Characteristics of the Ciliary Body in Healthy Chinese Subjects Evaluated by Radial and Transverse Imaging of Ultrasound Biometric Microscopy
Abstract
:1. Introduction
2. Materials and Methods
2.1. Participants
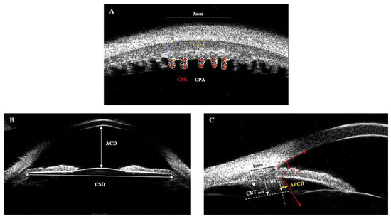
2.2. Image Acquisition
2.3. Image Measurement
2.4. Statistical Analysis
3. Results
3.1. Patient Characteristics
3.2. Intra-Observer Reproducibility of the Parameters in Transverse UBM Scans of CB
3.3. Anatomy Characteristics of the CB Both from Radial and Transverse Imaging of UBM
4. Discussion
5. Conclusions
Author Contributions
Funding
Institutional Review Board Statement
Informed Consent Statement
Data Availability Statement
Conflicts of Interest
References
- Kels, B.D.; Grzybowski, A.; Grant-Kels, J.M. Human ocular anatomy. Clin. Dermatol. 2015, 33, 140–146. [Google Scholar] [CrossRef] [PubMed]
- Coca-Prados, M.; Escribano, J. New perspectives in aqueous humor secretion and in glaucoma: The ciliary body as a multifunctional neuroendocrine gland. Prog. Retin. Eye Res. 2007, 26, 239–262. [Google Scholar] [CrossRef]
- Henzan, I.M.; Tomidokoro, A.; Uejo, C.; Sakai, H.; Sawaguchi, S.; Iwase, A.; Araie, M. Ultrasound biomicroscopic configurations of the anterior ocular segment in a population-based study the Kumejima Study. Ophthalmology 2010, 117, 1720–1728.e1. [Google Scholar] [CrossRef] [PubMed]
- Fernández-Vigo, J.I.; Kudsieh, B.; Shi, H.; De-Pablo-Gómez-de-Liaño, L.; Fernández-Vigo, J.; García-Feijóo, J. Diagnostic imaging of the ciliary body: Technologies, outcomes, and future perspectives. Eur. J. Ophthalmol. 2022, 32, 75–88. [Google Scholar] [CrossRef] [PubMed]
- Marchini, G.; Pagliarusco, A.; Toscano, A.; Tosi, R.; Brunelli, C.; Bonomi, L. Ultrasound biomicroscopic and conventional ultrasonographic study of ocular dimensions in primary angle-closure glaucoma. Ophthalmology 1998, 105, 2091–2098. [Google Scholar] [CrossRef]
- Wang, Z.; Chung, C.; Lin, J.; Xu, J.; Huang, J. Quantitative Measurements of the Ciliary Body in Eyes With Acute Primary-Angle Closure. Investig. Ophthalmol. Vis. Sci. 2016, 57, 3299–3305. [Google Scholar] [CrossRef] [PubMed] [Green Version]
