The Assessment of Myocardial Longitudinal Strain in a Paediatric Spanish Population Using a New Software Analysis
Abstract
1. Introduction
2. Materials and Methods
2.1. Study Population
2.2. Conventional Echocardiographic Study
2.3. Strain Analysis
2.4. Statical Analysis
3. Results
3.1. Feasibility Analysis
3.2. Effect of Sex, Age and Body Surface Area on Strain Values
3.3. Variables Independently Associated with Strain Values
3.3.1. Left Ventricle
3.3.2. Right Ventricle
3.3.3. Left Atrium
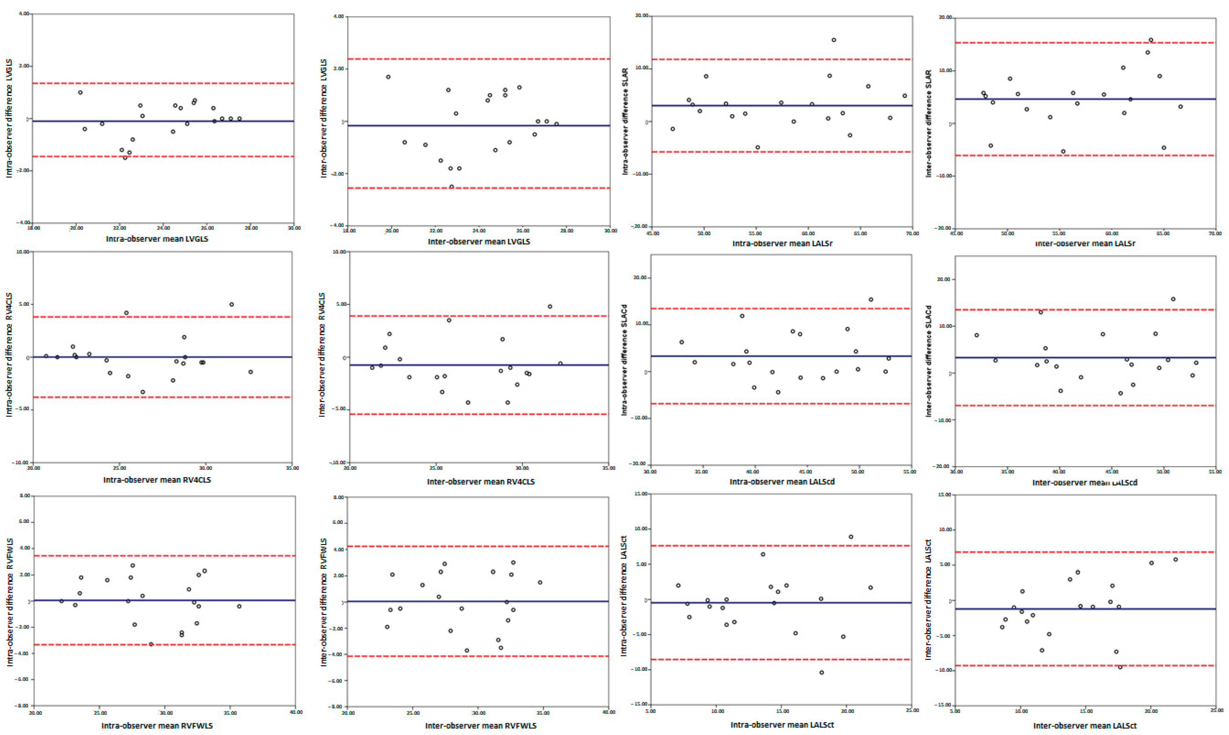
3.4. Reproducibility
4. Discussion
Limitations
5. Conclusions
Author Contributions
Funding
Institutional Review Board Statement
Informed Consent Statement
Acknowledgments
Conflicts of Interest
Abbreviations
References
- Kaul, S.; Miller, J.G.; Grayburn, P.A.; Hashimoto, S.; Hibberd, M.; Holland, M.R.; Houle, H.C.; Klein, A.L.; Knoll, P.; Lang, R.M.; et al. A suggested roadmap for cardiovascular ultrasound research for the future. J. Am. Soc. Echocardiogr. 2011, 24, 455–464. [Google Scholar] [CrossRef] [PubMed]
- Reisner, S.A.; Lysyansky, P.; Agmon, Y.; Mutlak, D.; Lessick, J.; Friedman, Z. Global longitudinal strain: A novel index of left ventricular systolic function. J. Am. Soc. Echocardiogr. 2004, 17, 630–633. [Google Scholar] [CrossRef] [PubMed]
- Brecht, A.; Oertelt-Prigione, S.; Seeland, U.; Rücke, M.; Hättasch, R.; Wagelöhner, T.; Regitz-Zagrosek, V.; Baumann, G.; Knebel, F.; Stangl, V. Left Atrial Function in Preclinical Diastolic Dysfunction: Two-Dimensional Speckle-Tracking Echocardiography-Derived Results from the BEFRI Trial. J. Am. Soc. Echocardiogr. 2016, 29, 750–758. [Google Scholar] [CrossRef] [PubMed]
- Abou, R.; van der Bijl, P.; Bax, J.J.; Delgado, V. Global longitudinal strain: Clinical use and prognostic implications in contemporary practice. Heart 2020, 106, 1438–1444. [Google Scholar] [CrossRef] [PubMed]
- Kawakami, H.; Wright, L.; Nolan, M.; Potter, E.L.; Yang, H.; Marwick, T.H. Feasibility, Reproducibility, and Clinical Implications of the Novel Fully Automated Assessment for Global Longitudinal Strain. J. Am. Soc. Echocardiogr. 2021, 34, 136–145.e2. [Google Scholar] [CrossRef] [PubMed]
- McCloud, A.K.; Lowisz, J.; Roberson, D.A.; Lefaiver, C.A.; Penk, J.S. Semi-automated speckle-tracking for quantitative right ventricular assessment in children and adolescents. Cardiol. Young 2019, 29, 1149–1159. [Google Scholar] [CrossRef]
- Marcus, K.A.; Mavinkurve-Groothuis, A.M.; Barends, M.; van Dijk, A.; Feuth, T.; de Korte, C.; Kapusta, L. Reference values for myocardial two-dimensional strain echocardiography in a healthy pediatric and young adult cohort. J. Am. Soc. Echocardiogr. 2011, 24, 625–636. [Google Scholar] [CrossRef]
- Levy, P.T.; Machefsky, A.; Sanchez, A.A.; Patel, M.; Rogal, S.; Fowler, S.; Yaeger, L.; Hardi, A.; Holland, M.R.; Hamvas, A.; et al. Reference Ranges of Left Ventricular Strain Measures by Two-Dimensional Speckle-Tracking Echocardiography in Children: A Systematic Review and Meta-Analysis. J. Am. Soc. Echocardiogr. 2016, 29, 209–225.e6. [Google Scholar] [CrossRef]
