The Association between Early Changes in Neutrophil-Lymphocyte Ratio and Survival in Patients Treated with Immunotherapy
Abstract
1. Introduction
2. Materials and Methods
2.1. Patient Population
2.2. Statistical Analyses
2.3. Ethical Approval
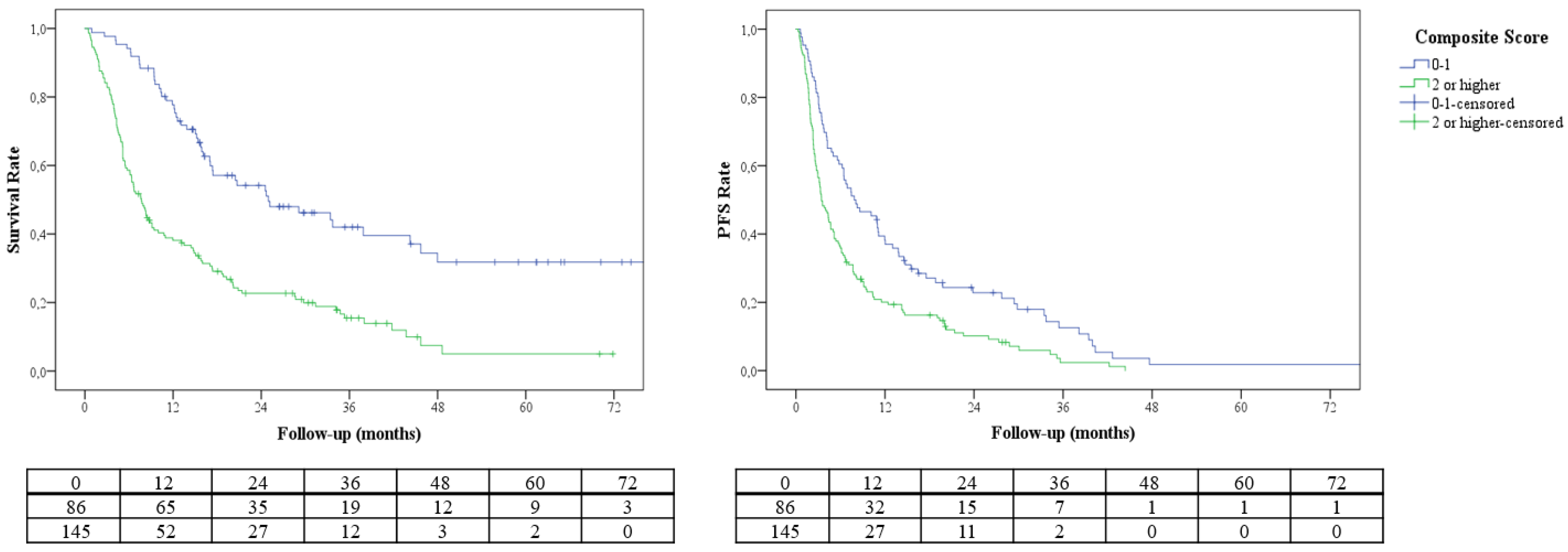
3. Results
3.1. Baseline Characteristics
3.2. Survival Analyses
3.3. Construction of the Prognostic Model
4. Discussion
5. Conclusions
Author Contributions
Funding
Institutional Review Board Statement
Informed Consent Statement
Data Availability Statement
Conflicts of Interest
References
- Darvin, P.; Toor, S.M.; Sasidharan Nair, V.; Elkord, E. Immune checkpoint inhibitors: Recent progress and potential biomarkers. Exp. Mol. Med. 2018, 50, 1–11. [Google Scholar] [CrossRef]
- Esfahani, K.; Roudaia, L.; Buhlaiga, N.; Del Rincon, S.V.; Papneja, N.; Miller, W.H., Jr. A review of cancer immunotherapy: From the past, to the present, to the future. Curr. Oncol. 2020, 27, S87–S97. [Google Scholar] [CrossRef]
- Rangachari, D.; Costa, D.B. From Hope to Reality: Durable Overall Survival With Immune Checkpoint Inhibitors for Advanced Lung Cancer. J. Clin. Oncol. 2019, 37, 2511–2513. [Google Scholar] [CrossRef]
- Sangro, B.; Sarobe, P.; Hervás-Stubbs, S.; Melero, I. Advances in immunotherapy for hepatocellular carcinoma. Nat. Rev. Gastroenterol. Hepatol. 2021, 18, 525–543. [Google Scholar] [CrossRef] [PubMed]
- Hue, J.J.; Bingmer, K.; Sugumar, K.; Markt, S.C.; Rothermel, L.D.; Hardacre, J.M.; Ammori, J.B.; Winter, J.M.; Ocuin, L.M. Immunotherapy Is Associated with a Survival Benefit in Patients Receiving Chemotherapy for Metastatic Pancreatic Cancer. J. Pancreat. Cancer 2021, 7, 31–38. [Google Scholar] [CrossRef] [PubMed]
- Maiorano, B.A.; Maiorano, M.F.P.; Lorusso, D.; Maiello, E. Ovarian Cancer in the Era of Immune Checkpoint Inhibitors: State of the Art and Future Perspectives. Cancers 2021, 13, 4438. [Google Scholar] [CrossRef]
- Wolchok, J.D.; Chiarion-Sileni, V.; Gonzalez, R.; Grob, J.-J.; Rutkowski, P.; Lao, C.D.; Cowey, C.L.; Schadendorf, D.; Wagstaff, J.; Dummer, R.; et al. Long-Term Outcomes With Nivolumab Plus Ipilimumab or Nivolumab Alone Versus Ipilimumab in Patients With Advanced Melanoma. J. Clin. Oncol. 2021, 40, 127–137. [Google Scholar] [CrossRef]
- Albiges, L.; Tannir, N.M.; Burotto, M.; McDermott, D.; Plimack, E.R.; Barthélémy, P.; Porta, C.; Powles, T.; Donskov, F.; George, S.; et al. Nivolumab plus ipilimumab versus sunitinib for first-line treatment of advanced renal cell carcinoma: Extended 4-year follow-up of the phase III CheckMate 214 trial. ESMO Open 2020, 5, e001079. [Google Scholar] [CrossRef]
- Bellmunt, J.; de Wit, R.; Vaughn, D.J.; Fradet, Y.; Lee, J.L.; Fong, L.; Vogelzang, N.J.; Climent, M.A.; Petrylak, D.P.; Choueiri, T.K.; et al. Pembrolizumab as Second-Line Therapy for Advanced Urothelial Carcinoma. N. Engl. J. Med. 2017, 376, 1015–1026. [Google Scholar] [CrossRef]
- Hellmann, M.D.; Paz-Ares, L.; Bernabe Caro, R.; Zurawski, B.; Kim, S.-W.; Carcereny Costa, E.; Park, K.; Alexandru, A.; Lupinacci, L.; de la Mora Jimenez, E.; et al. Nivolumab plus Ipilimumab in Advanced Non–Small-Cell Lung Cancer. N. Engl. J. Med. 2019, 381, 2020–2031. [Google Scholar] [CrossRef] [PubMed]
- Spigel, D.R.; Vicente, D.; Ciuleanu, T.E.; Gettinger, S.; Peters, S.; Horn, L.; Audigier-Valette, C.; Pardo Aranda, N.; Juan-Vidal, O.; Cheng, Y.; et al. Second-line nivolumab in relapsed small-cell lung cancer: CheckMate 331(☆). Ann. Oncol. 2021, 32, 631–641. [Google Scholar] [CrossRef] [PubMed]
