Circulating MicroRNAs and Novel Proteins as Potential Biomarkers of Neurological Complications after Heart Bypass Surgery
Abstract
:1. Introduction
2. Materials and Methods
2.1. Study Design
2.2. Setting
2.3. Participants
2.4. Variables
2.5. Data Sources/Measurement
2.6. Statistical Analysis
3. Results
3.1. Participants
3.2. Descriptive Data
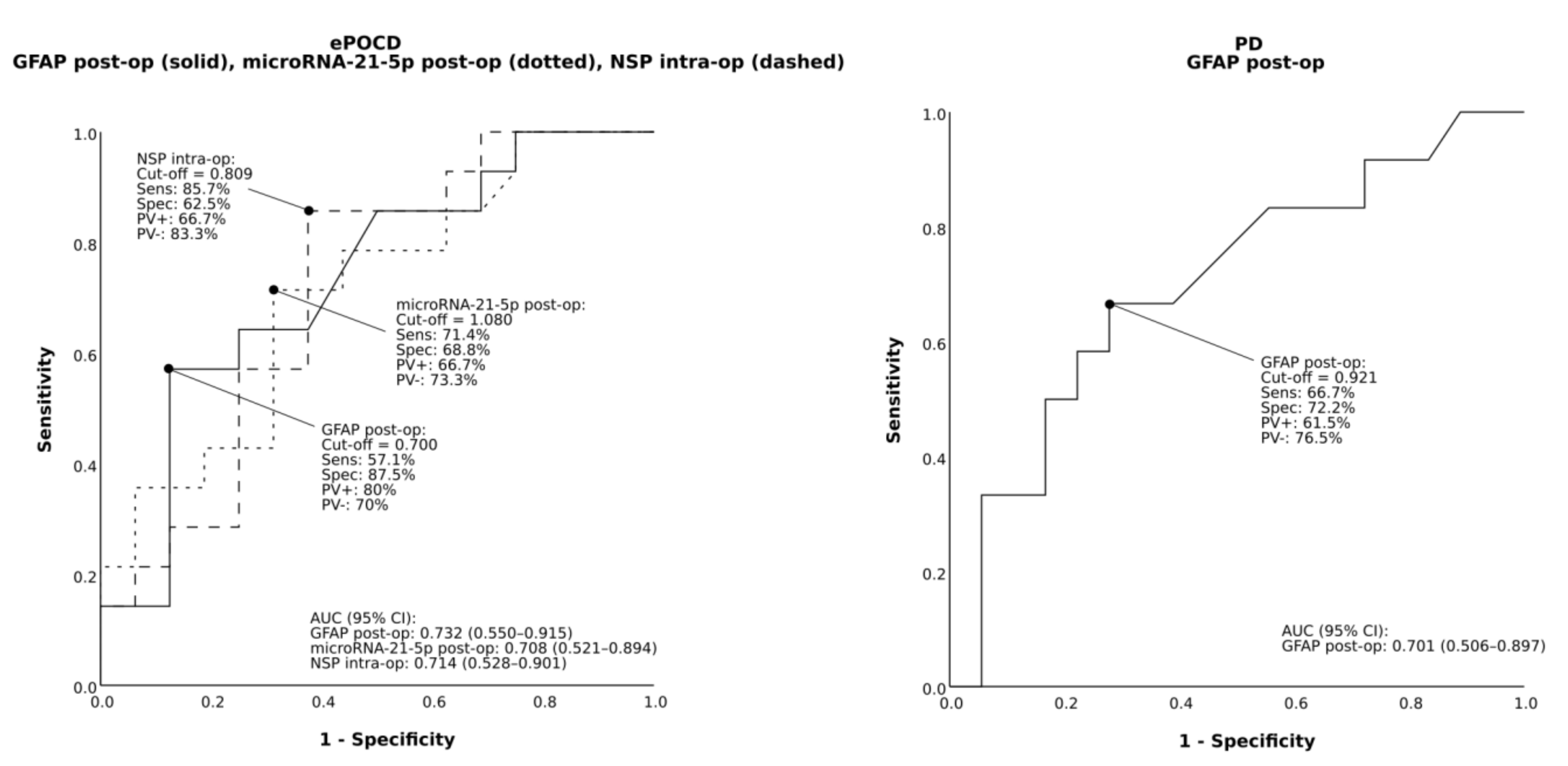
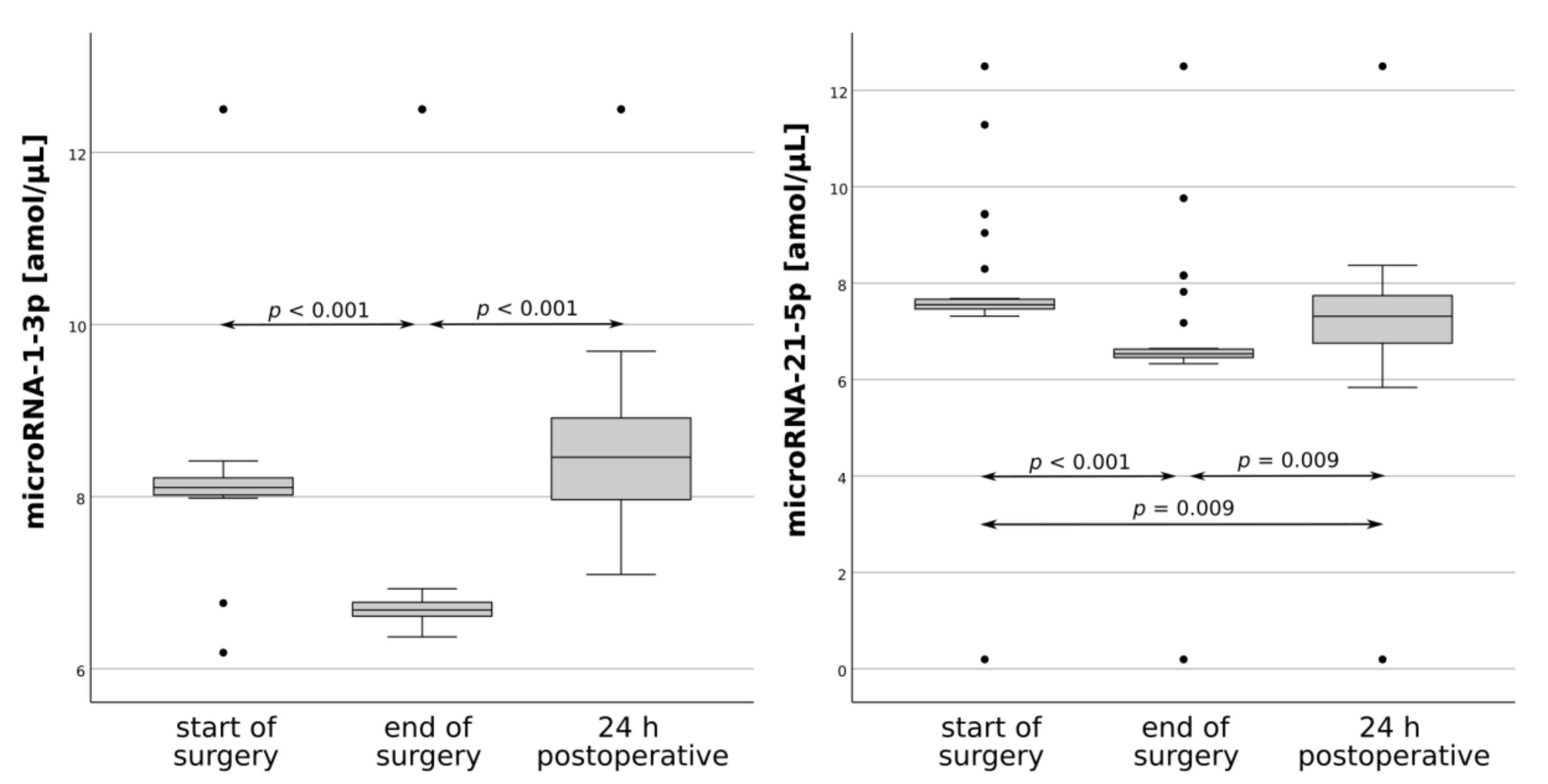
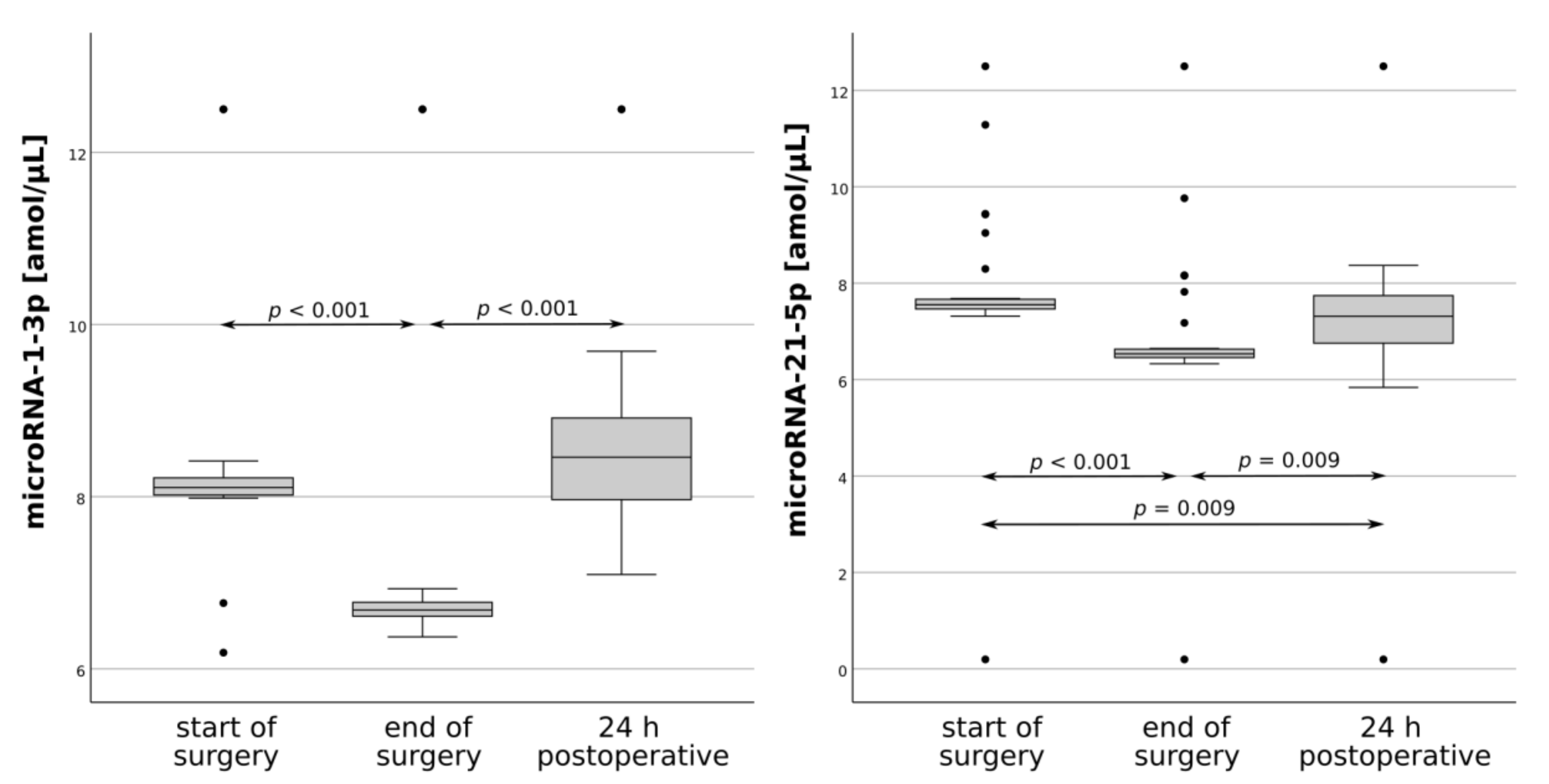
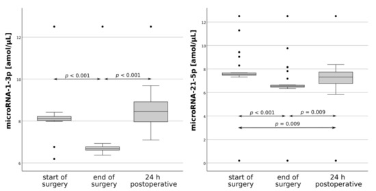
3.3. Main Results
3.4. Other Analyses
4. Discussion
Supplementary Materials
Author Contributions
Funding
Institutional Review Board Statement
Informed Consent Statement
Data Availability Statement
Conflicts of Interest
References
- Szwed, K.; Pawliszak, W.; Szwed, M.; Tomaszewska, M.; Anisimowicz, L.; Borkowska, A. Reducing delirium and cognitive dysfunction after off-pump coronary bypass: A randomized trial. J. Thorac. Cardiovasc. Surg. 2019. [Google Scholar] [CrossRef] [PubMed]
- Eagle, K.A.; Guyton, R.A.; Davidoff, R.; Ewy, G.A.; Fonger, J.; Gardner, T.J.; Gott, J.P.; Herrmann, H.C.; Marlow, R.A.; Nugent, W.; et al. ACC/AHA guidelines for coronary artery bypass graft surgery: Executive summary and recommendations. Circulation 1999, 100, 1464–1480. [Google Scholar] [CrossRef] [PubMed] [Green Version]
- Evans, A.S.; Weiner, M.M.; Arora, R.C.; Chung, I.; Deshpande, R.; Varghese, R.; Augoustides, J.; Ramakrishna, H. Current approach to diagnosis and treatment of delirium after cardiac surgery. Ann. Card. Anaesth. 2016, 19, 328–337. [Google Scholar] [CrossRef] [PubMed]
