Pressure Algometry Evaluation of Two Occlusal Splint Designs in Bruxism Management-Randomized, Controlled Clinical Trial
Abstract
1. Introduction
2. Materials and Methods
2.1. Inclusion Criteria
2.2. Exclusion Criteria
- masseter muscle (M)—point on maximal muscle convexity during maximal intercuspation;
- anterior belly of temporal muscle (MTA)—point on maximal muscle convexity during maximal intercuspation;
- medial belly of temporal muscle (MTP)—3 cm distally from the anterior belly examination point in horizontal plane;
- posterior belly of temporal muscle (MTM)—6 cm distally from the anterior belly examination point in horizontal plane;
- point in the projection of the temporomandibular joint (TMJ)—point at the height of the mandibular condyle congruent with hinge axis;
- sternocleidomastoid muscle (SCM)—point 1 cm downwards from the muscle insertion on the mastoid process along the course of the muscle.
2.3. PPT Measurement Technique and Principles
2.4. Applied Bruxism Diagnostic Criteria
2.5. Statistical Analysis
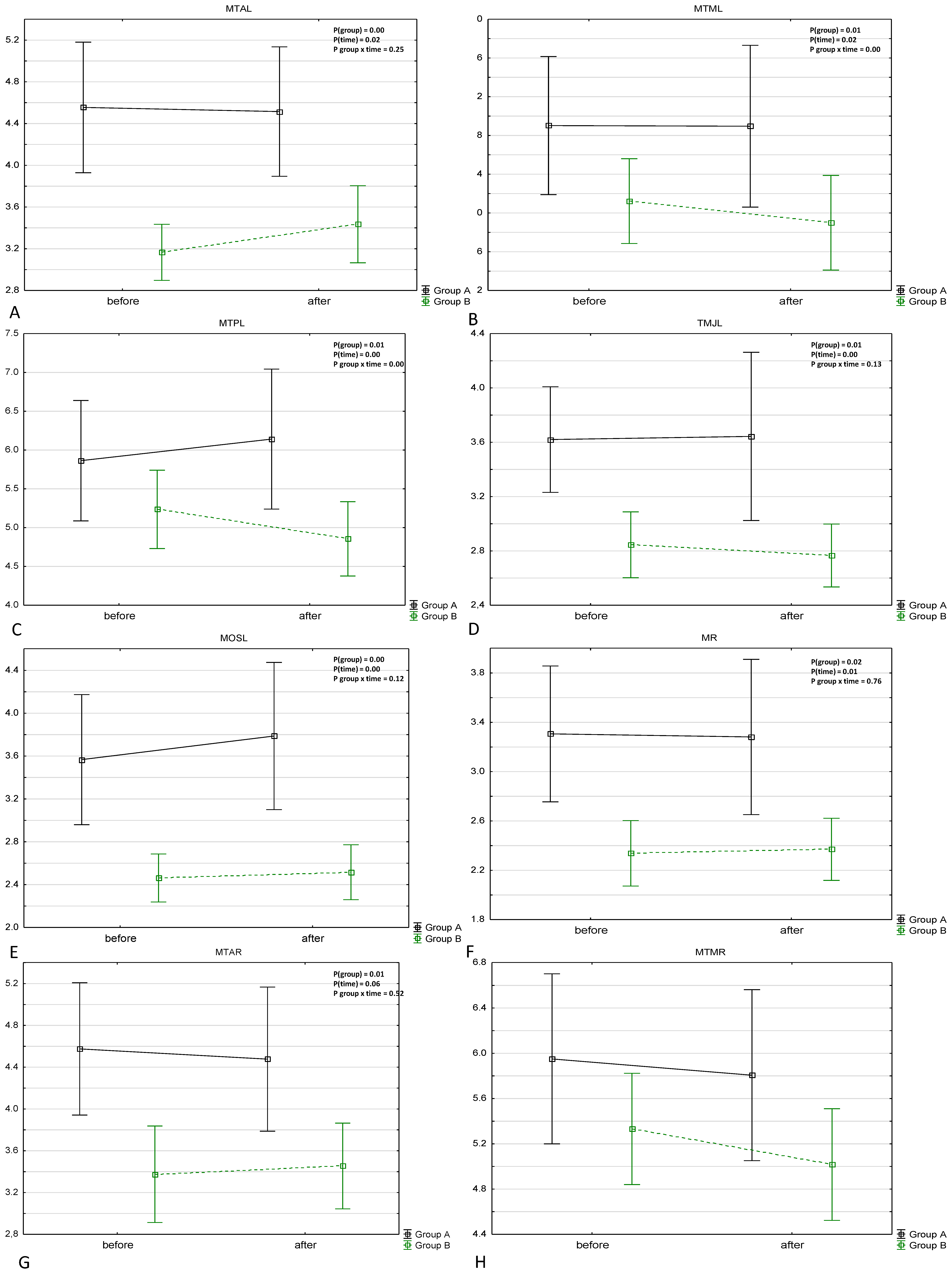
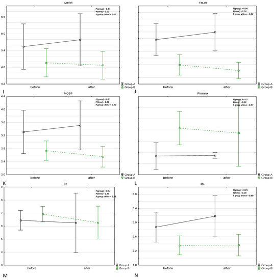
3. Results
Figures and Tables
4. Discussion
5. Limitations of the Study
6. Conclusions
Author Contributions
Funding
Institutional Review Board Statement
Informed Consent Statement
Data Availability Statement
Conflicts of Interest
Abbreviations
| ML | left masseter muscle |