- Wang, F.; Wang, D.; Wang, L. Characteristic Manifestations regarding Ultrasound Biomicroscopy Morphological Data in the Diagnosis of Acute Angle Closure Secondary to Lens Subluxation. BioMed Res. Int. 2019, 2019, 7472195. [Google Scholar] [CrossRef] [Green Version]
- Wang, Z.; Huang, J.; Lin, J.; Liang, X.; Cai, X.; Ge, J. Quantitative measurements of the ciliary body in eyes with malignant glaucoma after trabeculectomy using ultrasound biomicroscopy. Ophthalmology 2014, 121, 862–869. [Google Scholar] [CrossRef]
- Alibet, Y.; Levytska, G.; Umanets, N.; Pasyechnikova, N.; Henrich, P.B. Ciliary body thickness changes after preoperative anti-inflammatory treatment in rhegmatogenous retinal detachment complicated by choroidal detachment. Graefe’s Arch. Clin. Exp. Ophthalmol. 2017, 255, 1503–1508. [Google Scholar] [CrossRef] [Green Version]
- Mishima, H.K.; Shoge, K.; Takamatsu, M.; Kiuchi, Y.; Tanaka, J. Ultrasound biomicroscopic study of ciliary body thickness after topical application of pharmacologic agents. Am. J. Ophthalmol. 1996, 121, 319–321. [Google Scholar] [CrossRef]
- Arakawa, A.; Tamai, M. Ultrasound biomicroscopic analysis of the human ciliary body after 1 and 2% pilocarpine instillation. Ophthalmologica 2000, 214, 253–259. [Google Scholar] [CrossRef]
- Oliveira, C.; Tello, C.; Liebmann, J.M.; Ritch, R. Ciliary body thickness increases with increasing axial myopia. Am. J. Ophthalmol. 2005, 140, 324–325. [Google Scholar] [CrossRef]
- Gentile, R.C.; Liebmann, J.M.; Tello, C.; Stegman, Z.; Weissman, S.S.; Ritch, R. Ciliary body enlargement and cyst formation in uveitis. Br. J. Ophthalmol. 1996, 80, 895–899. [Google Scholar] [CrossRef]
- Weisbrod, D.J.; Pavlin, C.J.; Emara, K.; Mandell, M.A.; McWhae, J.; Simpson, E.R. Small ciliary body tumors: Ultrasound biomicroscopic assessment and follow-up of 42 patients. Am. J. Ophthalmol. 2006, 141, 622–628. [Google Scholar] [CrossRef] [PubMed]
- Mannino, G.; Malagola, R.; Abdolrahimzadeh, S.; Villani, G.M.; Recupero, S.M. Ultrasound biomicroscopy of the peripheral retina and the ciliary body in degenerative retinoschisis associated with pars plana cysts. Br. J. Ophthalmol. 2001, 85, 976–982. [Google Scholar] [CrossRef] [Green Version]
- Hara, K.; Lütjen-Drecoll, E.; Prestele, H.; Rohen, J.W. Structural differences between regions of the ciliary body in primates. Investig. Ophthalmol. Vis. Sci. 1977, 16, 912–924. [Google Scholar]
