Obesity, Abdominal Obesity and Chronic Kidney Disease in Young Adults: A Nationwide Population-Based Cohort Study
Abstract
1. Introduction
2. Experimental Section
2.1. Study Design and Database
2.2. Definitions of BMI and WC
2.3. Definition of Chronic Disease and Covariates
2.4. Study Outcomes and Follow Up
2.5. General Health Behaviors and Sociodemographic Variables
2.6. Statistical Analysis
3. Results
3.1. Baseline Characteristics of the Study Population
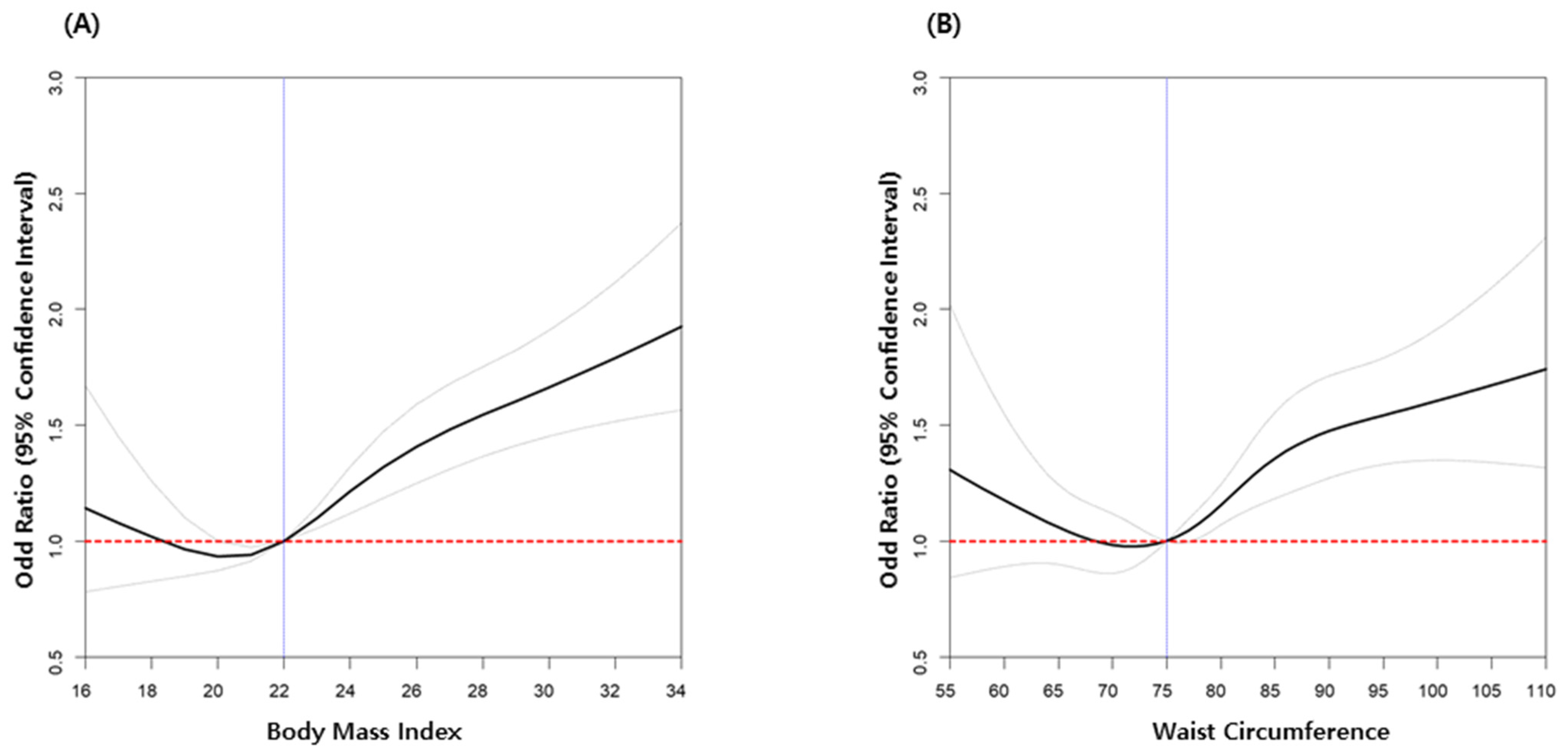
3.2. Association of BMI and WC with the Risk of CKD
3.3. Subgroup Analyses
4. Discussion
Study Limitations
5. Conclusions
Supplementary Materials
Author Contributions
Funding
Institutional Review Board Statement
Informed Consent Statement
Data Availability Statement
Conflicts of Interest
References
- Patterson, R.E.; Frank, L.L.; Kristal, A.R.; White, E. A comprehensive examination of health conditions associated with obesity in older adults. Am. J. Prev. Med. 2004, 27, 385–390. [Google Scholar] [CrossRef]
- Yoon, K.H.; Lee, J.H.; Kim, J.W.; Cho, J.H.; Choi, Y.H.; Ko, S.H.; Zimmet, P.; Son, H.Y. Epidemic obesity and type 2 diabetes in Asia. Lancet 2006, 368, 1681–1688. [Google Scholar] [CrossRef]
- de Boer, I.H.; Sibley, S.D.; Kestenbaum, B.; Sampson, J.N.; Young, B.; Cleary, P.A.; Steffes, M.W.; Weiss, N.S.; Brunzell, J.D.; Diabetes, C.; et al. Central obesity, incident microalbuminuria, and change in creatinine clearance in the epidemiology of diabetes interventions and complications study. J. Am. Soc. Nephrol. 2007, 18, 235–243. [Google Scholar] [CrossRef]
- An, R.; Ji, M.; Zhang, S. Global warming and obesity: A systematic review. Obes. Rev. 2018, 19, 150–163. [Google Scholar] [CrossRef]
- Mendy, V.L.; Azevedo, M.J.; Sarpong, D.F.; Rosas, S.E.; Ekundayo, O.T.; Sung, J.H.; Bhuiyan, A.R.; Jenkins, B.C.; Addison, C. The association between individual and combined components of metabolic syndrome and chronic kidney disease among African Americans: The Jackson Heart Study. PLoS ONE 2014, 9, e101610. [Google Scholar] [CrossRef]
- de Jong, P.E.; Verhave, J.C.; Pinto-Sietsma, S.J.; Hillege, H.L. Obesity and target organ damage: The kidney. Int. J. Obes. Relat. Metab. Disord. 2002, 26, S21–S24. [Google Scholar] [CrossRef]
- Silverwood, R.J.; Pierce, M.; Thomas, C.; Hardy, R.; Ferro, C.; Sattar, N.; Whincup, P.; Savage, C.; Kuh, D.; Nitsch, D.; et al. Association between younger age when first overweight and increased risk for CKD. J. Am. Soc. Nephrol. 2013, 24, 813–821. [Google Scholar] [CrossRef] [PubMed]
- Kim, Y.H.; Kang, J.G.; Lee, S.J.; Han, K.D.; Ihm, S.H.; Cho, K.H.; Park, Y.G. Underweight Increases the risk of end-stage renal diseases for type 2 diabetes in Korean population: Data from the national health insurance service health checkups 2009–2017. Diabetes Care 2020, 43, 1118–1125. [Google Scholar] [CrossRef] [PubMed]
