Prognostic Role of Lung Ultrasound in Children with Bronchiolitis: Multicentric Prospective Study
Abstract
1. Introduction
2. Patients and Methods
2.1. Population
2.2. Lung Ultrasound
- -
- A-lines: Horizontal reverbs of pleural line, normal ultrasound finding (Score 0 for the quantitative analysis, negative for the dycotomous analyses).
- -
- Short vertical artifacts (SVA, artifacts that do not reach the bottom of the screen, using a depth setting of 3 cm) According to a recent hypothesis [34], short artifacts may be produced by small channel or by acoustic traps which allows a quick release of the trapped acoustic energy [33]. Acoustic traps of this type are compatible with simple geometries such as those caused by minimal superficial alveolar collapses. Their microatelectatic nature and easy reversibility, in our opinion, justifies their distinction from the usual artifacts (B-Lines).
- -
- B-Lines showing a density of no more than 2 B lines per cm of the pleural line, with a depth setting of 3 cm, were described as Isolated B-Lines. Short vertical artifacts and Isolated B-Lines were considered clinically non-significant findings. Consequently, they were interpreted negative for dycotomous analyses, but received a score 1 for the quantitative analysis.
- -
- Multiple B lines (Lines B with a distance between them of less than half a cm to the confluence, remaining identifiable from each other) were considered pathological findings (positive), with a quantitative score of 2.
- -
- White lung (Subpleural field with various shades of white/gray without distinguishing lines B), pathological findings (positive), with a quantitative score of 3.
2.3. Statistical Analysis
3. Results
3.1. Study Population
3.2. Association between Initial LUS and Bronchiolitis Severity
3.3. Role of LUS in the Monitoring of Bronchiolitis
4. Discussion
5. Conclusions
Supplementary Materials
Author Contributions
Funding
Institutional Review Board Statement
Informed Consent Statement
Data Availability Statement
Acknowledgments
Conflicts of Interest
References
- Baraldi, E.; Lanari, M.; Manzoni, P.; Rossi, G.A.; Vandini, S.; Rimini, A.; Romagnoli, C.; Colonna, P.; Biondi, A.; Biban, P.; et al. Inter-society consensus document on treatment and prevention of bronchiolitis in newborns and infants. Ital. J. Pediatr. 2014, 40, 65. [Google Scholar] [CrossRef] [PubMed]
- Ralston, S.L.; Lieberthal, A.S.; Meissner, H.C.; Alverson, B.K.; Baley, J.E.; Gadomski, A.M.; Johnson, D.W.; Light, M.J.; Maraqa, N.F.; Mendonca, E.A.; et al. Clinical practice guideline: The diagnosis, management and prevention of bronchiolitis. Pediatrics 2014, 134, e1474–e1502. [Google Scholar] [CrossRef] [PubMed]
- Meissner, H.C. Viral bronchiolitis in children. N. Engl. J. Med. 2016, 374, 62–72. [Google Scholar] [CrossRef] [PubMed]
- Gonzàlez Martìnez, F.; Gonzàlez Sànchez, M.I.; Rodriguez Fernàndez, R. Clinical impact of introducing ventilation with high flow oxygen in the treatment of bronchiolitis in a pediatric ward. In Anales de Pediatría; Elsevier: Amsterdam, The Netherlands, 2013; Volume 78, pp. 210–215. [Google Scholar] [CrossRef]
- Smith, D.K.; Seales, S.; Budzik, C. Respirtory syncytial virus bronchiolitis in children. Am. Fam. Physician 2017, 95, 94–99. [Google Scholar] [PubMed]
