Vessel Density Loss of the Deep Peripapillary Area in Glaucoma Suspects and Its Association with Features of the Lamina Cribrosa
Abstract
1. Introduction
2. Materials and Methods
2.1. Study Design and Population
2.2. Identification of Study Subjects with VD Defects in the Deep Peripapillary Area Using OCTA
2.3. Lamina Cribrosa Measurements Using Enhanced Depth Imaging OCT
2.4. VF Sensitivity and Macular Vessel Density
3. Statistical Analysis
4. Results
5. Discussion
Author Contributions
Funding
Institutional Review Board Statement
Informed Consent Statement
Conflicts of Interest
References
- Weinreb, R.N.; Aung, T.; Medeiros, F.A. The pathophysiology and treatment of glaucoma: A review. JAMA 2014, 311, 1901–1911. [Google Scholar] [CrossRef]
- Chan, K.K.W.; Tang, F.; Tham, C.C.Y.; Young, A.L.; Cheung, C.Y. Retinal vasculature in glaucoma: A review. BMJ Open Ophthalmol. 2017, 1, e000032. [Google Scholar] [CrossRef]
- Quigley, H.A.; Addicks, E.M. Regional Differences in the Structure of the Lamina Cribrosa and Their Relation to Glaucomatous Optic Nerve Damage. Arch. Ophthalmol. 1981, 99, 137–143. [Google Scholar] [CrossRef]
- Park, S.C.; Hsu, A.T.; Su, D.; Simonson, J.L.; Al-Jumayli, M.; Liu, Y.; Liebmann, J.M.; Ritch, R. Factors Associated with Focal Lamina Cribrosa Defects in Glaucoma. Investig. Ophthalmol. Vis. Sci. 2013, 54, 8401–8407. [Google Scholar] [CrossRef]
- Chen, C.-L.; Bojikian, K.D.; Wen, J.C.; Zhang, Q.; Xin, C.; Mudumbai, R.C.; Johnstone, M.A.; Chen, P.P.; Wang, R.K. Peripapillary Retinal Nerve Fiber Layer Vascular Microcirculation in Eyes with Glaucoma and Single-Hemifield Visual Field Loss. JAMA Ophthalmol. 2017, 135, 461–468. [Google Scholar] [CrossRef]
- Deokule, S.; Vizzeri, G.; Boehm, A.G.; Bowd, C.; Medeiros, F.A.; Weinreb, R.N. Correlation Among Choroidal, Parapapillary, and Retrobulbar Vascular Parameters in Glaucoma. Am. J. Ophthalmol. 2009, 147, 736–743. [Google Scholar] [CrossRef]
- Moore, N.A.; Harris, A.; Wentz, S.; Vercellin, A.C.V.; Parekh, P.; Gross, J.; Hussain, R.M.; Thieme, C.; Siesky, B. Baseline retrobulbar blood flow is associated with both functional and structural glaucomatous progression after 4 years. Br. J. Ophthalmol. 2017, 101, 305–308. [Google Scholar] [CrossRef]
- Grieshaber, M.C.; Flammer, J. Blood flow in glaucoma. Curr. Opin. Ophthalmol. 2005, 16, 79–83. [Google Scholar] [CrossRef] [PubMed]
- Yanagi, M.; Kawasaki, R.; Wang, J.J.; Wong, T.Y.; Crowston, J.; Kiuchi, Y. Vascular risk factors in glaucoma: A review. Clin. Exp. Ophthalmol. 2011, 39, 252–258. [Google Scholar] [CrossRef]
- Werner, A.C.; Shen, L.Q. A Review of OCT Angiography in Glaucoma. Semin. Ophthalmol. 2019, 34, 279–286. [Google Scholar] [CrossRef]
- Spaide, R.F.; Klancnik, J.M., Jr.; Cooney, M.J. Retinal Vascular Layers Imaged by Fluorescein Angiography and Optical Coherence Tomography Angiography. JAMA Ophthalmol. 2015, 133, 45–50. [Google Scholar] [CrossRef]
- Jia, Y.; Wei, E.; Wang, X.; Zhang, X.; Morrison, J.C.; Parikh, M.; Lombardi, L.H.; Gattey, D.M.; Armour, R.L.; Edmunds, B.; et al. Optical Coherence Tomography Angiography of Optic Disc Perfusion in Glaucoma. Ophthalmology 2014, 121, 1322–1332. [Google Scholar] [CrossRef]
