Plasma Endothelial and Oxidative Stress Biomarkers Associated with Late Mortality in Hospitalized COVID-19 Patients
Abstract
1. Introduction
2. Materials and Methods
2.1. Endothelium and Oxidative Stress Biomarkers
2.2. Statistical Analysis
3. Results
4. Discussion
5. Strength and Limitations of the Study
6. Conclusions
Author Contributions
Funding
Institutional Review Board Statement
Informed Consent Statement
Data Availability Statement
Acknowledgments
Conflicts of Interest
References
- Huertas, A.; Montani, D.; Savale, L.; Pichon, J.; Tu, L.; Parent, F.; Guignabert, C.; Humbert, M. Endothelial cell dysfunction: A major player in SARS-CoV-2 infection (COVID-19)? Eur. Respir. J. 2020, 56, 2001634. [Google Scholar] [CrossRef] [PubMed]
- Kumar, A.; Singh, R.; Kaur, J.; Pandey, S.; Sharma, V.; Thakur, L.; Sati, S.; Mani, S.; Asthana, S.; Sharma, T.K.; et al. Wuhan to World: The COVID-19 Pandemic. Front. Cell. Infect. Microbiol. 2021, 11, 596201. [Google Scholar] [CrossRef] [PubMed]
- Tufan, A.; Avanoğlu Güler, A.; Matucci-Cerinic, M. COVID-19, immune system response, hyperinflammation and repurposing antirheumatic drugs. Turk. J. Med. Sci. 2020, 50, 620–632. [Google Scholar] [CrossRef] [PubMed]
- Salamanna, F.; Maglio, M.; Landini, M.P.; Fini, M. Body Localization of ACE-2: On the Trail of the Keyhole of SARS-CoV-2. Front. Med. 2020, 7, 594495. [Google Scholar] [CrossRef]
- Mori, Y.; Fink, C.; Ichimura, T.; Sako, K.; Mori, M.; Lee, N.N.; Aschauer, P.; Padmanabha Das, K.M.; Hong, S.; Song, M.; et al. KIM-1/TIM-1 is a Receptor for SARS-CoV-2 in Lung and Kidney. medRxiv 2022. [Google Scholar] [CrossRef]
- D’Amico, F.; Baumgart, D.C.; Danese, S.; Peyrin-Biroulet, L. Diarrhea During COVID-19 Infection: Pathogenesis, Epidemiology, Prevention, and Management. Clin. Gastroenterol. Hepatol. Off. Clin. Pract. J. Am. Gastroenterol. Assoc. 2020, 18, 1663–1672. [Google Scholar] [CrossRef]
- Aktas, B.; Aslim, B. Gut-lung axis and dysbiosis in COVID-19. Turk. J. Biol. Turk Biyol. Derg. 2020, 44, 265–272. [Google Scholar] [CrossRef]
- Mokhtari, T.; Hassani, F.; Ghaffari, N.; Ebrahimi, B.; Yarahmadi, A.; Hassanzadeh, G. COVID-19 and multiorgan failure: A narrative review on potential mechanisms. J. Mol. Histol. 2020, 51, 613–628. [Google Scholar] [CrossRef]
- Shah, M.D.; Sumeh, A.S.; Sheraz, M.; Kavitha, M.S.; Venmathi Maran, B.A.; Rodrigues, K.F. A mini-review on the impact of COVID 19 on vital organs. Biomed. Pharmacother. 2021, 143, 112158. [Google Scholar] [CrossRef]