- Verma, V.; Sprave, T.; Haque, W.; Simone, C.B.; Chang, J.Y.; Welsh, J.W.; Thomas, C.R. A systematic review of the cost and cost-effectiveness studies of immune checkpoint inhibitors. J. ImmunoTher. Cancer 2018, 6, 128. [Google Scholar] [CrossRef] [PubMed]
- Schrock, A.B.; Ouyang, C.; Sandhu, J.; Sokol, E.; Jin, D.; Ross, J.S.; Miller, V.A.; Lim, D.; Amanam, I.; Chao, J.; et al. Tumor mutational burden is predictive of response to immune checkpoint inhibitors in MSI-high metastatic colorectal cancer. Ann. Oncol. 2019, 30, 1096–1103. [Google Scholar] [CrossRef] [PubMed]
- André, T.; Shiu, K.-K.; Kim, T.W.; Jensen, B.V.; Jensen, L.H.; Punt, C.; Smith, D.; Garcia-Carbonero, R.; Benavides, M.; Gibbs, P.; et al. Pembrolizumab in Microsatellite-Instability–High Advanced Colorectal Cancer. N. Engl. J. Med. 2020, 383, 2207–2218. [Google Scholar] [CrossRef]
- Herbst, R.S.; Giaccone, G.; de Marinis, F.; Reinmuth, N.; Vergnenegre, A.; Barrios, C.H.; Morise, M.; Felip, E.; Andric, Z.; Geater, S.; et al. Atezolizumab for First-Line Treatment of PD-L1–Selected Patients with NSCLC. N. Engl. J. Med. 2020, 383, 1328–1339. [Google Scholar] [CrossRef]
- Büttner, R.; Longshore, J.W.; López-Ríos, F.; Merkelbach-Bruse, S.; Normanno, N.; Rouleau, E.; Penault-Llorca, F. Implementing TMB measurement in clinical practice: Considerations on assay requirements. ESMO Open 2019, 4, e000442. [Google Scholar] [CrossRef] [PubMed]
- Guven, D.C.; Sahin, T.K.; Dizdar, O.; Kilickap, S. Predictive biomarkers for immunotherapy efficacy in non-small-cell lung cancer: Current status and future perspectives. Biomark. Med. 2020, 14, 1383–1392. [Google Scholar] [CrossRef]
- Cai, L.-L.; Wang, J. Liquid biopsy for lung cancer immunotherapy. Oncol. Lett. 2019, 17, 4751–4760. [Google Scholar] [CrossRef]
- Cupp, M.A.; Cariolou, M.; Tzoulaki, I.; Aune, D.; Evangelou, E.; Berlanga-Taylor, A.J. Neutrophil to lymphocyte ratio and cancer prognosis: An umbrella review of systematic reviews and meta-analyses of observational studies. BMC Med. 2020, 18, 360. [Google Scholar] [CrossRef]
- Bilen, M.A.; Rini, B.I.; Voss, M.H.; Larkin, J.; Haanen, J.; Albiges, L.; Pagliaro, L.C.; Voog, E.G.; Lam, E.T.; Kislov, N.; et al. Association of Neutrophil-to-Lymphocyte Ratio with Efficacy of First-Line Avelumab plus Axitinib vs. Sunitinib in Patients with Advanced Renal Cell Carcinoma Enrolled in the Phase 3 JAVELIN Renal 101 Trial. Clin. Cancer Res. 2022, 28, 738–747. [Google Scholar] [CrossRef]
- Vano, Y.-A.; Oudard, S.; By, M.-A.; Têtu, P.; Thibault, C.; Aboudagga, H.; Scotté, F.; Elaidi, R. Optimal cut-off for neutrophil-to-lymphocyte ratio: Fact or Fantasy? A prospective cohort study in metastatic cancer patients. PLoS ONE 2018, 13, e0195042. [Google Scholar] [CrossRef]
- Howard, R.; Kanetsky, P.A.; Egan, K.M. Exploring the prognostic value of the neutrophil-to-lymphocyte ratio in cancer. Sci. Rep. 2019, 9, 19673. [Google Scholar] [CrossRef] [PubMed]
- Ferrucci, P.F.; Ascierto, P.A.; Pigozzo, J.; Del Vecchio, M.; Maio, M.; Antonini Cappellini, G.C.; Guidoboni, M.; Queirolo, P.; Savoia, P.; Mandalà, M.; et al. Baseline neutrophils and derived neutrophil-to-lymphocyte ratio: Prognostic relevance in metastatic melanoma patients receiving ipilimumab. Ann. Oncol. 2016, 27, 732–738. [Google Scholar] [CrossRef] [PubMed]
