Resting Heart Rate and Cardiovascular Outcomes during Intensive and Standard Blood Pressure Reduction: An Analysis from SPRINT Trial
Abstract
1. Introduction
2. Materials and Methods
2.1. Data Source
2.2. Clinical Endpoint (CE) Outcome
2.3. BP and RHR Measurements
2.4. Statistical Methods
3. Results
3.1. General Baseline Characteristics
3.2. Group Characteristics Presented According to Quintiles of Baseline RHR
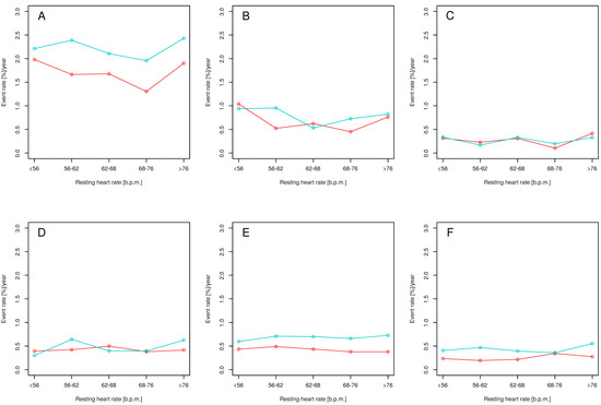
3.3. Clinical Outcomes during the Study by Quintiles of Baseline RHR
3.4. Relationship between Baseline RHR and CE Risk
3.5. Interaction between Baseline RHR with SBP Reduction
3.6. Effect of RHR Reduction on CE Risk
3.7. In-Trial RHR, SBP, and DBP Comparisons According to Quintiles of Baseline RHR
4. Discussion
5. Conclusions
Supplementary Materials
Author Contributions
Funding
Institutional Review Board Statement
Informed Consent Statement
Data Availability Statement
Conflicts of Interest
References
- Williams, B.; Mancia, G.; Spiering, W.; Agabiti Rosei, E.; Azizi, M.; Burnier, M.; Clement, D.L.; Coca, A.; De Simone, G.; Dominiczak, A.; et al. 2018 ESC/ESH Guidelines for the management of arterial hypertension. Eur. Heart J. 2018, 39, 3021–3104. [Google Scholar] [CrossRef] [PubMed]
- Custodis, F.; Schirmer, S.H.; Baumhakel, M.; Heusch, G.; Bohm, M.; Laufs, U. Vascular pathophysiology in response to increased heart rate. J. Am. Coll. Cardiol. 2010, 56, 1973–1983. [Google Scholar] [CrossRef]
- Palatini, P.; Dorigatti, F.; Zaetta, V.; Mormino, P.; Mazzer, A.; Bortolazzi, A.; D’Este, D.; Pegoraro, F.; Milani, L.; Mos, L.; et al. Heart rate as a predictor of development of sustained hypertension in subjects screened for stage 1 hypertension: The HARVEST Study. J. Hypertens. 2006, 24, 1873–1880. [Google Scholar] [CrossRef]
- Levy, R.L.; White, P.D.; Stroud, W.D.; Hillman, C.C. Transient tachycardia; prognostic significance alone and in association with transient hypertension. J. Am. Med Assoc. 1946, 38, 207–212. [Google Scholar]
- Zhong, C.; Zhong, X.; Xu, T.; Peng, H.; Li, H.; Zhang, M.; Wang, A.; Xu, T.; Sun, Y.; Zhang, Y. Combined effects of hypertension and heart rate on the risk of stroke and coronary heart disease: A population-based prospective cohort study among Inner Mongolians in China. Hypertens. Res. 2015, 38, 883–888. [Google Scholar] [CrossRef] [PubMed][Green Version]
- Benetos, A.; Rudnichi, A.; Thomas, F.; Safar, M.; Guize, L. Influence of heart rate on mortality in a French population: Role of age, gender, and blood pressure. Hypertension 1999, 33, 44–52. [Google Scholar] [CrossRef]
- Gillman, M.W.; Kannel, W.B.; Belanger, A.; D′Agostino, R.B. Influence of heart rate on mortality among persons with hypertension: The Framingham Study. Am. Heart J. 1993, 125, 1148–1154. [Google Scholar] [CrossRef]