- Vandini, S.; Biagi, C.; Lanari, M. Respiratory syncytial virus: The influence of serotype and genotype variability on clinical course of infection. Int. J. Mol. Sci. 2017, 18, 1717. [Google Scholar] [CrossRef]
- Ricci, V.; Delgado Nunes, V.; Murphy, M.S.; Cunningham, S. Bronchiolitis in children: Summary of NICE guidance. BMJ 2015, 350, 2305. [Google Scholar] [CrossRef]
- Copetti, R.; Cattarossi, L. Ultrasound diagnosis of pneumonia in children. La Radiol. Medica 2008, 113, 190–198. [Google Scholar] [CrossRef]
- Pereda, M.A.; Chavez, M.A.; Hooper-Miele, C.C.; Gilman, R.H.; Steinhoff, M.C.; Ellington, L.E.; Gross, M.; Price, C.; Tielsch, J.M.; Checkley, W. Lung ultrasound for the diagnosis of pneumonia in children: A meta-analysis. Pediatrics 2015, 135, 714–722. [Google Scholar] [CrossRef]
- Raimondi, F.; Yousef, N.; Migliaro, F.; Capasso, L.; De Luca, D. Point-of-care lung ultrasound in neonatology: Classification into descriptive and functional applications. Pediatric Res. 2018, 90, 524–531. [Google Scholar] [CrossRef]
- Musolino, A.M.; Supino, M.C.; Buonsenso, D.; Papa, R.E.; Chiurchiù, S.; Magistrelli, A.; Barbieri, M.A.; Raponi, M.; D’Argenio, P.; Villani, A.; et al. Lung ultrasound in the diagnosis and monitoring of 30 children with coronavirus disease 2019. Pediatr. Pulmonol. 2021, 56, 1045–1052. [Google Scholar] [CrossRef]
- Buonsenso, D.; Tomà, P.; Scateni, S.; Curatola, A.; Morello, R.; Valentini, P.; Ferro, V.; D’Andrea, M.L.; Pirozzi, N.; Musolino, A.M. Lung ultrasound findings in pediatric community-acquired pneumonia requiring surgical procedures: A two-center prospective study. Pediatr. Radiol. 2020, 50, 1560–1569. [Google Scholar] [CrossRef] [PubMed]
- Caiulo, V.A.; Gargani, L.; Caiulo, S.; Fisicaro, A.; Moramarco, F.; Latini, G.; Picano, E. Lung ultrasound in bronchiolitis: Comparison with chest X-ray. Eur. J. Pediatr. 2011, 170, 1427–1433. [Google Scholar] [CrossRef] [PubMed]
- Basile, V.; Di Mauro, A.; Scalini, E.; Comes, P.; Lofù, I.; Mostert, M.; Tafuri, S.; Manzionna, M.M. Lung ultrasound: A useful tool in diagnosis and management of bronchiolitis. BMC Pediatr. 2015, 15, 1–8. [Google Scholar] [CrossRef] [PubMed]
- Kader, M.A.; Samra, M.F.A.; Aal, S.M.A.; Shehata, N.; Khalifa, A. The utility of lung ultrasound in evaluation of infants with suspected bronchitis. Egypt. J. Radiol. Nucl. Med. 2016, 47, 1057–1064. [Google Scholar] [CrossRef][Green Version]
- Cohen, J.S.; Hughes, N.; Tat, S.; Chamberlain, J.M.; Teach, S.J.; Boniface, K. The utility of Bedside lung ultrasound findings in bronchiolitis. Pediatr. Emerg. Care 2017, 33, 97–100. [Google Scholar] [CrossRef]
- Taveira, M.; Yousef, N.; Miatello, J.; Roy, C.; Claude, C.; Boutillier, B.; Dubois, C.; Pierre, A.F.; Tissières, P.; Durand, P. Can a simple lung ultrasound score predict length of ventilation for infants with severe acute viral bronchiolitis? Arch. Pediatrie 2018, 25, 112–117. [Google Scholar] [CrossRef]
- Zoido Garrote, E.; García Aparicio, C.; Camila Torrez Villarroel, C.; Pedro Vega García, A.; Muniz Fontán, M.; Oulego Erroz, I. Utilidad de la ecografia pulmonar precoz en bronquiolitis aguda leve-moderada: Estudio piloto. Ann. Pediatr. 2018, 90, 10–18. [Google Scholar] [CrossRef]
