Abnormalities in Cutaneous Microcirculation in Patients with Alzheimer’s Disease, Mild Cognitive Impairment, and Chronic Insomnia Disorder
Abstract
:1. Introduction
2. Materials and Methods
2.1. Patients and Study Design
2.2. Measurement of Cutaneous Microcirculation
2.3. Statistical Analysis
- Yijk = β1m·light therapy + β2k·measures + β3n·diseases+ β4·sex + β5·age + comorbidity
- with or without interaction terms of light therapy and diseases
- j = 1, 2, …, 10 fingers
- k = 1, 2, 3 measures (baseline, the first measure, and the second measure)
- m: 0, 1, 3, with dummy variables for light therapy (baseline, red, and green light)
- n: diseases (primary insomnia, mild cognitive impairment, or Alzheimer’s disease)
- sex (male versus female)
- comorbidity (yes versus no)
3. Results
3.1. Demographic Characteristics of Patients with CID, MCI, and AD
3.2. Baseline Finger Microcirculation Differs among Patients with CID, MCI, or AD
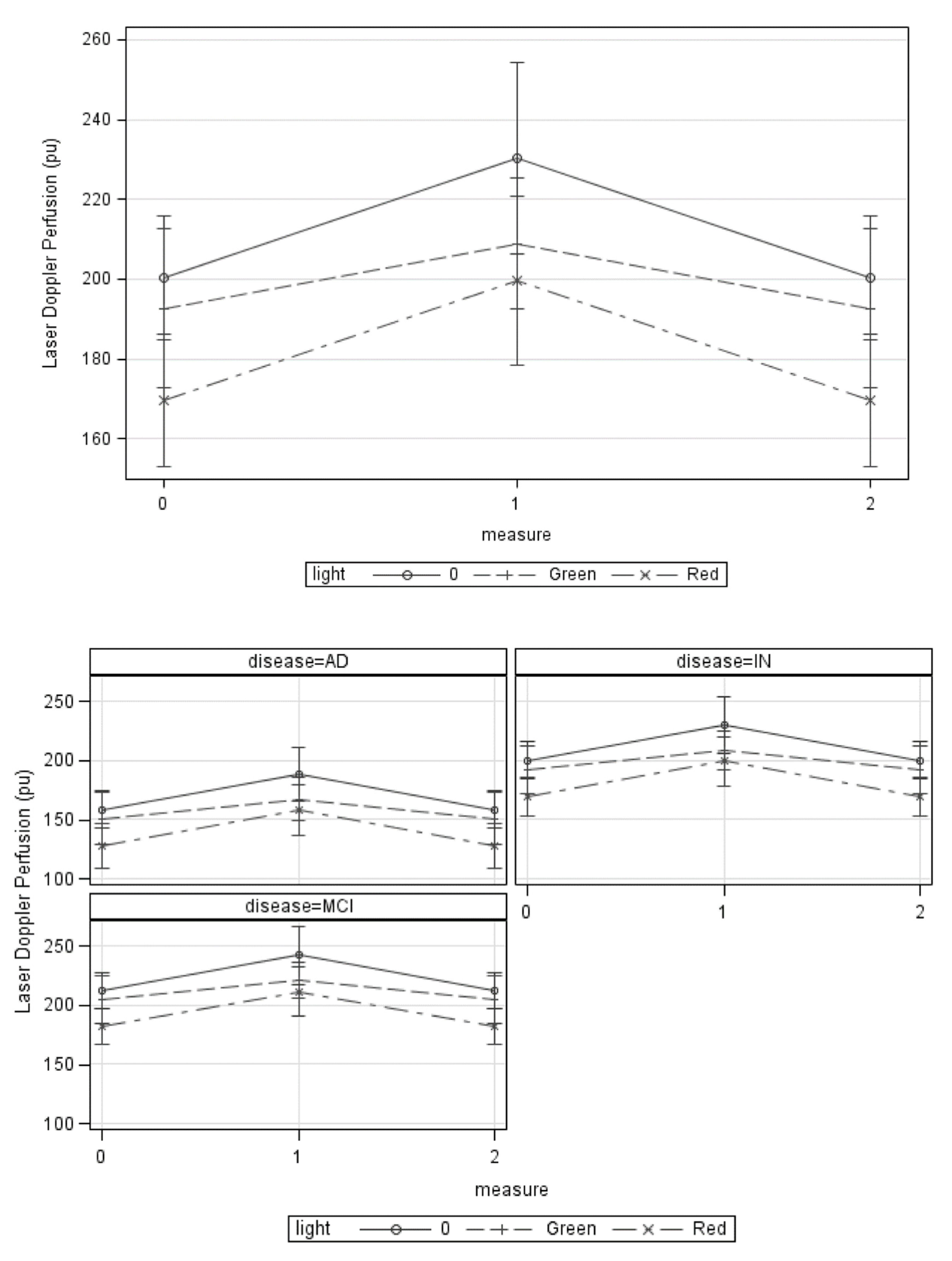
3.3. Red Light Significantly Changes Finger Microcirculation in Patients with CID and AD
4. Discussion
5. Conclusions
Author Contributions
Funding
Institutional Review Board Statement
Informed Consent Statement
Data Availability Statement
Conflicts of Interest
Ethics Statements
References
- Rajan, V.; Varghese, B.; van Leeuwen, T.G.; Steenbergen, W. Review of methodological developments in laser Doppler flowmetry. Lasers Med. Sci. 2009, 24, 269–283. [Google Scholar] [CrossRef] [Green Version]
- Melsens, K.; Van Impe, S.; Paolino, S.; Vanhaecke, A.; Cutolo, M.; Smith, V. The preliminary validation of laser Doppler flowmetry in systemic sclerosis in accordance with the OMERACT filter: A systematic review. Semin. Arthritis Rheum. 2020, 50, 321–328. [Google Scholar] [CrossRef] [PubMed]
- Yu, S.; Hu, S.C.; Yu, H.S.; Chin, Y.Y.; Cheng, Y.C.; Lee, C.H. Early sign of microangiopathy in systemic sclerosis: The significance of cold stress test in dynamic laser Doppler flowmetry. Clin. Hemorheol. Microcirc. 2019, 71, 373–378. [Google Scholar] [CrossRef]
- Sorelli, M.; Francia, P.; Bocchi, L.; De Bellis, A.; Anichini, R. Assessment of cutaneous microcirculation by laser Doppler flowmetry in type 1 diabetes. Microvasc. Res. 2019, 124, 91–96. [Google Scholar] [CrossRef]
- Liu, J.C.; Hsu, Y.P.; Zhu, J.C.; Hao, W.R.; Yang, T.Y.; Sung, L.C.; Kao, P.F.; Hwang, J.; Hsiu, H. Beat-to-beat and spectral analyses of the noninvasive radial pulse and laser-Doppler signals in patients with hypertension. Clin. Hemorheol. Microcirc. 2021. [Online ahead of print]. [Google Scholar] [CrossRef]