- Capone, M.; Giannarelli, D.; Mallardo, D.; Madonna, G.; Festino, L.; Grimaldi, A.M.; Vanella, V.; Simeone, E.; Paone, M.; Palmieri, G.; et al. Baseline neutrophil-to-lymphocyte ratio (NLR) and derived NLR could predict overall survival in patients with advanced melanoma treated with nivolumab. J. Immunother. Cancer 2018, 6, 74. [Google Scholar] [CrossRef] [PubMed]
- Guida, M.; Bartolomeo, N.; Quaresmini, D.; Quaglino, P.; Madonna, G.; Pigozzo, J.; Di Giacomo, A.M.; Minisini, A.M.; Tucci, M.; Spagnolo, F.; et al. Basal and one-month differed neutrophil, lymphocyte and platelet values and their ratios strongly predict the efficacy of checkpoint inhibitors immunotherapy in patients with advanced BRAF wild-type melanoma. J. Transl. Med. 2022, 20, 159. [Google Scholar] [CrossRef]
- Li, Y.; Zhang, Z.; Hu, Y.; Yan, X.; Song, Q.; Wang, G.; Chen, R.; Jiao, S.; Wang, J. Pretreatment Neutrophil-to-Lymphocyte Ratio (NLR) May Predict the Outcomes of Advanced Non-small-cell Lung Cancer (NSCLC) Patients Treated With Immune Checkpoint Inhibitors (ICIs). Front. Oncol. 2020, 10, 654. [Google Scholar] [CrossRef]
- Hsiang, C.W.; Huang, W.Y.; Yang, J.F.; Shen, P.C.; Dai, Y.H.; Wang, Y.F.; Lin, C.S.; Chang, W.C.; Lo, C.H. Dynamic Changes in Neutrophil-to-Lymphocyte Ratio are Associated with Survival and Liver Toxicity Following Stereotactic Body Radiotherapy for Hepatocellular Carcinoma. J. Hepatocell. Carcinoma 2021, 8, 1299–1309. [Google Scholar] [CrossRef]
- Lalani, A.A.; Xie, W.; Martini, D.J.; Steinharter, J.A.; Norton, C.K.; Krajewski, K.M.; Duquette, A.; Bossé, D.; Bellmunt, J.; Van Allen, E.M.; et al. Change in Neutrophil-to-lymphocyte ratio (NLR) in response to immune checkpoint blockade for metastatic renal cell carcinoma. J. Immunother. Cancer 2018, 6, 5. [Google Scholar] [CrossRef]
- Li, M.; Spakowicz, D.; Burkart, J.; Patel, S.; Husain, M.; He, K.; Bertino, E.M.; Shields, P.G.; Carbone, D.P.; Verschraegen, C.F.; et al. Change in neutrophil to lymphocyte ratio during immunotherapy treatment is a non-linear predictor of patient outcomes in advanced cancers. J. Cancer Res. Clin. Oncol. 2019, 145, 2541–2546. [Google Scholar] [CrossRef]
- Bigot, F.; Castanon, E.; Baldini, C.; Hollebecque, A.; Carmona, A.; Postel-Vinay, S.; Angevin, E.; Armand, J.-P.; Ribrag, V.; Aspeslagh, S.; et al. Prospective validation of a prognostic score for patients in immunotherapy phase I trials: The Gustave Roussy Immune Score (GRIm-Score). Eur. J. Cancer 2017, 84, 212–218. [Google Scholar] [CrossRef]
- Arkenau, H.T.; Olmos, D.; Ang, J.E.; de Bono, J.; Judson, I.; Kaye, S. Clinical outcome and prognostic factors for patients treated within the context of a phase I study: The Royal Marsden Hospital experience. Br. J. Cancer 2008, 98, 1029–1033. [Google Scholar] [CrossRef]
- Sen, S.; Hess, K.; Hong, D.S.; Naing, A.; Piha-Paul, S.; Janku, F.; Fu, S.; Subbiah, I.M.; Liu, H.; Khanji, R.; et al. Development of a prognostic scoring system for patients with advanced cancer enrolled in immune checkpoint inhibitor phase 1 clinical trials. Br. J. Cancer 2018, 118, 763–769. [Google Scholar] [CrossRef] [PubMed]
- Havel, J.J.; Chowell, D.; Chan, T.A. The evolving landscape of biomarkers for checkpoint inhibitor immunotherapy. Nat. Rev. Cancer 2019, 19, 133–150. [Google Scholar] [CrossRef] [PubMed]
- Oloomi, M.; Moazzezy, N.; Bouzari, S. Comparing blood versus tissue-based biomarkers expression in breast cancer patients. Heliyon 2020, 6, e03728. [Google Scholar] [CrossRef] [PubMed]
- Seo, M.K.; Cairns, J. How are we evaluating the cost-effectiveness of companion biomarkers for targeted cancer therapies? A systematic review. BMC Cancer 2021, 21, 980. [Google Scholar] [CrossRef]
