Bone Density May Be a Promising Predictor for Blood Loss during Total Hip Arthroplasty
Abstract
:1. Introduction
2. Patients and Methods
2.1. Patients
2.2. General and Biomedical Characteristics
2.3. Surgical Procedure
2.4. Statistical Analysis
3. Results
3.1. General Characteristics
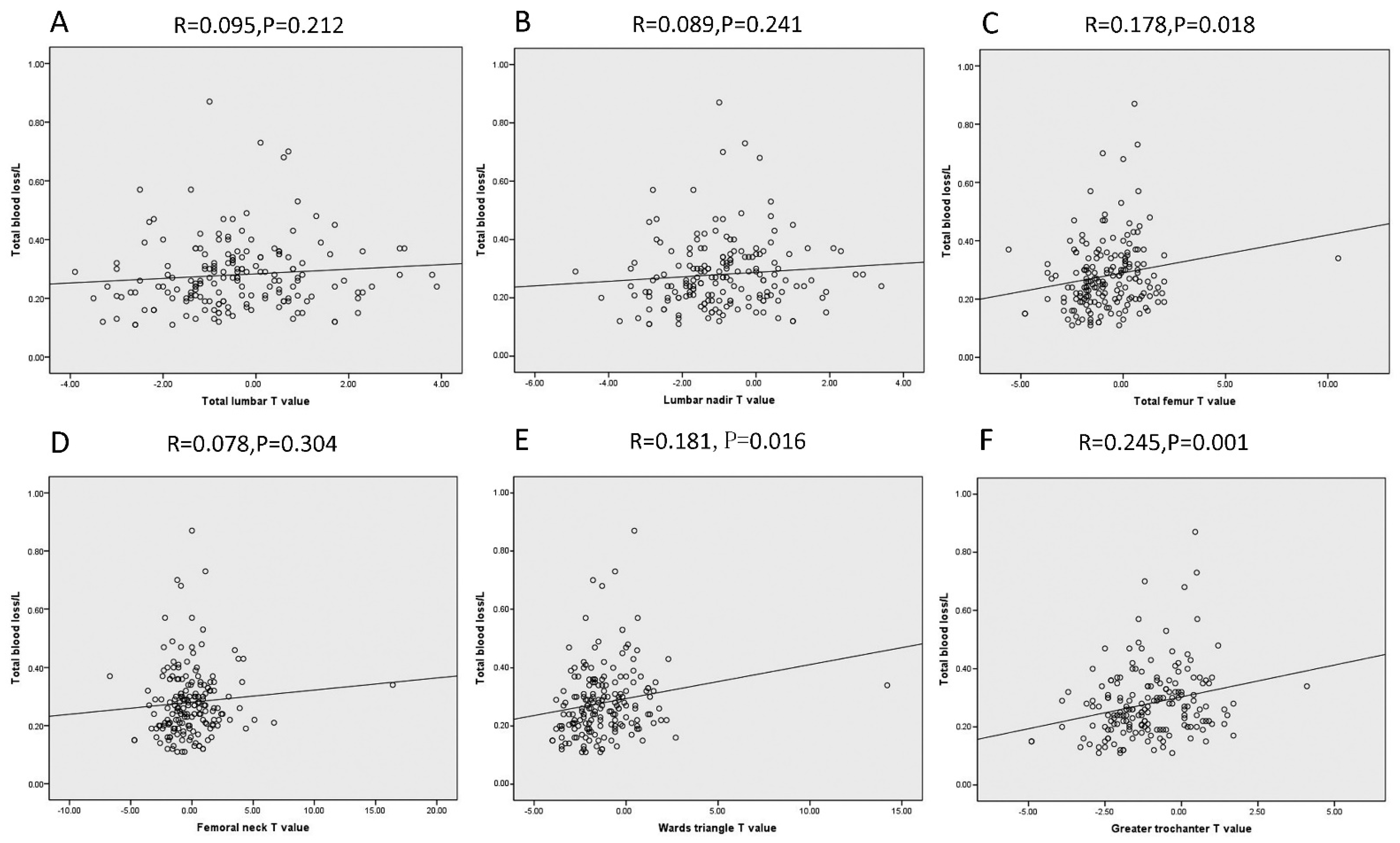
3.2. The Association between Bone Mineral Density and Blood Loss Volume
3.3. Bone Mineral Density Predicts Blood Loss
4. Discussion
5. Conclusions
Author Contributions
Funding
Institutional Review Board Statement
Informed Consent Statement
Data Availability Statement
Conflicts of Interest
References
- Callaghan, J.J.; O”Rourke, M.R.; Liu, S.S. Blood management: Issues and options. J. Arthroplast. 2005, 20, 51–54. [Google Scholar] [CrossRef] [PubMed]
- Saleh, A.; Small, T.J.; Pillai, A.L.P.C.; Schiltz, N.; Barsoum, W.K. Allogenic blood transfusion following total hip arthroplasty: Results from the nationwide inpatient sample, 2000 to 2009. J. Bone Jt. Surg. Am. Vol. 2014, 96, e155. [Google Scholar] [CrossRef] [Green Version]
- Hart, A.; Khalil, J.A.; Carli, A.; Huk, O.; Antoniou, J. Blood Transfusion in Primary Total Hip and Knee Arthroplasty. Incidence, Risk Factors, and Thirty-Day Complication Rates. J. Bone Jt. Surg. Am. Vol. 2014, 96, 1945–1951. [Google Scholar] [CrossRef] [PubMed]
- Hogshire, L.; Carson, J. Red blood cell transfusion: What is the evidence when to transfuse? Curr. Opin. Hematol. 2013, 20, 546–551. [Google Scholar] [CrossRef] [PubMed]
- Aditya, K.; Aggarwal, M.S.; Orth, D.O.; Orth, D.; Orth, K.J.M. Letter to the Editor on “In the Era of Tranexamic Acid, Are Type and Screens for Primary Total Joint Arthroplasty Obsolete?”. J. Arthroplast. 2020, 36, e36–e37. [Google Scholar]
- Avery, P.; Morton, S.; Tucker, H.; Green, L.; Weaver, A.; Davenport, R. Whole blood transfusion versus component therapy in adult trauma patients with acute major haemorrhage. Emerg. Med. J. EMJ 2020, 37, 370–378. [Google Scholar] [CrossRef]
- Kopolovic, I.; Ostro, J.; Tsubota, H.; Lin, Y.; Cserti-Gazdewich, C.M.; Messner, H.A.; Keir, A.K.; DenHollander, N.; Dzik, W.S.; Callum, J. A systematic review of transfusion-associated graft-versus-host disease. Blood 2015, 126, 406–414. [Google Scholar] [CrossRef] [Green Version]
- Alassaf, N.; Reitsma, J.B. Development of a prediction model for allogenic blood transfusion in children undergoing surgery for developmental dysplasia of the hip. Technol. Health Care 2019, 27, 327–334. [Google Scholar] [CrossRef]