- Liu, G.; Geng, J. Glial fifibrillary acidic protein as a prognostic marker of acute ischemic stroke. Hum. Exp. Toxicol. 2018, 37, 1048–1053. [Google Scholar] [CrossRef] [PubMed]
- Wu, W.; Asakawa, T.; Yang, Q.; Zhao, J.; Lu, L.; Luo, Y.; Wang, L. Effects of neuroserpin on clinical outcomes and inflammatory markers in Chinese patients with acute ischemic stroke. Neurol. Res. 2017, 39, 862–868. [Google Scholar] [CrossRef]
- Inoue, R.; Sumitani, M.; Ogata, T.; Chikuda, H.; Matsubara, T.; Kato, S.; Shimojo, N.; Uchida, K.; Yamada, Y. Direct evidence of central nervous system axonal damage in patients with postoperative delirium: A preliminary study of pNF-H as a promising serum biomarker. Neurosci. Lett. 2017, 653, 39–44. [Google Scholar] [CrossRef] [PubMed]
- Bradley-Whitman, M.A.; Roberts, K.N.; Abner, E.L.; Scheff, S.W.; Lynn, B.C.; Lovell, M.A. A novel method for the rapid detection of post-translationally modified visinin-like protein 1 in rat models of brain injury. Brain Inj. 2018, 32, 363–380. [Google Scholar] [CrossRef] [PubMed]
- Kura, B.; Kalocayova, B.; Devaux, Y.; Bartekova, M. Potential Clinical Implications of miR-1 and miR-21 in Heart Disease and Cardioprotection. Int. J. Mol. Sci. 2020, 21, 700. [Google Scholar] [CrossRef] [Green Version]
- Emanueli, C.; Shearn, A.I.U.; Laftah, A.; Fiorentino, F.; Reeves, B.C.; Beltrami, C.; Mumford, A.; Clayton, A.; Gurney, M.; Shantikumar, S.; et al. Coronary artery-bypass-graft surgery increases the plasma concentration of exosomes carrying a cargo of cardiac microRNAs: An example of exosome trafficking out of the human heart with potential for cardiac biomarker discovery. PLoS ONE 2016, 11, e0154274. [Google Scholar] [CrossRef] [Green Version]
