Effects of 0.01% Atropine Instillation Assessed Using Swept-Source Anterior Segment Optical Coherence Tomography
Abstract
:1. Introduction
2. Subjects and Methods
2.1. Participants
2.2. Procedures and Assessments
2.3. Statistical Analysis
3. Results
3.1. Baseline Characteristics of the Participants
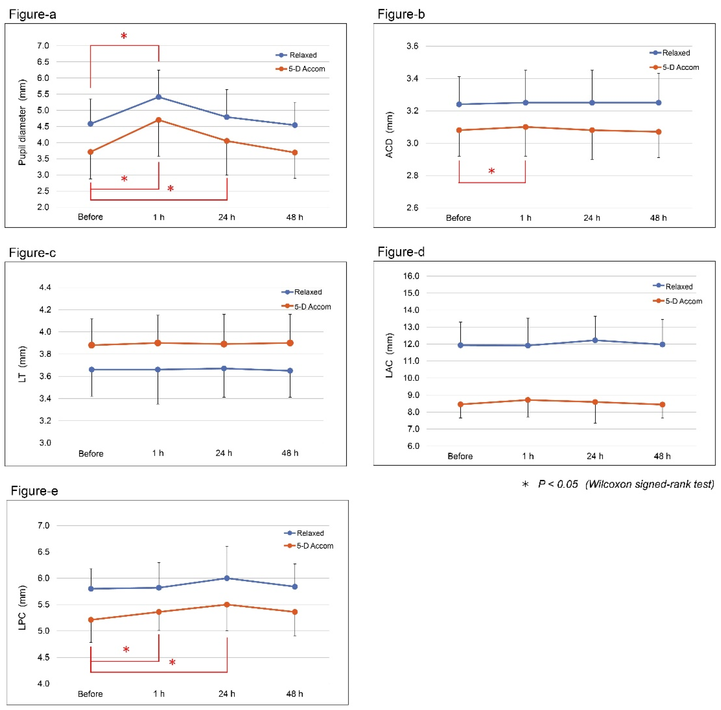
3.2. Effects of 0.01% Atropine on Pupil Diameter
3.3. Effects of Atropine on Other Biometric Parameters Measured Using AS-OCT
3.4. Effects of Atropine on Refraction, Accommodation Amplitude, and Subjective Symptoms
4. Discussion
Author Contributions
Funding
Institutional Review Board Statement
Informed Consent Statement
Data Availability Statement
Conflicts of Interest
References
- Morgan, I.; Ohno Matsui, K.; Saw, S. Myopia. Lancet 2012, 379, 1739–1748. [Google Scholar] [CrossRef]
- Holden, B.A.; Jong, M.; Davis, S.; Wilson, D.; Fricke, T.; Resnikoff, S. Nearly 1 billion myopes at risk of myopia-related sight-threatening conditions by 2050—Time to act now. Clin. Exp. Optom. 2015, 98, 491–493. [Google Scholar] [CrossRef]
- Jung, S.; Lee, J.; Kakizaki, H.; Jee, D. Prevalence of myopia and its association with body stature and educational level in 19-year-old male conscripts in seoul, south korea. Investig. Ophthalmol. Vis. Sci. 2012, 53, 5579–5583. [Google Scholar] [CrossRef] [PubMed] [Green Version]
- Lee, Y.; Lo, C.; Sheu, S.; Lin, J. What factors are associated with myopia in young adults? A survey study in taiwan military conscripts. Investig. Ophthalmol. Vis. Sci. 2013, 54, 1026–1033. [Google Scholar] [CrossRef] [Green Version]
- Sun, J.; Zhou, J.; Zhao, P.; Lian, J.; Zhu, H.; Zhou, Y.; Sun, Y.; Wang, Y.; Zhao, L.; Wei, Y.; et al. High prevalence of myopia and high myopia in 5060 chinese university students in shanghai. Investig. Ophthalmol. Vis. Sci. 2012, 53, 7504–7509. [Google Scholar] [CrossRef] [PubMed] [Green Version]
- Wu, J.F.; Bi, H.S.; Wang, S.M.; Hu, Y.Y.; Wu, H.; Sun, W.; Lu, T.L.; Wang, X.R.; Jonas, J.B. Refractive error, visual acuity and causes of vision loss in children in shandong, china. the shandong children eye study. PLoS ONE 2013, 8, e82763. [Google Scholar] [CrossRef] [PubMed]
- Vitale, S.; Sperduto, R.D.; Ferris, F.L. Increased prevalence of myopia in the united states between 1971–1972 and 1999–2004. Arch. Ophthalmol. 2009, 127, 1632–1639. [Google Scholar] [CrossRef] [PubMed] [Green Version]
- Dayan, Y.B.; Levin, A.; Morad, Y.; Grotto, I.; Ben-David, R.; Goldberg, A.; Onn, E.; Avni, I.; Levi, Y.; Benyamini, O.G. The changing prevalence of myopia in young adults: A 13-year series of population-based prevalence surveys. Investig. Ophthalmol. Vis. Sci. 2005, 46, 2760–2765. [Google Scholar] [CrossRef] [PubMed] [Green Version]
- Rudnicka, A.R.; Kapetanakis, V.V.; Wathern, A.K.; Logan, N.S.; Gilmartin, B.; Whincup, P.H.; Cook, D.G.; Owen, C.G. Global variations and time trends in the prevalence of childhood myopia, a systematic review and quantitative meta-analysis: Implications for aetiology and early prevention. Br. J. Ophthalmol. 2016, 100, 882–890. [Google Scholar] [CrossRef] [Green Version]