- Kazandjian, D.; Gong, Y.; Keegan, P.; Pazdur, R.; Blumenthal, G.M. Prognostic Value of the Lung Immune Prognostic Index for Patients Treated for Metastatic Non–Small Cell Lung Cancer. JAMA Oncol. 2019, 5, 1481–1485. [Google Scholar] [CrossRef]
- Brown, J.T.; Liu, Y.; Shabto, J.M.; Martini, D.; Ravindranathan, D.; Hitron, E.E.; Russler, G.A.; Caulfield, S.; Yantorni, L.; Joshi, S.S.; et al. Modified Glasgow Prognostic Score associated with survival in metastatic renal cell carcinoma treated with immune checkpoint inhibitors. J. Immunother. Cancer 2021, 9, e002851. [Google Scholar] [CrossRef]
- Guven, D.C.; Yildirim, H.C.; Bilgin, E.; Aktepe, O.H.; Taban, H.; Sahin, T.K.; Cakir, I.Y.; Akin, S.; Dizdar, O.; Aksoy, S.; et al. PILE: A candidate prognostic score in cancer patients treated with immunotherapy. Clin. Transl. Oncol. 2021, 23, 1630–1636. [Google Scholar] [CrossRef]
- Guven, D.C.; Sahin, T.K.; Erul, E.; Kilickap, S.; Gambichler, T.; Aksoy, S. The Association between the Pan-Immune-Inflammation Value and Cancer Prognosis: A Systematic Review and Meta-Analysis. Cancers 2022, 14, 2675. [Google Scholar] [CrossRef]
- Minami, S.; Ihara, S.; Ikuta, S.; Komuta, K. Gustave Roussy Immune Score and Royal Marsden Hospital Prognostic Score Are Biomarkers of Immune-Checkpoint Inhibitor for Non-Small Cell Lung Cancer. World J. Oncol. 2019, 10, 90–100. [Google Scholar] [CrossRef]
- Tian, S.; Cao, Y.; Duan, Y.; Liu, Q.; Peng, P. Gustave Roussy Immune Score as a Novel Prognostic Scoring System for Colorectal Cancer Patients: A Propensity Score Matching Analysis. Front. Oncol. 2021, 11, 737283. [Google Scholar] [CrossRef] [PubMed]
- Castanon Alvarez, E.; Resano, L.; Barba, L.; Vidal, C.; Sanchez Arraez, A.; Gonzalez Martin, A.; Ponz-Sarvisé, M. Comparison of the predictive power of survival of the Royal Marsden Score (RMS), the Gustave Rousy Immunescore (GRIM score), the MDACC score (MDAS) and the LIPI score in phase I trials patients. J. Clin. Oncol. 2020, 38, e14094. [Google Scholar] [CrossRef]
- Al Darazi, G.; Martin, E.; Delord, J.P.; Korakis, I.; Betrian, S.; Estrabaut, M.; Poublanc, M.; Gomez-Roca, C.; Filleron, T. Improving patient selection for immuno-oncology phase 1 trials: External validation of six prognostic scores in a French Cancer Center. Int. J. Cancer 2021, 148, 2502–2511. [Google Scholar] [CrossRef]
- Nenclares, P.; Gunn, L.; Soliman, H.; Bover, M.; Trinh, A.; Leslie, I.; Wong, K.H.; Melcher, A.; Newbold, K.; Nutting, C.M.; et al. On-treatment immune prognostic score for patients with relapsed and/or metastatic head and neck squamous cell carcinoma treated with immunotherapy. J. Immunother. Cancer 2021, 9, e002718. [Google Scholar] [CrossRef]
- Naik, S.G.; Rathnasabapathy, C.; Chenthil, H.; Sangal, A.; Dumlao, T.; Kodali, S.; He, Z.; Kalavar, M. LDH in solid tumors as a surrogate marker for tumor burden and response to treatment. J. Clin. Oncol. 2008, 26, 22164. [Google Scholar] [CrossRef]
- Mishra, D.; Banerjee, D. Lactate Dehydrogenases as Metabolic Links between Tumor and Stroma in the Tumor Microenvironment. Cancers 2019, 11, 750. [Google Scholar] [CrossRef]
- Forkasiewicz, A.; Dorociak, M.; Stach, K.; Szelachowski, P.; Tabola, R.; Augoff, K. The usefulness of lactate dehydrogenase measurements in current oncological practice. Cell. Mol. Biol. Lett. 2020, 25, 35. [Google Scholar] [CrossRef]