- Stoica, S.C.; Dorobantu, D.M.; Vardeu, A.; Biglino, G.; Ford, K.; Bruno, V.D.; Zakkar, M.; Mumford, A.; Angelini, G.D.; Caputo, M.; et al. MicroRNAs as potential biomarkers in congenital heart surgery. J. Thorac. Cardiovasc. Surg. 2020, 159, 1532–1540.e7. [Google Scholar] [CrossRef] [Green Version]
- Gaede, L.; Liebetrau, C.; Blumenstein, J.; Troidl, C.; Dörr, O.; Kim, W.-K.; Gottfried, K.; Voss, S.; Berkowitsch, A.; Walther, T.; et al. Plasma microRNA-21 for the early prediction of acute kidney injury in patients undergoing major cardiac surgery. Nephrol. Dial. Transplant. 2016, 31, 760–766. [Google Scholar] [CrossRef] [Green Version]
- Wang, W.; Li, D.B.; Li, R.Y.; Zhou, X.; Yu, D.-J.; Lan, X.-Y.; Li, J.-P.; Liu, J.-L. Diagnosis of Hyperacute and Acute Ischaemic Stroke: The Potential Utility of Exosomal MicroRNA-21-5p and MicroRNA-30a-5p. Cerebrovasc. Dis. 2018, 45, 204–212. [Google Scholar] [CrossRef] [PubMed] [Green Version]
- Ely, E.W.; Inouye, S.K.; Bernard, G.R.; Gordon, S.; Francis, J.; May, L.; Truman, B.; Speroff, T.; Gautam, S.; Margolin, R.; et al. Delirium in mechanically ventilated patients: Validity and reliability of the confusion assessment method for the intensive care unit (CAM-ICU). Jama 2001, 286, 2703–2710. [Google Scholar] [CrossRef] [Green Version]
- Androsova, G.; Krause, R.; Winterer, G.; Schneider, R. Biomarkers of postoperative delirium and cognitive dysfunction. Front. Aging Neurosci. 2015, 7, 112. [Google Scholar] [CrossRef] [PubMed]