- Dolgin, E. The myopia boom. Nature 2015, 519, 276–278. [Google Scholar] [CrossRef] [Green Version]
- Gwiazda, J.; Hyman, L.; Hussein, M.; Everett, D.; Norton, T.T.; Kurtz, D.; Leske, M.C.; Manny, R.; Marsh-Tootle, W.; Scheiman, M.; et al. A randomized clinical trial of progressive addition lenses versus single vision lenses on the progression of myopia in children. Investig. Ophthalmol. Vis. Sci. 2003, 44, 1492–1500. [Google Scholar] [CrossRef]
- Zhu, Q.; Liu, Y.; Tighe, S.; Zhu, Y.; Su, X.; Lu, F.; Hu, M. Retardation of myopia progression by multifocal soft contact lenses. Int. J. Med. Sci. 2019, 16, 198–202. [Google Scholar] [CrossRef] [Green Version]
- Hiraoka, T.; Sekine, Y.; Okamoto, F.; Mihashi, T.; Oshika, T. Safety and efficacy following 10-years of overnight orthokeratology for myopia control. Ophthalmic Physiol. Opt. 2018, 38, 281–289. [Google Scholar] [CrossRef]
- VanderVeen, D.K.; Kraker, R.T.; Pineles, S.L.; Hutchinson, A.K.; Wilson, L.B.; Galvin, J.A.; Lambert, S.R. Use of orthokeratology for the prevention of myopic progression in children: A report by the american academy of ophthalmology. Ophthalmology 2019, 126, 623–636. [Google Scholar] [CrossRef] [PubMed] [Green Version]
- Prousali, E.; Haidich, A.B.; Fontalis, A.; Ziakas, N.; Brazitikos, P.; Mataftsi, A. Efficacy and safety of interventions to control myopia progression in children: An overview of systematic reviews and meta-analyses. BMC Ophthalmol. 2019, 19, 106. [Google Scholar] [CrossRef] [PubMed]
- Chua, W.H.; Balakrishnan, V.; Chan, Y.H.; Tong, L.; Ling, Y.; Quah, B.L.; Tan, D. Atropine for the treatment of childhood myopia. Ophthalmology 2006, 113, 2285–2291. [Google Scholar] [CrossRef] [PubMed]
- Chia, A.; Chua, W.H.; Cheung, Y.B.; Wong, W.L.; Lingham, A.; Fong, A.; Tan, D. Atropine for the treatment of childhood myopia: Safety and efficacy of 0.5%, 0.1%, and 0.01% doses (atropine for the treatment of myopia 2). Ophthalmology 2012, 119, 347–354. [Google Scholar] [CrossRef]
- Yam, J.C.; Jiang, Y.; Tang, S.M.; Law, A.K.; Chan, J.J.; Wong, E.; Ko, S.T.; Young, A.L.; Tham, C.C.; Chen, L.J.; et al. Low-concentration atropine for myopia progression (LAMP) study: A randomized, double-blinded, placebo-controlled trial of 0.05%, 0.025%, and 0.01% atropine eye drops in myopia control. Ophthalmology 2019, 126, 113–124. [Google Scholar] [CrossRef]
- Mauger, T.F.; Craig, E.L.; Havener, W.H. Havener’s Ocular Pharmacology, 6th ed.; Mosby-Year Book: St. Louis, MI, USA, 1994; pp. 140–146. [Google Scholar]
- Tong, L.; Huang, X.L.; Koh, A.L.; Zhang, X.; Tan, D.T.; Chua, W.H. Atropine for the treatment of childhood myopia: Effect on myopia progression after cessation of atropine. Ophthalmology 2009, 116, 572–579. [Google Scholar] [CrossRef] [PubMed]