| MTAL | left temporal muscle, anterior belly |
| MTML | left temporal muscle, medial belly |
| MTPL | left temporal muscle, posterior belly |
| TMJL | left temporomandibular joint |
| SCML | left sternocleidomastoid muscle |
| MR | right masseter muscle |
| MTAR | right temporal muscle, anterior belly |
| MTMR | right temporal muscle, medial belly |
| MTPR | right temporal muscle, posterior belly |
| TMJR | right temporomandibular joint |
| SCMR | right sternocleidomastoid muscle |
| MB | the outer surface of the first metacarpal bone |
| C7—C7 | vertebra level |
Appendix A
- Has anyone heard you grinding your teeth at night?
- Is your jaw ever fatigued or sore in the morning?
- Are your teeth or gums ever sore on awakening in the morning?
- Do you ever experience temporal headaches on awakening in the morning?
- Are you aware of grinding your teeth during the day?
- Are you ever aware of clenching your teeth during the day?
- The patient reports or is aware of tooth-grinding sounds or tooth clenching during sleep.
- One or more of the following is present:
- Abnormal wear of teeth;
- Jaw muscle discomfort, fatigue, or pain and jaw lock upon awakening;
- Masseter muscle hypertrophy upon voluntary forceful clenching.
- The jaw muscle activity is not better explained by another current sleep disorder, medical or neurological disorder, medication use, or substance use disorder.