- Han, K.; Wang, F.R.; Yu, M.Q. MicroRNA-21-5p promotes the inflammatory response after spinal cord injury by targeting PLAG1. Eur. Rev. Med. Pharmacol. Sci. 2020, 24, 5878–5885. [Google Scholar] [CrossRef]
- Rodríguez-González, R.; Millán, M.; Sobrino, T.; Miranda, E.; Brea, D.; De La Ossa, N.P.; Blanco, M.; Pérez, J.; Dorado, L.; Castellanos, M.D.M.; et al. The natural tissue plasminogen activator inhibitor neuroserpin and acute ischaemic stroke outcome. Thromb. Haemost. 2011, 105, 421–429. [Google Scholar] [CrossRef]
- Kumar, A.; Misra, S.; Yadav, A.K.; Sagar, R.; Verma, B.; Grover, A.; Prasad, K. Role of glial fibrillary acidic protein as a biomarker in differentiating intracerebral haemorrhage from ischaemic stroke and stroke mimics: A meta-analysis. Biomarkers 2020, 25, 1–8. [Google Scholar] [CrossRef]
- Graham, E.M.; Martin, R.H.; Atz, A.M.; Hamlin-Smith, K.; Kavarana, M.N.; Bradley, S.M.; Alsoufi, B.; Mahle, W.T.; Everett, A.D. Association of intraoperative circulating-brain injury biomarker and neurodevelopmental outcomes at 1 year among neonates who have undergone cardiac surgery. J. Thorac Cardiovasc. Surg. 2019, 157, 1996–2002. [Google Scholar] [CrossRef] [PubMed] [Green Version]
- Szwed, K.; Słomka, A.; Pawliszak, W.; Szwed, M.; Anisimowicz, L.; Żekanowska, E.; Borkowska, A. Novel Markers for Predicting Type 2 Neurologic Complications of Coronary Artery Bypass Grafting. Ann. Thorac. Surg. 2020, 110, 599–607. [Google Scholar] [CrossRef] [PubMed]