- Tamm, E.R.; Lütjen-Drecoll, E. Ciliary body. Microsc. Res. Tech. 1996, 33, 390–439. [Google Scholar] [CrossRef]
- Dada, T.; Gadia, R.; Sharma, A.; Ichhpujani, P.; Bali, S.J.; Bhartiya, S.; Panda, A. Ultrasound biomicroscopy in glaucoma. Surv. Ophthalmol. 2011, 56, 433–450. [Google Scholar] [CrossRef] [PubMed]
- Smith, S.D.; Singh, K.; Lin, S.C.; Chen, P.P.; Chen, T.C.; Francis, B.A.; Jampel, H.D. Evaluation of the anterior chamber angle in glaucoma: A report by the american academy of ophthalmology. Ophthalmology 2013, 120, 1985–1997. [Google Scholar] [CrossRef]
- Janssens, R.; van Rijn, L.J.; Eggink, C.A.; Jansonius, N.M.; Janssen, S.F. Ultrasound biomicroscopy of the anterior segment in patients with primary congenital glaucoma: A review of the literature. Acta Ophthalmol. 2021. Epub ahead of print. [Google Scholar] [CrossRef]
- Chen, L.; Huang, J.; Zou, H.; Xue, W.; Ma, Y.; He, X.; Lu, L.; Zhu, J. Retinal nerve fiber layer thickness in normal Chinese students aged 6 to 17 years. Investig. Ophthalmol. Vis. Sci. 2013, 54, 7990–7997. [Google Scholar] [CrossRef] [PubMed]
- Li, Y.; Tan, O.; Brass, R.; Weiss, J.L.; Huang, D. Corneal epithelial thickness mapping by Fourier-domain optical coherence tomography in normal and keratoconic eyes. Ophthalmology 2012, 119, 2425–2433. [Google Scholar] [CrossRef] [Green Version]
- He, N.; Wu, L.; Qi, M.; He, M.; Lin, S.; Wang, X.; Yang, F.; Fan, X. Comparison of Ciliary Body Anatomy between American Caucasians and Ethnic Chinese Using Ultrasound Biomicroscopy. Curr. Eye Res. 2016, 41, 485–491. [Google Scholar] [CrossRef] [PubMed]
- Okamoto, Y.; Okamoto, F.; Nakano, S.; Oshika, T. Morphometric assessment of normal human ciliary body using ultrasound biomicroscopy. Graefe’s Arch. Clin. Exp. Ophthalmol. 2017, 255, 2437–2442. [Google Scholar] [CrossRef] [PubMed]
- Li, J.; Drechsler, J.; Lin, A.; Widlus, M.; Qureshi, A.; Stoleru, G.; Saeedi, O.; Levin, M.R.; Kaleem, M.; Jaafar, M.; et al. Repeatability and Reliability of Quantified Ultrasound Biomicroscopy Image Analysis of the Ciliary Body at the Pars Plicata. Ultrasound Med. Biol. 2021, 47, 1949–1956. [Google Scholar] [CrossRef]
- Buckhurst, H.; Gilmartin, B.; Cubbidge, R.P.; Nagra, M.; Logan, N.S. Ocular biometric correlates of ciliary muscle thickness in human myopia. Ophthalmic Physiol. Opt. 2013, 33, 294–304. [Google Scholar] [CrossRef]