- Paul, L.; Hastie, C.E.; Li, W.S.; Harrow, C.; Muir, S.; Connell, J.M.; Dominiczak, A.F.; McInnes, G.T.; Padmanabhan, S. Resting heart rate pattern during follow-up and mortality in hypertensive patients. Hypertension 2010, 55, 567–574. [Google Scholar] [CrossRef] [PubMed]
- Okin, P.M.; Kjeldsen, S.E.; Julius, S.; Hille, D.A.; Dahlöf, B.; Edelman, J.M.; Devereux, R.B. All-cause and cardiovascular mortality in relation to changing heart rate during treatment of hypertensive patients with electrocardiographic left ventricular hypertrophy. Eur. Heart J. 2010, 31, 2271–2279. [Google Scholar] [CrossRef] [PubMed]
- Whelton, P.K.; Carey, R.M.; Aronow, W.S.; Casey, D.E., Jr.; Collins, K.J.; Himmelfarb, C.D.; DePalma, S.M.; Gidding, S.; Jamerson, K.A.; Jones, D.W.; et al. 2017 ACC/AHA/AAPA/ABC/ACPM/AGS/APhA/ASH/ASPC/NMA/PCNA Guideline for the Prevention, Detection, Evaluation, and Management of High Blood Pressure in Adults: Executive Summary: A Report of the American College of Cardiology/American Heart Association Task Force on Clinical Practice Guidelines. Hypertension 2018, 71, 1269–1324. [Google Scholar] [PubMed]
- Wright, J.T., Jr.; Whelton, P.K.; Reboussin, D.M. A Randomized Trial of Intensive versus Standard Blood-Pressure Control. N. Engl. J. Med. 2016, 374, 2294. [Google Scholar]
- Freemantle, N. Interpreting the results of secondary end points and subgroup analyses in clinical trials: Should we lock the crazy aunt in the attic? BMJ 2001, 322, 989–991. [Google Scholar] [CrossRef]
- Julius, S.; Palatini, P.; Kjeldsen, S.E.; Zanchetti, A.; Weber, M.A.; McInnes, G.T.; Brunner, H.R.; Mancia, G.; Schork, M.A.; Hua, T.A.; et al. Usefulness of heart rate to predict cardiac events in treated patients with high-risk systemic hypertension. Am. J. Cardiol. 2012, 109, 685–692. [Google Scholar] [CrossRef] [PubMed]
- Kolloch, R.; Legler, U.F.; Champion, A.; Cooper-DeHoff, R.M.; Handberg, E.; Zhou, Q.; Pepine, C.J. Impact of resting heart rate on outcomes in hypertensive patients with coronary artery disease: Findings from the INternational VErapamil-SR/trandolapril STudy (INVEST). Eur. Heart J. 2008, 29, 1327–1334. [Google Scholar] [CrossRef]
- Unger, T.; Borghi, C.; Charchar, F.; Khan, N.A.; Poulter, N.R.; Prabhakaran, D.; Ramirez, A.; Schlaich, M.; Stergiou, G.S.; Tomaszewski, M.; et al. 2020 International Society of Hypertension global hypertension practice guidelines. J. Hypertens. 2020, 38, 982–1004. [Google Scholar] [CrossRef] [PubMed]
- Palatini, P.; Rosei, E.A.; Casiglia, E.; Chalmers, J.; Ferrari, R.; Grassi, G.; Inoue, T.; Jelakovic, B.; Jensen, M.T.; Julius, S.; et al. Management of the hypertensive patient with elevated heart rate. J. Hypertens. 2016, 34, 813–821. [Google Scholar] [CrossRef]