- Nägele, M.P.; Haubner, B.; Tanner, F.C.; Ruschitzka, F.; Flammer, A.J. Endothelial dysfunction in COVID-19: Current findings and therapeutic implications. Atherosclerosis 2020, 314, 58–62. [Google Scholar] [CrossRef]
- Prasad, M.; Leon, M.; Lerman, L.O.; Lerman, A. Viral Endothelial Dysfunction: A Unifying Mechanism for COVID-19. Mayo Clin. Proc. 2021, 96, 3099–3108. [Google Scholar] [CrossRef] [PubMed]
- Ackermann, M.; Verleden, S.E.; Kuehnel, M.; Haverich, A.; Welte, T.; Laenger, F.; Vanstapel, A.; Werlein, C.; Stark, H.; Tzankov, A.; et al. Pulmonary Vascular Endothelialitis, Thrombosis, and Angiogenesis in Covid-19. N. Engl. J. Med. 2020, 383, 120–128. [Google Scholar] [CrossRef] [PubMed]
- Ince, C.; Mayeux, P.R.; Nguyen, T.; Gomez, H.; Kellum, J.A.; Ospina-Tascón, G.A.; Hernandez, G.; Murray, P.; De Backer, D. The endothelium in sepsis. Shock 2016, 45, 259–270. [Google Scholar] [CrossRef] [PubMed]
- Zhang, J.; Tecson, K.M.; McCullough, P.A. Endothelial dysfunction contributes to COVID-19-associated vascular inflammation and coagulopathy. Rev. Cardiovasc. Med. 2020, 21, 315–319. [Google Scholar] [CrossRef]
- Vieceli Dalla Sega, F.; Fortini, F.; Spadaro, S.; Ronzoni, L.; Zucchetti, O.; Manfrini, M.; Mikus, E.; Fogagnolo, A.; Torsani, F.; Pavasini, R.; et al. Time course of endothelial dysfunction markers and mortality in COVID-19 patients: A pilot study. Clin. Transl. Med. 2021, 11, e283. [Google Scholar] [CrossRef]
- Frijhoff, J.; Winyard, P.G.; Zarkovic, N.; Davies, S.S.; Stocker, R.; Cheng, D.; Knight, A.R.; Taylor, E.L.; Oettrich, J.; Ruskovska, T.; et al. Clinical Relevance of Biomarkers of Oxidative Stress. Antioxid. Redox Signal. 2015, 23, 1144–1170. [Google Scholar] [CrossRef]
- Marrocco, I.; Altieri, F.; Peluso, I. Measurement and Clinical Significance of Biomarkers of Oxidative Stress in Humans. Oxidative Med. Cell. Longev. 2017, 2017, 6501046. [Google Scholar] [CrossRef]
- Gérard-Monnier, D.; Erdelmeier, I.; Régnard, K.; Moze-Henry, N.; Yadan, J.-C.; Chaudiere, J. Reactions of 1-methyl-2-phenylindole with malondialdehyde and 4-hydroxyalkenals. Analytical applications to a colorimetric assay of lipid peroxidation. Chem. Res. Toxicol. 1998, 11, 1176–1183. [Google Scholar] [CrossRef]
- Suzuki, K.; Ota, H.; Sasagawa, S.; Sakatani, T.; Fujikura, T. Assay method for myeloperoxidase in human polymorphonuclear leukocytes. Anal. Biochem. 1983, 132, 345–352. [Google Scholar] [CrossRef]