- Lommatzsch, C.; Rothaus, K.; Koch, J.M.; Heinz, C.; Grisanti, S. OCTA vessel density changes in the macular zone in glaucomatous eyes. Graefe’s Arch. Clin. Exp. Ophthalmol. 2018, 256, 1499–1508. [Google Scholar] [CrossRef]
- Jeon, S.J.; Park, H.-Y.L.; Park, C.K. Effect of Macular Vascular Density on Central Visual Function and Macular Structure in Glaucoma Patients. Sci. Rep. 2018, 8, 16009. [Google Scholar] [CrossRef] [PubMed]
- Jeon, S.J.; Shin, D.-Y.; Park, H.-Y.L.; Park, C.K. Association of Retinal Blood Flow with Progression of Visual Field in Glaucoma. Sci. Rep. 2019, 9, 16813. [Google Scholar] [CrossRef]
- Sung, M.S.; Lee, T.H.; Heo, H.; Park, S.W. Clinical features of superficial and deep peripapillary microvascular density in healthy myopic eyes. PLoS ONE 2017, 12, e0187160. [Google Scholar] [CrossRef]
- Stanga, P.E.; Tsamis, E.; Papayannis, A.; Stringa, F.; Cole, T.; Jalil, A. Swept-Source Optical Coherence Tomography Angio™ (Topcon Corp, Japan): Technology Review. Dev. Ophthalmol. 2016, 56, 13–17. [Google Scholar]
- Park, H.-Y.L.; Jeon, S.H.; Park, C.K. Enhanced Depth Imaging Detects Lamina Cribrosa Thickness Differences in Normal Tension Glaucoma and Primary Open-Angle Glaucoma. Ophthalmology 2012, 119, 10–20. [Google Scholar] [CrossRef]
- Jung, Y.H.; Park, H.-Y.L.; Jung, K.I.; Park, C.K. Comparison of Prelaminar Thickness between Primary Open Angle Glaucoma and Normal Tension Glaucoma Patients. PLoS ONE 2015, 10, e0120634. [Google Scholar] [CrossRef]
- Parodi, M.B.; Cicinelli, M.V.; Rabiolo, A.; Pierro, L.; Bolognesi, G.; Bandello, F. Vascular abnormalities in patients with Stargardt disease assessed with optical coherence tomography angiography. Br. J. Ophthalmol. 2017, 101, 780–785. [Google Scholar] [CrossRef]
- Tepelus, T.C.; Song, S.; Borrelli, E.; Nittala, M.G.; Baghdasaryan, E.; Sadda, S.R.; Chopra, V. Quantitative Analysis of Retinal and Choroidal Vascular Parameters in Patients with Low Tension Glaucoma. J. Glaucoma 2019, 28, 557–562. [Google Scholar] [CrossRef] [PubMed]
- Akagi, T.; Iida, Y.; Nakanishi, H.; Terada, N.; Morooka, S.; Yamada, H.; Hasegawa, T.; Yokota, S.; Yoshikawa, M.; Yoshimura, N. Microvascular Density in Glaucomatous Eyes with Hemifield Visual Field Defects: An Optical Coherence Tomography Angiography Study. Am. J. Ophthalmol. 2016, 168, 237–249. [Google Scholar] [CrossRef]
- Lee, E.J.; Kim, T.W.; Kim, J.A.; Kim, J.A. Parapapillary Deep-Layer Microvasculature Dropout in Primary Open-Angle Glaucoma Eyes with a Parapapillary gamma-Zone. Investig. Ophthalmol. Vis. Sci. 2017, 58, 5673–5680. [Google Scholar] [CrossRef] [PubMed]
- Park, H.-Y.L.; Jeon, S.J.; Park, C.K. Features of the Choroidal Microvasculature in Peripapillary Atrophy Are Associated with Visual Field Damage in Myopic Patients. Am. J. Ophthalmol. 2018, 192, 206–216. [Google Scholar] [CrossRef] [PubMed]
- Suh, M.H.; Zangwill, L.M.; Manalastas, P.I.C.; Belghith, A.; Yarmohammadi, A.; Medeiros, F.A.; Diniz-Filho, A.; Saunders, L.J.; Weinreb, R.N. Deep Retinal Layer Microvasculature Dropout Detected by the Optical Coherence Tomography Angiography in Glaucoma. Ophthalmology 2016, 123, 2509–2518. [Google Scholar] [CrossRef] [PubMed]