- Ascierto, P.A.; Robert, C.; Lewis, K.; Gutzmer, R.; Stroyakovskiy, D.; Gogas, H.J.; Protsenko, S.; Pereira, R.P.; Eigentler, T.; Rutkowski, P.; et al. 1102P Clinical benefit in BRAFV600 mutation-positive melanoma defined by programmed death ligand 1 (PD-L1) and/or lactate dehydrogenase (LDH) status: Exploratory analyses from the IMspire150 study. Ann. Oncol. 2020, 31, S745. [Google Scholar] [CrossRef]
- Knispel, S.; Gassenmaier, M.; Menzies, A.M.; Loquai, C.; Johnson, D.B.; Franklin, C.; Gutzmer, R.; Hassel, J.C.; Weishaupt, C.; Eigentler, T.; et al. Outcome of melanoma patients with elevated LDH treated with first-line targeted therapy or PD-1-based immune checkpoint inhibition. Eur. J. Cancer 2021, 148, 61–75. [Google Scholar] [CrossRef]
- Mehnert, J.M.; Mitchell, T.C.; Huang, A.C.; Aleman, T.S.; Kim, B.J.; Schuchter, L.M.; Linette, G.P.; Karakousis, G.C.; Mitnick, S.; Giles, L.; et al. BAMM (BRAF Autophagy and MEK Inhibition in Melanoma): A Phase I/II Trial of Dabrafenib, Trametinib, and Hydroxychloroquine in Advanced BRAFV600-mutant Melanoma. Clin. Cancer Res. 2022, 28, 1098–1106. [Google Scholar] [CrossRef] [PubMed]
- De Castro, A.M.; Navarro, A.; Perez, S.C.; Martinez, A.; Pardo, N.; Hernando, A.; Ortiz, C.; Amair, F.; Biosca, M.; Aguilar-Company, J.; et al. P3.02c-063 Lactate Dehydrogenase (LDH) as a Surrogate Biomarker to Checkpoint-Inhibitors for Patient with Advanced Non-Small-Cell Lung Cancer (NSCLC): Topic: IT Biomarkers. J. Thorac. Oncol. 2017, 12, S1313. [Google Scholar] [CrossRef][Green Version]
- Wang, Y.; Li, G.; Wan, F.; Dai, B.; Ye, D. Prognostic value of D-lactate dehydrogenase in patients with clear cell renal cell carcinoma. Oncol. Lett. 2018, 16, 866–874. [Google Scholar] [CrossRef] [PubMed]
- Shirotake, S.; Takamatsu, K.; Mizuno, R.; Kaneko, G.O.; Nishimoto, K.; Oya, M.; Oyama, M. Serum Lactate Dehydrogenase Before Nivolumab Treatment Could Be a Therapeutic Prognostic Biomarker for Patients With Metastatic Clear Cell Renal Cell Carcinoma. Anticancer. Res. 2019, 39, 4371–4377. [Google Scholar] [CrossRef]
- Daher, S.; Lawrence, Y.R.; Dudnik, E.; Hanovich, E.; Urban, D.; Peled, N.; Navon, R.; Leibowitz, R.; Hammerman, A.; Battat, E.; et al. Nivolumab in Non-Small Cell Lung Cancer: Real World Long-Term Survival Results and Blood-Based Efficacy Biomarkers. Front. Oncol. 2021, 11, 2792. [Google Scholar] [CrossRef]
- Zhang, Z.; Li, Y.; Yan, X.; Song, Q.; Wang, G.; Hu, Y.; Jiao, S.; Wang, J. Pretreatment lactate dehydrogenase may predict outcome of advanced non small-cell lung cancer patients treated with immune checkpoint inhibitors: A meta-analysis. Cancer Med. 2019, 8, 1467–1473. [Google Scholar] [CrossRef] [PubMed]
- Dusselier, M.; Deluche, E.; Delacourt, N.; Ballouhey, J.; Egenod, T.; Melloni, B.; Vergnenègre, C.; Veillon, R.; Vergnenègre, A. Neutrophil-to-lymphocyte ratio evolution is an independent predictor of early progression of second-line nivolumab-treated patients with advanced non-small-cell lung cancers. PLoS ONE 2019, 14, e0219060. [Google Scholar] [CrossRef] [PubMed]
- Petrova, M.P.; Eneva, M.I.; Arabadjiev, J.I.; Conev, N.V.; Dimitrova, E.G.; Koynov, K.D.; Karanikolova, T.S.; Valev, S.S.; Gencheva, R.B.; Zhbantov, G.A.; et al. Neutrophil to lymphocyte ratio as a potential predictive marker for treatment with pembrolizumab as a second line treatment in patients with non-small cell lung cancer. Biosci. Trends 2020, 14, 48–55. [Google Scholar] [CrossRef] [PubMed]
- Möller, M.; Turzer, S.; Schütte, W.; Seliger, B.; Riemann, D. Blood Immune Cell Biomarkers in Patient With Lung Cancer Undergoing Treatment With Checkpoint Blockade. J. Immunother. 2020, 43, 57–66. [Google Scholar] [CrossRef]