- Janssen, I.; Katzmarzyk, P.T.; Ross, R. Waist circumference and not body mass index explains obesity-related health risk. Am. J. Clin. Nutr. 2004, 79, 379–384. [Google Scholar] [CrossRef]
- Yang, H.K.; Han, K.; Kwon, H.S.; Park, Y.M.; Cho, J.H.; Yoon, K.H.; Kang, M.I.; Cha, B.Y.; Lee, S.H. Obesity, metabolic health, and mortality in adults: A nationwide population-based study in Korea. Sci. Rep. 2016, 6, 30329. [Google Scholar] [CrossRef]
- Lee, Y.H.; Han, K.; Ko, S.H.; Ko, K.S.; Lee, K.U. Data analytic process of a nationwide population-based study using national health information database established by national health insurance service. Diabetes Metab. J. 2016, 40, 79–82. [Google Scholar] [CrossRef]
- Lee, J.; Lee, J.S.; Park, S.H.; Shin, S.A.; Kim, K. Cohort profile: The National Health Insurance Service-National Sample Cohort (NHIS-NSC), South Korea. Int. J. Epidemiol. 2017, 46, e15. [Google Scholar] [CrossRef]
- World Health Organization. The Asia-Pacific Perspective: Redefining Obesity and Its Treatment; International Association for the Study of Obesity; Health Communications Australia: Sydney, Australia, 2000. [Google Scholar]
- Lee, S.Y.; Park, H.S.; Kim, D.J.; Han, J.H.; Kim, S.M.; Cho, G.J.; Kim, D.Y.; Kwon, H.S.; Kim, S.R.; Lee, C.B.; et al. Appropriate waist circumference cutoff points for central obesity in Korean adults. Diabetes Res. Clin. Pract. 2007, 75, 72–80. [Google Scholar] [CrossRef]
- Kim, E.S.; Jeong, J.S.; Han, K.; Kim, M.K.; Lee, S.H.; Park, Y.M.; Baek, K.H.; Moon, S.D.; Han, J.H.; Song, K.H.; et al. Impact of weight changes on the incidence of diabetes mellitus: A Korean nationwide cohort study. Sci. Rep. 2018, 8, 3735. [Google Scholar] [CrossRef]
- Koo, D.H.; Han, K.D.; Park, C.Y. The incremental risk of pancreatic cancer according to fasting glucose levels: Nationwide population-based cohort study. J. Clin. Endocrinol. Metab. 2019, 104, 4594–4599. [Google Scholar] [CrossRef]
- Noh, J.; Han, K.D.; Ko, S.H.; Ko, K.S.; Park, C.Y. Trends in the pervasiveness of type 2 diabetes, impaired fasting glucose and co-morbidities during an 8-year-follow-up of nationwide Korean population. Sci. Rep. 2017, 7, 46656. [Google Scholar] [CrossRef]
- Engin, A. The definition and prevalence of obesity and metabolic syndrome. Adv. Exp. Med. Biol. 2017, 960, 1–17. [Google Scholar] [CrossRef]
- Fouad, M.; Ismail, M.I.; Gaballah, A.; Reyad, E.; ELdeeb, S. Prevalence of obesity and risk of chronic kidney disease among young adults in Egypt. Indian J. Nephrol. 2016, 26, 413–418. [Google Scholar] [CrossRef] [PubMed]
- Shin, S.Y.; Kwon, M.J.; Park, H.; Woo, H.Y. Comparison of chronic kidney disease prevalence examined by the chronic kidney disease epidemiology collaboration equation with that by the modification of diet in renal disease equation in Korean adult population. J. Clin. Lab. Anal. 2014, 28, 320–327. [Google Scholar] [CrossRef]
- Go, A.S.; Chertow, G.M.; Fan, D.; McCulloch, C.E.; Hsu, C.Y. Chronic kidney disease and the risks of death, cardiovascular events, and hospitalization. New Engl. J. Med. 2004, 351, 1296–1305. [Google Scholar] [CrossRef]