- Ballweg, T.; White, M.; Parker, M.; Casey, C.; Bo, A.; Farahbakhsh, Z.; Kayser, A.; Blair, A.; Lindroth, H.; Pearce, R.A. Association between plasma tau and postoperative delirium incidence and severity: A prospective observational study. Br. J. Anaesth. 2021, 126, 458–466. [Google Scholar] [CrossRef] [PubMed]
- Krepelkova, I.; Mrackova, T.; Izakova, J.; Dvorakova, B.; Chalupova, L.; Mikulik, R.; Slaby, O.; Bartos, M.; Ruzicka, V. Evaluation of miRNA detection methods for the analytical characteristic necessary for clinical utilization. Biotechniques 2019, 66, 277–284. [Google Scholar] [CrossRef] [PubMed]



| Characteristic | Total n = 30 | |
|---|---|---|
| Age, y | 66 (63–71) | |
| Female sex | 8 (26.7%) | |
| Recent myocardial infarction (≤90 d) | 10 (33.3%) | |
| Hypertension | 25 (83.3%) | |
| Diabetes | 10 (33.3%) | |
| Creatinine clearance, mL/min | 92.0 ± 21.5 | |
| LVEF, % | 66.2 ± 9.6 | |
| BMI, kg/m2 | 28.1 ± 4.3 | |
| CCS class 4 angina | 5 (16.7%) | |
| NYHA class | I | 1 (3.3%) |
| II | 1 (3.3%) | |
| III | 2 (6.7%) | |
| IV | 0 | |
| Logistic Euroscore, % | 0.84 (0.67–1.01) | |
| Characteristic | Total n = 30 | microRNA-1-3p | microRNA-21-5p | GFAP | pNfH | NSP | VILIP-1 | |||||||
|---|---|---|---|---|---|---|---|---|---|---|---|---|---|---|
| Intra-Op | Post-Op | Intra-Op | Post-Op | Intra-Op | Post-Op | Intra-op | Post-op | Intra-op | Post-op | Intra-Op | Post-Op | |||
| Time of intubation, min | 609.5 ± 146.6 | r = −0.295 (p = 0.114) rho = −0.409 (p = 0.025) | r = −0.266 (p = 0.155) rho = −0.399 (p = 0.029) | r = 0.114 (p = 0.550) rho = 0.396 (p = 0.030) | ||||||||||
| Surgery time | 213.8 ± 49.0 | |||||||||||||
| Grafts | 1 | 1 (3.3%) | □ 1.194 ± 0.125 ● 1.271 ± 0.093 p = 0.060 *,† | |||||||||||