- Biagi, C.; Pierantoni, L.; Baldazzi, M.; Greco, L.; Dormi, A.; Dondi, A.; Faldella, G.; Lanari, M. Lung ultrasuoni for diagnosis of pneumonia in children with acute bronchiolitis. BMC Pulm. Med. 2018, 18, 1–10. [Google Scholar] [CrossRef]
- Buonsenso, D.; Supino, M.C.; Giglioni, E.; Battaglia, M.; Mesturino, A.; Scateni, S.; Scialanga, B.; Reale, A.; Musolino, A.M. Point of care diaphragm ultrasound in infants with bronchiolitis: A prospective study. Pediatr. Pulmonol. 2018, 53, 778–786. [Google Scholar] [CrossRef]
- Jaszczołt, S.; Polewczyk, T.; Dołęga-Kozierowska, M.; Woźniak, M.; Doniec, Z. Comparison of lung ultrasound and chest x-ray findings in children with bronchiolitis. J. Ultrason. 2018, 18, 193–197. [Google Scholar] [CrossRef]
- Bueno, M.; Sainz, T.; Alba, M.; Del Rosal, T.; Mendez-Echevarría, A.; Echevarria, R.; Tagarro, A.; Ruperez-Lucas, M.; Herrreros, M.L.; Latorre, L.; et al. Lung ultrasound for prediction of respiratory support in infants with acute bronchiolitis: A cohort study. Pediatr. Pulmonol. 2019, 54, 873–880. [Google Scholar] [CrossRef] [PubMed]
- Özkaya, A.K.; Yilmaz, H.L.; Kendir, Ö.T.; Gökay, S.S.; Eyüboğlu, I. Lung ultrasound findings and bronchiolitis ultrasound score for predicting hospital admission in children with acute bronchiolitis. Pediatr. Emerg. Care 2018, 36, e135–e142. [Google Scholar]
- Supino, M.C.; Buonsenso, D.; Scateni, S.; Scialanga, B.; Mesturino, M.A.; Bock, C.; Chiaretti, A.; Giglioni, E.; Reale, A.; Musolino, A.M. Point-of-care lung ultrasound in infants with bronchiolitis in the pediatric emergency department: A prospective study. Eur. J. Pediatr. 2019, 178, 623–632. [Google Scholar] [CrossRef] [PubMed]
- Ingelse, S.A.; Pisani, L.; Westdorp, M.H.A.; Almakdase, M.; Schultz, M.J.; Woensel, J.B.M.; Bem, R.A. Lung ultrasound scoring in invasive mechanically ventilated children with severe bronchiolitis. Pediatr. Pulmonol. 2020, 55, 2799–2805. [Google Scholar] [CrossRef] [PubMed]
- Ruiz, N.S.S.; Albarrán, I.R.; Gorostiza, I.; Laka, I.G.; Lejonagoitia, C.D.; Samson, F. Point-of-care lung ultrasound in children with bronchiolitis in a pediatric emergency department. Arch. Pédiatrie 2020, 28, 64–68. [Google Scholar] [CrossRef] [PubMed]
- Varshney, T.; Mok, E.; Shapiro, A.J.; Li, P.; Dubrovsky, A.S. Point-of-care lung ultrasound in young children with respiratory tract infections and wheeze. Emerg. Med. J. 2016, 33, 603–610. [Google Scholar] [CrossRef]
- Di Mauro, A.; Ammirabile, A.; Quercia, M.; Panza, R.; Capozza, M.; Manzionna, M.M.; Laforgia, N. Acute Bronchiolitis: Is there a role for lung ultrasound? Diagnostics 2019, 9, 172. [Google Scholar] [CrossRef]
- Jaworska, J.; Komorowska-Piotrowska, A.; Pomiećko, A.; Wiśniewski, J.; Woźniak, M.; Littwin, B.; Kryger, M.; Kwaśniewicz, P.; Szczyrski, J.; Kulińska-Szukalska, K.; et al. Consensus on the application of lung ultrasound in pneumonia and bronchiolitis in children. Diagnostics 2020, 10, 935. [Google Scholar] [CrossRef]
- La Regina, D.P.; Bloise, S.; Pepino, D.; Iovine, E.; Laudisa, M.; Cristiani, L.; Nicolai, A.; Nenna, R.; Mancino, E.; Di Mattia, G.; et al. Lung ultrasound in bronchiolitis. Pediatr. Pulmonol. 2020, 56, 234–239. [Google Scholar] [CrossRef]