- Bartlett, E.K.; Flynn, J.R.; Panageas, K.S.; Ferraro, R.A.; Sta Cruz, J.M.; Postow, M.A.; Coit, D.G.; Ariyan, C.E. High neutrophil-to-lymphocyte ratio (NLR) is associated with treatment failure and death in patients who have melanoma treated with PD-1 inhibitor monotherapy. Cancer 2020, 126, 76–85. [Google Scholar] [CrossRef]
- Hirahara, T.; Arigami, T.; Yanagita, S.; Matsushita, D.; Uchikado, Y.; Kita, Y.; Mori, S.; Sasaki, K.; Omoto, I.; Kurahara, H.; et al. Combined neutrophil-lymphocyte ratio and platelet-lymphocyte ratio predicts chemotherapy response and prognosis in patients with advanced gastric cancer. BMC Cancer 2019, 19, 672. [Google Scholar] [CrossRef]
- Setakornnukul, J.; Chanvimalueng, W.; Patumanond, J.; Thephamongkhol, K. Cutoff point of neutrophil-to-lymphocyte ratio for predicting survival in nasopharyngeal carcinoma. Medicine 2021, 100, e27095. [Google Scholar] [CrossRef]
- Lim, J.U.; Kang, H.S.; Yeo, C.D.; Kim, J.S.; Park, C.K.; Kim, J.W.; Kim, S.J.; Lee, S.H. Predictability of early changes in derived neutrophil-to-lymphocyte ratio and neutrophil-to-lymphocyte ratio in patients with advanced non-small cell lung cancer treated with immune checkpoint inhibitors. J. Thorac. Dis. 2021, 13, 2824–2832. [Google Scholar] [CrossRef]
- Thomas, J.; Riaz, I.B.; Freeman, D.; Adib, E.; Nuzzo, P.V.; Zarif, T.E.; Davidsohn, M.; McClure, H.; Curran, C.; Ravi, P.; et al. Early changes in peripheral blood neutrophil-lymphocyte ratio (NLR) to predict outcomes with immune checkpoint inhibitors (ICIs) for metastatic urothelial carcinoma (mUC). J. Clin. Oncol. 2022, 40, 449. [Google Scholar] [CrossRef]
- Krishnan, T.; Tomita, Y.; Roberts-Thomson, R. A retrospective analysis of eosinophilia as a predictive marker of response and toxicity to cancer immunotherapy. Future Sci. OA 2020, 6, FSO608. [Google Scholar] [CrossRef]
- Ghebeh, H.; Elshenawy, M.A.; AlSayed, A.D.; Al-Tweigeri, T. Peripheral blood eosinophil count is associated with response to chemoimmunotherapy in metastatic triple-negative breast cancer. Immunotherapy 2022, 14, 189–199. [Google Scholar] [CrossRef] [PubMed]
- Lee, Y.J.; Park, Y.S.; Lee, H.W.; Park, T.Y.; Lee, J.K.; Heo, E.Y. Peripheral lymphocyte count as a surrogate marker of immune checkpoint inhibitor therapy outcomes in patients with non-small-cell lung cancer. Sci. Rep. 2022, 12, 626. [Google Scholar] [CrossRef] [PubMed]
- Oberg, H.-H.; Wesch, D.; Kalyan, S.; Kabelitz, D. Regulatory Interactions Between Neutrophils, Tumor Cells and T Cells. Front. Immunol. 2019, 10, 1690. [Google Scholar] [CrossRef] [PubMed]
- Kalafati, L.; Mitroulis, I.; Verginis, P.; Chavakis, T.; Kourtzelis, I. Neutrophils as Orchestrators in Tumor Development and Metastasis Formation. Front. Oncol. 2020, 10, 581457. [Google Scholar] [CrossRef] [PubMed]
- Prigerson, H.G.; Bao, Y.; Shah, M.A.; Paulk, M.E.; LeBlanc, T.W.; Schneider, B.J.; Garrido, M.M.; Reid, M.C.; Berlin, D.A.; Adelson, K.B.; et al. Chemotherapy Use, Performance Status, and Quality of Life at the End of Life. JAMA Oncol. 2015, 1, 778–784. [Google Scholar] [CrossRef]
- Kelly, C.M.; Shahrokni, A. Moving beyond Karnofsky and ECOG Performance Status Assessments with New Technologies. J. Oncol. 2016, 2016, 6186543. [Google Scholar] [CrossRef]
- Sehgal, K.; Gill, R.R.; Widick, P.; Bindal, P.; McDonald, D.C.; Shea, M.; Rangachari, D.; Costa, D.B. Association of Performance Status With Survival in Patients With Advanced Non-Small Cell Lung Cancer Treated With Pembrolizumab Monotherapy. JAMA Netw. Open 2021, 4, e2037120. [Google Scholar] [CrossRef] [PubMed]