- Rao, H.L.; Pradhan, Z.S.; Suh, M.H.; Moghimi, S.; Mansouri, K.; Weinreb, R.N. Optical Coherence Tomography Angiography in Glaucoma. J. Glaucoma 2020, 29, 312–321. [Google Scholar] [CrossRef]
- Liu, L.; Edmunds, B.; Takusagawa, H.L.; Tehrani, S.; Lombardi, L.H.; Morrison, J.C.; Jia, Y.; Huang, D. Projection-Resolved Optical Coherence Tomography Angiography of the Peripapillary Retina in Glaucoma. Am. J. Ophthalmol. 2019, 207, 99–109. [Google Scholar] [CrossRef] [PubMed]
- Marchand, M.; Monnot, C.; Muller, L.; Germain, S. Extracellular matrix scaffolding in angiogenesis and capillary homeostasis. Semin. Cell Dev. Biol. 2019, 89, 147–156. [Google Scholar] [CrossRef]
- Prada, D.; Harris, A.; Guidoboni, G.; Siesky, B.; Huang, A.M.; Arciero, J. Autoregulation and neurovascular coupling in the optic nerve head. Surv. Ophthalmol. 2016, 61, 164–186. [Google Scholar] [CrossRef]
- Savastano, M.C.; Lumbroso, B.; Rispoli, M. In vivo characterization of retinal vascularization morphology using optical coherence tomography angiography. Retina 2015, 35, 2196–2203. [Google Scholar] [CrossRef]
- Shin, J.W.; Lee, J.; Kwon, J.; Choi, J.; Kook, M.S. Regional vascular density–visual field sensitivity relationship in glaucoma according to disease severity. Br. J. Ophthalmol. 2017, 101, 1666–1672. [Google Scholar] [CrossRef] [PubMed]
- Arend, O.; Remky, A.; Cantor, L.B.; Harris, A. Altitudinal visual field asymmetry is coupled with altered retinal circulation in patients with normal pressure glaucoma. Br. J. Ophthalmol. 2000, 84, 1008–1012. [Google Scholar] [CrossRef]




| Age (years) | 49.92 (±13.85) |
| Axial length (mm) | 25.13 (±1.60) |
| Male:Female | 21:30 |
| Hypertension (%) | 9 (17.64) |
| Diabetes (%) | 4 (7.84) |
| Systemic vascular dysregulation (%) * | 9 (17.64) |
| Right eye with deep VD defects (%) | 14 (27.45) |
| Superior location of deep VD defects (%) | 32 (62.74) |
| Eyes with Deep VD Defects (n = 51) | Fellow Eyes without Deep VD Defects (n = 51) | p Value | |
|---|---|---|---|
| Disc hemorrhage (%) | 3 (5.88) | 2 (3.92) | 0.647 |
| BCVA (decimal) | 0.96 (±0.08) | 0.93 (±0.13) | 0.245 |
| Intraocular pressure (mmHg) | 16.69 (±4.48) | 16.43 (±3.89) | 0.760 |
| Axial length (mm) | 25.10 (±1.55) | 25.17 (±1.66) | 0.485 |
| RNFL OCT variables | |||
| cpRNFL thickness | 89.25 (±8.73) | 89.73 (±9.06) | 0.790 |
| Rim area | 1.12 (±0.27) | 1.07 (±0.22) | 0.268 |
| Disc area | 2.17 (±0.51) | 2.07 (±0.45) | 0.309 |
| Average C/D ratio | 0.66 (±0.12) | 0.67 (±0.11) | 0.859 |
| Vertical C/D ratio | 0.63 (±0.12) | 0.63 (±0.11) | 0.986 |
| Cup vlume | 0.42 (±0.27) | 0.41 (±0.25) | 0.804 |
| SITA 24-2 MD (dB) | −0.68 (±1.46) | −0.51 (±1.52) | 0.569 |
| SITA 24-2 mean sensitivity (dB) | 29.72 (±1.72) | 30.29 (±1.82) | 0.299 |
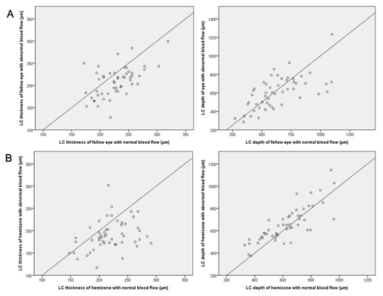
| LC thickness (μm) | 208.92 (±33.56) | 228.57 (±31.93) | <0.001 |
| LC depth (μm) | 607.71 (±175.26) | 631.51 (±202.67) | 0.297 |
| Prelaminar thickness (μm) | 109.44 (±41.96) | 113.82 (±54.45) | 0.521 |
| Macular VD | |||
| Superficial layer (%) | 36.05 (±2.24) | 35.82 (±2.40) | 0.660 |
| Deep layer (%) * | 43.47 (±3.25) | 43.47 (±2.84) | 0.608 |