- Jashari, H.; Rydberg, A.; Ibrahimi, P.; Bajraktari, G.; Kryeziu, L.; Jashari, F.; Henein, M.Y. Normal ranges of left ventricular strain in children: A meta-analysis. Cardiovasc. Ultrasound 2015, 13, 37. [Google Scholar] [CrossRef]
- Sato, Y.; Maruyama, A.; Ichihashi, K. Myocardial strain of the left ventricle in normal children. J. Cardiol. 2012, 60, 145–149. [Google Scholar] [CrossRef][Green Version]
- Lorch, S.M.; Ludomirsky, A.; Singh, G.K. Maturational and growth-related changes in left ventricular longitudinal strain and strain rate measured by two-dimensional speckle tracking echocardiography in healthy pediatric population. J. Am. Soc. Echocardiogr. 2008, 21, 1207–1215. [Google Scholar] [CrossRef] [PubMed]
- Cantinotti, M.; Scalese, M.; Giordano, R.; Franchi, E.; Assanta, N.; Marotta, M.; Viacava, C.; Molinaro, S.; Iervasi, G.; Santoro, G.; et al. Normative Data for Left and Right Ventricular Systolic Strain in Healthy Caucasian Italian Children by Two-Dimensional Speckle-Tracking Echocardiography. J. Am. Soc. Echocardiogr. 2018, 31, 712–720.e6. [Google Scholar] [CrossRef] [PubMed]
- Kutty, S.; Padiyath, A.; Li, L.; Peng, Q.; Rangamani, S.; Schuster, A.; Danford, D.A. Functional maturation of left and right atrial systolic and diastolic performance in infants, children, and adolescents. J. Am. Soc. Echocardiogr. 2013, 26, 398–409.e2. [Google Scholar] [CrossRef] [PubMed]
- Levy, P.T.; Sanchez Mejia, A.A.; Machefsky, A.; Fowler, S.; Holland, M.R.; Singh, G.K. Normal ranges of right ventricular systolic and diastolic strain measures in children: A systematic review and meta-analysis. J. Am. Soc. Echocardiogr. 2014, 27, 549–560.e3. [Google Scholar] [CrossRef] [PubMed]
- Park, J.-H.; Choi, J.-O.; Park, S.W.; Cho, G.-Y.; Oh, J.K.; Lee, J.-H.; Seong, I.-W. Normal references of right ventricular strain values by two-dimensional strain echocardiography according to the age and gender. Int. J. Cardiovasc. Imaging 2018, 34, 177–183. [Google Scholar] [CrossRef] [PubMed]
- Ghelani, S.J.; Brown, D.W.; Kuebler, J.D.; Perrin, D.; Shakti, D.; Williams, D.N.; Marx, G.R.; Colan, S.D.; Geva, T.; Harrild, D.M. Left Atrial Volumes and Strain in Healthy Children Measured by Three-Dimensional Echocardiography: Normal Values and Maturational Changes. J. Am. Soc. Echocardiogr. 2018, 31, 187–193.e1. [Google Scholar] [CrossRef]
- Jimbo, S.; Noto, N.; Okuma, H.; Kato, M.; Komori, A.; Ayusawa, M.; Morioka, I. Normal reference values for left atrial strains and strain rates in school children assessed using two-dimensional speckle-tracking echocardiography. Heart Vessels 2020, 35, 1270–1280. [Google Scholar] [CrossRef]
- Cantinotti, M.; Scalese, M.; Giordano, R.; Franchi, E.; Assanta, N.; Molinaro, S.; Iervasi, G.; Santoro, G.; Koestenberger, M.; Kutty, S. Left and Right Atrial Strain in Healthy Caucasian Children by Two-Dimensional Speckle-Tracking Echocardiography. J. Am. Soc. Echocardiogr. 2019, 32, 165–168.e3. [Google Scholar] [CrossRef]