- Fisher, J.P.; Paton, J.F.R. The sympathetic nervous system and blood pressure in humans: Implications for hypertension. J. Hum. Hypertens. 2011, 26, 463–475. [Google Scholar] [CrossRef]
- Dahlöf, B.; Devereux, R.B.; Kjeldsen, S.E.; Julius, S.; Beevers, G.; de Faire, U.; Fyhrquist, F.; Ibsen, H.; Kristiansson, K.; Lederballe-Pedersen, O.; et al. Cardiovascular morbidity and mortality in the Losartan Intervention For Endpoint reduction in hypertension study (LIFE): A randomised trial against atenolol. Lancet 2002, 359, 995–1003. [Google Scholar] [CrossRef]
- Dahlöf, B.; Sever, P.S.; Poulter, N.R.; Wedel, H.; Beevers, D.G.; Caulfield, M.; Collins, R.; Kjeldsen, S.E.; Kristinsson, A.; McInnes, G.T.; et al. Prevention of cardiovascular events with an antihypertensive regimen of amlodipine adding perindopril as required versus atenolol adding bendroflumethiazide as required, in the Anglo-Scandinavian Cardiac Outcomes Trial-Blood Pressure Lowering Arm (ASCOT-BPLA): A multicentre randomised controlled trial. Lancet 2005, 366, 895–906. [Google Scholar] [PubMed]
- Böhm, M.; Kario, K.; Kandzari, D.E.; Mahfoud, F.; Weber, M.A.; Schmieder, R.E.; Tsioufis, K.; Pocock, S.; Konstantinidis, D.; Choi, J.W.; et al. Efficacy of catheter-based renal denervation in the absence of antihypertensive medications (SPYRAL HTN-OFF MED Pivotal): A multicentre, randomised, sham-controlled trial. Lancet 2020, 395, 1444–1451. [Google Scholar] [CrossRef]
- Seravalle, G.; Dell’Oro, R.; Grassi, G. Baroreflex activation therapy systems: Current status and future prospects. Expert Rev. Med. Devices 2019, 16, 1025–1033. [Google Scholar] [CrossRef] [PubMed]
- Oba, Y.; Hoshide, S.; Kabutoya, T.; Kario, K. Increased Resting Heart Rate on Electrocardiogram Relative to In-office Pulse Rate Indicates Cardiac Overload: The J-HOP Study. Am. J. Hypertens. 2018, 31, 1106–1112. [Google Scholar] [CrossRef]
- Palatini, P.; Thijs, L.; Staessen, J.A.; Fagard, R.H.; Bulpitt, C.J.; Clement, D.L.; De Leeuw, P.W.; Jaaskivi, M.; Leonetti, G.; Nachev, C.; et al. Predictive Value of Clinic and Ambulatory Heart Rate for Mortality in Elderly Subjects With Systolic Hypertension. Arch. Intern. Med. 2002, 162, 2313–2321. [Google Scholar] [CrossRef] [PubMed]
- Roerecke, M.; Kaczorowski, J.; Myers, M.G. Comparing Automated Office Blood Pressure Readings With Other Methods of Blood Pressure Measurement for Identifying Patients With Possible Hypertension: A Systematic Review and Meta-analysis. JAMA Intern. Med. 2019, 179, 351–362. [Google Scholar] [CrossRef] [PubMed]