References
- The Glossary of Prosthodontic Terms: Ninth Edition. J. Prosthet. Dent. 2017, 117, e1–e105. [CrossRef]
- Sateia, M.J. International classification of sleep disorders-third edition: Highlights and modifications. Chest 2014, 146, 1387–1394. [Google Scholar] [CrossRef]
- Lobbezoo, F.; Ahlberg, J.; Glaros, A.G.; Kato, T.; Koyano, K.; Lavigne, G.J.; de Leeuw, R.; Manfredini, D.; Svensson, P.; Winocur, E. Bruxism defined and graded: An international consensus. J. Oral Rehabil. 2013, 40, 2–4. [Google Scholar] [CrossRef]
- Bernhardt, O.; Gesch, D.; Splieth, C.; Schwahn, C.; Mack, F.; Kocher, T.; Meyer, G.; John, U.; Kordass, B. Risk factors for high occlusal wear scores in a population-based sample: Results of the Study of Health in Pomerania (SHIP). Int. J. Prosthodont. 2004, 17, 333–339. [Google Scholar]
- Vieira, K.R.M.; Folchini, C.M.; Heyde, M.D.V.D.; Stuginski-Barbosa, J.; Kowacs, P.A.; Piovesan, E.J. Wake-Up Headache is Associated with Sleep Bruxism. Headache 2020, 60, 974–980. [Google Scholar] [CrossRef]
- Kato, T.; Lavigne, G.J. Sleep Bruxism: A Sleep-Related Movement Disorder. Sleep Med. Clin. 2010, 5, 2–4. [Google Scholar] [CrossRef]
- Lavigne, G.J.; Khoury, S.; Abe, S.; Yamaguchi, T.; Raphael, K. Bruxism physiology and pathology: An overview for clinicians. J. Oral Rehabil. 2008, 35, 476–494. [Google Scholar] [CrossRef]
- Dalewski, B.; Kamińska, A.; Szydłowski, M.; Kozak, M.; Sobolewska, E. Comparison of Early Effectiveness of Three Different Intervention Methods in Patients with Chronic Orofacial Pain: A Randomized, Controlled Clinical Trial. Pain Res. Manag. 2019, 2019, 7954291. [Google Scholar] [CrossRef] [PubMed]
- Dalewski, B.; Kaczmarek, K.; Jakubowska, A.; Szczuchniak, K.; Pałka, Ł.; Sobolewska, E. COL12A1 Single Nucleotide Polymorphisms rs240736 and rs970547 Are Not Associated with Temporomandibular Joint Disc Displacement without Reduction. Genes 2021, 12, 690. [Google Scholar] [CrossRef]
- Dalewski, B.; Chruściel-Nogalska, M.; Frączak, B. Occlusal splint versus modified nociceptive trigeminal inhibition splint in bruxism therapy: A randomized, controlled trial using surface electromyography. Aust. Dent. J. 2015, 60, 445–454. [Google Scholar] [CrossRef] [PubMed][Green Version]
- Stocka, A.; Sierpinska, T.; Kuc, J.; Golebiewska, M. Relationship between depression and masticatory muscles function in a group of adolescents. Cranio 2018, 36, 390–395. [Google Scholar] [CrossRef]
- Boggero, I.A.; Ramirez, M.V.R.; King, C.D. Cross-Sectional Associations of Fatigue Subtypes with Pain Interference in Younger, Middle-Aged, and Older Adults with Chronic Orofacial Pain. Pain Med. 2020, 21, 1961–1970. [Google Scholar] [CrossRef]
- Simoen, L.; Van den Berghe, L.; Jacquet, W.; Marks, L. Depression and anxiety levels in patients with temporomandibular disorders: Comparison with the general population. Clin. Oral Investig. 2020, 24, 3939–3945. [Google Scholar] [CrossRef]
- Michalek-Zrabkowska, M.; Wieckiewicz, M.; Gac, P.; Smardz, J.; Poreba, R.; Wojakowska, A.; Goslawska, K.; Mazur, G.; Martynowicz, H. Effect of Sleep Bruxism Intensity on Blood Pressure in Normotensives. J. Clin. Med. 2021, 10, 1304. [Google Scholar] [CrossRef]
