Root Canal Filling Quality Comparison of a Premixed Calcium Silicate Endodontic Sealer and Different Carrier-Based Obturation Systems
Abstract
1. Introduction
2. Materials and Methods
Statistical Analysis
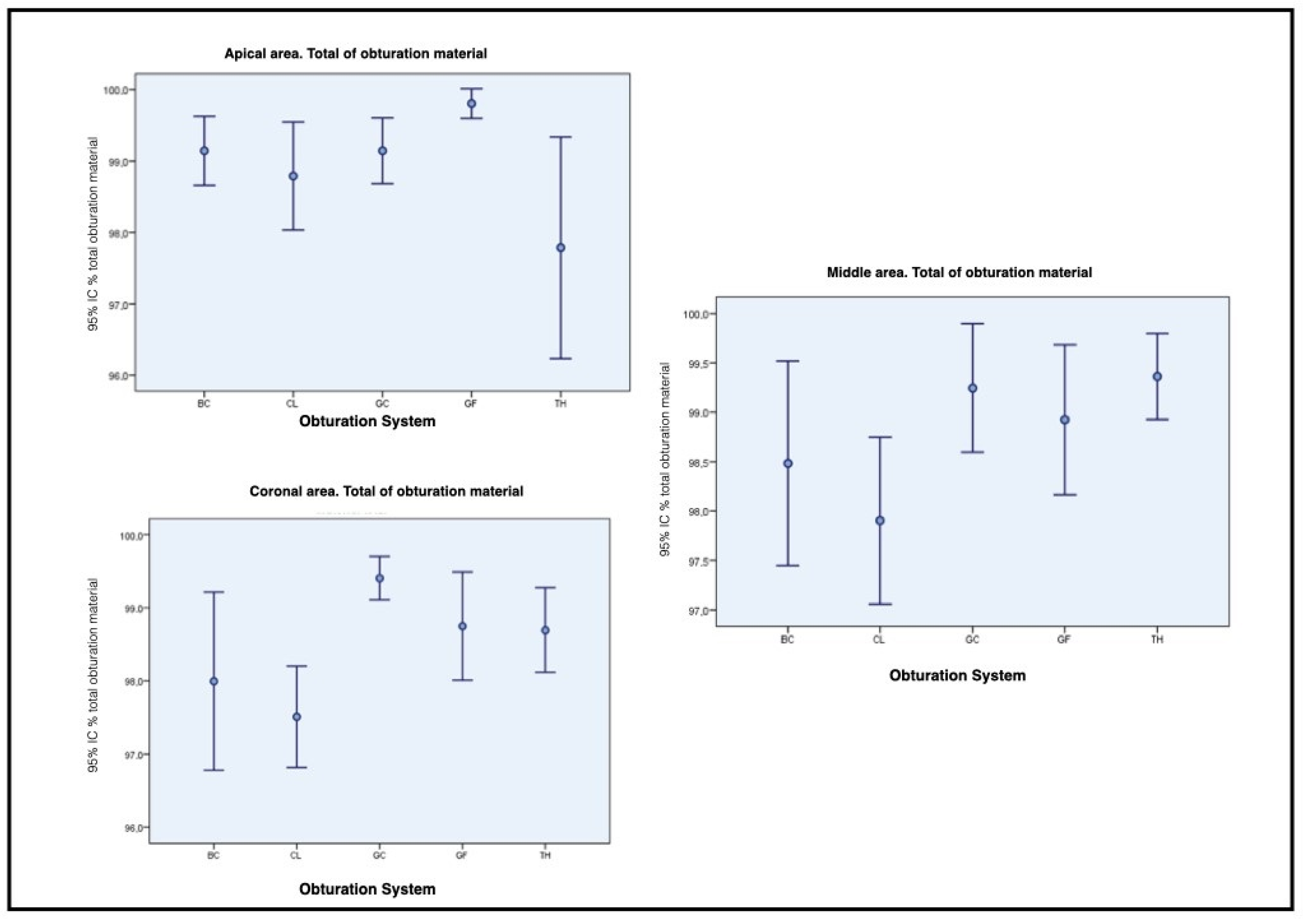
3. Results
4. Discussion
5. Conclusions
Author Contributions
Funding
Institutional Review Board Statement
Informed Consent Statement
Data Availability Statement
Conflicts of Interest
References
- Siqueira, J.F., Jr. Aetiology of root canal treatment failure: Why well-treated teeth can fail. Int. Endod. J. 2001, 34, 1–10. [Google Scholar] [CrossRef] [PubMed]
- Siqueira, J.F., Jr.; Araujo, M.C.; Garcia, P.F.; Fraga, R.C.; Dantas, C.J. Histological evaluation of the effectiveness of five instrumentation techniques for cleaning the apical third of root canals. J. Endod. 1997, 23, 499–502. [Google Scholar] [CrossRef]
- Heeren, T.J.; Levitan, M.E. Effect of canal preparation on fill length in straight root canals obturated with RealSeal 1 and Thermafil Plus. J. Endod. 2012, 38, 1380–1382. [Google Scholar] [CrossRef] [PubMed]
- Johnson, W.B. A new gutta-percha technique. J. Endod. 1978, 4, 184–188. [Google Scholar] [CrossRef]
- Alfayate, R.P.; Pinilla, J.A.; Pereda, A.A.; Bellido, M.M.; Stincone, S.; Cabello, R.C. In vitro randomized-trial on the sealing ability of carrier-based systems in curved root canals. Endodoncia 2018, 35, 65–75. [Google Scholar]
- Zhou, H.M.; Shen, Y.; Zheng, W.; Li, L.; Zheng, Y.F.; Haapasalo, M. Physical properties of 5 root canal sealers. J. Endod. 2013, 39, 1281–1286. [Google Scholar] [CrossRef]
- Candeiro, G.T.; Correia, F.C.; Duarte, M.A.; Ribeiro-Siqueira, D.C.; Gavini, G. Evaluation of radiopacity, pH, release of calcium ions, and flow of a bioceramic root canal sealer. J. Endod. 2012, 38, 842–845. [Google Scholar] [CrossRef]
- Loushine, B.A.; Bryan, T.E.; Looney, S.W.; Gillen, B.M.; Loushine, R.J.; Weller, R.N.; Pashley, D.H.; Tay, F.R. Setting properties and cytotoxicity evaluation of a premixed bioceramic root canal sealer. J. Endod. 2011, 37, 673–677. [Google Scholar] [CrossRef]
- Han, L.; Okiji, T. Bioactivity evaluation of three calcium silicate-based endodontic materials. Int. Endod. J. 2013, 46, 808–814. [Google Scholar] [CrossRef]
- Kim, J.A.; Hwang, Y.C.; Rosa, V.; Yu, M.K.; Lee, K.W.; Min, K.S. Root Canal Filling Quality of a Premixed Calcium Silicate Endodontic Sealer Applied Using Gutta-percha Cone-mediated Ultrasonic Activation. J. Endod. 2018, 44, 133–138. [Google Scholar] [CrossRef] [PubMed]