- Hou, X.; He, X.; Zhang, X.; Liao, F.; Hung, Y.J.; Jan, Y.K. Using laser Doppler flowmetry with wavelet analysis to study skin blood flow regulations after cupping therapy. Skin Res. Technol. 2021, 27, 393–399. [Google Scholar] [CrossRef] [PubMed]
- Chen, C.T.; Hsu, C.H.; Liu, J.R.; Wu, H.B.; Chou, Y.S.; Hsiu, H. Comparison of complexity and spectral indices of skin-surface laser-doppler signals in patients with breast cancer receiving chemotherapy and Kuan-Sin-Yin. Clin. Hemorheol. Microcirc. 2019, 73, 553–563. [Google Scholar] [CrossRef]
- Luckner, G.; Dunser, M.W.; Stadlbauer, K.H.; Mayr, V.D.; Jochberger, S.; Wenzel, V.; Ulmer, H.; Pajk, W.; Hasibeder, W.R.; Friesenecker, B.; et al. Cutaneous vascular reactivity and flow motion response to vasopressin in advanced vasodilatory shock and severe postoperative multiple organ dysfunction syndrome. Crit. Care 2006, 10, R40. [Google Scholar] [CrossRef] [Green Version]
- Hsiu, H.; Huang, S.M.; Chao, P.T.; Jan, M.Y.; Hsu, T.L.; Wang, W.K.; Wang, Y.Y. Microcirculatory characteristics of acupuncture points obtained by laser Doppler flowmetry. Physiol. Meas. 2007, 28, N77–N86. [Google Scholar] [CrossRef]
- Rotondo, C.; Nivuori, M.; Chiala, A.; Praino, E.; Matucci Cerinic, M.; Cutolo, M.; Lapadula, G.; Iannone, F. Evidence for increase in finger blood flow, evaluated by laser Doppler flowmetry, following iloprost infusion in patients with systemic sclerosis: A week-long observational longitudinal study. Scand. J. Rheumatol. 2018, 47, 311–318. [Google Scholar] [CrossRef] [PubMed]
- Khan, F.; Spence, V.A.; Wilson, S.B.; Abbot, N.C. Quantification of sympathetic vascular responses in skin by laser Doppler flowmetry. Int. J. Microcirc. Clin. Exp. 1991, 10, 145–153. [Google Scholar]
- Schurmann, M.; Gradl, G.; Furst, H. A standardized bedside test for assessment of peripheral sympathetic nervous function using laser Doppler flowmetry. Microvasc. Res. 1996, 52, 157–170. [Google Scholar] [CrossRef]
- Hilz, M.J.; Hecht, M.J.; Berghoff, M.; Singer, W.; Neundoerfer, B. Abnormal vasoreaction to arousal stimuli--an early sign of diabetic sympathetic neuropathy demonstrated by laser Doppler flowmetry. J. Clin. Neurophysiol. 2000, 17, 419–425. [Google Scholar] [CrossRef]
