni, U.; Ferraroli, G.M.; Morenghi, E.; Giudici, V.M.; Voulaz, E.; Alloisio, M.; Testori, A. Single-Center 20-Year Experience in Surgical Treatment of Malignant Pleural Mesothelioma. J. Clin. Med. 2022, 11, 4537. https://doi.org/10.3390/jcm11154537
Mangiameli G, Bottoni E, Cariboni U, Ferraroli GM, Morenghi E, Giudici VM, Voulaz E, Alloisio M, Testori A. Single-Center 20-Year Experience in Surgical Treatment of Malignant Pleural Mesothelioma. Journal of Clinical Medicine. 2022; 11(15):4537. https://doi.org/10.3390/jcm11154537
Chicago/Turabian StyleMangiameli, Giuseppe, Edoardo Bottoni, Umberto Cariboni, Giorgio Maria Ferraroli, Emanuela Morenghi, Veronica Maria Giudici, Emanuele Voulaz, Marco Alloisio, and Alberto Testori. 2022. "Single-Center 20-Year Experience in Surgical Treatment of Malignant Pleural Mesothelioma" Journal of Clinical Medicine 11, no. 15: 4537. https://doi.org/10.3390/jcm11154537
APA StyleMangiameli, G., Bottoni, E., Cariboni, U., Ferraroli, G. M., Morenghi, E., Giudici, V. M., Voulaz, E., Alloisio, M., & Testori, A. (2022). Single-Center 20-Year Experience in Surgical Treatment of Malignant Pleural Mesothelioma. Journal of Clinical Medicine, 11(15), 4537. https://doi.org/10.3390/jcm11154537