- Wolf, M.; Kupper, K.; Reimann, S.; Bourauel, C.; Frentzen, M. 3D analyses of interface voids in root canals filled with different sealer materials in combination with warm gutta-percha technique. Clin. Oral Investig. 2014, 18, 155–161. [Google Scholar] [CrossRef]
- Pruett, J.P.; Clement, D.J.; Carnes, D.L., Jr. Cyclic fatigue testing of nickel-titanium endodontic instruments. J. Endod. 1997, 23, 77–85. [Google Scholar] [CrossRef]
- Iqbal, M.K.; Maggiore, F.; Suh, B.; Edwards, K.R.; Kang, J.; Kim, S. Comparison of apical transportation in four Ni-Ti rotary instrumentation techniques. J. Endod. 2003, 29, 587–591. [Google Scholar] [CrossRef] [PubMed]
- Guinesi, A.S.; Faria, G.; Tanomaru-Filho, M.; Bonetti-Filho, I. Influence of sealer placement technique on the quality of root canal filling by lateral compaction or single cone. Braz. Dent. J. 2014, 25, 117–122. [Google Scholar] [CrossRef] [PubMed][Green Version]
- Said, H.M.; Bakar, W.Z.; Farea, M.; Husein, A. The effect of different sealer placement techniques on sealing Ability: An in vitro study. J. Conserv. Dent. 2012, 15, 257–260. [Google Scholar] [CrossRef] [PubMed]
- Hall, M.C.; Clement, D.J.; Dove, S.B.; Walker, W.A., 3rd. A comparison of sealer placement techniques in curved canals. J. Endod. 1996, 22, 638–642. [Google Scholar] [CrossRef]
- Wiemann, A.H.; Wilcox, L.R. In vitro evaluation of four methods of sealer placement. J. Endod. 1991, 17, 444–447. [Google Scholar] [CrossRef]
- Kahn, F.H.; Rosenberg, P.A.; Schertzer, L.; Korthals, G.; Nguyen, P.N. An in-vitro evaluation of sealer placement methods. Int. Endod. J. 1997, 30, 181–186. [Google Scholar] [CrossRef]
- Wiesse, P.E.B.; Silva-Sousa, Y.T.; Pereira, R.D.; Estrela, C.; Domingues, L.M.; Pecora, J.D.; Sousa-Neto, M.D. Effect of ultrasonic and sonic activation of root canal sealers on the push-out bond strength and interfacial adaptation to root canal dentine. Int. Endod. J. 2018, 51, 102–111. [Google Scholar] [CrossRef]
- De Gregorio, C.; Estevez, R.; Cisneros, R.; Heilborn, C.; Cohenca, N. Effect of EDTA, sonic, and ultrasonic activation on the penetration of sodium hypochlorite into simulated lateral canals: An in vitro study. J. Endod. 2009, 35, 891–895. [Google Scholar] [CrossRef] [PubMed]
- Gu, L.S.; Kim, J.R.; Ling, J.; Choi, K.K.; Pashley, D.H.; Tay, F.R. Review of contemporary irrigant agitation techniques and devices. J. Endod. 2009, 35, 791–804. [Google Scholar] [CrossRef]