- Kaymak, H.; Fricke, A.; Mauritz, Y.; Löwinger, A.; Klabe, K.; Breyer, D.; Lagenbucher, A.; Seitz, B.; Schaeffel, F. Short-term effects of low-concentration atropine eye drops on pupil size and accommodation in young adult subjects. Graefes Arch. Clin. Exp. Ophthalmol. 2018, 256, 2211–2217. [Google Scholar] [CrossRef] [Green Version]
- Mitsukawa, T.; Suzuki, Y.; Momota, Y.; Suzuki, S.; Yamada, M. Anterior segment biometry during accommodation and effects of cycloplegics by swept-source optical coherence tomography. Clin. Ophthalmol. 2020, 14, 1237–1243. [Google Scholar] [CrossRef]
- Shoji, T.; Kato, N.; Ishikawa, S.; Ibuki, H.; Yamada, N.; Kimura, I.; Shinoda, K. In vivo crystalline lens measurements with novel swept-source optical coherent tomography: An investigation on variability of measurement. BMJ Open Ophthalmol. 2017, 1, e000058. [Google Scholar] [CrossRef] [Green Version]
- Shoji, T.; Kato, N.; Ishikawa, S.; Ibuki, H.; Yamada, N.; Kimura, I.; Shinoda, K. Association between axial length and in vivo human crystalline lens biometry during accommodation: A swept-source optical coherence tomography study. Jpn. J. Ophthalmol. 2020, 64, 93–101. [Google Scholar] [CrossRef]
- Millodot, M. The effect of refractive error on the accommodative response gradient: A summary and update. Ophthalmic Physiol.Opt. 2015, 35, 607–612. [Google Scholar] [CrossRef]
- Li, F.; Yam, J. Low-concentration atropine eye drops for myopia progression. Asia-Pac. J. Ophthalmol. (Phila) 2019, 8, 360–365. [Google Scholar] [CrossRef]
- Wu, P.C.; Chuang, M.N.; Choi, J.; Chen, H.; Wu, G.; Ohno-Matsui, K.; Jonas, J.B.; Cheung, C.M.G. Update in myopia and treatment strategy of atropine use in myopia control. Eye 2019, 33, 3–13. [Google Scholar] [CrossRef] [PubMed] [Green Version]
- Du, C.; Shen, M.; Li, M.; Zhu, D.; Wang, M.R.; Wang, J. Anterior segment biometry during accommodation imaged with ultralong scan depth optical coherence tomography. Ophthalmology 2012, 119, 2479–2485. [Google Scholar] [CrossRef] [PubMed] [Green Version]
- Gambra, E.; Ortiz, S.; Perez-Merino, P.; Gora, M.; Wojtkowski, M.; Marcos, S. Static and dynamic crystalline lens accommodation evaluated using quantitative 3-D OCT. Biomed. Opt. Express 2013, 4, 1595–1609. [Google Scholar] [CrossRef] [PubMed] [Green Version]
- Zhong, J.; Tao, A.; Xu, Z.; Jiang, H.; Shao, Y.; Zhang, H.; Liu, C.; Wang, J. Whole eye axial biometry during accommodation using ultra-long scan depth optical coherence tomography. Am. J. Ophthalmol. 2014, 157, 1064–1069. [Google Scholar] [CrossRef] [PubMed] [Green Version]
- Sun, Y.; Fan, S.; Zheng, H.; Dai, C.; Ren, Q.; Zhou, C. Noninvasive imaging and measurement of accommodation using dual-channel SD-OCT. Curr. Eye Res. 2014, 39, 611–619. [Google Scholar] [CrossRef]
- Zhang, J.; Ni, Y.; Li, P.; Sun, W.; Liu, M.; Guo, D.; Du, C. Anterior segment biometry with phenylephrine and tropicamide during accommodation imaged with ultralong scan depth optical coherence tomography. J. Ophthalmol. 2019, 2019, 6827215. [Google Scholar] [CrossRef] [PubMed]