- Soldati, G.; Demi, M.; Smargiassi, A.; Inchingolo, R.; Demi, L. The role of ultrasound lung artifacts in the diagnosis of respiratory diseases. Expert Rev. Respir. Med. 2019, 13, 163–172. [Google Scholar] [CrossRef]
- Soldati, G.; Smargiassi, A.; Inchingolo, R.; Sher, S.; Nenna, R.; Valente, S.; Inchingolo, C.D.; Corbo, G.M. Lung ultrasonography may provide an indirect estimation of lung porosity and airspace geometry. Respiration 2014, 88, 458–468. [Google Scholar] [CrossRef]
- Soldati, G.; Smargiassi, A.; Demi, L.; Inchingolo, R. Artifactual lung ultrasonography: It is a matter of traps, order, and disorder. Appl. Sci. 2020, 10, 1570. [Google Scholar] [CrossRef]
- Demi, M.; Buda, N.; Soldati, G. Vertical artifacts in Lung Ultrasonography: Some common clinician questions and the related engineer answers. Diagnostics 2022, 12, 215. [Google Scholar] [CrossRef] [PubMed]
- Soldati, G.; Demi, M.; Inchingolo, R.; Smargiassi, A.; Demi, L. On the physical basis of Pulmonary Sonographic Intersti-tial Syndrome. J. Ultrasound Med. 2016, 35, 2075–2086. [Google Scholar] [CrossRef] [PubMed]
- Demi, M.; Prediletto, R.; Soldati, G.; Demi, L. Physical Mechanisms Providing Clinical Information from Ultrasound Lung Images: Hypotheses and Early Confirmations. IEEE Trans. Ultrason. Ferroelectr. Freq. Control. 2019, 67, 612–623. [Google Scholar] [CrossRef]
- Amendolea, A.; Gori, L.; Adamoli, P.; Limoli, G.; Supino, M.C.; Coco, A.D.; Trobia, G.L.; Tursi, F.; Soldati, G.; Buonsenso, D. Pleuropulmonary ultrasound in pediatrics. J. Ultrasound Med. 2022. [Google Scholar] [CrossRef]
- Volpicelli, G.; Elbarbary, M.; Blaivas, M.; Lichtenstein, D.A.; Mathis, G.; Kirkpatrick, A.W.; Melniker, L.; Gargani, L.; Noble, V.E.; Via, G.; et al. International Liaison Committee on Lung Ultrasound (ILC-LUS) for International Consensus Conference on Lung Ultrasound (ICC-LUS). Intensiv. Care Med. 2012, 38, 577–591. [Google Scholar] [CrossRef]
- De Luca, D. The Promise of Lung Ultrasound to Monitor Evolution of Chronic Respiratory Morbidity in Preterm Infants. Chest 2021, 160, 799–800. [Google Scholar] [CrossRef]
- Colby, T.V. Bronchiolitis: Pathologic considerations. Am. J. Clin. Pathol. 1998, 109, 101–109. [Google Scholar] [CrossRef]
- Mento, F.; Soldati, G.; Prediletto, R.; Demi, M.; Demi, L. Quantitative Lung Ultrasound Spectroscopy Applied to the Diagnosis of Pulmonary Fibrosis: The First Clinical Study. IEEE Trans. Ultrason. Ferroelectr. Freq. Control. 2020, 67, 2265–2273. [Google Scholar] [CrossRef]
- Mongodi, S.; De Luca, D.; Colombo, A.; Stella, A.; Santangelo, E.; Corradi, F.; Gargani, L.; Rovida, S.; Volpicelli, G.; Bouhemad, B.; et al. Quantitative Lung Ultrasound: Technical Aspects and Clinical Applications. Anesthesiology 2021, 134, 949–965. [Google Scholar] [CrossRef] [PubMed]
- Soummer, A.; Perbet, S.; Brisson, H.; Arbelot, C.; Constantin, J.-M.; Lu, Q.; Rouby, J.-J. Ultrasound assessment of lung aeration loss during a successful weaning trial predicts postextubation distress. Crit. Care Med. 2012, 40, 2064–2072. [Google Scholar] [CrossRef] [PubMed]
- Rouby, J.-J.; Arbelot, C.; Brisson, H.; Lu, Q.; Bouhemad, B. Measurement of alveolar recruitment at the bedside: The be-ginning of a new era in respiratory monitoring? Respir. Care 2013, 58, 539–542. [Google Scholar] [CrossRef] [PubMed]