- Guimaraes, B.M.; Amoroso-Silva, P.A.; Alcalde, M.P.; Marciano, M.A.; de Andrade, F.B.; Duarte, M.A. Influence of ultrasonic activation of 4 root canal sealers on the filling quality. J. Endod. 2014, 40, 964–968. [Google Scholar] [CrossRef]
- Retsas, A.; Koursoumis, A.; Tzimpoulas, N.; Boutsioukis, C. Uncontrolled Removal of Dentin during In Vitro Ultrasonic Irrigant Activation in Curved Root Canals. J. Endod. 2016, 42, 1545–1549. [Google Scholar] [CrossRef]
- Arslan, H.; Abbas, A.; Karatas, E. Influence of ultrasonic and sonic activation of epoxy-amine resin-based sealer on penetration of sealer into lateral canals. Clin. Oral Investig. 2016, 20, 2161–2164. [Google Scholar] [CrossRef]
- Schafer, E.; Schrenker, C.; Zupanc, J.; Burklein, S. Percentage of Gutta-percha Filled Areas in Canals Obturated with Cross-linked Gutta-percha Core-carrier Systems, Single-Cone and Lateral Compaction Technique. J. Endod. 2016, 42, 294–298. [Google Scholar] [CrossRef]
- Li, G.H.; Niu, L.N.; Selem, L.C.; Eid, A.A.; Bergeron, B.E.; Chen, J.H.; Pashley, D.H.; Tay, F.R. Quality of obturation achieved by an endodontic core-carrier system with crosslinked gutta-percha carrier in single-rooted canals. J. Dent. 2014, 42, 1124–1134. [Google Scholar] [CrossRef] [PubMed]
- Beasley, R.T.; Williamson, A.E.; Justman, B.C.; Qian, F. Time required to remove guttacore, thermafil plus, and thermoplasticized gutta-percha from moderately curved root canals with protaper files. J. Endod. 2013, 39, 125–128. [Google Scholar] [CrossRef] [PubMed]
- Neuhaus, K.W.; Schick, A.; Lussi, A. Apical filling characteristics of carrier-based techniques vs. single cone technique in curved root canals. Clin. Oral Investig. 2016, 20, 1631–1637. [Google Scholar] [CrossRef]
- Marciano, M.A.; Ordinola-Zapata, R.; Cunha, T.V.; Duarte, M.A.; Cavenago, B.C.; Garcia, R.B.; Bramante, C.M.; Bernardineli, N.; Moraes, I.G. Analysis of four gutta-percha techniques used to fill mesial root canals of mandibular molars. Int. Endod. J. 2011, 44, 321–329. [Google Scholar] [CrossRef] [PubMed]
- Pedulla, E.; Abiad, R.S.; Conte, G.; La Rosa, G.R.M.; Rapisarda, E.; Neelakantan, P. Root fillings with a matched-taper single cone and two calcium silicate-based sealers: An analysis of voids using micro-computed tomography. Clin. Oral Investig. 2020, 24, 4487–4492. [Google Scholar] [CrossRef] [PubMed]
- Celikten, B.; Uzuntas, C.F.; Orhan, A.I.; Orhan, K.; Tufenkci, P.; Kursun, S.; Demiralp, K.O. Evaluation of root canal sealer filling quality using a single-cone technique in oval shaped canals: An In vitro Micro-CT study. Scanning 2016, 38, 133–140. [Google Scholar] [CrossRef]