- Asch, F.M.; Miyoshi, T.; Addetia, K.; Citro, R.; Daimon, M.; Desale, S.; Fajardo, P.G.; Kasliwal, R.R.; Kirkpatrick, J.N.; Monaghan, M.J.; et al. Similarities and Differences in Left Ventricular Size and Function among Races and Nationalities: Results of the World Alliance Societies of Echocardiography Normal Values Study. J. Am. Soc. Echocardiogr. 2019, 32, 1396–1406. [Google Scholar] [CrossRef]
- Voigt, J.-U.; Pedrizzetti, G.; Lysyansky, P.; Marwick, T.H.; Houle, H.; Baumann, R.; Pedri, S.; Ito, Y.; Abe, Y.; Metz, S.; et al. Definitions for a common standard for 2D speckle tracking echocardiography: Consensus document of the EACVI/ASE/Industry Task Force to standardize deformation imaging. Eur. Heart J. Cardiovasc. Imaging 2015, 16, 1–11. [Google Scholar] [CrossRef]
- Badano, L.P.; Kolias, T.J.; Muraru, D.; Abraham, T.P.; Aurigemma, G.; Edvardsen, T.; D’Hooge, J.; Donal, E.; Fraser, A.G.; Marwick, T.; et al. Industry representatives; Reviewers: This document was reviewed by members of the 2016–2018 EACVI Scientific Documents Committee. Standardization of left atrial, right ventricular, and right atrial deformation imaging using two-dimensional speckle tracking echocardiography: A consensus document of the EACVI/ASE/Industry Task Force to standardize deformation imaging. Eur. Heart J. Cardiovasc. Imaging 2018, 19, 591–600. [Google Scholar] [CrossRef] [PubMed]
- Haycock, G.B.; Schwartz, G.J.; Wisotsky, D.H. Geometric method for measuring body surface area: A height-weight formula validated in infants, children, and adults. J. Pediatr. 1978, 93, 62–66. [Google Scholar] [CrossRef]
- De Onis, M.; Onyango, A.W.; Borghi, E.; Siyam, A.; Nishida, C.; Siekmann, J. Development of a WHO growth reference for school-aged children and adolescents. Bull. World Health Organ. 2007, 85, 660–667. [Google Scholar] [CrossRef] [PubMed]
- Lai, W.W.; Geva, T.; Shirali, G.S.; Frommelt, P.C.; Humes, R.A.; Brook, M.M.; Pignatelli, R.H.; Rychik, J.; Task Force of the Pediatric Council of the American Society of Echocardiography; Pediatric Council of the American Society of Echocardiography. Guidelines and standards for performance of a pediatric echocardiogram: A report from the Task Force of the Pediatric Council of the American Society of Echocardiography. J. Am. Soc. Echocardiogr. 2006, 19, 1413–1430. [Google Scholar] [CrossRef] [PubMed]
- Lopez, L.; Colan, S.D.; Frommelt, P.C.; Ensing, G.J.; Kendall, K.; Younoszai, A.K.; Lai, W.W.; Geva, T. Recommendations for quantification methods during the performance of a pediatric echocardiogram: A report from the Pediatric Measurements Writing Group of the American Society of Echocardiography Pediatric and Congenital Heart Disease Council. J. Am. Soc. Echocardiogr. 2010, 23, 465–495, quiz 576–577. [Google Scholar] [CrossRef]