| Hemizone with Deep VD Defects | Hemizone without Deep VD Defects | p Value | |
|---|---|---|---|
| cpRNFL thickness | |||
| ISNT map * | 112.82 (±13.73) | 111.64 (±18.65) | 0.771 |
| Clock-hour map † | 93.22 (±13.77) | 88.71 (±17.78) | 0.176 |
| SITA 24-2 mean sensitivity (dB) | 29.40 (±1.99) | 30.17 (±1.83) | <0.001 |
| LC thickness (μm) | 189.82 (±33.50) | 219.16 (±34.46) | <0.001 |
| LC depth (μm) | 657.37 (±158.86) | 622.63 (±162.02) | 0.014 |
| Prelaminar thickness (μm) | 146.31 (±83.86) | 162.33 (±81.51) | 0.296 |
| Macular vessel density of deep layer (%) ‡ | 42.71 (±4.96) | 45.29 (±7.06) | 0.147 |
| Univariate | Multivariate | |||||
|---|---|---|---|---|---|---|
| Exp(ß) | 95% CI | p Value | Exp(ß) | 95% CI | p Value | |
| Disc hemorrhage | 1.531 | 0.245 to 9.574 | 0.649 | |||
| Axial length | 1.020 | 0.774 to 1.344 | 0.887 | |||
| SITA 24-2 MD (dB) | 0.924 | 0.706 to 1.209 | 0.565 | |||
| SITA 24-2 sensitivity (dB) | 0.825 | 0.573 to 1.188 | 0.288 | 0.864 | 0.600 to 1.244 | 0.432 |
| RNFL OCT variables | ||||||
| cpRNFL thickness | 0.994 | 0.951 to 1.039 | 0.788 | |||
| Rim area | 2.540 | 0.481 to 13.429 | 0.272 | 2.094 | 0.124 to 34.798 | 0.606 |
| Disc area | 1.528 | 0.677 to 3.451 | 0.297 | 1.110 | 0.199 to 6.208 | 0.905 |
| Average C/D ratio | 0.733 | 0.025 to 21.331 | 0.857 | |||
| Vertical C/D ratio | 0.970 | 0.032 to 29.428 | 0.986 | |||
| Cup volume | 1.214 | 0.268 to 5.513 | 0.801 | |||
| LC thickness (μm) | 0.980 | 0.967 to 0.993 | 0.003 | 0.980 | 0.962 to 0.999 | 0.041 |
| LC depth (μm) | 0.999 | 0.997 to 1.001 | 0.524 | |||
| Prelaminar thickness (μm) | 0.998 | 0.990 to 1.006 | 0.651 | |||
| Macular VD (%) | ||||||
| Superficial layer | 1.043 | 0.866 to 1.257 | 0.656 | |||
| Deep layer | 1.000 | 0.868 to 1.153 | 0.997 | |||
Publisher’s Note: MDPI stays neutral with regard to jurisdictional claims in published maps and institutional affiliations. |
© 2021 by the authors. Licensee MDPI, Basel, Switzerland. This article is an open access article distributed under the terms and conditions of the Creative Commons Attribution (CC BY) license (https://creativecommons.org/licenses/by/4.0/).
Share and Cite
Jeon, S.-J.; Park, H.-Y.L.; Park, C.-K. Vessel Density Loss of the Deep Peripapillary Area in Glaucoma Suspects and Its Association with Features of the Lamina Cribrosa. J. Clin. Med. 2021, 10, 2373. https://doi.org/10.3390/jcm10112373
Jeon S-J, Park H-YL, Park C-K. Vessel Density Loss of the Deep Peripapillary Area in Glaucoma Suspects and Its Association with Features of the Lamina Cribrosa. Journal of Clinical Medicine. 2021; 10(11):2373. https://doi.org/10.3390/jcm10112373
Chicago/Turabian StyleJeon, Soo-Ji, Hae-Young Lopilly Park, and Chan-Kee Park. 2021. "Vessel Density Loss of the Deep Peripapillary Area in Glaucoma Suspects and Its Association with Features of the Lamina Cribrosa" Journal of Clinical Medicine 10, no. 11: 2373. https://doi.org/10.3390/jcm10112373
APA StyleJeon, S.-J., Park, H.-Y. L., & Park, C.-K. (2021). Vessel Density Loss of the Deep Peripapillary Area in Glaucoma Suspects and Its Association with Features of the Lamina Cribrosa. Journal of Clinical Medicine, 10(11), 2373. https://doi.org/10.3390/jcm10112373