- Alsubait, S.; Albader, S.; Alajlan, N.; Alkhunaini, N.; Niazy, A.; Almahdy, A. Comparison of the antibacterial activity of calcium silicate- and epoxy resin-based endodontic sealers against Enterococcus faecalis biofilms: A confocal laser-scanning microscopy analysis. Odontology 2019, 107, 513–520. [Google Scholar] [CrossRef] [PubMed]
- Zapata, R.O.; Bramante, C.M.; de Moraes, I.G.; Bernardineli, N.; Gasparoto, T.H.; Graeff, M.S.; Campanelli, A.P.; Garcia, R.B. Confocal laser scanning microscopy is appropriate to detect viability of Enterococcus faecalis in infected dentin. J. Endod. 2008, 34, 1198–1201. [Google Scholar] [CrossRef] [PubMed]
- Bitter, K.; Paris, S.; Martus, P.; Schartner, R.; Kielbassa, A.M. A Confocal Laser Scanning Microscope investigation of different dental adhesives bonded to root canal dentine. Int. Endod. J. 2004, 37, 840–848. [Google Scholar] [CrossRef]
- Marciano, M.A.; Guimaraes, B.M.; Ordinola-Zapata, R.; Bramante, C.M.; Cavenago, B.C.; Garcia, R.B.; Bernardineli, N.; Andrade, F.B.; Moraes, I.G.; Duarte, M.A. Physical properties and interfacial adaptation of three epoxy resin-based sealers. J. Endod. 2011, 37, 1417–1421. [Google Scholar] [CrossRef]
- Al-Haddad, A.; Abu Kasim, N.H.; Che Ab Aziz, Z.A. Interfacial adaptation and thickness of bioceramic-based root canal sealers. Dent. Mater. J. 2015, 34, 516–521. [Google Scholar] [CrossRef] [PubMed]
- Rached-Junior, F.A.; Sousa-Neto, M.D.; Bruniera, J.F.; Duarte, M.A.; Silva-Sousa, Y.T. Confocal microscopy assessment of filling material remaining on root canal walls after retreatment. Int. Endod. J. 2014, 47, 264–270. [Google Scholar] [CrossRef]
- Mancino, D.; Kharouf, N.; Cabiddu, M.; Bukiet, F.; Haikel, Y. Microscopic and chemical evaluation of the filling quality of five obturation techniques in oval-shaped root canals. Clin. Oral Investig. 2020, 1–9, online ahead of print. [Google Scholar] [CrossRef]




| GROUP | GP % (Mean-SD) | Sealer % (Mean-SD) | Voids % (Mean-SD) | GP % (Mean-SD) | Sealer % (Mean-SD) | Voids % (Mean-SD) | GP % (Mean-SD) | Sealer % (Mean-SD) | Voids % (Mean-SD) | |
|---|---|---|---|---|---|---|---|---|---|---|
| Distance from the apex | 3 mm | 3 mm | 3 mm | 6 mm | 6 mm | 6 mm | 9 mm | 9 mm | 9 mm | |
| No Activation | BC | 69.0–12.2 | 29.8–11.5 | 0.5–1.0 | 61.9 14.2 | 35.7–15.1 | 0.6–1.4 | 56.6–12 | 41.9–11.4 | 2.5–3.3 |
| CL | 75.4–16.2 | 23.7–15.2 | 1.5–2.5 | 79.1–11.0 | 18.1–10.3 | 1.4–1.5 | 82.0–10.9 | 15.6–10.0 | 2.6–2.5 | |