- Johnson, K.C.; Whelton, P.K.; Cushman, W.C.; Cutler, J.A.; Evans, G.W.; Snyder, J.K.; Ambrosius, W.T.; Beddhu, S.; Cheung, A.K.; Fine, L.J.; et al. Blood Pressure Measurement in SPRINT (Systolic Blood Pressure Intervention Trial). Hypertension 2018, 71, 848–857. [Google Scholar] [CrossRef] [PubMed]
- Ambrosius, W.T.; Sink, K.; Foy, C.G.; Berlowitz, D.; Cheung, A.K.; Cushman, W.C.; Fine, L.J.; Goff, J.D.C.; Johnson, K.C.; Killeen, A.A.; et al. The design and rationale of a multicenter clinical trial comparing two strategies for control of systolic blood pressure: The Systolic Blood Pressure Intervention Trial (SPRINT). Clin. Trials 2014, 11, 532–546. [Google Scholar] [CrossRef]





| 1st Quintile RHR <56 b.p.m. n = 1626 | 2nd Quintile RHR 56–62 b.p.m. n = 1891 | 3rd Quintile RHR 62–68 b.p.m. n = 1937 | 4th Quintile RHR 68–76 b.p.m. n = 2020 | 5th Quintile RHR >76 b.p.m. n = 1887 | p | |
|---|---|---|---|---|---|---|
| Age (years) | 70.6 ± 8.8 | 69.3 ± 9.3 | 68 ± 9.2 | 66.8 ± 9.3 | 65.3 ± 9.5 | <0.001 |
| Female sex (n, %) | 465 (28.6) | 624 (33) | 704 (36.3) | 796 (39.4) | 743 (39.4) | <0.001 |
| Current smoking status (n, %) | 116 (7.1) | 168 (8.9) | 222 (11.5) | 306 (15.1) | 428 (22.7) | <0.001 |
| Black race (n, %) | 400 (24.6) | 491 (26) | 589 (30.4) | 677 (33.5) | 790 (41.9) | <0.001 |
| BMI (kg/m2) | 29.3 ± 5.4 | 29.5 ± 5.5 | 29.7 ± 5.8 | 30.2 ± 5.9 | 30.4 ± 6.1 | <0.001 |
| History of cardiovascular disease (n, %) | 454 (27.9) | 449 (23.7) | 364 (18.8) | 335 (16.6) | 275 (14.6) | <0.001 |
| History of clinical cardiovascular disease (n, %) | 397 (24.4) | 384 (20.3) | 304 (15.7) | 260 (12.9) | 217 (11.5) | <0.001 |
| History of subclinical cardiovascular disease (n, %) | 100 (6.2) | 102 (5.4) | 97 (5) | 111 (5.5) | 83 (4.4) | 0.205 |
| History of chronic kidney disease (n, %) | 558 (34.3) | 555 (29.3) | 561 (29) | 517 (25.6) | 455 (24.1) | <0.001 |
| Baseline SBP (mmHg) | 141.7 ± 16.2 | 140.1 ± 15.9 | 139.2 ± 15.1 | 139.5 ± 15.2 | 138.2 ± 15.4 | <0.001 |
| Baseline DBP (mmHg) | 72.9 ± 11.6 | 75.9 ± 11.2 | 77.9 ± 11.4 | 80.2 ± 11.5 | 82.9 ± 11.7 | <0.001 |
| Baseline RHR (b.p.m.) | 51 ± 3.6 | 58.6 ± 1.7 | 64.4 ± 1.7 | 71.3 ± 2.3 | 83.5 ± 7.3 | <0.001 |
| In-trial SBP (mmHg) | 130.3 ± 9.8 | 129.6 ± 9.9 | 129.2 ± 9.8 | 129.3 ± 10.1 | 128.9 ± 9.7 | <0.001 |
| In-trial DBP (mmHg) | 68.4 ± 9 | 70.4 ± 8.9 | 72 ± 9 | 73.5 ± 8.9 | 75.8 ± 9 | <0.001 |
| In-trial RHR (b.p.m.) | 57.6 ± 6 | 62.6 ± 5.5 | 66.6 ± 5.5 | 71.1 ± 6.2 | 77.9 ± 8.3 | <0.001 |
| Allocation to intensive treatment arm (n, %) | 787 (48.4) | 960 (50.8) | 1001 (51.7) | 1009 (50) | 921 (48.8) | 0.252 |
| EGFR (mL/min/m2) | 68 ± 18.7 | 70.3 ± 19.6 | 71.3 ± 20.5 | 73.6 ± 21.2 | 74.8 ± 21.9 | <0.001 |
| Serum creatinine (mg/dL) | 1.1 ± 0.3 | 1.1 ± 0.3 | 1.1 ± 0.3 | 1 ± 0.3 | 1.1 ± 0.3 | <0.001 |