- Jin, D.C.; Yun, S.R.; Lee, S.W.; Han, S.W.; Kim, W.; Park, J.; Kim, Y.K. Lessons from 30 years data of Korean end-stage renal disease registry, 1985–2015. Kidney Res. Clin. Pract. 2015, 34, 132–139. [Google Scholar] [CrossRef] [PubMed]
- National Kidney, F. K/DOQI clinical practice guidelines for chronic kidney disease: Evaluation, classification, and stratification. Am. J. Kidney Dis. 2002, 39, S1–S266. [Google Scholar]
- Kovesdy, C.P.; Furth, S.; Zoccali, C. Obesity and kidney disease: Hidden consequences of the epidemic. Physiol. Int. 2017, 104, 1–14. [Google Scholar] [CrossRef]
- Unger, R.H. Lipotoxicity in the pathogenesis of obesity-dependent NIDDM. Genetic and clinical implications. Diabetes 1995, 44, 863–870. [Google Scholar] [CrossRef]
- Steinberg, H.O.; Chaker, H.; Leaming, R.; Johnson, A.; Brechtel, G.; Baron, A.D. Obesity/insulin resistance is associated with endothelial dysfunction. Implications for the syndrome of insulin resistance. J. Clin. Invest. 1996, 97, 2601–2610. [Google Scholar] [CrossRef]
- Nolan, E.; O’Meara, Y.M.; Godson, C. Lipid mediators of inflammation in obesity-related glomerulopathy. Nephrol. Dial. Transpl. 2013, 28, iv22–iv29. [Google Scholar] [CrossRef]
- Ahmadian, S.M.; Alaei, H.; Ghahremani, P. An assessment between D1 receptor agonist and D2 receptor antagonist into the ventral tegmental area on conditioned place preference and locomotor activity. Adv. Biomed. Res. 2019, 8, 72. [Google Scholar] [CrossRef] [PubMed]
- Kittiskulnam, P.; Johansen, K.L. The obesity paradox: A further consideration in dialysis patients. Semin. Dial. 2019, 32, 485–489. [Google Scholar] [CrossRef]
- Delgado, C.; Chertow, G.M.; Kaysen, G.A.; Dalrymple, L.S.; Kornak, J.; Grimes, B.; Johansen, K.L. Associations of body mass index and body fat with markers of inflammation and nutrition among patients receiving hemodialysis. Am. J. Kidney Dis. 2017, 70, 817–825. [Google Scholar] [CrossRef]
- Hu, H.; Kurotani, K.; Sasaki, N.; Murakami, T.; Shimizu, C.; Shimizu, M.; Nakagawa, T.; Honda, T.; Yamamoto, S.; Okazaki, H.; et al. Optimal waist circumference cut-off points and ability of different metabolic syndrome criteria for predicting diabetes in Japanese men and women: Japan Epidemiology Collaboration on Occupational Health Study. BMC Public Health 2016, 16, 220. [Google Scholar] [CrossRef] [PubMed]
- Guasch-Ferre, M.; Bullo, M.; Martinez-Gonzalez, M.A.; Corella, D.; Estruch, R.; Covas, M.I.; Aros, F.; Warnberg, J.; Fiol, M.; Lapetra, J.; et al. Waist-to-height ratio and cardiovascular risk factors in elderly individuals at high cardiovascular risk. PLoS ONE 2012, 7, e43275. [Google Scholar] [CrossRef] [PubMed]
- He, Y.; Li, F.; Wang, F.; Ma, X.; Zhao, X.; Zeng, Q. The association of chronic kidney disease and waist circumference and waist-to-height ratio in Chinese urban adults. Medicine 2016, 95, e3769. [Google Scholar] [CrossRef] [PubMed]