- Fernández-Vigo, J.I.; Shi, H.; Kudsieh, B.; Arriola-Villalobos, P.; De-Pablo Gómez-de-Liaño, L.; García-Feijóo, J.; Fernández-Vigo, J. Ciliary muscle dimensions by swept-source optical coherence tomography and correlation study in a large population. Acta Ophthalmol. 2020, 98, e487–e494. [Google Scholar] [CrossRef]
- Khodeiry, M.M.; Sheheitli, H.; Sayed, M.S.; Persad, P.J.; Feuer, W.J.; Lee, R.K. Treatment Outcomes of Slow Coagulation Transscleral Cyclophotocoagulation In Pseudophakic Patients with Medically Uncontrolled Glaucoma. Am. J. Ophthalmol. 2021, 229, 90–99. [Google Scholar] [CrossRef] [PubMed]
- Tóth, M.; Shah, A.; Hu, K.; Bunce, C.; Gazzard, G. Endoscopic cyclophotocoagulation (ECP) for open angle glaucoma and primary angle closure. Cochrane Database Syst. Rev. 2019, 2, Cd012741. [Google Scholar] [CrossRef] [Green Version]
- Giannaccare, G.; Pellegrini, M.; Bernabei, F.; Urbini, L.; Bergamini, F.; Ferro Desideri, L.; Bagnis, A.; Biagini, F.; Cassottana, P.; Del Noce, C.; et al. A 2-year prospective multicenter study of ultrasound cyclo plasty for glaucoma. Sci. Rep. 2021, 11, 12647. [Google Scholar] [CrossRef]




| Variables | Mean ± SD | Median | Range |
|---|---|---|---|
| Age(years) | 38.07 ± 12.58 | 39 | 18–65 |
| Female gender% | 53.33% | - | - |
| BMI (kg/m2) | 23.27 ± 3.14 | 23.27 | 17.67–29.27 |
| IOP (mmHg) | 14.59 ± 2.13 | 14.45 | 10.00–19.70 |
| CSD (mm) | 11.56 ± 0.53 | 11.64 | 10.07–12.49 |
| AL (mm) | 24.46 ± 1.09 | 24.50 | 22.45–26.49 |
| ACD (mm) | 3.44 ± 0.30 | 3.40 | 2.78–4.01 |
| LT (mm) | 3.93 ± 0.37 | 3.96 | 3.33–4.69 |
| WTW (mm) | 11.99 ± 0.30 | 12.00 | 11.40–12.70 |
| CCT (μm) | 528.84 ± 29.81 | 527.00 | 478.00–579.00 |
| Measurement | Mean ± SD | ICC, 95%CI | p | 95%LoA | No. of Images | |
|---|---|---|---|---|---|---|
| Examination 1 | Examination 2 | |||||
| CPL (mm) | 0.553 ± 0.069 | 0.555 ± 0.065 | 0.979(0.962,0.988) | <0.001 | −0.029, 0.024 | 44 |
| CPD (number) | 5.641 ± 0.669 | 5.660 ± 0.645 | 0.992(0.985,0.995) | <0.001 | −0.183, 0.147 | 44 |
| CPA (mm2) | 0.964 ± 0.127 | 0.962 ± 0.128 | 0.966(0.939,0.982) | <0.001 | −0.064, 0.066 | 44 |
| CMA (mm2) | 2.399 ± 0.288 | 2.368 ± 0.268 | 0.963(0.923,0.981) | <0.001 | −0.108, 0.169 | 44 |
