Risk of Depression during Menopause in Women from Poland, Belarus, Belgium, and Greece
Abstract
1. Introduction
2. Aim of the Study
3. Material and Methods
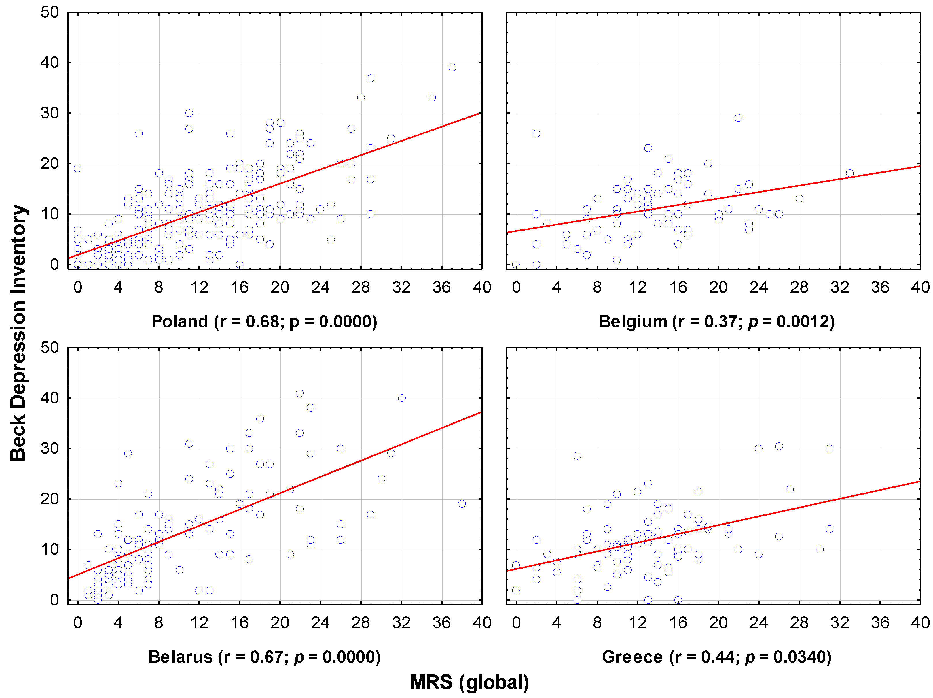
4. Results
5. Discussion
6. Study Limitations
7. Conclusions
- The differences between the development of perimenopausal-related symptoms across countries were statistically significant.
- The incidence and severity of depression showed statistically significant differences between the countries studied—the highest was in Belarus and the lowest in Poland.
- Depression levels were not differentiated by subjects’ age or hormone therapy but by subjects’ education.
- In Poland and Belarus, increased menopausal pain measured by the Kupperman Index altered levels of depression; in Belgium, there were no such correlations, and in Greece, the correlation was statistically significant, but its strength was negligible.
- A significant correlation of the effects of development in menopausal symptoms on the level of depression was shown when measured with the MRS scale—in Greece and Belgium, the correlation was relatively weak. However, in Poland and Belarus, it was rather high.