| GC | 76.1–33.6 | 23.1–33 | 1.0–1.6 | 88.5–16.7 | 10.3- 15.7 | 0.3–1.0 | 91.5–4.1 | 7.9–3.5 | 0.6–0.8 | |
| GF | 90.7–7.4 | 8.9–7.6 | 0.1–0.2 | 92.5–7.9 | 6.2–5.9 | 0.8–1.9 | 91.7–5.2 | 7.5–5.0 | 1.7–2.7 | |
| TH | 54.4–46.1 | 43.3–43.5 | 2.1–5.3 | 94.3–5.4 | 4.8–5.1 | 0.3–0.6 | 91.9–7.0 | 6.8–6.2 | 1.3–2.0 | |
| Activation | BC | 60.1–12.4 | 39.3–12.1 | 1.2–1.9 | 60.2–12.9 | 39.3–12.7 | 2.5–4.2 | 56.7–11.4 | 40.8–11.9 | 1.5–4.3 |
| CL | 72.1–15.2 | 26.5–14.8 | 0.9–2.3 | 80.6–7.5 | 18.1–7.2 | 2.8–3.3 | 81.7–13.1 | 15.8–11.8 | 2.4–1.8 | |
| GC | 73.0–34.0 | 26–32.7 | 0.8–1.3 | 83.7–27.7 | 16.0–27.0 | 1.2–2.7 | 91.3–4.9 | 8.0–4.8 | 0.5–1.0 | |
| GF | 91.1–7.1 | 8.8–7 | 0.3–0.9 | 92.9–5.4 | 6.3–4.6 | 1.3–2.8 | 91.7–6.8 | 6.6–5.5 | 0.8–1.8 | |
| TH | 77.8–32.1 | 20.2–28.2 | 2.4–4.5 | 94.0–5.5 | 5.7–5.3 | 1.0–1.8 | 92.7–3.9 | 6.0–3.4 | 1.3–1.6 |
Publisher’s Note: MDPI stays neutral with regard to jurisdictional claims in published maps and institutional affiliations. |
© 2021 by the authors. Licensee MDPI, Basel, Switzerland. This article is an open access article distributed under the terms and conditions of the Creative Commons Attribution (CC BY) license (http://creativecommons.org/licenses/by/4.0/).
Share and Cite
Pérez-Alfayate, R.; Mercade, M.; Algar-Pinilla, J.; Cisneros-Cabello, R.; Foschi, F.; Cohen, S. Root Canal Filling Quality Comparison of a Premixed Calcium Silicate Endodontic Sealer and Different Carrier-Based Obturation Systems. J. Clin. Med. 2021, 10, 1271. https://doi.org/10.3390/jcm10061271
Pérez-Alfayate R, Mercade M, Algar-Pinilla J, Cisneros-Cabello R, Foschi F, Cohen S. Root Canal Filling Quality Comparison of a Premixed Calcium Silicate Endodontic Sealer and Different Carrier-Based Obturation Systems. Journal of Clinical Medicine. 2021; 10(6):1271. https://doi.org/10.3390/jcm10061271
Chicago/Turabian StylePérez-Alfayate, Ruth, Montse Mercade, Juan Algar-Pinilla, Rafael Cisneros-Cabello, Federico Foschi, and Stephen Cohen. 2021. "Root Canal Filling Quality Comparison of a Premixed Calcium Silicate Endodontic Sealer and Different Carrier-Based Obturation Systems" Journal of Clinical Medicine 10, no. 6: 1271. https://doi.org/10.3390/jcm10061271
APA StylePérez-Alfayate, R., Mercade, M., Algar-Pinilla, J., Cisneros-Cabello, R., Foschi, F., & Cohen, S. (2021). Root Canal Filling Quality Comparison of a Premixed Calcium Silicate Endodontic Sealer and Different Carrier-Based Obturation Systems. Journal of Clinical Medicine, 10(6), 1271. https://doi.org/10.3390/jcm10061271