| Glucose (mg/dL) | 97.9 ± 11.2 | 98 ± 12.2 | 98.1 ± 12 | 99.5 ± 14.6 | 100.4 ± 16.5 | <0.001 |
| Total cholesterol (mg/dL) | 180.5 ± 38.1 | 183.7 ± 38.7 | 190.7 ± 40.8 | 195.5 ± 41.3 | 198.6 ± 43.5 | <0.001 |
| HDL (mg/dL) | 51.9 ± 13 | 52.3 ± 13.9 | 53 ± 14.1 | 53.4 ± 15.1 | 53.6 ± 15.8 | <0.001 |
| Triglicerydes (md/dL) | 116.5 ± 69.8 | 118.4 ± 65.8 | 122.3 ± 72 | 132.9 ± 97.6 | 137.9 ± 127.6 | <0.001 |
| On aspirin (n, %) | 971 (59.9) | 1037 (55.1) | 1041 (54) | 930 (46.2) | 777 (41.2) | <0.001 |
| On statin (n, %) | 826 (51.2) | 889 (47.3) | 855 (44.4) | 778 (38.9) | 706 (37.8) | <0.001 |
| Parameter | Hazard Ratio | 95% Confidence Interval | p-Value |
|---|---|---|---|
| Age (years) | 1.05 | 1.04–1.06 | <0.001 |
| Female sex | 0.69 | 0.57–0.84 | <0.001 |
| Allocation to intensive treatment arm | 0.74 | 0.63–0.87 | <0.001 |
| Current smoking status | 1.92 | 1.51–2.45 | <0.001 |
| History of cardiovascular disease | 2.17 | 1.81–2.599 | <0.001 |
| History of chronic kidney disease | 1.46 | 1.22–1.74 | <0.001 |
| Baseline SBP (mm Hg) | 1.01 | 1.00–1.01 | 0.024 |
| Baseline RHR (b.p.m.) | 1.01 | 1.00–1.01 | 0.190 |
| Total serum cholesterol (mg/dl) | 1.00 | 0.99–1.00 | 0.027 |
| Lower in-trial RHR than at baseline | 0.80 | 0.66–0.98 | 0.020 |
Publisher’s Note: MDPI stays neutral with regard to jurisdictional claims in published maps and institutional affiliations. |
© 2021 by the authors. Licensee MDPI, Basel, Switzerland. This article is an open access article distributed under the terms and conditions of the Creative Commons Attribution (CC BY) license (https://creativecommons.org/licenses/by/4.0/).
Share and Cite
Sobieraj, P.; Siński, M.; Lewandowski, J. Resting Heart Rate and Cardiovascular Outcomes during Intensive and Standard Blood Pressure Reduction: An Analysis from SPRINT Trial. J. Clin. Med. 2021, 10, 3264. https://doi.org/10.3390/jcm10153264
Sobieraj P, Siński M, Lewandowski J. Resting Heart Rate and Cardiovascular Outcomes during Intensive and Standard Blood Pressure Reduction: An Analysis from SPRINT Trial. Journal of Clinical Medicine. 2021; 10(15):3264. https://doi.org/10.3390/jcm10153264
Chicago/Turabian StyleSobieraj, Piotr, Maciej Siński, and Jacek Lewandowski. 2021. "Resting Heart Rate and Cardiovascular Outcomes during Intensive and Standard Blood Pressure Reduction: An Analysis from SPRINT Trial" Journal of Clinical Medicine 10, no. 15: 3264. https://doi.org/10.3390/jcm10153264
APA StyleSobieraj, P., Siński, M., & Lewandowski, J. (2021). Resting Heart Rate and Cardiovascular Outcomes during Intensive and Standard Blood Pressure Reduction: An Analysis from SPRINT Trial. Journal of Clinical Medicine, 10(15), 3264. https://doi.org/10.3390/jcm10153264