- Neri, A.; Ruggeri, M.; Protti, A.; Leaci, R.; Gandolfi, S.A.; Macaluso, C. Dynamic imaging of accommodation by swept-source anterior segment optical coherence tomography. J. Cataract. Refract. Surg. 2015, 41, 501–510. [Google Scholar] [CrossRef] [PubMed] [Green Version]

| Right Eye | Left Eye | p-Value * | |||
|---|---|---|---|---|---|
| Median | IQR | Median | IQR | ||
| Baseline biometric parameter | |||||
| Spherical equivalent (D) | −5.88 | 6.50 | −5.37 | 6.94 | 0.69 |
| Axial length (mm) | 25.39 | 2.37 | 25.45 | 2.52 | 0.95 |
| Accommodation amplitude (D) | 6.48 | 1.49 | 6.53 | 1.07 | 0.95 |
| Central corneal thickness (µm) | 537 | 42 | 527 | 42 | 0.97 |
| Anterior chamber depth (mm) | 3.28 | 0.35 | 3.33 | 0.31 | 0.62 |
| Pupil diameter (mm) | 4.38 | 1.26 | 4.59 | 0.79 | 0.55 |
| Lens thickness (mm) | 3.61 | 0.25 | 3.61 | 0.27 | 0.96 |
| Radius of the lens’ anterior surface curvature (mm) | 11.65 | 1.97 | 12.04 | 3.39 | 0.57 |
| Radius of the lens’ posterior surface curvature (mm) | 5.73 | 0.60 | 5.81 | 0.67 | 0.86 |
| Pre-Instillation | 1 h after Ocular Instillation | 24 h after Ocular Instillation | 48 h after Ocular Instillation | |||||
|---|---|---|---|---|---|---|---|---|
| Median | IQR | Median | IQR | Median | IQR | Median | IQR | |
| Spherical equivalent (D) | −5.88 | 6.50 | −6.25 | 6.44 | −6.13 | 6.13 | −6.13 | 6.19 |
| (p, 0.10) | (p, 0.86) | (p, 0.55) | ||||||
| Accommodation amplitude (D) | 6.48 | 1.49 | 6.49 | 1.38 | 6.40 | 1.09 | 6.59 | 1.00 |
| (p, 0.76) | (p, 0.50) | (p, 0.07) | ||||||
| Subjective symptoms | 0.00 | 0.00 | 0.00 | 0.00 | 0.00 | 0.00 | 0.00 | 0.00 |
| (p, 0.11) | ||||||||
Publisher’s Note: MDPI stays neutral with regard to jurisdictional claims in published maps and institutional affiliations. |
© 2021 by the authors. Licensee MDPI, Basel, Switzerland. This article is an open access article distributed under the terms and conditions of the Creative Commons Attribution (CC BY) license (https://creativecommons.org/licenses/by/4.0/).
Share and Cite
Mitsukawa, T.; Suzuki, Y.; Momota, Y.; Suzuki, S.; Yamada, M. Effects of 0.01% Atropine Instillation Assessed Using Swept-Source Anterior Segment Optical Coherence Tomography. J. Clin. Med. 2021, 10, 4384. https://doi.org/10.3390/jcm10194384
Mitsukawa T, Suzuki Y, Momota Y, Suzuki S, Yamada M. Effects of 0.01% Atropine Instillation Assessed Using Swept-Source Anterior Segment Optical Coherence Tomography. Journal of Clinical Medicine. 2021; 10(19):4384. https://doi.org/10.3390/jcm10194384
Chicago/Turabian StyleMitsukawa, Tadahiro, Yumi Suzuki, Yosuke Momota, Shun Suzuki, and Masakazu Yamada. 2021. "Effects of 0.01% Atropine Instillation Assessed Using Swept-Source Anterior Segment Optical Coherence Tomography" Journal of Clinical Medicine 10, no. 19: 4384. https://doi.org/10.3390/jcm10194384
APA StyleMitsukawa, T., Suzuki, Y., Momota, Y., Suzuki, S., & Yamada, M. (2021). Effects of 0.01% Atropine Instillation Assessed Using Swept-Source Anterior Segment Optical Coherence Tomography. Journal of Clinical Medicine, 10(19), 4384. https://doi.org/10.3390/jcm10194384