- Buonsenso, D.; Tomà, P.; Pirozzi, N.; Mesturino, A.; Morello, R.; Curatola, A.; Valentini, P.; Dubinsky, T.J.; Musolino, A.M. Lung Ultrasound in Infants With Respiratory Infections: More Important the Age or the Pathogen? Ultrasound Q. 2020, 36, 118–122. [Google Scholar] [CrossRef]
- Buonsenso, D.; Musolino, A.; Ferro, V.; De Rose, C.; Morello, R.; Ventola, C.; Liotti, F.M.; De Sanctis, R.; Chiaretti, A.; Biasucci, D.G.; et al. Role of lung ultrasound for the etiological diagnosis of acute lower respiratory tract infection (ALRTI) in children: A prospective study. J. Ultrasound 2021, 25, 185–197. [Google Scholar] [CrossRef]
- Soldati, G.; Inchingolo, R.; Smargiassi, A.; Sher, S.; Nenna, R.; Inchingolo, C.D.; Valente, S. Ex vivo lung sonography: Morphologic-ultrasound relationship. Ultrasound Med. Biol. 2012, 38, 1169–1179. [Google Scholar] [CrossRef]
- Demi, L.; van Hoeve, W.; van Sloun, R.J.G.; Soldati, G.; Demi, M. Determination of a potential quantitative meas-ure of the state of the lung using lung ultrasound spectroscopy. Sci. Rep. 2017, 7, 12746. [Google Scholar] [CrossRef]
- Buonsenso, D.; Soldati, G.; Curatola, A.; Morello, R.; De Rose, C.; Vacca, M.E.; Lazzareschi, I.; Musolino, A.M.; Valentini, P. Lung Ultrasound Pattern in Healthy Infants During the First 6 Months of Life. J. Ultrasound Med. 2020, 39, 2379–2388. [Google Scholar] [CrossRef]
- Demi, M. The impact of multiple concurrent factors on the length of the ultrasound pulmonary vertical artifacts as illustrated through the experimental and numerical analysis of simple models. J. Acoust. Soc. Am. 2021, 150, 2106–2115. [Google Scholar] [CrossRef]





| MILD | MODERATE | SEVERE | |
|---|---|---|---|
| RESPIRATORY RATE | Normal or slightly increased | Increased | Significantly increased. |
| RESPIRATORY WORK | Slight retractions of the chest wall | Modest retractions of the chest wall Sway of the head (nodding) Breath of the nasal fins | Significant retractions of the chest wall Grunting Breath of the nasal fins |
| SATURATION OF OXYGEN | O2 supplementation not required SatO2 > 95% | SatO2 90–95% | SatO2 < 90% No response to O2 |
| FEEDING | Normal or slightly reduced | 50–75% of normal food intake | <50% of normal food intake Inability to feed |
| APNEA | Absent | Brief episodes | Episodes on the rise |
| All (n = 233) | Bronchiolitis Mild (n = 160) | Bronchiolitis Moderate/Severe (n = 73) | p Value | |
|---|---|---|---|---|
| Characteristics | ||||
| Age, days (SD) | 109.3 (±86.1) | 122.7 (±92.1) | 80 (±62.3) | 0.001 |
| Sex | 0.019 | |||
| Female, n° (%) | 93 (39.9%) | 72 (45%) | 21 (28.8%) | |
| Male, n° (%) | 140 (60.1%) | 88 (55%) | 52 (71.2%) | |
| Prematurity (n = 230) | ||||
| Yes, n° (%) | 20 (8.7%) | 11 (7.0%) | 9 (12.3%) | 0.182 |
| History of difficulty in feeding (n = 228) | ||||
| Yes, n° (%) | 151 (66.2%) | 92 (59.4%) | 59 (80.8%) | 0.001 |
| * Home therapy before hospital admission for three days (n = 231) | ||||
| Yes, n° (%) | 117 (50.6%) | 85 (53.8%) | 32 (43.8%) | 0.159 |
| Rhinorrhea (n = 231) | ||||
| Yes, n° (%) | 227 (98.3%) | 156 (98.7%) | 71 (97.3%) | 0.425 |
| Crackling noises on physical examination (n = 230) | ||||
| Yes, n° (%) | 198 (86.1) | 134 (84.8%) | 64 (88.9%) | 0.407 |