- Flachskampf, F.A.; Blankstein, R.; Grayburn, P.A.; Kramer, C.M.; Kwong, R.Y.; Marwick, T.H.; Nagel, E.; Sengupta, P.P.; Zoghbi, W.A.; Chandrashekhar, Y. Global Longitudinal Shortening: A Positive Step Towards Reducing Confusion Surrounding Global Longitudinal Strain. JACC Cardiovasc. Imaging 2019, 12 Pt 1, 1566–1567. [Google Scholar] [CrossRef]
- Smiseth, O.A.; Torp, H.; Opdahl, A.; Haugaa, K.H.; Urheim, S. Myocardial strain imaging: How useful is it in clinical decision making? Eur. Heart J. 2016, 37, 1196–1207. [Google Scholar] [CrossRef]
- Mingo-Santos, S.; Moñivas-Palomero, V.; Garcia-Lunar, I.; Mitroi, C.D.; Goirigolzarri-Artaza, J.; Rivero, B.; Oteo, J.F.; Castedo, E.; González-Mirelis, J.; Cavero, M.A.; et al. Usefulness of Two-Dimensional Strain Parameters to Diagnose Acute Rejection after Heart Transplantation. J. Am. Soc. Echocardiogr. 2015, 28, 1149–1156. [Google Scholar] [CrossRef]
- Di Salvo, G.; Drago, M.; Pacileo, G.; Rea, A.; Carrozza, M.; Santoro, G.; Bigazzi, M.C.; Caso, P.; Russo, M.G.; Carminati, M.; et al. Atrial function after surgical and percutaneous closure of atrial septal defect: A strain rate imaging study. J. Am. Soc. Echocardiogr. 2005, 18, 930–933. [Google Scholar] [CrossRef]
- Koenigstein, K.; Raedle-Hurst, T.; Hosse, M.; Hauser, M.; Abdul-Khaliq, H. Altered diastolic left atrial and ventricular performance in asymptomatic patients after repair of tetralogy of Fallot. Pediatr. Cardiol. 2013, 34, 948–953. [Google Scholar] [CrossRef]
- Sabatino, J.; Di Salvo, G.; Prota, C.; Bucciarelli, V.; Josen, M.; Paredes, J.; Borrelli, N.; Sirico, D.; Prasad, S.; Indolfi, C.; et al. Left Atrial Strain to Identify Diastolic Dysfunction in Children with Cardiomyopathies. J. Clin. Med. 2019, 8, 1243. [Google Scholar] [CrossRef] [PubMed]
- Zamorano, J.L.; Lancellotti, P.; Muñoz, D.R.; Aboyans, V.; Asteggiano, R.; Galderisi, M.; Habib, G.; Lenihan, D.J.; Lip, G.Y.H.; Lyon, A.R.; et al. 2016 ESC Position Paper on cancer treatments and cardiovascular toxicity developed under the auspices of the ESC Committee for Practice Guidelines: The Task Force for cancer treatments and cardiovascular toxicity of the European Society of Cardiology (ESC). Eur. J. Heart Fail 2017, 19, 9–42. [Google Scholar] [CrossRef] [PubMed]
- Knackstedt, C.; Bekkers, S.C.; Schummers, G.; Schreckenberg, M.; Muraru, D.; Badano, L.; Franke, A.; Bavishi, C.; Omar, A.M.S.; Sengupta, P.P. Fully Automated Versus Standard Tracking of Left Ventricular Ejection Fraction and Longitudinal Strain: The FAST-EFs Multicenter Study. J. Am. Coll. Cardiol. 2015, 66, 1456–1466. [Google Scholar] [CrossRef] [PubMed]
- Dallaire, F.; Slorach, C.; Bradley, T.; Hui, W.; Sarkola, T.; Friedberg, M.K.; Jaeggi, E.; Dragulescu, A.; Mahmud, F.H.; Daneman, D.; et al. Pediatric Reference Values and Z Score Equations for Left Ventricular Systolic Strain Measured by Two-Dimensional Speckle-Tracking Echocardiography. J. Am. Soc. Echocardiogr. 2016, 29, 786–793.e8. [Google Scholar] [CrossRef] [PubMed]