- Bernjak, A.; Deitrick, G.A.; Bauman, W.A.; Stefanovska, A.; Tuckman, J. Basal sympathetic activity to the microcirculation in tetraplegic man revealed by wavelet transform of laser Doppler flowmetry. Microvasc. Res. 2011, 81, 313–318. [Google Scholar] [CrossRef]
- Zegarra-Parodi, R.; Snider, E.J.; Park, P.Y.; Degenhardt, B.F. Laser Doppler flowmetry in manual medicine research. J. Am. Osteopath Assoc. 2014, 114, 908–917. [Google Scholar] [CrossRef] [Green Version]
- Yu, W.T.; Yu, H.S.; Wu, C.S.; Lee, C.H.; Cheng, Y.C.; Lin, W.T.; Chen, G.S.; Lan, C.C. Noninvasive cutaneous blood flow as a response predictor for visible light therapy on segmental vitiligo: A prospective pilot study. Br. J. Dermatol. 2011, 164, 759–764. [Google Scholar] [CrossRef]
- Wu, C.S.; Yu, H.S.; Chang, H.R.; Yu, C.L.; Yu, C.L.; Wu, B.N. Cutaneous blood flow and adrenoceptor response increase in segmental-type vitiligo lesions. J. Dermatol. Sci. 2000, 23, 53–62. [Google Scholar] [CrossRef]
- Wu, C.S.; Hu, S.C.; Lan, C.C.; Chen, G.S.; Chuo, W.H.; Yu, H.S. Low-energy helium-neon laser therapy induces repigmentation and improves the abnormalities of cutaneous microcirculation in segmental-type vitiligo lesions. Kaohsiung J. Med. Sci. 2008, 24, 180–189. [Google Scholar] [CrossRef] [Green Version]
- Yang, S.Y.; Lan, C.C. Acquired Port-wine Stain with Local Heat. Acta Derm. Venereol. 2016, 96, 274–275. [Google Scholar] [CrossRef] [Green Version]
- Yang, S.-Y.; Cheng, Y.-C.; Lan, C.-C.E. Autonomic nervous system dysfunction in port-wine stain assessed by cold recovery test. Dermatol. Sin. 2017, 35, 44–45. [Google Scholar] [CrossRef] [Green Version]
- Tu, H.-P.; Yu, C.-L.; Lan, C.-C.E.; Yu, S. Prevalence of schizophrenia in patients with psoriasis: A nationwide study. Dermatol. Sin. 2017, 35, 1–6. [Google Scholar] [CrossRef] [Green Version]
- Yu, S.; Yu, C.L.; Huang, Y.C.; Tu, H.P.; Lan, C.E. Risk of developing psoriasis in patients with schizophrenia: A nationwide retrospective cohort study. J. Eur. Acad. Dermatol. Venereol. 2017, 31, 1497–1504. [Google Scholar] [CrossRef]
- Yu, S.; Li, Y.; Zhou, Y.; Follansbee, T.; Hwang, S.T. Immune mediators and therapies for pruritus in atopic dermatitis and psoriasis. J. Cutan. Immunol. Allergy 2019, 2, 4–14. [Google Scholar] [CrossRef]
- Chou, P.S.; Chou, T.C.; Chang, C.H.; Yu, S.; Lee, C.H. Chronic eczematous dermatitis in patients with neurodegenerative diseases may be an early marker of bullous pemphigoid. Med. Hypotheses 2017, 103, 86–89. [Google Scholar] [CrossRef]