| Wheezing (n = 230) | ||||
| Yes, n° (%) | 154 (67%) | 107 (67.7%) | 47 (65.3%) | 0.715 |
| Fever (n = 231) | ||||
| Yes, n° (%) | 83 (35.9%) | 52 (32.9%) | 31 (42.5%) | 0.159 |
| Intercostal retractions (n = 231) | ||||
| Yes, n° (%) | 164 (71%) | 96 (60.8%) | 68 (93.2%) | 0.001 |
| Increased Respiratory Rate (n = 230) | ||||
| Under 50 breath/min, n° (%) | 75 (32.6%) | 35 (22.3%) | 40 (54.8%) | 0.001 |
| Between 51–60 breath/min, n° (%) | 106 (46.1%) | 95 (60.5%) | 11 (15.1%) | |
| Above 61, breath/min | 49 (21.3%) | 27 (17.2%) | 22 (30.1%) | |
| Oxygen saturation (n = 229) | ||||
| Under 92% in aa, n° (%) | 39 (17%) | 10 (6.4%) | 29 (39.7%) | 0.001 |
| Between 93–95% in aa, n° (%) | 45 (19.7%) | 17 (10.9%) | 28 (38.4%) | |
| Above 95% in aa, n° (%) | 145 (63.3%) | 129 (82.7%) | 16 (21.9%) | |
| RSV (n = 216) | ||||
| Positive, n° (%) | 126 (58.3%) | 73 (51.0%) | 53 (72.6%) | 0.002 |
| Chest X-ray (n = 228) | ||||
| No, n° (%) | 160 (70.2%) | |||
| Yes, n° (%) | 68 (29.8%) | 29 (18.7%) | 39 (53.4%) | 0.001 |
| Hospitalization | ||||
| Yes, n° (%) | 192 (82.4%) | 119 (74.4%) | 73 (100.0%) | 0.001 |
| HFNC (n = 225) | ||||
| Yes, n° (%) | 50 (22.2%) | 16 (10.5%) | 34 (47.2%) | <0.001 |
| nCPAP (n = 225) | ||||
| Yes, n° (%) | 5 (2.2%) | 0 (0%) | 5 (6.9%) | 0.001 |
| LUNG ULTRASOUND MODELS | All Cases (n = 233) | Mild Bronchiolitis (n = 160) | Moderate/ Severe Bronchiolitis (n = 73) | p Values | |
|---|---|---|---|---|---|
| Ultrasound positive vs. negative | Ultrasound positive, n° (%) | 182 (78.1) | 115 (71.9) | 67 (91.8) | 0.001 |
| Ultrasound negative, n° (%) | 51 (21.9) | 45 (28.1) | 6 (8.2) | ||
| Qualitative result ultrasound | Normal, n° (%) | 51 (21.9) | 45 (28.1) | 6 (8.2) | 0.001 |
| Interstitial, n° (%) | 17 (7.3) | 14 (8.8) | 3 (4.1) | ||
| Consolidative, n° (%) | 57 (24.5) | 39 (24.4) | 18 (24.7) | ||
| Mixed n° (%) | 108 (46.4) | 62 (38.8) | 46 (63) | ||
| Score, mean (SD) | 9.4 (5.2) | 7.9 (4.3) | 12.8 (5.6) | 0.001 | |
| Score cut off > 9, n (%) | 105 (45.1%) | 49 (30.6%) | 56 (76.7%) | 0.001 | |
| Lung fields number, mean (SD) | 2.2 (1.8) | 1.7 (1.6) | 3.3 (1.9) | 0.001 | |
| Early involvement of the paravertebral field on LUS | No, n° (%) | 80 (34.3%) | 69 (43.1%) | 11 (15.1%) | <0.001 |
| Yes, n° (%) | 153 (65.7%) | 91 (56.9%) | 62 (84.9%) |
| Model | Variables in the Model | OR | 95% CI | p Value | ||
|---|---|---|---|---|---|---|
| Univariate models | Positive ultrasound | Yes | 4.370 | 1.770 | 10.785 | 0.001 |
| No | 1 | |||||
| Ultrasound result | Interstitial | 1.607 | 0.355 | 7.276 | 0.538 | |
| Consolidative | 3.462 | 1.250 | 9.586 | 0.017 | ||
| Mixed | 5.565 | 2.188 | 14.150 | <0.001 | ||
| Normal | 1 | |||||
| Score | 1.226 | 1.146 | 1.311 | <0.001 | ||
| Score > 9 | Yes | 7.462 | 3.941 | 14.129 | <0.001 | |
| No | 1 | |||||
| MULTIVARIATE ANALYSES USING DIFFERENT LUS MODELS Multivariate models | MULTIVARIATE MODELS BASED ON QUALITATIVE LUS (positive vs. negative) without or with other LUS variables (Early involvement of paravertebral lung fields and extension) | |||||
| Positive ultrasound | Yes | 0.699 | 0.180 | 2.721 | 0.605 | |
| No | 1 | |||||
| Early involvement of paravertebral lung fields | Yes | 1.622 | 0.548 | 4.801 | 0.383 | |
| No | 1 | |||||