- Kwok, T.; Kirkpatrick, G.; Yusof, H.M.; Portokalakis, I.; Nigam, P.; Owusu-Apenten, R. Rapid colorimetric determination of methylglyoxal equivalents for Manuka honey. J. Adv. Biol. Biotechnol. 2016, 7, 1–6. [Google Scholar] [CrossRef]
- Corraliza, I.; Campo, M.; Soler, G.; Modolell, M. Determination of arginase activity in macrophages: A micromethod. J. Immunol. Methods 1994, 174, 231–235. [Google Scholar] [CrossRef]
- Habig, W.H.; Pabst, M.J.; Jakoby, W.B. Glutathione S-transferases: The first enzymatic step in mercapturic acid formation. J. Biol. Chem. 1974, 249, 7130–7139. [Google Scholar] [CrossRef]
- Lowry, O.; Rosebrough, N.; Farr, A.L.; Randall, R. Protein measurement with the Folin phenol reagent. J. Biol. Chem. 1951, 193, 265–275. [Google Scholar] [CrossRef]
- Guzik, T.J.; Mohiddin, S.A.; Dimarco, A.; Patel, V.; Savvatis, K.; Marelli-Berg, F.M.; Madhur, M.S.; Tomaszewski, M.; Maffia, P.; D’Acquisto, F.; et al. COVID-19 and the cardiovascular system: Implications for risk assessment, diagnosis, and treatment options. Cardiovasc. Res. 2020, 116, 1666–1687. [Google Scholar] [CrossRef] [PubMed]
- Ahmed, S.; Zimba, O.; Gasparyan, A.Y. Thrombosis in Coronavirus disease 2019 (COVID-19) through the prism of Virchow’s triad. Clin. Rheumatol. 2020, 39, 2529–2543. [Google Scholar] [CrossRef]
- Mehta, P.; McAuley, D.F.; Brown, M.; Sanchez, E.; Tattersall, R.S.; Manson, J.J. COVID-19: Consider cytokine storm syndromes and immunosuppression. Lancet 2020, 395, 1033–1034. [Google Scholar] [CrossRef]
- Varga, Z.; Flammer, A.J.; Steiger, P.; Haberecker, M.; Andermatt, R.; Zinkernagel, A.S.; Mehra, M.R.; Schuepbach, R.A.; Ruschitzka, F.; Moch, H. Endothelial cell infection and endotheliitis in COVID-19. Lancet 2020, 395, 1417–1418. [Google Scholar] [CrossRef]
- Worrall, S.; Thiele, G.M. Modification of proteins by reactive ethanol metabolites: Adduct structure, functional and pathological consequences. In Comprehensive Handbook of Alcohol Related Pathology; Elsevier Inc.: Amsterdam, The Netherlands, 2005; pp. 1209–1222. [Google Scholar]
- Roede, J.; Fritz, K. Hepatotoxicity of reactive aldehydes. In Reference Module in Biomedical Sciences; Elsevier: Amsterdam, The Netherlands, 2015. [Google Scholar]
- Romuk, E.; Wojciechowska, C.; Jacheć, W.; Zemła-Woszek, A.; Momot, A.; Buczkowska, M.; Rozentryt, P. Malondialdehyde and Uric Acid as Predictors of Adverse Outcome in Patients with Chronic Heart Failure. Oxidative Med. Cell. Longev. 2019, 2019, 9246138. [Google Scholar] [CrossRef]