- Komnos, G.A.; Manrique, J.; Foltz, C.; Klement, M.R.; Restrepo, C.; Parvizi, J. Transfusion Rates in Total Hip Arthroplasty Are lower in Patients with Direct Anterior Approach. Arch. Bone Jt. Surg. 2021, 9, 659–664. [Google Scholar]
- Sun, X.; Zhao, X.; Zhou, L.; Su, Z. Direct anterior approach versus posterolateral approach in total hip arthroplasty: A meta-analysis of results on early post-operative period. J. Orthop. Surg Res. 2021, 16, 69. [Google Scholar] [CrossRef]
- Pesce, V.; Maccagnano, G.; Vicenti, G.; Notarnicola, A.; Moretti, L.; Tafuri, S.; Vanni, D.; Salini, V.; Moretti, B. The effect of hydroxyapatite coated screw in the lateral fragility fractures of the femur. A prospective randomized clinical study. J. Biol. Regul. Homeost. Agents. 2014, 28, 125–132. [Google Scholar] [PubMed]
- Armas, L.A.; Recker, R.R. Pathophysiology of osteoporosis: New mechanistic insights. Endocrinol. Metab. Clin. 2012, 41, 475–486. [Google Scholar] [CrossRef] [PubMed]
- Piscitelli, P.; Iolascon, G.; Innocenti, M.; Civinini, R.; Brandi, M.L. Painful prosthesis: Approaching the patient with persistent pain following total hip and knee arthroplasty. Clin. Cases Miner. Bone Metab. 2013, 10, 97–110. [Google Scholar]
- Zhang, C.; Fan, H.W.; Yi, W.W.; Zheng, Z.Q. Hidden Blood Loss and Its Influential Factors after Laparoscopy-Assisted Gastrectomy for Gastric Cancer. J. Laparoendosc. Adv. Surg. Tech. Part A 2018, 28, 237–241. [Google Scholar] [CrossRef] [PubMed]
- Fillingham, Y.A.; Ramkumar, D.B.; Jevsevar, D.S.; Yates, A.J.; Shores, P.; Mullen, K.; Bini, S.A.; Clarke, H.D.; Schemitsch, E.; Johnson, R.L. The Efficacy of Tranexamic Acid in Total Hip Arthroplasty: A Network Meta-Analysis. J. Arthroplast. 2018, 33, 3083–3089. [Google Scholar] [CrossRef]
- Na, H.S.; Shin, H.J.; Do, S.H. FIBTEM provides prediction of massive bleeding in total hip replacement arthroplasty. Blood Coagul. Fibrinolysis Int. J. Haemost. Thromb. 2016, 27, 340–346. [Google Scholar] [CrossRef]
- Polanco-García, M.; Capielo, A.M.; Miret, X.; Chamero, A.; Sainz, J.; Revilla, E.; Guinjoan, A.; Arranz, T. Effectiveness of a patient blood management protocol on reduction of allogeneic red blood cell transfusions in orthopedic surgery. Med. Clin. 2019, 152, 90–97. [Google Scholar] [CrossRef]