| Number of fields involved | 1.615 | 1.279 | 2.039 | 0.000 | ||
| MULTIVARIATE MODELS BASED ON QUALITATIVE LUS (type of lung disease) without or with other LUS variables (Early involvement of paravertebral lung fields and extension) | ||||||
| Ultrasound result | Interstizial | 0.470 | 0.078 | 2.846 | 0.411 | |
| Consolidative | 0.770 | 0.193 | 3.066 | 0.710 | ||
| Mixed | 0.691 | 0.156 | 3.067 | 0.627 | ||
| Normal | 1 | |||||
| Early involvement of lung fields | Yes | 1.711 | 0.569 | 5.144 | 0.339 | |
| No | 1 | |||||
| Number of fields involved | 1.594 | 1.239 | 2.050 | <0.001 | ||
| MULTIVARIATE MODELS BASED ON QUANTITATIVE LUS (mean score) without or with other LUS variables (Early involvement of paravertebral lung fields and extension) | ||||||
| Score | 1.213 | 1.120 | 1.313 | <0.001 | ||
| Early involvement of lung fields | Yes | 1.241 | 0.515 | 2.992 | 0.630 | |
| No | 1 | |||||
| MULTIVARIATE MODELS BASED ON QUANTITATIVE LUS (score > 9) without or with other LUS variables (Early involvement of paravertebral lung fields and extension) | ||||||
| Score > 9 | Yes | 4.224 | 1.590 | 11.223 | 0.004 | |
| No | 1 | |||||
| Early involvement of lung fields | Yes | 1.043 | 0.397 | 2.739 | 0.932 | |
| No | 1 | |||||
| Number of fields involved | 1.220 | 0.928 | 1.604 | 0.155 | ||
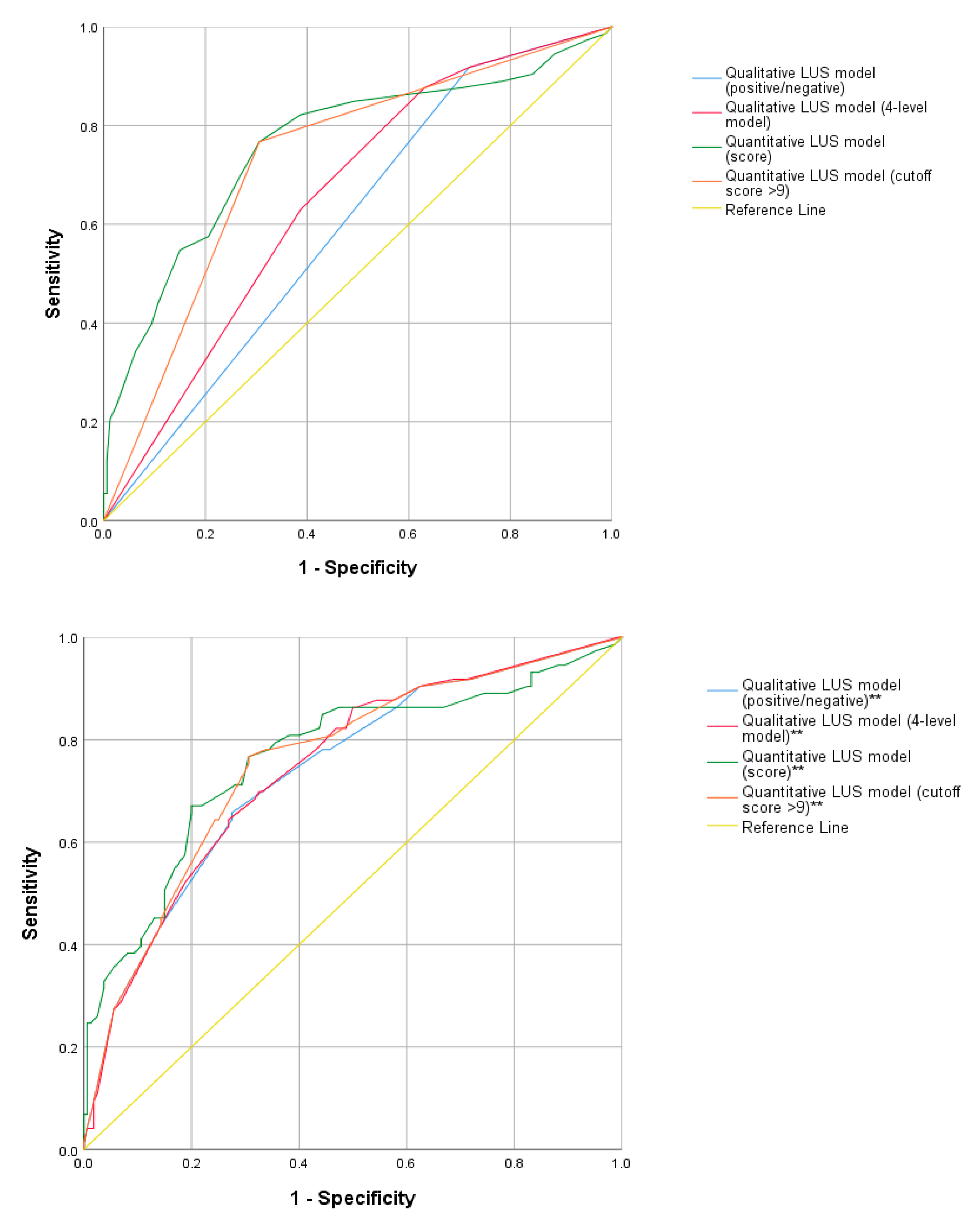
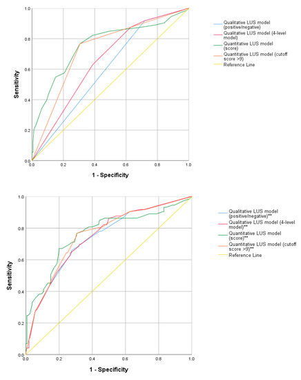
| Model | AUC | p Value | 95% CI | Sensitivity | 95% CI | Specificity | 95% CI | LR + | 95% CI | LR − | 95% CI | ||||||
|---|---|---|---|---|---|---|---|---|---|---|---|---|---|---|---|---|---|
| Univariate models | Positive ultrasound | 0.600 | 0.015 | 0.52 | 0.67 | 0.918 | 0.838 | 0.965 | 0.281 | 0.216 | 0.354 | 1.3 | 1.1 | 1.4 | 0.3 | 0.1 | 0.7 |
| Ultrasound 4 level | 0.654 | <0.001 | 0.58 | 0.72 | 0.877 | 0.787 | 0.937 | 0.369 | 0.297 | 0.445 | 1.4 | 1.2 | 1.6 | 0.3 | 0.2 | 0.6 | |
| Score | 0.761 | <0.001 | 0.68 | 0.83 | 0.767 | 0.661 | 0.852 | 0.694 | 0.619 | 0.761 | 2.5 | 1.9 | 3.3 | 0.3 | 0.2 | 0.5 | |
| Score > 9 | 0.730 | <0.001 | 0.66 | 0.80 | 0.767 | 0.661 | 0.852 | 0.694 | 0.619 | 0.761 | 2.5 | 1.9 | 3.3 | 0.3 | 0.2 | 0.5 | |
| Multivariate models | Positive Ultrasound | 0.738 | <0.001 | 0.66 | 0.80 | 0.658 | 0.544 | 0.759 | 0.725 | 0.652 | 0.790 | 2.4 | 1.8 | 3.2 | 0.5 | 0.3 | 0.7 |
| Ultrasound 4 level | 0.743 | <0.001 | 0.67 | 0.81 | 0.644 | 0.530 | 0.746 | 0.731 | 0.659 | 0.795 | 2.4 | 1.8 | 3.3 | 0.5 | 0.4 | 0.7 | |
| Score | 0.762 | <0.001 | 0.69 | 0.83 | 0.767 | 0.661 | 0.852 | 0.700 | 0.626 | 0.767 | 2.6 | 2.0 | 3.3 | 0.3 | 0.2 | 0.5 | |
| Score > 9 | 0.755 | <0.001 | 0.68 | 0.82 | 0.767 | 0.661 | 0.852 | 0.694 | 0.619 | 0.761 | 2.5 | 1.9 | 3.3 | 0.3 | 0.2 | 0.5 | |
| TO | T1 | T2 | T3 | p Value | |||||||||||
|---|---|---|---|---|---|---|---|---|---|---|---|---|---|---|---|
| CASES (n = 185) | Mild Bronchilitis (n = 129),69.7% | Moderate/Severe Bronchiolitis (n = 56), 30.3% | CASI (n = 185) | Mild bronchilitis (n = 136), 73.5% | Moderate/severe Bronchiolitis (n = 49), 26.5% | CASES (n = 185) | Mild Bronchiolitis (n = 152), 82.2% | Moderate/Severe Bronchiolitis (n = 33), 17.8% | CASES (n = 185) | Mild bronchilitis (n = 177), 95.7% | Moderate/severe Bronchiolitis (n = 8), 4.3% | ||||