- Tomasik, B.; Bieńkowski, M.; Braun, M.; Popat, S.; Dziadziuszko, R. Effectiveness and safety of immunotherapy in NSCLC patients with ECOG PS score ≥ 2—Systematic review and meta-analysis. Lung Cancer 2021, 158, 97–106. [Google Scholar] [CrossRef] [PubMed]
- Mouritzen, M.T.; Carus, A.; Ladekarl, M.; Meldgaard, P.; Nielsen, A.W.M.; Livbjerg, A.; Larsen, J.W.; Skuladottir, H.; Kristiansen, C.; Wedervang, K.; et al. Nationwide Survival Benefit after Implementation of First-Line Immunotherapy for Patients with Advanced NSCLC-Real World Efficacy. Cancers 2021, 13, 4846. [Google Scholar] [CrossRef]
- Baik, C.S.; Rubin, E.H.; Forde, P.M.; Mehnert, J.M.; Collyar, D.; Butler, M.O.; Dixon, E.L.; Chow, L.Q.M. Immuno-oncology Clinical Trial Design: Limitations, Challenges, and Opportunities. Clin. Cancer Res. Off. J. Am. Assoc. Cancer Res. 2017, 23, 4992–5002. [Google Scholar] [CrossRef] [PubMed]
- Sarfati, D.; Koczwara, B.; Jackson, C. The impact of comorbidity on cancer and its treatment. CA Cancer J. Clin. 2016, 66, 337–350. [Google Scholar] [CrossRef]
- Sakakida, T.; Ishikawa, T.; Uchino, J.; Tabuchi, Y.; Komori, S.; Asai, J.; Arai, A.; Tsunezuka, H.; Kosuga, T.; Konishi, H.; et al. Safety and tolerability of PD-1/PD-L1 inhibitors in elderly and frail patients with advanced malignancies. Oncol. Lett. 2020, 20, 14. [Google Scholar] [CrossRef]
- Zhao, L.; Leung, L.-H.; Wang, J.; Li, H.; Che, J.; Liu, L.; Yao, X.; Cao, B. Association between Charlson comorbidity index score and outcome in patients with stage IIIB-IV non-small cell lung cancer. BMC Pulm. Med. 2017, 17, 112. [Google Scholar] [CrossRef]
- Stromberger, C.; Yedikat, B.; Coordes, A.; Tinhofer, I.; Kalinauskaite, G.; Budach, V.; Zschaeck, S.; Raguse, J.-D.; Kofla, G.; Heiland, M.; et al. Prognostic Factors Predict Oncological Outcome in Older Patients With Head and Neck Cancer Undergoing Chemoradiation Treatment. Front. Oncol. 2021, 10, 566318. [Google Scholar] [CrossRef]
- Zhang, D.; Tailor, T.D.; Kim, C.; Atkins, M.B.; Braithwaite, D.; Akinyemiju, T. Immunotherapy Utilization Among Patients With Metastatic NSCLC: Impact of Comorbidities. J. Immunother. 2021, 44, 198–203. [Google Scholar] [CrossRef]
- Zeng, X.; Zhu, S.; Xu, C.; Wang, Z.; Su, X.; Zeng, D.; Long, H.; Zhu, B. Effect of Comorbidity on Outcomes of Patients with Advanced Non-Small Cell Lung Cancer Undergoing Anti-PD1 Immunotherapy. Med. Sci. Monit. 2020, 26, e922576. [Google Scholar] [CrossRef]




| Clinical Feature | n (%) |
|---|---|
| Median Age (IQR) | 61 (51–67) |
| Median CCI (IQR) | 8 (7–9) |
| Sex | |
| Male | 155 (67.1) |
| Female | 76 (32.9) |
| ECOG PS | |
| 0 | 132 (57.1) |
| 1 | 69 (29.9) |
| 2 | 26 (11.3) |
| 3 | 4 (1.7) |
| Immunotherapy Agent | |
| Nivolumab | 169 (73.2) |
| Atezolizumab | 28 (12.1) |
| Pembrolizumab | 20 (8.7) |
| Ipilimumab | 13 (5.6) |
| Avelumab | 1 (0.4) |
| Primary Tumor | |
| RCC * | 49 (21.2) |
| Melanoma | 49 (21.2) |
| NSCLC * | 34 (14.7) |
| Other # | 99 (42.9) |
| Concomitant CT or TT + | |
| Absent | 176 (76.2) |
| Present | 55 (23.8) |
| Line of Treatment | |
| 1 | 31 (13.4) |
| 2 | 91 (39.4) |
| 3 | 48 (20.8) |
| 4 or later | 61 (26.4) |
| NLR < 5 and NLR < 10% Increase (n = 76) | NLR ≥ 5 or NLR ≥ 10% Increase (n = 138) | NLR ≥ 5 and NLR ≥ 10% Increase (n = 673) | p-Value | ||
|---|---|---|---|---|---|
| Age (median, IQR) | 61 (54–66) | 59 (50–67) | 64 (60–70) | 0.109 | |