- Lorente, L.; Martín, M.M.; Abreu-González, P.; Domínguez-Rodriguez, A.; Labarta, L.; Díaz, C.; Solé-Violán, J.; Ferreres, J.; Cabrera, J.; Igeño, J.C.; et al. Sustained high serum malondialdehyde levels are associated with severity and mortality in septic patients. Crit. Care 2013, 17, R290. [Google Scholar] [CrossRef]
- Wang, J.; Mei, F.; Bai, L.; Zhou, S.; Liu, D.; Yao, L.; Ahluwalia, A.; Ghiladi, R.A.; Su, L.; Shu, T.; et al. Serum nitrite and nitrate: A potential biomarker for post-covid-19 complications? Free Radic. Biol. Med. 2021, 175, 216–225. [Google Scholar] [CrossRef]
- Sittipunt, C.; Steinberg, K.P.; Ruzinski, J.T.; Myles, C.; Zhu, S.; Goodman, R.B.; Hudson, L.D.; Matalon, S.; Martin, T.R. Nitric oxide and nitrotyrosine in the lungs of patients with acute respiratory distress syndrome. Am. J. Respir. Crit. Care Med. 2001, 163, 503–510. [Google Scholar] [CrossRef] [PubMed]
- Albornoz, L.; Alvarez, D.; Otaso, J.C.; Gadano, A.; Salviú, J.; Gerona, S.; Sorroche, P.; Villamil, A.; Mastai, R. Von Willebrand factor could be an index of endothelial dysfunction in patients with cirrhosis: Relationship to degree of liver failure and nitric oxide levels. J. Hepatol. 1999, 30, 451–455. [Google Scholar] [CrossRef]
- Stoiser, B.; Maca, T.; Thalhammer, F.; Hollenstein, U.; el Menyawi, I.; Burgmann, H. Serum nitrate concentrations in patients with peripheral arterial occlusive disease. VASA Z. Gefasskrankh. 1999, 28, 181–184. [Google Scholar] [CrossRef]
- Nishikawa, S.; Miyamoto, A.; Yamamoto, H.; Ohshika, H.; Kudo, R. The relationship between serum nitrate and endothelin-1 concentrations in preeclampsia. Life Sci. 2000, 67, 1447–1454. [Google Scholar] [CrossRef]
- Groeneveld, P.H.; Colson, P.; Kwappenberg, K.M.; Clement, J. Increased production of nitric oxide in patients infected with the European variant of hantavirus. Scand. J. Infect. Dis. 1995, 27, 453–456. [Google Scholar] [CrossRef]
- Maas, R.; Xanthakis, V.; Göen, T.; Müller, J.; Schwedhelm, E.; Böger, R.H.; Vasan, R.S. Plasma Nitrate and Incidence of Cardiovascular Disease and All-Cause Mortality in the Community: The Framingham Offspring Study. J. Am. Heart Assoc. 2017, 6, e006224. [Google Scholar] [CrossRef]
- Caldwell, R.W.; Rodriguez, P.C.; Toque, H.A.; Narayanan, S.P.; Caldwell, R.B. Arginase: A Multifaceted Enzyme Important in Health and Disease. Physiol. Rev. 2018, 98, 641–665. [Google Scholar] [CrossRef]