- Dawson, D.; Milligan, D.; Callachand, F.; Cusick, L. Hip Hemi-Arthroplasty vs Total Hip Replacement for Displaced Intra-Capsular Hip Fractures: Retrospective Age and Sex Matched Cohort Study. Ulst. Med. J. 2018, 87, 17–21. [Google Scholar]
- Belay, E.S.; Penrose, C.T.; Ryan, S.P.; Bergen, M.A.; Bolognesi, M.P.; Seyler, T.M. Perioperative Selective Serotonin Reuptake Inhibitor Use Is Associated with an Increased Risk of Transfusion in Total Hip and Knee Arthroplasty. J. Arthroplast. 2019, 34, 2898–2902. [Google Scholar] [CrossRef]
- Dao, P.; Massin, P. Blood management in enhanced recovery after hip and knee replacement. Orthop. Traumatol. Surg. Res. OTSR 2020, 106, S1–S5. [Google Scholar] [CrossRef]
- Wan, S.; Sparring, V.; Cabrales, D.A.; Jansson, K.; Wikman, A. Clinical and Budget Impact of Treating Preoperative Anemia in Major Orthopedic Surgery-A Retrospective Observational Study. J. Arthroplast. 2020, 35, 3084–3088. [Google Scholar] [CrossRef] [PubMed]
- Rudasill, S.E.; Liu, J.; Kamath, A.F. Revisiting the International Normalized Ratio (INR) Threshold for Complications in Primary Total Knee Arthroplasty. JBJS 2019, 101, 514–522. [Google Scholar] [CrossRef] [PubMed]
- Shin, H.J.; Min, B.H.; Na, H.S. FIBTEM as a predictor of intra- and postoperative blood loss in revision total hip arthroplasty: A prospective observational study. Medicine 2018, 97, e10929. [Google Scholar] [CrossRef] [PubMed]
- Zietek, P. Evaluation of selected factors modifying blood loss after total hip arthroplasty and techniques for the prevention of protracted postoperative bleeding. Ann. Acad. Med. Stetin. 2003, 49, 259–275. [Google Scholar]
- Quintero, J.I.; Cárdenas, L.L.; Navas, M.; Bautista, M.P.; Bonilla, G.A.; Llinás, A.M. Primary Joint Arthroplasty Surgery: Is the Risk of Major Bleeding Higher in Elderly Patients? A Retrospective Cohort Study. J. Arthroplast. 2016, 31, 2264–2268. [Google Scholar] [CrossRef] [PubMed]




| Sum (n = 176) | Male (n = 59) | Female (n = 117) | p Value | |
|---|---|---|---|---|
| Age (years) | 54.7 ± 15.77 | 53.05 ± 17.28 | 55.54 ± 14.97 | 0.325 |
| BMI (kg/m2) | 24.123 ± 4.168 | 24.64 ± 4.21 | 23.86 ± 4.14 | 0.24 |
| Blood loss volume(mL) | 280.1 ± 119.56 | 328.1 ± 150.76 | 255.9 ± 91.85 | 0.001 |
| T value (Total femoral) | −0.779 ± 1.645 | −0.289 ± 1.076 | −1.026 ± 1.823 | 0.001 |
| T value (Femoral neck) | −0.158 ± 2.238 | 0.263 ± 1.651 | −0.365 ± 2.463 | 0.084 |