| Group | Total (n = 3,030,884) | None CKD (n = 3,025,031) | CKD (n = 5853) | p Value |
|---|---|---|---|---|
| Age | 31.83 ± 4.81 | 31.82 ± 4.81 | 35.02 ± 3.82 | <0.0001 |
| Sex, male(%) | 2,030,479 (66.99) | 2,026,248 (66.98) | 4231 (72.29) | <0.0001 |
| Current smoker | 1,118,316 (36.9) | 1,116,411 (36.91) | 1905 (32.55) | <0.0001 |
| Heavy drinker * | 275,476 (9.09) | 275,023 (9.09) | 453 (7.74) | 0.0003 |
| Physical activity-regular | 431,623 (14.24) | 430,539 (14.23) | 1084 (18.52) | <0.0001 |
| Income-low ** | 450,211 (14.85) | 449,356 (14.85) | 855 (14.61) | 0.596 |
| BMI | 23.22 ± 3.45 | 23.22 ± 3.45 | 24.63 ± 3.69 | <0.0001 |
| Obesity(BMI ≥ 25) | 846,217 (27.92) | 843,632 (27.89) | 2585 (44.17) | <0.0001 |
| BMI 5 level | <0.0001 | |||
| <18.5 | 190,346 (6.28) | 190,167 (6.29) | 179 (3.06) | |
| 18.5–23 | 1,360,230 (44.88) | 1,358,376 (44.9) | 1854 (31.68) | |
| 23–25 | 634,091 (20.92) | 632,856 (20.92) | 1235 (21.1) | |
| 25–30 | 729,510 (24.07) | 727,403 (24.05) | 2107 (36) | |
| ≥30 | 116,707 (3.85) | 116,229 (3.84) | 478 (8.17) | |
| Waist circumference (WC) | 78.42 ± 9.56 | 78.41 ± 9.56 | 81.62 ± 9.91 | <0.0001 |
| Abdominal obesity | 402,883 (13.29) | 401,559 (13.27) | 1324 (22.62) | <0.0001 |
| WC 5 level | <0.0001 | |||
| M: <70/F: <65 | 277,355 (9.15) | 277,050 (9.16) | 305 (5.21) | |
| M:70–79/F:65–74 | 1,228,295 (40.53) | 1,226,510 (40.55) | 1785 (30.5) | |
| M:80–89/F:75–84 | 1,122,351 (37.03) | 1,119,912 (37.02) | 2439 (41.67) | |
| M:90–99/F:85–94 | 338,656 (11.17) | 337,567 (11.16) | 1089 (18.61) | |
| M: ≥100/F: ≥95 | 64,227 (2.12) | 63,992 (2.12) | 235 (4.02) | |
| Diabetes mellitus | 58,312 (1.92) | 57,867 (1.91) | 445 (7.6) | <0.0001 |
| Diabetes mellitus, vintage | 0.89 ± 1.93 | 0.88 ± 1.91 | 2.86 ± 3.05 | <0.0001 |
| Hypertension | 268,318 (8.85) | 266,654 (8.81) | 1664 (28.43) | <0.0001 |
| Dyslipidemia | 220,966 (7.29) | 219,937 (7.27) | 1029 (17.58) | <0.0001 |
| CCI score | 0.32 ± 0.67 | 0.32 ± 0.66 | 0.64 ± 1.1 | <0.0001 |
| CCI grade | <0.0001 | |||
| 0 | 2,303,416 (76) | 2,299,590 (76.02) | 3826 (65.37) | |
| 1 | 561,901 (18.54) | 560,852 (18.54) | 1049 (17.92) | |
| 2 | 120,860 (3.99) | 120,310 (3.98) | 550 (9.4) | |
| ≥3 | 44,707 (1.48) | 44,279 (1.46) | 428 (7.31) | |
| Proteinuria | <0.0001 | |||
| Negative | 2,922,684 (96.67) | 2,917,819 (96.7) | 4865 (83.3) | |
| Trace | 56,833 (1.88) | 56,642 (1.88) | 191 (3.27) | |
| 1+ | 31,663 (1.05) | 31,342 (1.04) | 321 (5.5) | |
| 2+ | 9894 (0.33) | 9589 (0.32) | 305 (5.22) | |
| 3+ | 1872 (0.06) | 1738 (0.06) | 134 (2.29) | |
| 4+ | 308 (0.01) | 284 (0.01) | 24 (0.41) | |
| Height (cm) | 169.13 ± 8.17 | 169.13 ± 8.17 | 169.63 ± 7.86 | <0.0001 |
| Weight (cm) | 66.82 ± 13.06 | 66.82 ± 13.06 | 71.3 ± 13.85 | <0.0001 |
| Fasting blood glucose (mg/dL) | 91.07 ± 15.49 | 91.05 ± 15.43 | 97.71 ± 33.39 | <0.0001 |
| Systolic blood pressure (mmHg) | 118.51 ± 12.88 | 118.5 ± 12.87 | 123.85 ± 15.68 | <0.0001 |