| 2 | 12 (40%) | |||||||||||||
| 3 | 15 (50%) | |||||||||||||
| 4 | 2 (6.7%) | |||||||||||||
| Prolonged ICU stay (>48 h) | 7 (23.3%) | □ 1.000 (0.852–1.342) ● 0.689 (0.511–0.691) p = 0.005 | □ 0.918 (0.750–1.065) ● 1.200 (1.000–5.889) p = 0.021 | |||||||||||
| Prolonged hospitalization (>7 d) | 12 (40%) | □ 1.211 ± 0.100 ● 1.277 ± 0.124 p = 0.117 * | □ 0.816 (0.575–0.848) ● 1.051 (0.802–1.520) p = 0.031 | |||||||||||
| PD | 12 (40%) | □ 1.000 (0.852–1.342) ● 0.699 (0.617–1.000) p = 0.066 ** | ||||||||||||
| Stroke | 1 (3.3%) | |||||||||||||
| Transient ischemic attack | 0 | |||||||||||||
| ePOCD | 14 (46.7%) | □ 1.027 ± 0.112 ● 1.113 ± 0.082 p = 0.025 | □ 1.024 (0.905–1.571) ● 0.691 (0.665–1.000) p = 0.029 | □ 0.800 (0.544–1.032) ● 0.874 (0.823–1.284) p = 0.047 | ||||||||||
| All-cause mortality | 0 | |||||||||||||
| Major bleeding | 0 | |||||||||||||
| Myocardial infarction | 1 (3.3%) | |||||||||||||
| Deep sternal wound infection | 3 (10%) | □ 1.223 ± 0.107 ● 1.367 ± 0.090 p = 0.035 | ||||||||||||
| Atrial fibrillation | 6 (20%) | □ 1.000 (0.700–1.145) ● 0.649 (0.511–0.884) p = 0.042 | ||||||||||||
| Acute kidney injury | 4 (13.3%) | |||||||||||||
| Variable in Equation | B | p-Value | OR | 95% CI for OR | |
|---|---|---|---|---|---|
| Upper | Lower | ||||
| GFAP post-op | −4.8 | 0.045 | 8.1 × 10−3 | 7.4 × 10−5 | 0.9 |
| microRNA-21-5p post-op | 20.1 | 0.027 | 5.5 × 10−8 | 10.3 | 2.9 × 1016 |
| NSP intra-op | 2.8 | 0.031 | 16.4 | 1.3 | 209.1 |
| intercept | −19.9 | 0.051 | |||
Publisher’s Note: MDPI stays neutral with regard to jurisdictional claims in published maps and institutional affiliations. |