- Kuebler, J.D.; Ghelani, S.; Williams, D.M.; Nathan, M.; Marx, G.; Colan, S.D.; Harrild, D.M. Normal Values and Growth-Related Changes of Left Ventricular Volumes, Stress, and Strain in Healthy Children Measured by 3-Dimensional Echocardiography. Am. J. Cardiol. 2018, 122, 331–339. [Google Scholar] [CrossRef]
- Adar, A.; Ghelani, S.J.; Sleeper, L.A.; Lu, M.; Marcus, E.; Ferraro, A.M.; Colan, S.D.; Banka, P.; Powell, A.J.; Harrild, D.M. Normal Values for Left Ventricular Strain and Synchrony in Children Based on Speckle Tracking Echocardiography. Am. J. Cardiol. 2019, 123, 1546–1554. [Google Scholar] [CrossRef]
- Koopman, L.P.; Rebel, B.; Gnanam, D.; Menting, M.E.; Helbing, W.A.; Boersma, E. Reference values for two-dimensional myocardial strain echocardiography of the left ventricle in healthy children. Cardiol. Young 2019, 29, 325–337. [Google Scholar] [CrossRef]
- Barbier, P.; Solomon, S.B.; Schiller, N.B.; Glantz, S.A. Left atrial relaxation and left ventricular systolic function determine left atrial reservoir function. Circulation 1999, 100, 427–436. [Google Scholar] [CrossRef]
- Saraiva, R.; Demirkol, S.; Buakhamsri, A.; Greenberg, N.; Popovic, Z.; Thomas, J.D.; Klein, A.L. Left atrial strain measured by two-dimensional speckle tracking represents a new tool to evaluate left atrial function. J. Am. Soc. Echocardiogr. 2010, 23, 172–180. [Google Scholar] [CrossRef]
- Rosca, M.; Lancellotti, P.; Popescu, B.A.; Piérard, L.A. Left atrial function: Pathophysiology, echocardiographic assessment, and clinical applications. Heart 2011, 97, 1982–1989. [Google Scholar] [CrossRef]



| Variables | Total (N:156) | Females (N:78) | Males (N:78) | p Value |
|---|---|---|---|---|
| BASELINE CHARACTERISTICS N ± SD | ||||
| Age (years) | 11 ± 3 | 11 ± 3 | 12 ± 3 | 0.23 |
| Weight (Kg) | 38 ± 13 | 37 ± 13 | 39 ± 13 | 0.2 |
| Height (cm) | 142 ± 16 | 139 ± 17 | 144 ± 17 | 0.059 |
| BSA (m2) | 1.2 ± 0.27 | 1.19 ± 0.27 | 1.25 ± 0.28 | 0.17 |
| BMI (Kg/m2) | 18 ± 2.7 | 19 ± 2.9 | 18 ± 2.5 | 0.4 |
| SBP (mmHg) | 108 ± 10 | 106 ± 10 | 110 ± 10 | 0.028 |
| CONVENTIONAL ECHOCARDIOGRAPHIC FINDINGS | ||||
| LVEF (%) | 65 ± 4 | 65 ± 5 | 66 ± 3 | 0.25 |
| EDV (mL) | 60 ± 18 | 54 ± 16 | 66 ± 19 | <0.0001 |
| EDV Index (mL/m²) | 49.5 ± 8.4 | 46.4 ± 7.6 | 52.5 ± 8 | <0.0001 |
| LV Mass (gr) | 72 ± 29 | 64 ± 21 | 80 ± 34 | 0.001 |
| LV Mass index (gr/m²) | 58.6 ± 15.2 | 54.2 ± 11.6 | 63 ± 17.1 | 0.001 |
| A Velocity (cm/s) | 58 ± 13 | 61 ± 13 | 55 ± 12 | 0.002 |
| E/A Ratio | 1.9 (1.6–2.1) | 1.8 (1.6–2) | 1.9 (1.6–2.1) | 0.005 |
| E/e’ Ratio | 6.4 ± 1.1 | 6.4 ± 1.1 | 6.3 ± 1.1 | 0.48 |
| LA Vol (mL) | 21 ± 7 | 19 ± 5 | 23 ± 7 | 0.001 |
| LA Vol Index (mL/m²) | 17.3 ± 4.6 | 16.4 ± 4.5 | 18.2 ± 4.5 | 0.019 |
| TAPSE (mm) | 21 ± 3.8 | 21 ± 4 | 21 ± 3 | 0.56 |
| FAC (%) | 50 ± 8 | 50 ± 8 | 49 ± 8 | 0.76 |
| TEI index | 0.75 ± 0.06 | 0.76 ± 0.07 | 0.74 ± 0.06 | 0.24 |
| S´ RV (cm/s) | 13.7 ± 2.2 | 14 ± 2.3 | 14 ± 2.3 | 0.54 |