Author Contributions
Funding
Institutional Review Board Statement
Informed Consent Statement
Data Availability Statement
Conflicts of Interest
References
- Bodera, P.; Poznański, S.; Dobrzański, P. Menopauza—Fizjologiczny okres w życiu kobiety. Przew. Lek. 2005, 5, 74–77. [Google Scholar]
- Pertyński, T. (Ed.) Diagnostyka i Terapia Wieku Menopauzalnego; Urban & Partner: Wrocław, Poland, 2004. [Google Scholar]
- Skałba, P. (Ed.) Hormonalna Terapia Zastępcza; Wydawnictwo Lekarskie PZWL: Warszawa, Poland, 2005; pp. 18–48. [Google Scholar]
- Bielawska-Batorowicz, E. Koncepcje Menopauzy. Część I—Ujęcie Demograficzne i Kulturowe. Prz. Menopauz. 2005, 2, 10–18. [Google Scholar]
- Hoffman, E.; Massion, C. Women’s Health as a Medical Speciality and a Clinical Science. In Women, Health and the Mind; Sherr, L., St. Lawrence, J., Eds.; John Wiley & Sons, Ltd.: Chichester, UK, 2000; pp. 3–16. [Google Scholar]
- UN. World Population Prospects. The 1998 Revision. Economic & Social Affairs; United Nations: New York, NY, USA, 1999. [Google Scholar]
- Hill, K. The demography of menopause. Maturitas 1996, 23, 113–127. [Google Scholar] [CrossRef]
- Rachoń, D.; Zdrojewski, T.; Suchecka-Rachon, K.; Bandosz, P.; Manikowski, A.; Wyrzykowski, B. Knowledge and use of hormone replacement therapy among Polish women: Estimates from a nationally representative study—HORTPOL 2002. Maturitas 2004, 47, 31–33. [Google Scholar] [CrossRef]
- Bielawska-Batorowicz, E. Sposób prezentowania menopauzy a ocena związanych z nią zmian. Prz. Menopauz. 2004, 3, 24–30. [Google Scholar] [CrossRef]
- Mehta, J.; Kling, J.M.; Manson, J.E. Risks, Benefits, and Treatment Modalities of Menopausal Hormone Therapy: Current Concepts. Front. Endocrinol. 2021, 12, 564781. [Google Scholar] [CrossRef]
- Heinemann, L.A.; DoMinh, T.; Strelow, F. The Menopause Rating Scale (MRS) as outcome measure for hormone treatment? A validation study, Health. Qual. Life. Outcomes 2004, 22, 67. [Google Scholar] [CrossRef]
- Kupperman, H.S.; Blatt, M.H.G.; Wiesbader, H.; Filler, W. Comparative clinical evaluation of estrogenic preparations by the menopausal and amenorrheal indices. J. Clin. Endocrinol. Metab. 1953, 13, 688–703. [Google Scholar] [CrossRef]
- Kupperman, H.S.; Wetchler, B.B.; Blatt, M.M.G. Contemporary therapy of the menopausal syndrome. JAMA 1959, 171, 1627–1637. [Google Scholar] [CrossRef]
- Beck, A.T.; Steer, R.A. Manual of the Beck Depression Inventory; The Psychological Corporation: San Antonio, TX, USA, 1993. [Google Scholar]
- Avis, N.E.; Stellato, R.; Crawford, S.; Bromberger, J.; Ganz, P.; Cain, V.; Kagawa-Singer, M. Is there a menopausal syndrome? Menopausal status and symptoms across racial/ethnic groups. Soc. Sci. Med. 2001, 52, 345–356. [Google Scholar] [CrossRef]
- Gold, E.B.; Sternfeld, B.; Kelsey, J.L.; Brown, C.; Mouton, C.; Reame, N.; Salamone, L.; Stellato, R. Relation of demographic and lifestyle factors to symptoms in a multiracial/ethnic population of women 40–55 years of age. Am. J. Epidmiol. 2000, 152, 463–473. [Google Scholar] [CrossRef] [PubMed]
- Ho, S.C.; Chan, S.G.; Yip, Y.B.; Chan, S.Y.; Sham, A. Factors associated with symptoms experienced during menopausal transition reporting in Chinese midlife women. Maturitas 2003, 44, 149–156. [Google Scholar] [CrossRef]