| CCI (median, IQR) | 8 (7–9) | 8 (7–9) | 8 (8–9) | 0.290 | |
| Metastatic Site (median, IQR) | 1 (1–2) | 1 (1–2) | 2 (1–2) | 0.375 | |
| Primary Tumor | Melanoma | 22 (28.9) | 24 (17.4) | 3 (17.6) | 0.182 |
| RCC | 15 (19.7) | 27 (19.6) | 7 (41.2) | ||
| NSCLC | 9 (11.8) | 23 (16.7) | 2 (11.8) | ||
| Other | 30 (39.5) | 64 (46.4) | 5 (29.4) | ||
| LDH | Normal | 52 (68.4) | 68 (49.3) | 9 (52.9) | 0.025 |
| >ULN | 24 (31.6) | 70 (50.7) | 8 (47.1) | ||
| Charlson Comorbidity Index | <9 | 52 (68.4) | 91 (65.9) | 9 (52.9) | 0.477 |
| 9 or higher | 24 (31.6) | 47 (34.1) | 8 (47.1) | ||
| Concomitant CT or TT | Absent | 63 (82.9) | 100 (72.5) | 13 (76.5) | 0.230 |
| Present | 13 (17.1) | 38 (27.5) | 4 (23.5) | ||
| Baseline Liver Metastasis | Absent | 50 (65.8) | 96 (69.6) | 12 (70.6) | 0.834 |
| Present | 26 (34.2) | 42 (30.4) | 5 (29.4) | ||
| ECOG | 0 | 46 (60.5) | 74 (53.6) | 12 (70.6) | 0.315 |
| 1 or higher | 30 (39.5) | 64 (46.4) | 1355 (29.4) | ||
| ORR | Absent | 41 (57.7) | 89 (70.6) | 12 (85.7) | 0.057 |
| Present | 30 (42.3) | 37 (29.4) | 2 (14.3) | ||
| Progression-Free Survival | Overall Survival | |||||
|---|---|---|---|---|---|---|
| Hazard Ratio | 95% CI * | p-Value | Hazard Ratio | 95% CI * | p-Value | |
| CCI (<9 vs. ≥9) | 1.193 | 0.890–1.600 | 0.238 | 1.400 | 1.014–1.932 | 0.041 |
| Baseline NLR (<5 vs. ≥5) | 1.354 | 0.997–1.839 | 0.053 | 1.743 | 1.227–2.476 | 0.002 |
| Fourth-week NLR increase (<10% vs. ≥10%) | 1.544 | 1.152–2.068 | 0.004 | 1.807 | 1.294–2.524 | 0.001 |
| ECOG (0 vs. ≥1) | 1.401 | 1.061–1.848 | 0.017 | 1.552 | 1.134–2.123 | 0.006 |
| LDH (N vs. ≥ULN) | 1.219 | 0.926–1.605 | 0.158 | 1.454 | 1.069–1.976 | 0.017 |
Publisher’s Note: MDPI stays neutral with regard to jurisdictional claims in published maps and institutional affiliations. |
© 2022 by the authors. Licensee MDPI, Basel, Switzerland. This article is an open access article distributed under the terms and conditions of the Creative Commons Attribution (CC BY) license (https://creativecommons.org/licenses/by/4.0/).
Share and Cite
Guven, D.C.; Sahin, T.K.; Erul, E.; Cakir, I.Y.; Ucgul, E.; Yildirim, H.C.; Aktepe, O.H.; Erman, M.; Kilickap, S.; Aksoy, S.; et al. The Association between Early Changes in Neutrophil-Lymphocyte Ratio and Survival in Patients Treated with Immunotherapy. J. Clin. Med. 2022, 11, 4523. https://doi.org/10.3390/jcm11154523
Guven DC, Sahin TK, Erul E, Cakir IY, Ucgul E, Yildirim HC, Aktepe OH, Erman M, Kilickap S, Aksoy S, et al. The Association between Early Changes in Neutrophil-Lymphocyte Ratio and Survival in Patients Treated with Immunotherapy. Journal of Clinical Medicine. 2022; 11(15):4523. https://doi.org/10.3390/jcm11154523
Chicago/Turabian StyleGuven, Deniz Can, Taha Koray Sahin, Enes Erul, Ibrahim Yahya Cakir, Enes Ucgul, Hasan Cagri Yildirim, Oktay Halit Aktepe, Mustafa Erman, Saadettin Kilickap, Sercan Aksoy, and et al. 2022. "The Association between Early Changes in Neutrophil-Lymphocyte Ratio and Survival in Patients Treated with Immunotherapy" Journal of Clinical Medicine 11, no. 15: 4523. https://doi.org/10.3390/jcm11154523
APA StyleGuven, D. C., Sahin, T. K., Erul, E., Cakir, I. Y., Ucgul, E., Yildirim, H. C., Aktepe, O. H., Erman, M., Kilickap, S., Aksoy, S., & Yalcin, S. (2022). The Association between Early Changes in Neutrophil-Lymphocyte Ratio and Survival in Patients Treated with Immunotherapy. Journal of Clinical Medicine, 11(15), 4523. https://doi.org/10.3390/jcm11154523