| RVBD (mm) | 28 ± 4 | 26 ± 4 | 29 ± 4 | <0.0001 |
| Variables | 6–9 Years (N:62) | 10–12 Years (N:48) | 13–17 Years (N:46) | p Value |
|---|---|---|---|---|
| BASELINE CHARACTERISTICS | ||||
| Male (%) | 19 (44) | 24 (54) | 37 (54) | 0.86 |
| Weight (Kg) | 27 ± 5 | 40 ± 9 | 51 ± 10 | <0.0001 |
| Height (cm) | 126 ± 7 | 145 ± 9 | 159 ± 8 | <0.0001 |
| BSA (m2) | 0.97 ± 0.12 | 1.27 ± 0.19 | 1.50 ± 0.19 | <0.0001 |
| BMI (Kg/m2) | 16.8 ± 1.8 | 18.9 ± 2.6 | 20.1 ± 2.6 | <0.0001 |
| SBP (mmHg) | 103 ± 8 | 108 ± 10 | 115 ± 8 | <0.0001 |
| CONVENTIONAL ECHOCARDIOGRAPHIC FINDINGS | ||||
| LVEF (%) | 65 ± 4 | 65 ± 5 | 66 ± 4 | 0.45 |
| EDV (mL) | 47 ± 11 | 62 ± 12 | 77 ± 17 | <0.0001 |
| EDV Index (mL/m²) | 48 ± 8 | 49 ± 7 | 51 ± 9 | 0.227 |
| Mass LV (gr) | 55 ± 18 | 72 ± 20 | 95 ± 34 | <0.0001 |
| LV Mass index (gr/m²) | 56 ± 15 | 56 ± 11 | 63 ± 19 | 0.047 |
| A Vel (cm/s) | 61 ± 12 | 58 ± 14 | 56 ± 12 | 0.142 |
| E/e´ Ratio | 6.7 ± 1.1 | 6.3 ± 1.1 | 6.4 ± 1.1 | 0.003 |
| LA Volume (mL) | 18 ± 5 | 20 ± 6 | 25 ± 8 | <0.0001 |
| LA Vol Index (mL/m²) | 19 ± 5 | 16 ± 4 | 17 ± 4 | 0.016 |
| TAPSE (mm) | 20 ± 4 | 22 ± 3 | 23 ± 3 | <0.0001 |
| FAC (%) | 52 ± 7 | 48 ± 9 | 50 ± 8 | 0.044 |
| TEI index | 0.75 ± 0.06 | 0.74 ± 0.08 | 0.76 ± 0.05 | 0.68 |
| S´ RV (cm/s) | 13 ± 2.2 | 14 ± 2.3 | 14 ± 2.1 | 0.022 |
| RV basal (mm) | 26 ± 4 | 28 ± 4 | 30 ± 4 | <0.0001 |
| Variables | Total (N:156) | 6–9 Years (N:62) | 10–12 Years (N:48) | 13–17 Years (N:46) | p Value | Females (N:78) | Males (N:78) | p Value |
|---|---|---|---|---|---|---|---|---|
| LVGLS (%) | 147 (94.2) | 61 (98.4) | 42 (87.5) | 44 (95.7) | 0.046 | 72 (92.3) | 75 (96.2) | 0.45 |
| RVFWLS (%) | 152 (97.4) | 62 (100) | 45 (93.8) | 45 (97.8) | 0.120 | 75 (96.2) | 77 (98.7) | 0.62 |
| RV4CLS (%) | 153 (98.1) | 62 (100) | 45 (93.8) | 46 (100) | 0.032 | 76 (97.4) | 77 (98.7) | 0.56 |
| LALSr (%) | 153 (98.1) | 62 (100) | 46 (95.8) | 45 (97.8) | 0.289 | 76 (97.4) | 77 (98.7) | 0.56 |
| LALScd (%) | 153 (98.1) | 62 (100) | 46 (95.8) | 45 (97.8) | 0.289 | 76 (97.4) | 77 (98.7) | 0.56 |
| LALSct (%) | 152 (97.4) | 62 (100) | 45 (93.8) | 45 (97.8) | 0.120 | 75 (96.2) | 77 (98.7) | 0.62 |
| Variables | Total (N:153) | Females (N:76) | Males (N:77) | p Value |
|---|---|---|---|---|
| LVGLS | 26.7 ± 2.3 | 27 ± 1.9 | 26.3 ± 2.5 | 0.041 |
| RVFWLS | 30.5 ± 4.4 | 32 ± 4.4 | 29.1 ± 3.9 | <0.0001 |
| RV4CLS | 26.9 ± 4 | 28.1 ± 4.1 | 25.7 ± 3.5 | <0.0001 |
| LALSr | 57.8 ± 10.5 | 59.7 ± 9.7 | 56 ± 11.1 | 0.032 |
| LALScd | 44.9 ± 9.5 | 45.8 ± 8.3 | 44 ± 10.7 | 0.26 |
| LALSct | 12.9 ± 5.5 | 13.9 ± 6 | 12 ± 4.7 | 0.03 |
| Variables | Group 1 (N:62) 6–9 Years | Group 2 (N:48) 10–12 Years | Group 3 (N:46) 13–17 Years | p Value | P1 * | P2 * | P3 * |
|---|---|---|---|---|---|---|---|
| LVGLS | 27.3 ± 2.1 | 26.2 ± 2.7 | 23.3 ± 2.25 | 0.016 | 0.07 | 0.021 | 0.99 |
| RVFWLS | 32.6 ± 3.7 | 29.8 ± 4.3 | 28.3 ± 4.1 | <0.0001 | 0.002 | <0.0001 | 0.22 |