| Diastolic blood pressure (mmHg) | 74.39 ± 9.27 | 74.38 ± 9.27 | 78.29 ± 11.13 | <0.0001 |
| Pulse pressure (mmHg) | 44.12 ± 8.23 | 44.12 ± 8.23 | 45.55 ± 9.16 | <0.0001 |
| Total cholesterol (mg/dL) | 186.42 ± 33.75 | 186.4 ± 33.74 | 197.74 ± 37.97 | <0.0001 |
| Estimated GFR (mL/min/1.73 m2) | 96.28 ± 51.37 | 96.31 ± 51.36 | 80.26 ± 51.93 | <0.0001 |
| Variable | Distribution of Body Mass Index | |||||
|---|---|---|---|---|---|---|
| <18.5 (n = 190,346) | 18.5~23 (n = 1,360,230) | 23~25 (n = 634,091) | 25~30 (n = 729,510) | 30~ (n = 116,707) | p | |
| Age | 29.62 ± 4.93 | 31.29 ± 4.94 | 32.41 ± 4.62 | 32.83 ± 4.39 | 32.24 ± 4.46 | <0.0001 |
| Age grade | <0.0001 | |||||
| 20 s | 101,396 (53.27) | 529,544 (38.93) | 184,564 (29.11) | 181,446 (24.87) | 33,714 (28.89) | |
| 30 s | 88,950 (46.73) | 830,686 (61.07) | 449,527 (70.89) | 548,064 (75.13) | 82,993 (71.11) | |
| Sex(male) | 49,380 (25.94) | 735,330 (54.06) | 512,593 (80.84) | 636,587 (87.26) | 96,589 (82.76) | |
| Smoking | <0.0001 | |||||
| None | 144,387 (75.86) | 815,922 (59.98) | 270,571 (42.67) | 261,484 (35.84) | 42,818 (36.69) | |
| Ex- | 8700 (4.57) | 130,974 (9.63) | 100,467 (15.84) | 121,109 (16.6) | 16,136 (13.83) | |
| Current | 37,259 (19.57) | 413,334 (30.39) | 263,053 (41.49) | 346,917 (47.55) | 57,753 (49.49) | |
| Drinking | <0.0001 | |||||
| None | 982,92 (51.64) | 556,799 (40.93) | 195,454 (30.82) | 203,834 (27.94) | 36,666 (31.42) | |
| Mild | 85,661 (45) | 715,325 (52.59) | 371,661 (58.61) | 428,251 (58.7) | 63,465 (54.38) | |
| Heavy * | 6393 (3.36) | 88,106 (6.48) | 66,976 (10.56) | 97,425 (13.35) | 16,576 (14.2) | |
| Exercise ** | 12,970 (6.81) | 170,635 (12.54) | 105,304 (16.61) | 123,655 (16.95) | 19,059 (16.33) | <0.0001 |
| Income *** | 30,047 (15.79) | 212,947 (15.66) | 89,929 (14.18) | 99,164 (13.59) | 18,124 (15.53) | <0.0001 |
| DM | 1270 (0.67) | 13,856 (1.02) | 11,239 (1.77) | 23,600 (3.24) | 8347 (7.15) | <0.0001 |
| DM vintage | 0.62 ± 1.8 | 0.86 ± 2.01 | 0.91 ± 1.97 | 0.91 ± 1.9 | 0.91 ± 1.82 | <0.0001 |
| HTN | 4911 (2.58) | 62,781 (4.62) | 54,608 (8.61) | 110,487 (15.15) | 35,531 (30.44) | <0.0001 |
| Dyslipid | 3279 (1.72) | 49,198 (3.62) | 50,609 (7.98) | 95 982 (13.16) | 21,898 (18.76) | <0.0001 |
| Weight (kg) | 47.82 ± 4.88 | 59.05 ± 7.41 | 69.96 ± 6.5 | 79.18 ± 7.75 | 94.21 ± 9.71 | <0.0001 |
| Height(cm) | 164.54 ± 7.51 | 167.52 ± 8.34 | 170.69 ± 7.67 | 171.63 ± 7.26 | 171.33 ± 7.69 | <0.0001 |
| WC (cm) | 65.05 ± 5.07 | 72.97 ± 6.1 | 80.7 ± 5.14 | 87.04 ± 5.81 | 97.38 ± 7.35 | <0.0001 |
| BMI | 17.62 ± 0.73 | 20.96 ± 1.25 | 23.96 ± 0.57 | 26.83 ± 1.32 | 32.05 ± 2 | <0.0001 |
| SBP(mmHg) | 110.26 ± 11.23 | 115.02 ± 11.83 | 120.11 ± 11.83 | 123.98 ± 12.28 | 129.77 ± 13.7 | <0.0001 |
| DBP(mmHg) | 69.5 ± 8.2 | 72.1 ± 8.58 | 75.27 ± 8.67 | 77.96 ± 9.06 | 82.01 ± 10.05 | <0.0001 |
| PP(mmHg) | 40.76 ± 7.53 | 42.92 ± 7.88 | 44.85 ± 8.11 | 46.01 ± 8.32 | 47.76 ± 8.97 | <0.0001 |