| LUNG ULTRASOUND MODELS LUS MODELS | LUS + | 148 (80%) | 95 (73.6%) | 53 (94.6%) | 148 (80%) | 100 (73.5%) | 48 (98%) | 142 (76.8%) | 109 (71.7%) | 33 (100%) | 98 (53%) | 91 (51.4%) | 7 (87.5%) | <0.001 | |
| LUS PATTERNS | NORMAL | 37 (20%) | 34 (26.4%) | 3 (5.4%) | 37 (20%) | 36 (26.5%) | 1 (2.0%) | 43 (23.2%) | 43 (28.3%) | 0 | 87 (47%) | 86 (48.6%) | 1 (12.5%) | <0.001 | |
| INTESTITIAL | 14 (7.6%) | 12 (9.3%) | 2 (3.6%) | 16 (8.6%) | 15 (11%) | 1 (2%) | 19 (10.3%) | 15 (9.9%) | 4 (12.1%) | 20 (10.8%) | 18 (10.2 %) | 2 (25%) | |||
| CONSOLIDATIVE | 46 (24.9%) | 32 (24.8%) | 14 (25.0%) | 40 (21.6%) | 28 (20.6%) | 12 (24.5%) | 44 (23.8%) | 37 (24.3%) | 7 (21.2%) | 43 (23.2%) | 40 (22.6%) | 3 (37.5%) | |||
| MIXED | 88 (47.6%) | 51 (39.5%) | 37 (66.1%) | 92 (49.7%) | 57 (41.9%) | 35 (71.4%) | 79 (0.427%) | 57 (0.375%) | 22 (0.667%) | 35 (0.189%) | 33 (0.186) | 2 (0.25%) | |||
| SCORE, mean ± SD | 9.5 ± 5.2 | 8.0 ± 4.4 | 13.2 ± 5.0 | 10.0 ± 5.9 | 8.3 ± 5.1 | 14.8 ± 5.7 | 8.8 ± 5.1 | 7.7 ± 4.6 | 13.6 ± 4.5 | 6.2 ± 4.5 | 6.0 ± 4.4 | 10.5 ± 5.8 | <0.001 | ||
| Score > 9 | 85 (45.9%) | 39 (30.2%) | 46 (82.1%) | 93 (50.3%) | 52 (38.2%) | 41 (83.7%) | 72 (38.9%) | 45 (29.6%) | 27 (81.8%) | 40 (21.6%) | 35 (19.8%) | 5 (62.5%) | <0.001 | ||
| Extension ± SD | 2.3 ± 1.8 | 1.8 ± 1.6 | 3.4 ± 1.8 | 2.5 ± 2.0 | 1.9 ± 1.8 | 4.1 ± 1.8 | 2.1 ± 1.8 | 1.8 ± 1.6 | 3.6 ± 1.6 | 1.2 ± 1.5 | 1.1 ± 1.4 | 2.9 ± 2.0 | <0.001 | ||
Publisher’s Note: MDPI stays neutral with regard to jurisdictional claims in published maps and institutional affiliations. |
© 2022 by the authors. Licensee MDPI, Basel, Switzerland. This article is an open access article distributed under the terms and conditions of the Creative Commons Attribution (CC BY) license (https://creativecommons.org/licenses/by/4.0/).
Share and Cite
Gori, L.; Amendolea, A.; Buonsenso, D.; Salvadori, S.; Supino, M.C.; Musolino, A.M.; Adamoli, P.; Coco, A.D.; Trobia, G.L.; Biagi, C.; et al. Prognostic Role of Lung Ultrasound in Children with Bronchiolitis: Multicentric Prospective Study. J. Clin. Med. 2022, 11, 4233. https://doi.org/10.3390/jcm11144233
Gori L, Amendolea A, Buonsenso D, Salvadori S, Supino MC, Musolino AM, Adamoli P, Coco AD, Trobia GL, Biagi C, et al. Prognostic Role of Lung Ultrasound in Children with Bronchiolitis: Multicentric Prospective Study. Journal of Clinical Medicine. 2022; 11(14):4233. https://doi.org/10.3390/jcm11144233
Chicago/Turabian StyleGori, Laura, Antonella Amendolea, Danilo Buonsenso, Stefano Salvadori, Maria Chiara Supino, Anna Maria Musolino, Paolo Adamoli, Alfina Domenica Coco, Gian Luca Trobia, Carlotta Biagi, and et al. 2022. "Prognostic Role of Lung Ultrasound in Children with Bronchiolitis: Multicentric Prospective Study" Journal of Clinical Medicine 11, no. 14: 4233. https://doi.org/10.3390/jcm11144233
APA StyleGori, L., Amendolea, A., Buonsenso, D., Salvadori, S., Supino, M. C., Musolino, A. M., Adamoli, P., Coco, A. D., Trobia, G. L., Biagi, C., Lucherini, M., Leonardi, A., Limoli, G., Giampietri, M., Sciacca, T. V., Morello, R., Tursi, F., Soldati, G., & Ecobron Group. (2022). Prognostic Role of Lung Ultrasound in Children with Bronchiolitis: Multicentric Prospective Study. Journal of Clinical Medicine, 11(14), 4233. https://doi.org/10.3390/jcm11144233