| CBA (mm2) | 3.362 ± 0.291 | 3.333 ± 0.297 | 0.951(0.907,0.974) | <0.001 | −0.140, 0.203 | 44 |
| CBA (mm2) | 3.362 ± 0.291 | 3.333 ± 0.297 | 0.951(0.907,0.974) | <0.001 | −0.140, 0.203 | 44 |
| Quadrant | Average | Superior | Nasal | Inferior | Temporal | p-Value |
|---|---|---|---|---|---|---|
| CPL (mm) | 0.513 ± 0.074 | 0.558 ± 0.070 | 0.490 ± 0.062 | 0.505 ± 0.075 | 0.498 ± 0.072 | <0.001 |
| CPD (number) | 5.779 ± 0.832 | 5.596 ± 0.702 | 5.752 ± 0.790 | 5.800 ± 0.937 | 5.969 ± 0.863 | 0.139 |
| CPA (mm2) | 0.890 ± 0.141 | 0.964 ± 0.130 | 0.841 ± 0.112 | 0.865 ± 0.142 | 0.889 ± 0.148 | <0.001 |
| CMA (mm2) | 2.381 ± 0.280 | 2.327 ± 0.312 | 2.483 ± 0.245 | 2.355 ± 0.270 | 2.361 ± 0.271 | 0.019 |
| CBA (mm2) | 3.271 ± 0.292 | 3.291 ± 0.328 | 3.323 ± 0.270 | 3.220 ± 0.282 | 3.250 ± 0.282 | 0.272 |
| CBT0 (mm) | 1.053 ± 0.188 | 1.014 ± 0.175 | 1.038 ± 0.142 | 1.054 ± 0.218 | 1.104 ± 0.203 | 0.084 |
| CBT1 (mm) | 0.811 ± 0.159 | 0.849 ± 0.181 | 0.789 ± 0.124 | 0.798 ± 0.147 | 0.811 ± 0.173 | 0.217 |
| CBTmax (mm) | 1.248 ± 0.169 | 1.224 ± 0.153 | 1.214 ± 0.152 | 1.261 ± 0.177 | 1.291 ± 0.183 | 0.064 |
| APCB (mm) | 0.349 ± 0.314 | 0.322 ± 0.144 | 0.324 ± 0.138 | 0.358 ± 0.235 | 0.392 ± 0.214 | 0.174 |
| TCA (degree) | 79.379 ± 10.020 | 77.859 ± 8.949 | 80.635 ± 8.587 | 80.583 ± 10.684 | 78.437 ± 11.531 | 0.343 |
| Variables | Average CPL (mm) | Average CPD (Number) | Average CPA (mm2) | Average CMA (mm2) | Average CBA (mm2) | Average CBT0 (mm) | Average CBT1 (mm) | Average CBTmax (mm) | Average APCB (mm) | Average TCA (Degree) | ||||||||||
|---|---|---|---|---|---|---|---|---|---|---|---|---|---|---|---|---|---|---|---|---|
| r | p | r | p | r | p | r | p | r | p | r | p | r | p | r | p | r | p | r | p | |
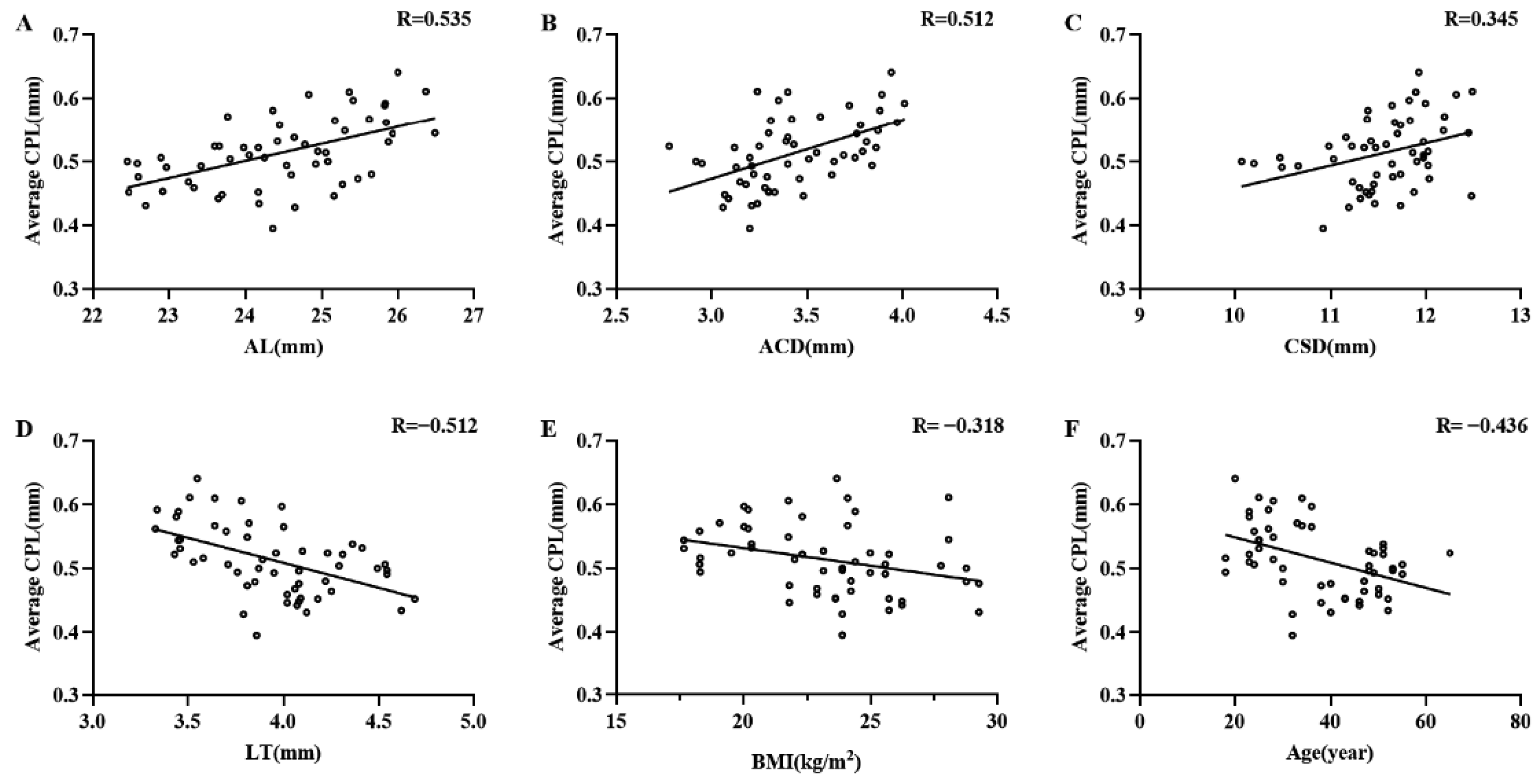
| Age | −0.436 | 0.001 | 0.354 | 0.013 | −0.020 | 0.884 | 0.488 | <0.001 | 0.439 | <0.001 | 0.261 | 0.057 | −0.022 | 0.874 | 0.154 | 0.266 | 0.483 | <0.001 | −0.512 | <0.001 |
| BMI (kg/m2) | −0.318 | 0.019 | 0.160 | 0.246 | −0.031 | 0.823 | 0.349 | 0.010 | 0.307 | 0.024 | 0.134 | 0.335 | 0.130 | 0.348 | −0.011 | 0.939 | 0.229 | 0.096 | −0.352 | 0.009 |
| AL (mm) | 0.535 | <0.001 | −0.445 | 0.001 | 0.202 | 0.143 | −0.279 | 0.041 | −0.170 | 0.218 | −0.074 | 0.595 | 0.082 | 0.554 | −0.118 | 0.396 | −0.513 | <0.001 | 0.464 | <0.001 |