- Kashyap, S.R.; Lara, A.; Zhang, R.; Park, Y.M.; DeFronzo, R.A. Insulin reduces plasma arginase activity in type 2 diabetic patients. Diabetes Care 2008, 31, 134–139. [Google Scholar] [CrossRef][Green Version]
- Steppan, J.; Nyhan, D.; Berkowitz, D.E. Development of novel arginase inhibitors for therapy of endothelial dysfunction. Front. Immunol. 2013, 4, 278. [Google Scholar] [CrossRef]
- Maier, C.L.; Truong, A.D.; Auld, S.C.; Polly, D.M.; Tanksley, C.L.; Duncan, A. COVID-19-associated hyperviscosity: A link between inflammation and thrombophilia? Lancet 2020, 395, 1758–1759. [Google Scholar] [CrossRef]
- Skrzypczyk, P.; Ozimek, A.; Ofiara, A.; Szyszka, M.; Sołtyski, J.; Stelmaszczyk-Emmel, A.; Górska, E.; Pańczyk-Tomaszewska, M. Markers of endothelial injury and subclinical inflammation in children and adolescents with primary hypertension. Cent. Eur. J. Immunol. 2019, 44, 253–261. [Google Scholar] [CrossRef] [PubMed]
- Al Najjar, S.; Adam, S.; Ahmed, N.; Qari, M. Markers of endothelial dysfunction and leucocyte activation in Saudi and non-Saudi haplotypes of sickle cell disease. Ann. Hematol. 2017, 96, 141–146. [Google Scholar] [CrossRef] [PubMed]
- Hackman, A.; Abe, Y.; Insull, W., Jr.; Pownall, H.; Smith, L.; Dunn, K.; Gotto, A.M., Jr.; Ballantyne, C.M. Levels of soluble cell adhesion molecules in patients with dyslipidemia. Circulation 1996, 93, 1334–1338. [Google Scholar] [CrossRef]
- Iba, T.; Gando, S.; Murata, A.; Kushimoto, S.; Saitoh, D.; Eguchi, Y.; Ohtomo, Y.; Okamoto, K.; Koseki, K.; Mayumi, T.; et al. Predicting the severity of systemic inflammatory response syndrome (SIRS)-associated coagulopathy with hemostatic molecular markers and vascular endothelial injury markers. J. Trauma 2007, 63, 1093–1098. [Google Scholar] [CrossRef] [PubMed]
- Lumachi, F.; Zanella, S.; Cella, G.; Casonato, A.; Fallo, F. Endothelial activation markers soluble E-selectin and von Willebrand factor in primary hyperparathyroidism. In Vivo 2011, 25, 279–282. [Google Scholar]
- Klimiuk, P.A.; Sierakowski, S.; Domyslawska, I.; Chwiecko, J. Effect of etanercept on serum levels of soluble cell adhesion molecules (sICAM-1, sVCAM-1, and sE-selectin) and vascular endothelial growth factor in patients with rheumatoid arthritis. Scand. J. Rheumatol. 2009, 38, 439–444. [Google Scholar] [CrossRef]