© 2021 by the authors. Licensee MDPI, Basel, Switzerland. This article is an open access article distributed under the terms and conditions of the Creative Commons Attribution (CC BY) license (https://creativecommons.org/licenses/by/4.0/).
Share and Cite
Szwed, K.; Szwed, M.; Kozakiewicz, M.; Karłowska-Pik, J.; Soja-Kukieła, N.; Bartoszewska, A.; Borkowska, A. Circulating MicroRNAs and Novel Proteins as Potential Biomarkers of Neurological Complications after Heart Bypass Surgery. J. Clin. Med. 2021, 10, 3091. https://doi.org/10.3390/jcm10143091
Szwed K, Szwed M, Kozakiewicz M, Karłowska-Pik J, Soja-Kukieła N, Bartoszewska A, Borkowska A. Circulating MicroRNAs and Novel Proteins as Potential Biomarkers of Neurological Complications after Heart Bypass Surgery. Journal of Clinical Medicine. 2021; 10(14):3091. https://doi.org/10.3390/jcm10143091
Chicago/Turabian StyleSzwed, Krzysztof, Magdalena Szwed, Mariusz Kozakiewicz, Joanna Karłowska-Pik, Natalia Soja-Kukieła, Adrianna Bartoszewska, and Alina Borkowska. 2021. "Circulating MicroRNAs and Novel Proteins as Potential Biomarkers of Neurological Complications after Heart Bypass Surgery" Journal of Clinical Medicine 10, no. 14: 3091. https://doi.org/10.3390/jcm10143091
APA StyleSzwed, K., Szwed, M., Kozakiewicz, M., Karłowska-Pik, J., Soja-Kukieła, N., Bartoszewska, A., & Borkowska, A. (2021). Circulating MicroRNAs and Novel Proteins as Potential Biomarkers of Neurological Complications after Heart Bypass Surgery. Journal of Clinical Medicine, 10(14), 3091. https://doi.org/10.3390/jcm10143091