| RV4CLS | 28.7 ± 3.2 | 26.4 ± 4.2 | 24.9 ± 3.7 | <0.0001 | 0.005 | <0.0001 | 0.18 |
| LALSr | 60.2 ± 9.4 | 57.6 ± 12.3 | 54.8 ± 9.5 | 0.031 | 0.45 | 0.012 | 0.45 |
| LALScd | 47.3 ± 8.9 | 43.9 ± 10.4 | 42.7 ± 8.9 | 0.038 | 0.21 | 0.049 | 1 |
| LALSct | 13 ± 5.4 | 13.7 ± 5.6 | 12 ± 5.3 | 0.35 | 1 | 1 | 0.44 |
| Variables | Group 1 (N:62) 0.75–1.02 m2 | Group 2 (N:48) 1.03–1.35 m2 | Group 3 (N:46) 1.36–1.87 m2 | p Value | P1 * | P2 * | P3 * |
|---|---|---|---|---|---|---|---|
| LVGLS | 27.1 ± 2.3 | 26.8 ± 2.5 | 26.16 ± 1.99 | 0.112 | 1 | 0.117 | 0.56 |
| RVFWLS | 32.4 ± 4.2 | 31.2 ± 3.9 | 28 ± 3.9 | <0.0001 | 0.37 | <0.0001 | <0.0001 |
| RV4CLS | 28.5 ± 3.6 | 27.5 ± 4 | 24.7 ± 3.3 | <0.0001 | 0.52 | <0.0001 | <0.0001 |
| LALSr | 60.4 ± 10.5 | 58 ± 10.3 | 55.2 ± 10.4 | 0.043 | 0.74 | 0.038 | 0.5 |
| LALScd | 47 ± 0.5 | 44.7 ± 9.4 | 43.1 ± 9.5 | 0.112 | 0.64 | 0.11 | 1 |
| LALSct | 13.4 ± 5.4 | 13.3 ± 5.3 | 12.1 ± 5.6 | 0.45 | 1 | 0.79 | 0.87 |
| Variables | R2 | p Value | B Unstandardised | p Value |
|---|---|---|---|---|
| Age | −0.2 | 0.01 | ||
| BSA | −0.24 | 0.002 | ||
| SBP | −0.22 | 0.005 | ||
| LV Mass | −0.22 | 0.005 | ||
| DDLV | −0.2 | 0.01 | ||
| EDV | −0.25 | 0.001 | −0.032 | 0.001 |
| LVEF | 0.2 | 0.009 | 0.117 | 0.001 |
| Variables | RVFWLS | RV4CLS | ||||||
|---|---|---|---|---|---|---|---|---|
| R2 | p Value | B Unstandardised | p Value | R2 | p Value | B Unstandardised | p Value | |
| Age | −0.42 | <0.0001 | −0.4 | <0.0001 | −0.45 | <0.0001 | ||
| BSA | −0.42 | <0.0001 | −9.655 | <0.0001 | −0.38 | <0.0001 | ||
| Sex | −0.35 | <0.0001 | −2.794 | <0.0001 | −0.32 | <0.0001 | −1.98 | <0.0001 |
| LV Mass | −0.24 | 0.002 | 0.048 | <0.0001 | −0.27 | 0.001 | ||
| DDLV | −0.38 | <0.0001 | −0.34 | <0.0001 | ||||
| EDV | −0.37 | <0.0001 | −0.34 | <0.0001 | ||||
| SBP | −0.15 | 0.039 | ||||||
| RV basal | −0.28 | <0.0001 | −0.28 | <0.0001 | ||||
| RVDA | −0.32 | <0.0001 | −0.28 | <0.0001 | ||||
| A Vel | 0.22 | 0.004 | −0.1 | 0.049 | ||||
| TAPSE | −0.2 | 0.01 | ||||||
| LA Vol | −0.15 | −0.21 | 0.008 | |||||
| Variables | LALSr | LALScd | LALSct | |||||||||
|---|---|---|---|---|---|---|---|---|---|---|---|---|
| R2 | p Value | Beta | p Value | R2 | p Value | Beta | p Value | R2 | p Value | Beta | p Value | |
| Age | −0.21 | 0.008 | −0.21 | 0.009 | ||||||||
| BSA | −0.21 | 0.008 | −0.19 | 0.018 | ||||||||
| Sex | −0.2 | 0.011 | −0.18 | 0.019 | ||||||||
| LV mass | −0.27 | 0.001 | −0.27 | 0.001 | −0.86 | 0.002 | ||||||
| DDLV | −0.24 | 0.003 | −0.2 | 0.009 | ||||||||
| EDV | −0.24 | 0.002 | −0.25 | 0.002 | ||||||||
| RV basal | −0.25 | 0.002 | −0.2 | 0.01 | ||||||||
| RVDA | −0.19 | 0.016 | 0.31 | 0.031 | ||||||||
| A Vel | 0.17 | 0.026 | 0.05 | 0.27 | 0.001 | 0.113 | 0.002 | |||||
| LA Vol | −0.3 | <0.0001 | −0.465 | <0.0005 | −0.25 | 0.002 | −0.12 | |||||
| TDV A septal | 0.24 | 0.003 | ||||||||||
| E/A Ratio | −0.18 | 0.018 | ||||||||||
| Intra-Observer | ICC (95% CI) | p Value | Bland-Altman Bias (LOA) | p Value |
|---|---|---|---|---|