- Akçay, M.N.; Akçay, G.; Kiziltunç, A.; Oztürk, G.; Aydinli, B. The effect of short-term treatment with atorvastatin on E-selectin levels in severely burned patients. Int. J. Clin. Pharmacol. Res. 2005, 25, 65–69. [Google Scholar]
- Kim, S.; Eliot, M.; Koestler, D.C.; Wu, W.C.; Kelsey, K.T. Association of Neutrophil-to-Lymphocyte Ratio With Mortality and Cardiovascular Disease in the Jackson Heart Study and Modification by the Duffy Antigen Variant. JAMA Cardiol. 2018, 3, 455–462. [Google Scholar] [CrossRef]
- Li, X.; Liu, C.; Mao, Z.; Xiao, M.; Wang, L.; Qi, S.; Zhou, F. Predictive values of neutrophil-to-lymphocyte ratio on disease severity and mortality in COVID-19 patients: A systematic review and meta-analysis. Crit. Care 2020, 24, 647. [Google Scholar] [CrossRef]
- Yang, J.; Zheng, Y.; Gou, X.; Pu, K.; Chen, Z.; Guo, Q.; Ji, R.; Wang, H.; Wang, Y.; Zhou, Y. Prevalence of comorbidities and its effects in patients infected with SARS-CoV-2: A systematic review and meta-analysis. Int. J. Infect. Dis. 2020, 94, 91–95. [Google Scholar] [CrossRef]




| All n = 165 | Non-Survival n = 56 | Survival n = 109 | p-Value | |
|---|---|---|---|---|
| Men, n (%) | 122 (73.94) | 46 (82.14) | 76 (69.72) | 0.085 |
| Age, y | 57.18 ± 13.37 | 62.71 ± 13.52 | 54.34 ± 12.43 | <0.001 |
| Comorbidities | ||||
| Hypertension, n (%) | 59 (35.76) | 19 (33.93) | 40 (36.70) | 0.725 |
| Diabetes, n (%) | 51 (30.91) | 22 (39.29) | 29 (26.61) | 0.095 |
| Obesity, n (%) | 65 (41.67) | 21 (40.38) | 44 (42.31) | 0.818 |
| Cardiovascular disease, n (%) | 11 (6.67) | 5 (8.93) | 6 (5.50) | 0.512 |
| Chronic kidney disease, n (%) | 4 (2.42) | 2 (3.57) | 2 (1.83) | 0.605 |
| Ventilatory parameters | ||||
| Invasive mechanical ventilation, n (%) | 139 (84.24) | 53 (94.64) | 86 (78.90) | 0.009 |
| PaO2/FiO2, mmHg | 144.46 ± 50.30 | 128.39 ± 49.14 | 153.07 ± 49.01 | 0.004 |
| Oxygen saturation, % | 70.5 [58–83] | 70 [50–82] | 71 [60–83.5] | 0.290 |
| SOFA score | 6 [3–9] | 8 [4–10] | 6 [3–8] | 0.001 |
| Biomarkers data | ||||
| PT, s | 14.5 [13.8–15.7] | 14.75 [14–16.6] | 14.4 [13.7–15.6] | 0.095 |
| INR | 1.02 [0.97–1.10] | 1.02 [0.97–1.16] | 1.01 [0.96–1.10] | 0.171 |
| APTT, s | 42.4 [38.10–49.5] | 42.15 [38.1–51.9] | 42.4 [37.6–48.8] | 0.538 |
| Procalcitonin, ng/ml | 0.26 [0.09–0.98] | 0.54 [0.25–4.48] | 0.17 [0.07–0.56] | <0.001 |
| D-dimers, μg/ml | 1.53 [0.73–2.83] | 1.75 [0.83–4.14] | 1.4 [0.66–2.72] | 0.030 |
| CRP, mg/L | 7.90 [2.49–16.7] | 11.25 [6.56–19.04] | 5.03 [1.47–14.91] | 0.001 |