- Carter, J.R.; Grimaldi, D.; Fonkoue, I.T.; Medalie, L.; Mokhlesi, B.; Cauter, E.V. Assessment of sympathetic neural activity in chronic insomnia: Evidence for elevated cardiovascular risk. Sleep 2018, 41, zsy048. [Google Scholar] [CrossRef] [Green Version]
- Peck, K.J.; Girard, T.A.; Russo, F.A.; Fiocco, A.J. Music and Memory in Alzheimer’s Disease and The Potential Underlying Mechanisms. J. Alzheimers Dis. 2016, 51, 949–959. [Google Scholar] [CrossRef]
- Borson, S.; Barnes, R.F.; Veith, R.C.; Halter, J.B.; Raskind, M.A. Impaired sympathetic nervous system response to cognitive effort in early Alzheimer’s disease. J. Gerontol. 1989, 44, M8–M12. [Google Scholar] [CrossRef]
- van Maanen, A.; Meijer, A.M.; van der Heijden, K.B.; Oort, F.J. The effects of light therapy on sleep problems: A systematic review and meta-analysis. Sleep Med. Rev. 2016, 29, 52–62. [Google Scholar] [CrossRef]
- Faulkner, S.M.; Bee, P.E.; Meyer, N.; Dijk, D.J.; Drake, R.J. Light therapies to improve sleep in intrinsic circadian rhythm sleep disorders and neuro-psychiatric illness: A systematic review and meta-analysis. Sleep Med. Rev. 2019, 46, 108–123. [Google Scholar] [CrossRef]
- Berman, M.H.; Halper, J.P.; Nichols, T.W.; Jarrett, H.; Lundy, A.; Huang, J.H. Photobiomodulation with Near Infrared Light Helmet in a Pilot, Placebo Controlled Clinical Trial in Dementia Patients Testing Memory and Cognition. J. Neurol. Neurosci. 2017, 8, 176. [Google Scholar] [CrossRef] [Green Version]
- Saltmarche, A.E.; Naeser, M.A.; Ho, K.F.; Hamblin, M.R.; Lim, L. Significant Improvement in Cognition in Mild to Moderately Severe Dementia Cases Treated with Transcranial Plus Intranasal Photobiomodulation: Case Series Report. Photomed. Laser Surg. 2017, 35, 432–441. [Google Scholar] [CrossRef]
- Jack, C.R., Jr.; Albert, M.S.; Knopman, D.S.; McKhann, G.M.; Sperling, R.A.; Carrillo, M.C.; Thies, B.; Phelps, C.H. Introduction to the recommendations from the National Institute on Aging-Alzheimer’s Association workgroups on diagnostic guidelines for Alzheimer’s disease. Alzheimers Dement. 2011, 7, 257–262. [Google Scholar] [CrossRef] [PubMed] [Green Version]
- American Academy of Sleep Medicine. International classification of sleep disorders. Diagn. Coding Man. 2005, 51–55. [Google Scholar]
- Chang, T.C.-C.; Chin, Y.-Y.; Lan, C.-C.E. Herpes zoster with autonomic dysregulation presented as alteration in local microcirculation: A case report. Dermatol. Sin. 2011, 29, 72–74. [Google Scholar] [CrossRef] [Green Version]