- Bowles, C. The menopausal experience: Sociocultural influences and theoretical models. In The Meanings of Menopause: Historical, Medical and Clinical Perspectives; Formanek, R., Ed.; Analytic Press: Hillsdale, NJ, USA, 1990; pp. 157–177. [Google Scholar]
- Hawton, K.; Gath, D.; Day, A. Sexual functioning in a community sample of middle-aged women with partners: Effects of age, marital, socioeconomic, psychiatric, gynecological, and menopausal factors. Archiv. Sex. Behav. 1994, 23, 375–395. [Google Scholar] [CrossRef] [PubMed]
- Hays, J.; Ockene, J.K.; Brunner, R.L.; Kotchen, J.M.; Manson, J.E.; Patterson, R.E.; Aragaki, A.K.; Shumaker, S.A.; Brzyski, R.G.; LaCroix, A.Z.; et al. Effects of estrogen plus progestin on health-related quality of life. N. Engl. J. Med. 2003, 348, 1839–1854. [Google Scholar] [CrossRef] [PubMed]
- Cooper, G.S.; Baird, D.D.; Darden, F.R. Measures of menopausal status in relation to demographic, reproductive, and behavioral characteristics in a population-based study of women aged 35–49 years. Am. J. Epidemiol. 2001, 153, 1159–1165. [Google Scholar] [CrossRef] [PubMed]
- Helson, R.; Wink, P. Personality change in women from the early 40s to the early 50s. Psychol. Aging 1992, 7, 46–55. [Google Scholar] [CrossRef]
- Matthews, K.A.; Wing, R.R.; Kuller, L.H.; Meilahn, E.N.; Kelsey, S.F.; Costello, E.J.; Caggiula, A.W. Influences of natural Menopause on psychological characteristics and symptoms of middle-aged healthy women. J. Consult. Clin. Psychol. 1990, 58, 345–351. [Google Scholar] [CrossRef]
- Dennerstein, L.; Lehert, P.; Burger, H.; Dudley, E. Mood and the menopausal transition. J. Nerv. Ment. Dis. 1999, 187, 685–691. [Google Scholar] [CrossRef]
- Lipińska-Szałek, A.; Sobczuk, A.; Pertyński, T.; Szymczak, W. Wpływ czynników biologicznych i psychospołecznych na psychiczne aspekty okresu okołomenopauzalnego. In Menopauza. IV Kongres Menopauzalny, Łódź 1–3 marca 2001 ICZMP; Pertyński, T., Ed.; Wydawnictwo ADI: Łódź, Poland, 2001; pp. 183–189. [Google Scholar]
- Hardy, R.; Kuh, D. Change in psychological and vasomotor symptom reporting during the menopause. Soc. Sci. Med. 2002, 55, 1975–1988. [Google Scholar] [CrossRef]
- Binfa, L.; Castelo-Branco, C.; Blümel, J.E.; Cancelo, M.J.; Bonilla, H.; Munoz, I.; Vergara, V.; Izaguirre, H.; Sarra, S.; Vilegas Rios, R. Influence of psycho-social factors on climacteric symptoms. Maturitas 2004, 48, 425–431. [Google Scholar] [CrossRef]
- Vesco, K.K.; Haney, E.M.; Humphrey, L.; Fu, R.; Nelson, H.D. Influence of Menopause on mood: A systematic review of cohort studies. Climacteric 2007, 10, 448–465. [Google Scholar] [CrossRef] [PubMed]
- Anderson, D.; Melby, M.K.; Sievert, L.L.; Obermeyer, C.M. Methods used in crosscultural comparisons of psychological symptoms and their determinants. Maturitas 2011, 70, 120–126. [Google Scholar] [CrossRef] [PubMed][Green Version]
- Katon, W.; Sulivan, M.D. Depression and chronic medical illness. J. Clin. Psychiatry 1990, 51, 3–10. [Google Scholar] [PubMed]
- Hutner, M.S. The SE England longitudinal study of the climacteric and postmenopause. Maturitas 1992, 14, 117–126. [Google Scholar] [CrossRef]
- NFZ o Zdrowiu. Depresja; Centrala Narodowego Funduszu Zdrowia: Warszawa, Poland, 2020.
- Stan Zdrowia Ludności Polski w 2019, Źródło Danych GUS. Available online: https://stat.gov.pl/obszary-tematyczne/zdrowie/zdrowie/stan-zdrowia-ludnosci-polski-w-2019-r-,26,1.html (accessed on 12 April 2022).