| Leukocytes, mm3 | 10.8 [7.5–13.7] | 11.1 [8.65–14.2] | 10.6 [6.7–13.7] | 0.132 |
| Neutrophils, % | 8.5 [5.9–11.5] | 8.5 [7.4–12.25] | 8.5 [4.9–11.4] | 0.043 |
| Lymphocytes, % | 0.9 [0.6–1.4] | 0.7 [0.45–1.15] | 1 [0.7–1.5] | <0.001 |
| Neutrophil-lymphocyte ratio | 9 [5.46–16.7] | 12.89 [8.58–23.15] | 7.6 [4–13.77] | < 0.001 |
| Platelets, mm3 | 309 [223–416] | 265 [161.5–378] | 329 [256–422] | 0.003 |
| Hemoglobin, g/dL | 12.04 ± 2.53 | 11.38 ± 2.54 | 12.38 ± 2.48 | 0.018 |
| Hematocrit, % | 35.63 ± 7.19 | 33.97 ± 7.21 | 36.48 ± 7.07 | 0.036 |
| Total proteins, g/dL | 5.70 ± 0.77 | 5.38 ± 0.81 | 5.86 ± 0.69 | <0.001 |
| Albumin, g/dL | 2.69 ± 0.53 | 2.41 ± 0.50 | 2.83 ± 0.49 | <0.001 |
| Globulin, g/dL | 3.0 ± 0.54 | 2.96 ± 0.55 | 3.02 ± 0.54 | 0.534 |
| Globulin AG ratio, g/gL | 0.86 [0.74–1.03] | 0.77 [0.69–0.91] | 0.90 [0.77–1.11] | <0.001 |
| Total bilirubin, mg/dL | 0.54 [0.43–0.78] | 0.56 [0.43–0.89] | 0.53 [0.44–0.75] | 0.313 |
| Direct bilirubin, mg/dL | 0.16 [0.1–0.25] | 0.21 [0.13–0.32] | 0.14 [0.10–0.23] | 0.006 |
| Indirect bilirubin, mg/dL | 0.37 [0.29–0.49] | 0.34 [0.26–0.52] | 0.38 [0.30–0.48] | 0.610 |
| γ-GT, U/L | 122.5 [77–214] | 106.5 [61–182.5] | 127.5 [80–252] | 0.100 |
| LDH, U/L | 329.5 [251.5–428] | 378.5 [286.5–493.5] | 296 [243–411] | 0.007 |
| CPK, U/L | 88 [37–230] | 107.5 [49.5–317] | 61 [31–204] | 0.053 |
| Crude Model | Model 1 | Model 2 | |||||||
|---|---|---|---|---|---|---|---|---|---|
| HR | CI 95% | p | HR | CI 95% | p | HR | CI 95% | p | |
| Endothelial biomarkers | |||||||||
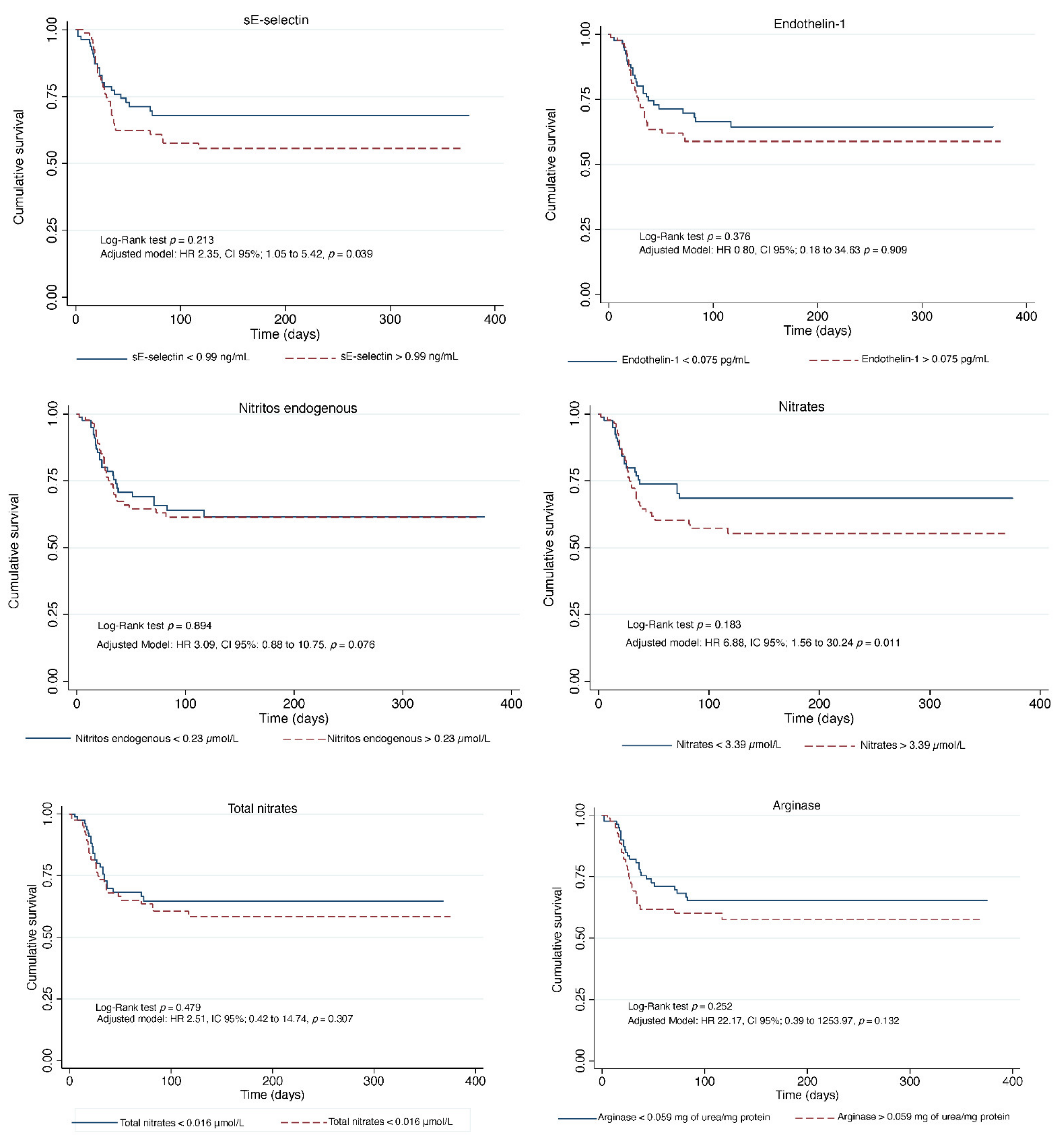
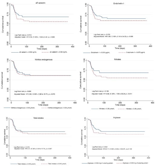
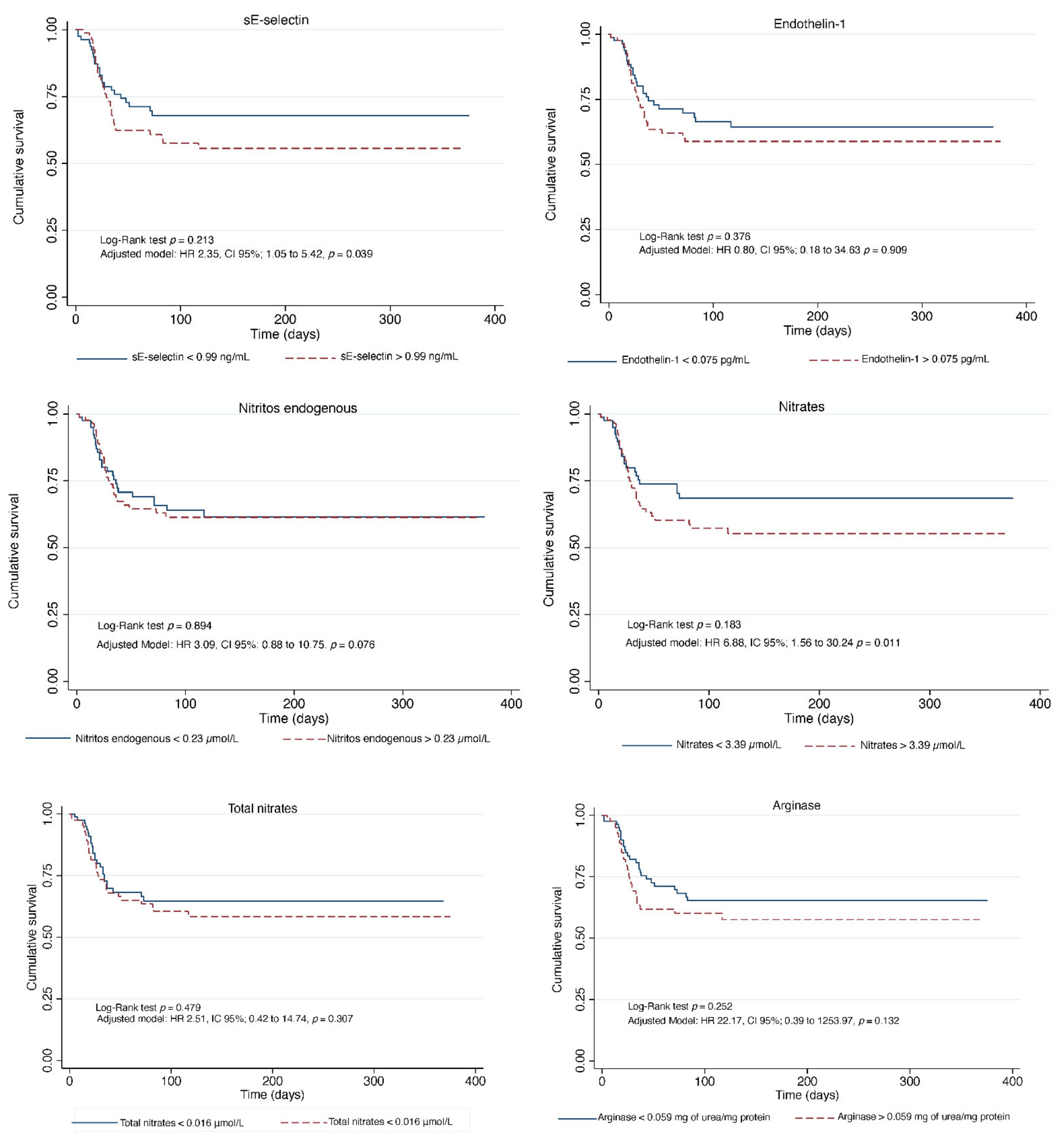
| sE-selectin, ng/mL | 1.21 | 1.02–1.44 | 0.021 | 1.16 | 0.97–1.39 | 0.084 | 2.54 | 1.11–5.81 | 0.027 |
| Endothelin-1, pg/mL | 1.40 | 0.37–5.23 | 0.610 | 0.86 | 0.22–3.33 | 0.830 | 1.38 | 0.023–75.63 | 0.870 |
| Nitrites endogenous, μmol/L | 1.07 | 0.67–1.70 | 0.753 | 1.14 | 0.69–1.88 | 0.587 | 1.78 | 0.60–5.31 | 0.297 |
| Nitrates, μmol/L | 1.83 | 1.16–2.90 | 0.009 | 1.98 | 1.24–3.16 | 0.004 | 4.92 | 1.23–19.63 | 0.024 |
| Total nitrates, μmol/L | 2.53 | 1.15–5.55 | 0.020 | 2.78 | 1.22–6.32 | 0.014 | 2.51 | 0.42–14.74 | 0.307 |
| Arginase, mg of urea/mg protein | 44.79 | 1.96–1021.73 | 0.017 | 20.76 | 0.71–604.56 | 0.078 | 9.73 | 0.21–450.76 | 0.245 |
| Oxidative stress biomarkers | |||||||||
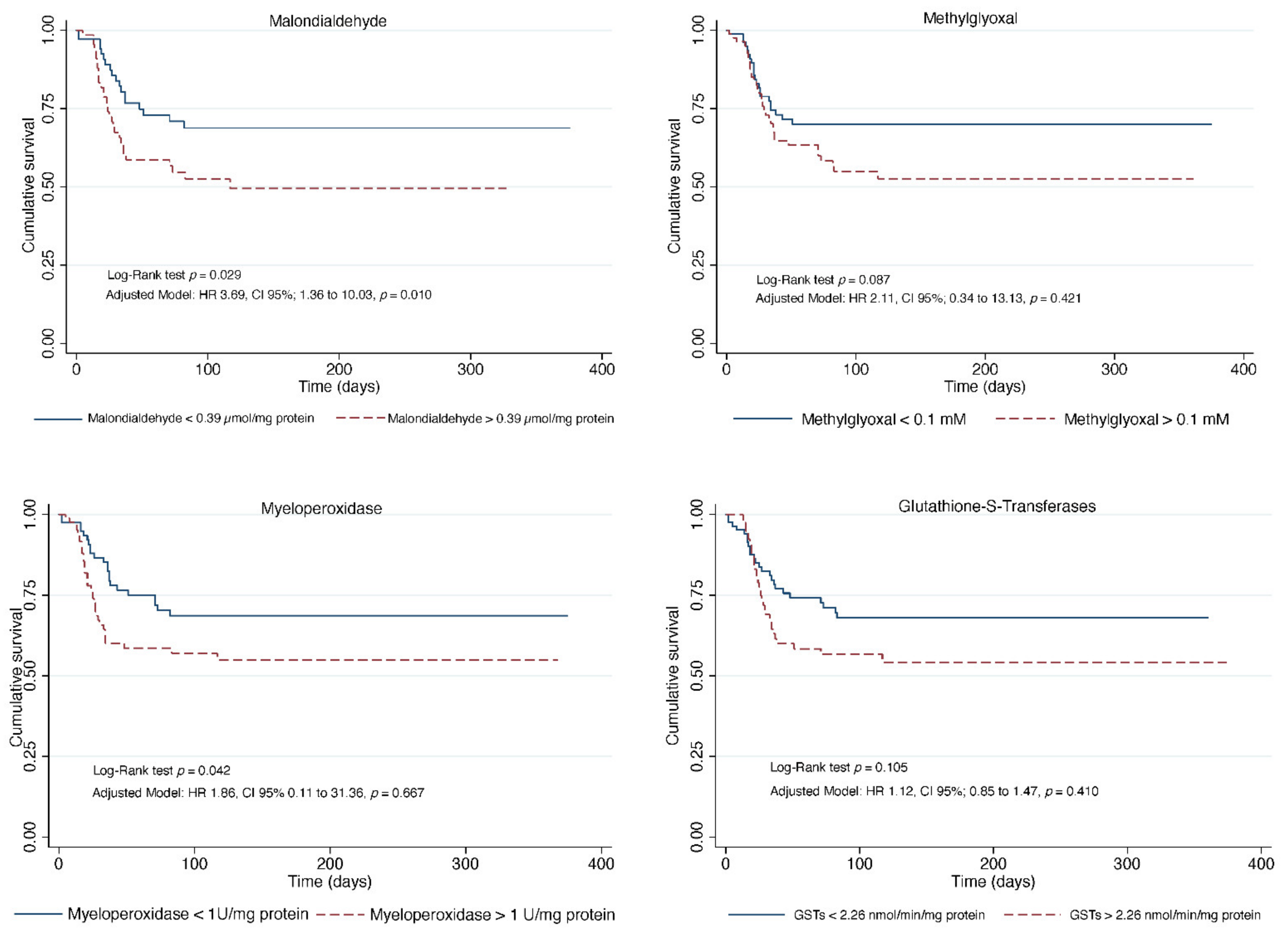