| Glu(mg/dL) | 87.29 ± 11.5 | 89.02 ± 12.78 | 91.58 ± 15.1 | 94.21 ± 18.18 | 98.68 ± 24.84 | <0.0001 |
| TC (mg/dL) | 171.49 ± 28.02 | 178.74 ± 30.52 | 189.91 ± 33.27 | 198.62 ± 35.09 | 205.16 ± 36.52 | <0.0001 |
| CCI | 0.33 ± 0.65 | 0.3 ± 0.64 | 0.31 ± 0.65 | 0.33 ± 0.7 | 0.41 ± 0.81 | <0.0001 |
| CCI grade | <0.0001 | |||||
| 0 | 142,556 (74.89) | 1,040,172 (76.47) | 486,174 (76.67) | 550,174 (75.42) | 84,340 (72.27) | |
| 1 | 37,173 (19.53) | 251,251 (18.47) | 114,780 (18.1) | 135,796 (18.61) | 22 901 (19.62) | |
| 2 | 8 170 (4.29) | 51,861 (3.81) | 24,345 (3.84) | 30,488 (4.18) | 5996 (5.14) | |
| 3 | 2447 (1.29) | 16,946 (1.25) | 8 792 (1.39) | 13,052 (1.79) | 3 470 (2.97) | |
| **** GFR | 99.86 ± 49.19 | 97.33 ± 49.08 | 95.34 ± 53.58 | 94.43 ± 54.21 | 94.85 ± 49.75 | <0.0001 |
| CKD event | 179 (0.09) | 1 854 (0.14) | 1235 (0.19) | 2107 (0.29) | 478 (0.41) | <0.0001 |
| Variable | Distribution of Waist Circumference | |||||
|---|---|---|---|---|---|---|
| <70/<65 (n = 227,355) | 70~79/65~74 (n = 1,228,295) | 80~89/75~84 (n = 1,122,351) | 90~99/85~94 (n = 338,656) | >100/>95 (n = 64,227) | p | |
| Age | 29.57 ± 5.03 | 31.23 ± 4.94 | 32.65 ± 4.48 | 33.02 ± 4.29 | 32.33 ± 4.39 | <0.0001 |
| Age grade | <0.0001 | |||||
| 20 s | 149,795 (54.01) | 484,035 (39.41) | 300,697 (26.79) | 78,107 (23.06) | 18,030 (28.07) | |
| 30 s | 127,560 (45.99) | 744,260 (60.59) | 821,654 (73.21) | 260,549 (76.94) | 46,197 (71.93) | |
| Sex (male) | 77,960 (28.11) | 683,983 (55.69) | 924,402 (82.36) | 292,422 (86.35) | 51,712 (80.51) | |
| Smoking | <0.0001 | |||||
| None | 210,802 (76) | 729,199 (59.37) | 452,825 (40.35) | 118,138 (34.88) | 24,218 (37.71) | |
| Ex- | 13,630 (4.91) | 120,810 (9.84) | 179,006 (15.95) | 55,228 (16.31) | 8712 (13.56) | |
| Current | 52,923 (19.08) | 378,286 (30.8) | 490,520 (43.7) | 165,290 (48.81) | 31,297 (48.73) | |
| Drinking | <0.0001 | |||||
| None | 138,917 (50.09) | 498,087 (40.55) | 337,093 (30.03) | 95,677 (28.25) | 21,271 (33.12) | |
| Mild | 129,203 (46.58) | 649,434 (52.87) | 658,175 (58.64) | 194,013 (57.29) | 33,538 (52.22) | |
| Heavy * | 9235 (3.33) | 80,774 (6.58) | 127,083 (11.32) | 48,966 (14.46) | 9418 (14.66) | |
| Exercise ** | 25,947 (9.36) | 169,998 (13.84) | 176,370 (15.71) | 50,108 (14.8) | 9200 (14.32) | <0.0001 |
| Income *** | 46,573 (16.79) | 202,423 (16.48) | 149,534 (13.32) | 42,585 (12.57) | 9096 (14.16) | <0.0001 |
| DM | 1597 (0.58) | 12,569 (1.02) | 24,439 (2.18) | 14,423 (4.26) | 5284 (8.23) | <0.0001 |
| DM vintage | 0.71 ± 1.86 | 0.83 ± 1.96 | 0.9 ± 1.95 | 0.92 ± 1.89 | 0.97 ± 1.88 | <0.0001 |
| HTN | 7325 (2.64) | 58822 (4.79) | 115602 (10.3) | 65,827 (19.44) | 20,742 (32.29) | <0.0001 |
| Dyslipid | 5595 (2.02) | 46082 (3.75) | 103735 (9.24) | 52,556 (15.52) | 12,998 (20.24) | <0.0001 |
| Weight (Kg) | 50.24 ± 5.99 | 59.73 ± 7.85 | 72.03 ± 8.35 | 83.39 ± 9.21 | 95.81 ± 11.66 | <0.0001 |
| Height (cm) | 162.88 ± 7.21 | 167.15 ± 7.9 | 171.42 ± 7.36 | 173.09 ± 7.34 | 173.33 ± 7.98 | <0.0001 |