- Zeng, L.N.; Yang, Y.; Feng, Y.; Cui, X.; Wang, R.; Hall, B.J.; Ungvari, G.S.; Chen, L.; Xiang, Y.-T. The prevalence of depression in menopausal women in China: A meta-analysis of observational Studies. J. Affect Disord. 2019, 256, 337–343. [Google Scholar] [CrossRef]
- Humeniuk, E.; Bojar, I.; Gujski, M.; Raczkiewicz, D. Effect of symptoms of climacteric syndrome, depression and insomnia on self-rated work ability in peri- and postmenopausal women in non-manual employment. Ann. Agric. Environ. Med. 2019, 26, 600–605. [Google Scholar] [CrossRef]
- Jagielska, I.; Grabiec, M.; Wolski, B.; Szymański, W. Częstość występowania objawów depresji w przebiegu zespołu klimakterycznego u kobiet w okresie postmenopauzy. Prz. Menopauz. 2007, 3, 140–144. (In Polish) [Google Scholar]
- Warenik-Szymankiewicz, A.; Męczekalski, B. Estrogeny a funkcje centralnego układu nerowowego. VI Zjazd PTMiA Zakopane 4–6 grudnia 2003. Antyaging 2003, 5, 37–39. (In Polish) [Google Scholar]
- Słopień, R.; Hadas, K.; Maciejewska, M.; Wiza, M. Stopień nasilenia objawów zespołu klimakterycznego a występowanie depresji ocenianej skalą Hamiltona u kobiet po menopauzie. Gin. Pol. 1997, 68, 427. (In Polish) [Google Scholar]
- Araszkiewicz, A.; Płocka-Lewandowska, M.; Skrzypek, T. Zaburzenia psychiczne towarzyszące przekwitaniu i ich leczenie. Med. Biol. 1998, 4, 87–89. (In Polish) [Google Scholar]
- Neff, A.M.; Laws, M.J.; Warner, G.R.; Flaws, J.A. The Effects of Environmental Contaminant Exposure on Reproductive Aging and the Menopause Transition. Curr. Environ. Health Rep. 2022, 9, 53–79. [Google Scholar] [CrossRef] [PubMed]
- Janicka, K. Wpływ terapii hormonalnej na styl poznawczy i depresję kobiet w okresie menopauzy. Prz. Menopauz. 2008, 2, 61–68. (In Polish) [Google Scholar]
- Moradi, Y.; Dowran, B.; Sepandi, M. The global prevalence of depression, suicide ideation, and attempts in the military forces: A systematic review and Meta-analysis of cross-sectional studies. BMC Psychiatry 2021, 21, 510. [Google Scholar] [CrossRef] [PubMed]
- Kevser, O.; Sevil, S.; Sevimli, G.D.; Allatin, U.; Nermin, A. Depression, anxiety, and fear of death in postmenopausal women. Menopause 2020, 27, 1030–1036. [Google Scholar]
- Sloan, D.M.; Kornstein, S.G. Gender differences in depression and response to antidepressant treatment. Psychiatr. Clin. N. Am. 2003, 26, 581–594. [Google Scholar] [CrossRef]
- Zung, W.; Broadhead, W.; Roth, M. Częstość występowania objawów depresyjnych u pacjentów podstawowej opieki zdrowotnej. Lęk Depresja 1996, 1, 10–23. (In Polish) [Google Scholar]




| Country | Age | |||||||
|---|---|---|---|---|---|---|---|---|
| N | s | Min | Max | Q25 | Me | Q75 | ||
| Poland | 50.7 | 241 | 4.26 | 40 | 60 | 47 | 50 | 54 |