- Nilsson, G.E.; Tenland, T.; Oberg, P.A. Evaluation of a laser Doppler flowmeter for measurement of tissue blood flow. IEEE Trans. Biomed. Eng. 1980, 27, 597–604. [Google Scholar] [CrossRef] [PubMed]
- Hirata, K.; Nagasaka, T.; Noda, Y. Partitional measurement of capillary and arteriovenous anastomotic blood flow in the human finger by laser-Doppler-flowmeter. Eur. J. Appl. Physiol. Occup. Physiol. 1988, 57, 616–621. [Google Scholar] [CrossRef] [PubMed]
- Zeger, S.L.; Liang, K.Y. Longitudinal data analysis for discrete and continuous outcomes. Biometrics 1986, 42, 121–130. [Google Scholar] [CrossRef] [PubMed] [Green Version]
- Diggle, P.; Liang, K.-Y.; Zeger, S.L. Longitudinal Data Analysis; Oxford University Press: New York, NY, USA, 1994; Volume 5, p. 13. [Google Scholar]
- Charkoudian, N. Skin blood flow in adult human thermoregulation: How it works, when it does not, and why. Mayo Clin. Proc. 2003, 78, 603–612. [Google Scholar] [CrossRef] [PubMed] [Green Version]
- Charkoudian, N. Mechanisms and modifiers of reflex induced cutaneous vasodilation and vasoconstriction in humans. J. Appl. Physiol. 2010, 109, 1221–1228. [Google Scholar] [CrossRef] [PubMed]
- Tsai, H.J.; Kuo, T.B.J.; Yang, A.C.; Tsai, S.J.; Yang, C.C.H. Difficulty in initiating sleep is associated with poor morning cardiovascular function. Psychiatry Res. 2021, 295, 113518. [Google Scholar] [CrossRef]
- Mellingsaeter, M.R.; Wyller, T.B.; Ranhoff, A.H.; Bogdanovic, N.; Wyller, V.B. Reduced sympathetic response to head-up tilt in subjects with mild cognitive impairment or mild Alzheimer’s dementia. Dement. Geriatr. Cogn. Dis. Extra 2015, 5, 107–115. [Google Scholar] [CrossRef] [Green Version]
- Perpetuini, D.; Cardone, D.; Bucco, R.; Zito, M.; Merla, A. Assessment of the Autonomic Response in Alzheimer’s Patients During the Execution of Memory Tasks: A Functional Thermal Imaging Study. Curr. Alzheimer Res. 2018, 15, 951–958. [Google Scholar] [CrossRef] [PubMed]
- Aharon-Peretz, J.; Harel, T.; Revach, M.; Ben-Haim, S.A. Increased sympathetic and decreased parasympathetic cardiac innervation in patients with Alzheimer’s disease. Arch. Neurol. 1992, 49, 919–922. [Google Scholar] [CrossRef] [PubMed]
- Perpetuini, D.; Cardone, D.; Chiarelli, A.M.; Filippini, C.; Croce, P.; Zappasodi, F.; Rotunno, L.; Anzoletti, N.; Zito, M.; Merla, A. Autonomic impairment in Alzheimer’s disease is revealed by complexity analysis of functional thermal imaging signals during cognitive tasks. Physiol. Meas. 2019, 40, 034002. [Google Scholar] [CrossRef] [PubMed]