| ACD (mm) | 0.512 | <0.001 | −0.343 | 0.011 | 0.192 | 0.165 | −0.336 | 0.013 | −0.227 | 0.099 | −0.195 | 0.159 | 0.126 | 0.364 | −0.076 | 0.587 | −0.542 | <0.001 | 0.649 | <0.001 |
| LT (mm) | −0.512 | <0.001 | 0.421 | 0.002 | −0.105 | 0.450 | 0.519 | <0.001 | 0.432 | <0.001 | 0.357 | 0.008 | 0.081 | 0.560 | 0.237 | 0.085 | 0.491 | <0.001 | −0.508 | <0.001 |
| CSD (mm) | 0.345 | 0.011 | −0.375 | 0.005 | −0.013 | 0.923 | −0.275 | 0.044 | −0.257 | 0.060 | −0.022 | 0.873 | 0.287 | 0.035 | 0.008 | 0.954 | −0.566 | <0.001 | 0.569 | <0.001 |
Publisher’s Note: MDPI stays neutral with regard to jurisdictional claims in published maps and institutional affiliations. |
© 2022 by the authors. Licensee MDPI, Basel, Switzerland. This article is an open access article distributed under the terms and conditions of the Creative Commons Attribution (CC BY) license (https://creativecommons.org/licenses/by/4.0/).
Share and Cite
Ren, J.; Gao, X.; Chen, L.; Lin, H.; Liu, Y.; Zhou, Y.; Liao, Y.; Xie, C.; Zuo, C.; Lin, M. Characteristics of the Ciliary Body in Healthy Chinese Subjects Evaluated by Radial and Transverse Imaging of Ultrasound Biometric Microscopy. J. Clin. Med. 2022, 11, 3696. https://doi.org/10.3390/jcm11133696
Ren J, Gao X, Chen L, Lin H, Liu Y, Zhou Y, Liao Y, Xie C, Zuo C, Lin M. Characteristics of the Ciliary Body in Healthy Chinese Subjects Evaluated by Radial and Transverse Imaging of Ultrasound Biometric Microscopy. Journal of Clinical Medicine. 2022; 11(13):3696. https://doi.org/10.3390/jcm11133696
Chicago/Turabian StyleRen, Jiawei, Xinbo Gao, Liming Chen, Huishan Lin, Yao Liu, Yuying Zhou, Yunru Liao, Chunzi Xie, Chengguo Zuo, and Mingkai Lin. 2022. "Characteristics of the Ciliary Body in Healthy Chinese Subjects Evaluated by Radial and Transverse Imaging of Ultrasound Biometric Microscopy" Journal of Clinical Medicine 11, no. 13: 3696. https://doi.org/10.3390/jcm11133696
APA StyleRen, J., Gao, X., Chen, L., Lin, H., Liu, Y., Zhou, Y., Liao, Y., Xie, C., Zuo, C., & Lin, M. (2022). Characteristics of the Ciliary Body in Healthy Chinese Subjects Evaluated by Radial and Transverse Imaging of Ultrasound Biometric Microscopy. Journal of Clinical Medicine, 11(13), 3696. https://doi.org/10.3390/jcm11133696