| Belgium | 51.9 | 79 | 4.80 | 42 | 61 | 48 | 53 | 56 |
| Belarus | 51.8 | 119 | 3.71 | 45 | 61 | 49 | 51 | 54 |
| Greece | 51.9 | 100 | 3.61 | 45 | 60 | 49 | 52 | 55 |
| Total | 51.3 | 539 | 4.14 | 40 | 61 | 48 | 51 | 55 |
| Country | Place of residence (p = 0.0000) | Total | ||||||
| Village | Small town | Big town | ||||||
| Poland | 47 | 115 | 79 | 241 | ||||
| % | 19.5% | 47.7% | 32.8% | 100% | ||||
| Belgium | 22 | 33 | 24 | 79 | ||||
| % | 27.8% | 41.8% | 30.4% | 100% | ||||
| Belarus | 9 | 28 | 82 | 119 | ||||
| % | 7.6% | 23.5% | 68.9% | 100% | ||||
| Greece | 12 | 38 | 50 | 100 | ||||
| % | 12.0% | 38.0% | 50.0% | 100% | ||||
| Total | 90 | 214 | 235 | 539 | ||||
| Country | Education (p = 0.0000) | Total | ||||||
| Primary | Vocational | Secondary | University | |||||
| Poland | 19 | 42 | 129 | 51 | 241 | |||
| % | 7.9% | 17.4% | 53.5% | 21.2% | 100% | |||
| Belgium | 7 | 10 | 28 | 34 | 79 | |||
| % | 8.9% | 12.7% | 35.4% | 43.0% | 100% | |||
| Belarus | 0 | 59 | 37 | 22 | 118 | |||
| % | 0.0% | 50.0% | 31.4% | 18.6% | 100% | |||
| Greece | 44 | 17 | 31 | 8 | 100 | |||
| % | 44.0% | 17.0% | 31.0% | 8.0% | 100% | |||
| Total | 70 | 128 | 225 | 114 | 538 | |||
| Country | Financial status (p = 0.0000) | Total | ||||||
| Very good | Good | Average | Bad | |||||
| Poland | 9 | 83 | 135 | 14 | 241 | |||
| % | 3.7% | 34.4% | 56.0% | 5.8% | 100% | |||
| Belgium | 13 | 49 | 17 | 0 | 79 | |||
| % | 16.5% | 62.0% | 21.5% | 0.0% | 100% | |||
| Belarus | 0 | 14 | 87 | 18 | 119 | |||
| % | 0.0% | 11.8% | 73.1% | 15.1% | 100% | |||
| Greece | 12 | 46 | 40 | 2 | 100 | |||
| % | 12.0% | 46.0% | 40.0% | 2.0% | 100% | |||
| Total | 34 | 192 | 279 | 34 | 539 | |||
| Symptoms | Poland | Belgium | Belarus | Greece | Chi-Squared Test | ||||||||
|---|---|---|---|---|---|---|---|---|---|---|---|---|---|
| No | Sometimesesmesmes | Often | Never | Sometimes | Often | Never | Sometimes | Often | Never | Sometimes | Often | ||
| Attention deficit | 37% | 56% | 7% | 29% | 56% | 15% | 60% | 34% | 6% | 58% | 35% | 7% | 0.0000 |
| Loss of confidence | 69% | 26% | 5% | 51% | 32% | 17% | 79% | 17% | 4% | 76% | 20% | 4% | 0.0003 |
| Anxiety | 52% | 39% | 10% | 27% | 41% | 32% | 79% | 15% | 6% | 77% | 19% | 4% | 0.0000 |
| Guilty | 49% | 39% | 12% | 37% | 47% | 16% | 63% | 29% | 8% | 71% | 21% | 8% | 0.0004 |
| Tendency to cry | 37% | 45% | 18% | 37% | 47% | 16% | 51% | 39% | 10% | 68% | 23% | 9% | 0.0001 |
| Suicidal thoughts | 88% | 10% | 2% | 72% | 19% | 9% | 89% | 8% | 3% | 88% | 7% | 5% | 0.0154 |
| Mood swings | 17% | 63% | 20% | 33% | 48% | 19% | 16% | 73% | 11% | 40% | 49% | 11% | 0.0000 |
| Trouble with memory | 33% | 55% | 12% | 49% | 36% | 15% | 47% | 43% | 10% | 57% | 36% | 7% | 0.0049 |