| T value (Wards triangle) | −1.221 ± 1.855 | −0.774 ± 1.432 | −1.447 ± 2.004 | 0.023 |
| T value (Greater trochanter) | −1.043 ± 1.341 | −0.564 ± 1.115 | −1.285 ± 1.383 | 0.001 |
| T value (Total lumbar) | −0.429 ± 1.446 | −0.124 ± 1.465 | −0.567 ± 1.412 | 0.046 |
| T value (Lumbar nadir) | −0.943 ± 1.382 | −0.554 ± 1.415 | −1.139 ± 1.329 | 0.008 |
| All Subjects (n = 176) | ||||
|---|---|---|---|---|
| β Value | Std β Value | T Value | p Value | |
| T value (greater trochanter) | 0.026 | 0.0105 | 2.47 | 0.015 |
| T value (femoral neck) | −0.0127 | −0.00734 | −1.74 | 0.085 |
| T value (Ward’s triangle) | 0.00977 | 0.0102 | 0.96 | 0.339 |
| T value (Total lumbar) | 0.032 | 0.022 | 1.41 | 0.161 |
| T value (Lumbar nadir) | −0.039 | 0.024 | −1.61 | 0.109 |
| BMI (kg/m2) | −0.00311 | 0.00214 | −1.45 | 0.148 |
| Sex | 0.0604 | 0.0189 | 3.2 | 0.002 |
| A blood type OR not | −0.0872 | 0.114 | −0.77 | 0.444 |
| B blood type OR not | −0.0395 | 0.115 | −0.34 | 0.732 |
| O blood type OR not | −0.048 | 0.113 | −0.42 | 0.672 |
Publisher’s Note: MDPI stays neutral with regard to jurisdictional claims in published maps and institutional affiliations. |
© 2022 by the authors. Licensee MDPI, Basel, Switzerland. This article is an open access article distributed under the terms and conditions of the Creative Commons Attribution (CC BY) license (https://creativecommons.org/licenses/by/4.0/).
Share and Cite
Zhu, W.; Wei, Z.; Zhou, T.; Han, C.; Lv, Z.; Wang, H.; Feng, B.; Weng, X. Bone Density May Be a Promising Predictor for Blood Loss during Total Hip Arthroplasty. J. Clin. Med. 2022, 11, 3951. https://doi.org/10.3390/jcm11143951
Zhu W, Wei Z, Zhou T, Han C, Lv Z, Wang H, Feng B, Weng X. Bone Density May Be a Promising Predictor for Blood Loss during Total Hip Arthroplasty. Journal of Clinical Medicine. 2022; 11(14):3951. https://doi.org/10.3390/jcm11143951
Chicago/Turabian StyleZhu, Wei, Zhanqi Wei, Tianjun Zhou, Chang Han, Zehui Lv, Han Wang, Bin Feng, and Xisheng Weng. 2022. "Bone Density May Be a Promising Predictor for Blood Loss during Total Hip Arthroplasty" Journal of Clinical Medicine 11, no. 14: 3951. https://doi.org/10.3390/jcm11143951
APA StyleZhu, W., Wei, Z., Zhou, T., Han, C., Lv, Z., Wang, H., Feng, B., & Weng, X. (2022). Bone Density May Be a Promising Predictor for Blood Loss during Total Hip Arthroplasty. Journal of Clinical Medicine, 11(14), 3951. https://doi.org/10.3390/jcm11143951