- Noseda, R.; Lee, A.J.; Nir, R.R.; Bernstein, C.A.; Kainz, V.M.; Bertisch, S.M.; Buettner, C.; Borsook, D.; Burstein, R. Neural mechanism for hypothalamic-mediated autonomic responses to light during migraine. Proc. Natl. Acad. Sci. USA 2017, 114, E5683–E5692. [Google Scholar] [CrossRef] [PubMed] [Green Version]


| Insomnia (n = 20) | Mild Cognitive Impairment (n = 17) | Alzheimer’s Disease (n = 14) | p-Value | |
|---|---|---|---|---|
| Sex (male; female) | 17; 3 | 11; 6 | 9; 5 | 0.28 * |
| Age (years) | 64.1 ± 4.5 | 67.3 ± 4.9 | 75.0 ± 4.7 | <0.001 ** |
| Body height (cm) | 158.8 ± 7.4 | 158.6 ± 6.4 | 156.1 ± 6.6 | 0.487 ** |
| Body weight (kg) | 61.8 ± 11.7 | 60.6 ± 9.8 | 54.4 ± 6.5 | 0.092 ** |
| BMI a (kg/m2) | 24.37 ± 3.30 | 24.05 ± 3.37 | 22.30 ± 2.17 | 0.141 ** |
| Without chronic disease | 8 | 0 | 0 | <0.01 * |
| With one chronic disease | 7 | 12 | 13 | |
| With two and more chronic diseases | 5 | 5 | 1 |
| Insomnia (n = 20) | Mild Cognitive Impairment (n = 17) | Alzheimer’s Disease (n = 14) | p-Value * | |
|---|---|---|---|---|
| Right hand | ||||
| 1st finger | 214.65 ± 84.43 | 190.77 ± 75.23 | 100.86 ± 51.94 | <0.001 |
| 2nd finger | 243.55 ± 114.26 | 195.23 ± 83.39 | 124.55 ± 66.34 | 0.003 |
| 3rd finger | 220.87 ± 66.16 | 236.81 ± 103.38 | 143.71 ± 49.15 | 0.004 |
| 4th finger | 227.20 ± 80.14 | 196.20 ± 92.57 | 149.80 ± 73.34 | 0.035 |
| 5th finger | 200.79 ± 63.34 | 234.92 ± 95.75 | 181.46 ± 65.60 | 0.154 |
| Left hand | ||||
| 1st finger | 202.21 ± 94.26 | 228.35 ± 90.58 | 116.15 ± 62.45 | 0.002 |
| 2nd finger | 273.06 ± 85.02 | 219.61 ± 77.96 | 124.11 ± 64.64 | <0.001 |
| 3rd finger | 215.36 ± 73.16 | 233.77 ± 82.84 | 133.13 ± 58.61 | 0.032 |
| 4th finger | 211.40 ± 65.41 | 227.84 ± 87.48 | 160.84 ± 72.93 | 0.048 |
| 5th finger | 224.89 ± 78.84 | 216.10 ± 92.22 | 176.75 ± 85.00 | 0.254 |
| Red | Green | |||||||
|---|---|---|---|---|---|---|---|---|
| n | Before | After | p-Value * | n | Before | After | p-Value * | |
| Right hand | ||||||||
| CID | 12 | 227.25 ± 62.00 | 162.00 ± 49.34 | 0.007 | 13 | 219.68 ± 47.52 | 197.04 ± 64.12 | 0.322 |
| MCI | 13 | 226.56 ± 57.53 | 198.16 ± 56.49 | 0.123 | 14 | 228.21 ± 55.62 | 224.28 ± 48.45 | 0.700 |
| AD | 8 | 130.13 ± 49.82 | 172.38 ± 38.32 | 0.043 | 7 | 129.99 ± 53.37 | 173.80 ± 48.53 | 0.094 |
| Left hand | ||||||||
| CID | 12 | 228.99 ± 58.80 | 177.41 ± 59.41 | 0.003 | 13 | 221.41 ± 54.22 | 200.45 ± 57.74 | 0.258 |