| Malondialdehyde, μmol/mg protein | 3.16 | 1.57–6.39 | 0.001 | 3.90 | 1.75–8.66 | 0.001 | 3.05 | 1.14–8.15 | 0.025 |
| Methylglyoxal, mM | 1.97 | 0.49–7.95 | 0.336 | 1.79 | 0.40–7.91 | 0.438 | 2.25 | 0.33–15.23 | 0.406 |
| Myeloperoxidase, U/mg of protein | 1.39 | 0.32–5.90 | 0.652 | 1.81 | 0.36–9.15 | 0.470 | 1.48 | 0.10–21.71 | 0.773 |
| GSTs, nmol/min/mg protein. | 1.08 | 0.98–1.19 | 0.093 | 1.04 | 0.95–1.15 | 0.343 | 1.16 | 0.87–1.54 | 0.301 |
Publisher’s Note: MDPI stays neutral with regard to jurisdictional claims in published maps and institutional affiliations. |
© 2022 by the authors. Licensee MDPI, Basel, Switzerland. This article is an open access article distributed under the terms and conditions of the Creative Commons Attribution (CC BY) license (https://creativecommons.org/licenses/by/4.0/).
Share and Cite
Orea-Tejada, A.; Sánchez-Moreno, C.; Aztatzi-Aguilar, O.G.; Sierra-Vargas, M.P.; González-Islas, D.; Debray-García, Y.; Ortega-Romero, M.S.; Keirns-Davis, C.; Cornejo-Cornejo, L.; Aguilar-Meza, J. Plasma Endothelial and Oxidative Stress Biomarkers Associated with Late Mortality in Hospitalized COVID-19 Patients. J. Clin. Med. 2022, 11, 3950. https://doi.org/10.3390/jcm11143950
Orea-Tejada A, Sánchez-Moreno C, Aztatzi-Aguilar OG, Sierra-Vargas MP, González-Islas D, Debray-García Y, Ortega-Romero MS, Keirns-Davis C, Cornejo-Cornejo L, Aguilar-Meza J. Plasma Endothelial and Oxidative Stress Biomarkers Associated with Late Mortality in Hospitalized COVID-19 Patients. Journal of Clinical Medicine. 2022; 11(14):3950. https://doi.org/10.3390/jcm11143950
Chicago/Turabian StyleOrea-Tejada, Arturo, Carlos Sánchez-Moreno, Octavio Gamaliel Aztatzi-Aguilar, Martha Patricia Sierra-Vargas, Dulce González-Islas, Yazmín Debray-García, Manolo Sibael Ortega-Romero, Candace Keirns-Davis, Laura Cornejo-Cornejo, and Jorge Aguilar-Meza. 2022. "Plasma Endothelial and Oxidative Stress Biomarkers Associated with Late Mortality in Hospitalized COVID-19 Patients" Journal of Clinical Medicine 11, no. 14: 3950. https://doi.org/10.3390/jcm11143950
APA StyleOrea-Tejada, A., Sánchez-Moreno, C., Aztatzi-Aguilar, O. G., Sierra-Vargas, M. P., González-Islas, D., Debray-García, Y., Ortega-Romero, M. S., Keirns-Davis, C., Cornejo-Cornejo, L., & Aguilar-Meza, J. (2022). Plasma Endothelial and Oxidative Stress Biomarkers Associated with Late Mortality in Hospitalized COVID-19 Patients. Journal of Clinical Medicine, 11(14), 3950. https://doi.org/10.3390/jcm11143950