| LVGLS | 0.977 (0.942–0.991) | <0.0001 | −0.1 (−1.45 to 1.35) | 0.2 |
| RVFWLS | 0.953 (0.882–0.982) | <0.0001 | 0.055 (−3.34 to 3.45) | 0.433 |
| RV4CLS | 0.927 (0.815–0.971) | <0.0001 | 0.01 (−3.80 to 3.82) | 0.827 |
| LALSr | 0.859 (0.533–0.950) | <0.0001 | 3.025 (−5.76 to 11.81) | 0.511 |
| LALScd | 0.756 (0.315–0.907) | <0.0001 | 3.305 (−6.86 to 13.47) | 0.774 |
| LALScp | 0.792 (0.471–0.918) | 0.001 | −0.46 (−8.54 to 7.62) | 0.824 |
| Inter-observer | ||||
| LVGLS | 0.924 (0.809–0.970) | <0.0001 | −0.17 (−2.55 to 2.39) | 0.497 |
| RVFWLS | 0.920 (0.795–0.968) | <0.0001 | 0.050 (−4.14 to 4.24) | 0.995 |
| RV4CLS | 0.882 (0.707–0.953) | <0.0001 | −0.75 (−5.41 to 3.91) | 0.918 |
| LALSr | 0.734 (0.114–0.907) | <0.0001 | 4.639 (−6.07 to 15.35) | 0.302 |
| LALScd | 0.778 (0.367–0.917) | <0.0001 | 3.3 (−6.94 to 13.54) | 0.775 |
| LALSct | 0.719 (0.311–0.887) | 0.004 | −1.21 (−9.27 to 6.85) | 0.152 |
Publisher’s Note: MDPI stays neutral with regard to jurisdictional claims in published maps and institutional affiliations. |
© 2022 by the authors. Licensee MDPI, Basel, Switzerland. This article is an open access article distributed under the terms and conditions of the Creative Commons Attribution (CC BY) license (https://creativecommons.org/licenses/by/4.0/).
Share and Cite
Aristizábal-Duque, C.H.; Fernández Cabeza, J.; Blancas Sánchez, I.M.; Delgado Ortega, M.; Aparicio Martinez, P.; Romero-Saldaña, M.; Fonseca del Pozo, F.J.; Pan, M.; Ruiz Ortiz, M.; Mesa-Rubio, M.D. The Assessment of Myocardial Longitudinal Strain in a Paediatric Spanish Population Using a New Software Analysis. J. Clin. Med. 2022, 11, 3272. https://doi.org/10.3390/jcm11123272
Aristizábal-Duque CH, Fernández Cabeza J, Blancas Sánchez IM, Delgado Ortega M, Aparicio Martinez P, Romero-Saldaña M, Fonseca del Pozo FJ, Pan M, Ruiz Ortiz M, Mesa-Rubio MD. The Assessment of Myocardial Longitudinal Strain in a Paediatric Spanish Population Using a New Software Analysis. Journal of Clinical Medicine. 2022; 11(12):3272. https://doi.org/10.3390/jcm11123272
Chicago/Turabian StyleAristizábal-Duque, Cristhian H., Juan Fernández Cabeza, Isabel María Blancas Sánchez, Mónica Delgado Ortega, Pilar Aparicio Martinez, Manuel Romero-Saldaña, Francisco Javier Fonseca del Pozo, Manuel Pan, Martin Ruiz Ortiz, and María Dolores Mesa-Rubio. 2022. "The Assessment of Myocardial Longitudinal Strain in a Paediatric Spanish Population Using a New Software Analysis" Journal of Clinical Medicine 11, no. 12: 3272. https://doi.org/10.3390/jcm11123272
APA StyleAristizábal-Duque, C. H., Fernández Cabeza, J., Blancas Sánchez, I. M., Delgado Ortega, M., Aparicio Martinez, P., Romero-Saldaña, M., Fonseca del Pozo, F. J., Pan, M., Ruiz Ortiz, M., & Mesa-Rubio, M. D. (2022). The Assessment of Myocardial Longitudinal Strain in a Paediatric Spanish Population Using a New Software Analysis. Journal of Clinical Medicine, 11(12), 3272. https://doi.org/10.3390/jcm11123272