| Dryness of mucous membranes | 62% | 30% | 8% | 63% | 27% | 10% | 74% | 18% | 8% | 77% | 19% | 4% | 0.0673 |
| Dysgeusia | 90% | 8% | 2% | 76% | 18% | 6% | 87% | 13% | 0% | 72% | 24% | 4% | 0.0003 |
| Vaginal dryness | 48% | 41% | 11% | 32% | 43% | 25% | 78% | 19% | 3% | 44% | 43% | 13% | 0.0000 |
| Urinary tract infection | 67% | 26% | 7% | 50% | 32% | 18% | 93% | 5% | 2% | 73% | 21% | 6% | 0.0000 |
| Urinary incontinence | 62% | 27% | 12% | 44% | 29% | 27% | 85% | 10% | 5% | 79% | 14% | 7% | 0.0000 |
| Vaginitis | 71% | 24% | 5% | 45% | 34% | 21% | 88% | 8% | 4% | 66% | 28% | 6% | 0.0000 |
| Decrease in libido | 38% | 44% | 18% | 43% | 40% | 17% | 29% | 58% | 12% | 35% | 48% | 17% | 0.3357 |
| Painful intercourse | 59% | 31% | 10% | 35% | 46% | 19% | 68% | 24% | 8% | 50% | 31% | 19% | 0.0001 |
| Country | N | s | Min | Max | Q25 | Median | Q75 | |
|---|---|---|---|---|---|---|---|---|
| The severity of mental distress | ||||||||
| Poland | 4.8 (1.2) | 239 | 3.4 | 0 | 16 | 2.0 | 4.0 | 7.0 |
| Belgium | 5.0 (1.25) | 78 | 2.9 | 0 | 13 | 3.0 | 4.5 | 7.0 |
| Belarus | 4.1 (1.03) | 119 | 3.5 | 0 | 16 | 2.0 | 3.0 | 6.0 |
| Greece | 4.7 (1.18) | 98 | 3.0 | 0 | 14 | 3.0 | 4.0 | 6.0 |
| Total | 4.6 (1.15) | 534 | 3.3 | 0 | 16 | 2.0 | 4.0 | 7.0 |
| The severity of somatic distress | ||||||||
| Poland | 4.9 (1.23) | 240 | 3.0 | 0 | 13 | 2 | 5 | 7 |
| Belgium | 5.5 (1.13) | 79 | 2.7 | 0 | 12 | 4 | 5 | 7 |
| Belarus | 5.2 (1.05) | 119 | 3.7 | 0 | 14 | 2 | 4 | 7 |
| Greece | 5.7 (1.18) | 100 | 3.1 | 0 | 13 | 3 | 6 | 8 |
| Total | 5.2 (1.05) | 538 | 3.2 | 0 | 14 | 3 | 5 | 7 |
| The severity of sexual issues | ||||||||
| Poland | 2.5 | 241 | 2.4 | 0 | 11 | 0 | 2 | 4 |
| Belgium | 3.3 | 79 | 2.4 | 0 | 12 | 2 | 3 | 5 |
| Belarus | 1.6 | 119 | 2.4 | 0 | 12 | 0 | 1 | 2 |
| Greece | 2.6 | 99 | 2.2 | 0 | 9 | 1 | 2 | 4 |
| Total | 2.5 | 538 | 2.5 | 0 | 12 | 1 | 2 | 4 |
| The total measure of MRS | ||||||||
| Poland | 12.2 | 238 | 7.6 | 0 | 37 | 6 | 11 | 17 |
| Belgium | 13.8 | 78 | 6.5 | 0 | 33 | 10 | 14 | 17 |
| Belarus | 10.8 | 119 | 8.0 | 1 | 38 | 4 | 8 | 16 |
| Greece | 12.9 | 97 | 6.5 | 0 | 31 | 9 | 13 | 16 |
| Total | 12.3 | 532 | 7.4 | 0 | 38 | 6 | 12 | 17 |
| Country | N | s | Min | Max | Q25 | Median | Q75 | |
|---|---|---|---|---|---|---|---|---|
| Poland | 10.5 | 234 | 7.9 | 0 | 39 | 4 | 10 | 15 |
| Belgium | 11.1 | 75 | 5.7 | 0 | 29 | 7 | 10 | 15 |
| Belarus | 13.7 | 113 | 9.9 | 0 | 41 | 6 | 12 | 19 |
| Greece | 11.8 | 95 | 6.6 | 0 | 31 | 8 | 11 | 14 |
| Total | 11.5 | 517 | 8.0 | 0 | 41 | 6 | 11 | 16 |
| Country | Severity of Depression according to Beck Inventory (p = 0.0038) | Total | ||
|---|---|---|---|---|