| WC (cm) | 63.13 ± 3.24 | 72.59 ± 4.07 | 82.91 ± 3.48 | 92.47 ± 3.15 | 103.16 ± 4.56 | <0.0001 |
| BMI | 18.9 ± 1.54 | 21.32 ± 1.9 | 24.48 ± 2.14 | 27.81 ± 2.37 | 31.85 ± 3.06 | <0.0001 |
| SBP (mmHg) | 110.9 ± 11.31 | 115.41 ± 11.87 | 121.03 ± 12.15 | 125.46 ± 12.85 | 129.82 ± 14.25 | <0.0001 |
| DBP (mmHg) | 69.82 ± 8.22 | 72.34 ± 8.59 | 75.94 ± 8.9 | 79.02 ± 9.51 | 82.05 ± 10.49 | <0.0001 |
| PP (mmHg) | 41.08 ± 7.59 | 43.08 ± 7.91 | 45.1 ± 8.18 | 46.44 ± 8.5 | 47.77 ± 9.12 | <0.0001 |
| Gluco (mg/dL) | 87.34 ± 11.1 | 89.11 ± 12.72 | 92.29 ± 15.98 | 95.56 ± 20.34 | 99.48 ± 26.86 | <0.0001 |
| TC (mg/dL) | 173.4 ± 28.44 | 179.07 ± 30.68 | 191.92 ± 33.91 | 201.7 ± 35.95 | 206.67 ± 37.45 | <0.0001 |
| CCI | 0.31 ± 0.64 | 0.3 ± 0.63 | 0.32 ± 0.67 | 0.36 ± 0.74 | 0.44 ± 0.85 | <0.0001 |
| CCI grade | <0.0001 | |||||
| 0 | 210,942 (76.05) | 942,618 (76.74) | 854,069 (76.1) | 250,141 (73.86) | 45,646 (71.07) | |
| 1 | 51,946 (18.73) | 224,591 (18.28) | 206,867 (18.43) | 65,576 (19.36) | 12,921 (20.12) | |
| 2 | 11,063 (3.99) | 46,202 (3.76) | 44,407 (3.96) | 15,722 (4.64) | 3466 (5.4) | |
| 3 | 3404 (1.23) | 14,884 (1.21) | 17,008 (1.52) | 7217 (2.13) | 2194 (3.42) | |
| GFR **** | 98.19 ± 46.4 | 96.96 ± 48.24 | 95.26 ± 53.52 | 95.44 ± 57.64 | 97.19 ± 55.7 | <0.0001 |
| CKD event | 305 (0.11) | 1785 (0.15) | 2439 (0.22) | 1089 (0.32) | 235 (0.37) | <0.0001 |
| Group | Total (n) | CKD (n) | % | HR (95% Confidence Interval) | |||
|---|---|---|---|---|---|---|---|
| Model 1 | Model 2 | Model 3 | Model 4 | ||||
| Body mass index 5 level | |||||||
| <18.5 | 190,346 | 179 | 0.09 | 0.690 (0.592–0.804) | 0.863 (0.740–1.007) | 0.876 (0.751–1.023) | 0.901 (0.771–1.052) |
| 18.5~23 | 1,360,230 | 1854 | 0.14 | 1(Ref.) | 1(Ref.) | 1(Ref.) | 1(Ref.) |
| 23~25 | 634,091 | 1235 | 0.19 | 1.43 (1.330–1.537) | 1.278 (1.187–1.376) | 1.269 (1.179–1.367) | 1.138 (1.057–1.227) |
| 25~30 | 729,510 | 2107 | 0.29 | 2.122 (1.994–2.259) | 1.830 (1.713–1.955) | 1.84 (1.722–1.965) | 1.368 (1.277–1.465) |
| 30~ | 116,707 | 478 | 0.41 | 3.013 (2.724–3.332) | 2.816 (2.540–3.120) | 2.855 (2.576–3.163) | 1.550 (1.391–1.727) |
| p for trend | <0.0001 | <0.0001 | <0.0001 | <0.0001 | |||
| Obesity (Body mass index ≥25) | |||||||
| <25 | 2,184,667 | 3268 | 0.15 | 1(Ref.) | 1(Ref.) | 1(Ref.) | 1(Ref.) |
| ≥25 | 846,217 | 2585 | 0.31 | 2.045 (1.942–2.154) | 1.789 (1.695–1.888) | 1.802 (1.707–1.902) | 1.323 (1.25,0–1.400) |
| p for trend | <0.0001 | <0.0001 | <0.0001 | <0.0001 | |||
| Group | Total (n) | CKD (n) | % | HR (95% Confidence Interval) | |||
|---|---|---|---|---|---|---|---|
| Model 1 | Model 2 | Model 3 | Model 4 | ||||
| Waist circumference 5 level | |||||||
| <70/<65 | 277,355 | 305 | 0.11 | 0.756 (0.67–0.854) | 0.95 (0.841–1.074) | 0.959 (0.848–1.084) | 0.959 (0.848–1.085) |
| 70~79/65~74 | 1,228,295 | 1785 | 0.15 | 1(Ref.) | 1(Ref.) | 1(Ref.) | 1(Ref.) |