| MCI | 13 | 232.42 ± 71.64 | 206.78 ± 70.95 | 0.285 | 14 | 233.07 ± 68.87 | 219.44 ± 48.79 | 0.261 |
| AD | 8 | 126.15 ± 57.33 | 175.49 ± 59.73 | 0.104 | 7 | 123.99 ± 58.60 | 211.04 ± 68.75 | 0.022 |
| Parameter | Estimate | Standard Error | 95% Confidence Limits | p-Value | ||
|---|---|---|---|---|---|---|
| Intercept | 203.6636 | 44.5965 | 116.2560 | 291.0712 | <0.0001 | |
| Light | Green | 5.0476 | 4.8822 | −4.5213 | 14.6165 | 0.3012 |
| Red | −15.4375 | 5.3907 | −26.0032 | −4.8719 | 0.0042 | |
| Disease † | AD vs. CID | −38.2216 | 9.3793 | −56.6047 | −19.8386 | <0.0001 |
| MCI vs. CID | 11.2667 | 6.4869 | −1.4473 | 23.9807 | 0.0824 | |
| Sex | 7.1848 | 6.8221 | −6.1863 | 20.5558 | 0.2923 | |
| Age | −0.3284 | 0.5759 | −1.4571 | 0.8003 | 0.5685 | |
| BMI ‡ | 0.7606 | 1.0003 | −1.2001 | 2.7212 | 0.4471 | |
Publisher’s Note: MDPI stays neutral with regard to jurisdictional claims in published maps and institutional affiliations. |
© 2021 by the authors. Licensee MDPI, Basel, Switzerland. This article is an open access article distributed under the terms and conditions of the Creative Commons Attribution (CC BY) license (https://creativecommons.org/licenses/by/4.0/).
Share and Cite
Yu, S.; Hsu, C.-Y.; Chuang, H.-Y.; Yang, C.-C.; Lai, C.-L.; Yu, H.-S. Abnormalities in Cutaneous Microcirculation in Patients with Alzheimer’s Disease, Mild Cognitive Impairment, and Chronic Insomnia Disorder. J. Clin. Med. 2021, 10, 5718. https://doi.org/10.3390/jcm10245718
Yu S, Hsu C-Y, Chuang H-Y, Yang C-C, Lai C-L, Yu H-S. Abnormalities in Cutaneous Microcirculation in Patients with Alzheimer’s Disease, Mild Cognitive Impairment, and Chronic Insomnia Disorder. Journal of Clinical Medicine. 2021; 10(24):5718. https://doi.org/10.3390/jcm10245718
Chicago/Turabian StyleYu, Sebastian, Chung-Yao Hsu, Hung-Yi Chuang, Chen-Cheng Yang, Chiou-Lian Lai, and Hsin-Su Yu. 2021. "Abnormalities in Cutaneous Microcirculation in Patients with Alzheimer’s Disease, Mild Cognitive Impairment, and Chronic Insomnia Disorder" Journal of Clinical Medicine 10, no. 24: 5718. https://doi.org/10.3390/jcm10245718
APA StyleYu, S., Hsu, C.-Y., Chuang, H.-Y., Yang, C.-C., Lai, C.-L., & Yu, H.-S. (2021). Abnormalities in Cutaneous Microcirculation in Patients with Alzheimer’s Disease, Mild Cognitive Impairment, and Chronic Insomnia Disorder. Journal of Clinical Medicine, 10(24), 5718. https://doi.org/10.3390/jcm10245718