| No Depression | Moderate Depression | Severe Depression | ||
| Poland | 142 | 85 | 7 | 234 |
| %→ | 60.7% | 36.3% | 3.0% | 100% |
| Belgium | 43 | 31 | 1 | 75 |
| %→ | 57.3% | 41.3% | 1.3% | 100% |
| Belarus | 56 | 43 | 14 | 113 |
| %→ | 49.6% | 38.1% | 12.4% | 100% |
| Greece | 50 | 41 | 4 | 95 |
| %→ | 52.6% | 43.2% | 4.2% | 100% |
| Total | 291 | 200 | 26 | 517 |
| Education | Poland (p = 0.000) | Belgium (p = 0.0392) | Belarus (p = 0.0529) | Greece (p = 0.7702) | ||||
|---|---|---|---|---|---|---|---|---|
| Median | Median | Median | Median | |||||
| Primary | 17.4 | 17.0 | 16.7 | 18.0 | – | – | 12.2 | 10.5 |
| vocational | 12.8 | 12.0 | 8.4 | 9.0 | 13.1 | 11.0 | 12.2 | 13.0 |
| secondary | 9.0 | 7.5 | 12.2 | 11.5 | 16.6 | 15.0 | 10.9 | 10.3 |
| higher | 9.8 | 9.0 | 9.7 | 10.0 | 10.3 | 8.0 | 13.1 | 12.0 |
| Taking HRT | Poland (p = 0.2229) | Belgium (p = 0.5908) | Belarus (p = 0.5420) | Greece (p = 0.8241) | ||||
|---|---|---|---|---|---|---|---|---|
| Median | Median | Median | Median | |||||
| yes | 12.1 | 11.0 | 11.4 | 11.0 | 12.4 | 10.0 | 12.1 | 11.0 |
| no | 10.2 | 9.5 | 11.0 | 10.0 | 13.9 | 12.0 | 11.9 | 11.0 |
Publisher’s Note: MDPI stays neutral with regard to jurisdictional claims in published maps and institutional affiliations. |
© 2022 by the authors. Licensee MDPI, Basel, Switzerland. This article is an open access article distributed under the terms and conditions of the Creative Commons Attribution (CC BY) license (https://creativecommons.org/licenses/by/4.0/).
Share and Cite
Krajewska-Ferishah, K.; Kułak-Bejda, A.; Szyszko-Perłowska, A.; Shpakou, A.; Van Damme-Ostapowicz, K.; Chatzopulu, A. Risk of Depression during Menopause in Women from Poland, Belarus, Belgium, and Greece. J. Clin. Med. 2022, 11, 3371. https://doi.org/10.3390/jcm11123371
Krajewska-Ferishah K, Kułak-Bejda A, Szyszko-Perłowska A, Shpakou A, Van Damme-Ostapowicz K, Chatzopulu A. Risk of Depression during Menopause in Women from Poland, Belarus, Belgium, and Greece. Journal of Clinical Medicine. 2022; 11(12):3371. https://doi.org/10.3390/jcm11123371
Chicago/Turabian StyleKrajewska-Ferishah, Katarzyna, Agnieszka Kułak-Bejda, Agnieszka Szyszko-Perłowska, Andrei Shpakou, Katarzyna Van Damme-Ostapowicz, and Antigoni Chatzopulu. 2022. "Risk of Depression during Menopause in Women from Poland, Belarus, Belgium, and Greece" Journal of Clinical Medicine 11, no. 12: 3371. https://doi.org/10.3390/jcm11123371
APA StyleKrajewska-Ferishah, K., Kułak-Bejda, A., Szyszko-Perłowska, A., Shpakou, A., Van Damme-Ostapowicz, K., & Chatzopulu, A. (2022). Risk of Depression during Menopause in Women from Poland, Belarus, Belgium, and Greece. Journal of Clinical Medicine, 11(12), 3371. https://doi.org/10.3390/jcm11123371