| 70~79/65~74 | 1,122,351 | 2439 | 0.22 | 1.496 (1.408–1.591) | 1.272 (1.194–1.355) | 1.281 (1.203–1.365) | 1.117 (1.047–1.191) |
| 70~79/65~74 | 338,656 | 1089 | 0.32 | 2.217 (2.056–2.391) | 1.810 (1.674–1.957) | 1.858 (1.718–2.009) | 1.297 (1.195–1.407) |
| >100/>95 | 64,227 | 235 | 0.37 | 2.524 (2.203–2.893) | 2.268 (1.977–2.602) | 2.334 (2.034–2.677) | 1.277 (1.107–1.472) |
| pfor trend | <0.0001 | <0.0001 | <0.0001 | <0.0001 | |||
| Abdominal obesity (male WC ≥ 90, female WC ≥ 85) | |||||||
| No | 2,628,001 | 4529 | 0.17 | 1(Ref.) | 1(Ref.) | 1(Ref.) | 1(Ref.) |
| Yes | 402,883 | 1324 | 0.33 | 1.910 (1.796–2.031) | 1.642 (1.543–1.748) | 1.679 (1.577–1.787) | 1.208 (1.132–1.290) |
| p for trend | <0.0001 | <0.0001 | <0.0001 | <0.0001 | |||
| Obesity | Abdominal Obesity | Total | Male | Female | Age 20–29 years | Age 30–39 years |
|---|---|---|---|---|---|---|
| No | No (n = 2,148,970; 70.9%) | 1(Ref.) | 1(Ref.) | 1(Ref.) | 1(Ref.) | 1(Ref.) |
| Yes (n = 35,697; 1.2%) | 1.227 (0.979–1.538) | 1.204 (0.915–1.584) | 1.163 (0.781–1.731) | 1.478 (0.698–3.129) | 1.203 (0.949–1.524) | |
| Yes | No (n = 479,031; 15.8%) | 1.318 (1.232–1.409) | 1.355 (1.258–1.459) | 1.062 (0.895–1.261) | 1.217 (0.968–1.531) | 1.324 (1.234–1.420) |
| Yes (n = 367,186; 12.1%) | 1.339 (1.247–1.438) | 1.356 (1.254–1.467) | 1.196 (0.996–1.436) | 1.502 (1.190–1.895) | 1.320 (1.225–1.423) |
Publisher’s Note: MDPI stays neutral with regard to jurisdictional claims in published maps and institutional affiliations. |
© 2021 by the authors. Licensee MDPI, Basel, Switzerland. This article is an open access article distributed under the terms and conditions of the Creative Commons Attribution (CC BY) license (http://creativecommons.org/licenses/by/4.0/).
Share and Cite
Bae, E.H.; Lim, S.Y.; Jung, J.-H.; Oh, T.R.; Choi, H.S.; Kim, C.S.; Ma, S.K.; Han, K.-D.; Kim, S.W. Obesity, Abdominal Obesity and Chronic Kidney Disease in Young Adults: A Nationwide Population-Based Cohort Study. J. Clin. Med. 2021, 10, 1065. https://doi.org/10.3390/jcm10051065
Bae EH, Lim SY, Jung J-H, Oh TR, Choi HS, Kim CS, Ma SK, Han K-D, Kim SW. Obesity, Abdominal Obesity and Chronic Kidney Disease in Young Adults: A Nationwide Population-Based Cohort Study. Journal of Clinical Medicine. 2021; 10(5):1065. https://doi.org/10.3390/jcm10051065
Chicago/Turabian StyleBae, Eun Hui, Sang Yeob Lim, Jin-Hyung Jung, Tae Ryom Oh, Hong Sang Choi, Chang Seong Kim, Seong Kwon Ma, Kyung-Do Han, and Soo Wan Kim. 2021. "Obesity, Abdominal Obesity and Chronic Kidney Disease in Young Adults: A Nationwide Population-Based Cohort Study" Journal of Clinical Medicine 10, no. 5: 1065. https://doi.org/10.3390/jcm10051065
APA StyleBae, E. H., Lim, S. Y., Jung, J.-H., Oh, T. R., Choi, H. S., Kim, C. S., Ma, S. K., Han, K.-D., & Kim, S. W. (2021). Obesity, Abdominal Obesity and Chronic Kidney Disease in Young Adults: A Nationwide Population-Based Cohort Study. Journal of Clinical Medicine, 10(5), 1065. https://doi.org/10.3390/jcm10051065