- Saczuk, K.; Lapinska, B.; Wilmont, P.; Pawlak, L.; Lukomska-Szymanska, M. Relationship between Sleep Bruxism, Perceived Stress, and Coping Strategies. Int. J. Environ. Res. Public Health 2019, 16, 3193. [Google Scholar] [CrossRef] [PubMed]
- Walczyńska-Dragon, K.; Baron, S.; Nitecka-Buchta, A.; Tkacz, E. Correlation between TMD and cervical spine pain and mobility: Is the whole body balance TMJ related? Biomed. Res. Int. 2014, 2014, 582414. [Google Scholar] [CrossRef]
- Castien, R.F.; van der Wouden, J.C.; De Hertogh, W. Pressure pain thresholds over the cranio-cervical region in headache: A systematic review and meta-analysis. J. Headache Pain 2018, 19, 9. [Google Scholar] [CrossRef] [PubMed]
- Chesterton, L.S.; Sim, J.; Wright, C.C.; Foster, N.E. Interrater reliability of algometry in measuring pressure pain thresholds in healthy humans, using multiple raters. Clin. J. Pain 2007, 23, 760–766. [Google Scholar] [CrossRef]
- Szyszka-Sommerfeld, L.; Machoy, M.; Lipski, M.; Woźniak, K. The Diagnostic Value of Electromyography in Identifying Patients With Pain-Related Temporomandibular Disorders. Front. Neurol. 2019, 10, 180. [Google Scholar] [CrossRef]
- Woźniak, K.; Lipski, M.; Lichota, D.; Szyszka-Sommerfeld, L. Muscle fatigue in the temporal and masseter muscles in patients with temporomandibular dysfunction. Biomed Res. Int. 2015, 2015, 269734. [Google Scholar] [CrossRef] [PubMed]
- Więckiewicz, W.; Woźniak, K.; Piątkowska, D.; Szyszka-Sommerfeld, L.; Lipski, M. The Diagnostic Value of Pressure Algometry for Temporomandibular Disorders. Biomed Res. Int. 2015, 2015, 575038. [Google Scholar] [CrossRef]
- Szyszka-Sommerfeld, L.; Machoy, M.; Lipski, M.; Woźniak, K.; Wieckiewicz, M. Electromyography as a Means of Assessing Masticatory Muscle Activity in Patients with Pain-Related Temporomandibular Disorders. Pain Res. Manag. 2020, 2020, 1–9. [Google Scholar] [CrossRef] [PubMed]
- Berger, M.; Szalewski, L.; Szkutnik, J.; Ginszt, M.; Ginszt, A. Different association between specific manifestations of bruxism and temporomandibular disorder pain. Neurol. Neurochir. Polska 2017, 51, 7–11. [Google Scholar] [CrossRef]
- Lavigne, G.; Kato, T.; Babiloni, A.H.; Huynh, N.; Dal Fabbro, C.; Svensson, P.; Aarab, G.; Ahlberg, J.; Baba, K.; Carra, M.C.; et al. Research routes on improved sleep bruxism metrics: Toward a standardised approach. J. Sleep Res. 2021, 6, e13320. [Google Scholar]
- Lee, H.-M.; Kang, D.-W.; Yun, P.-Y.; Kim, I.; Kim, Y.-K. Associations between mandibular torus and types of temporomandibular disorders, and the clinical usefulness of temporary splint for checking bruxism. BMC Oral Health 2021, 21, 182. [Google Scholar] [CrossRef] [PubMed]
- Saczuk, K.; Lapinska, B.; Wilmont, P.; Pawlak, L.; Lukomska-Szymanska, M. The Bruxoff Device as a Screening Method for Sleep Bruxism in Dental Practice. J. Clin. Med. 2019, 8, 930. [Google Scholar] [CrossRef] [PubMed]
- Alessandri-Bonetti, G.; Bortolotti, F.; Bartolucci, M.L.; Marini, I.; D’Antò, V.; Michelotti, A. The Effects of Mandibular Advancement Device on Pressure Pain Threshold of Masticatory Muscles: A Prospective Controlled Cohort Study. J. Oral Facial Pain Headache 2016, 30, 234–240. [Google Scholar] [CrossRef] [PubMed]
- Chaves, T.C.; Nagamine, H.M.; de Sousa, L.M.; de Oliveira, A.S.; Grossi, D.B. Intra- and interrater agreement of pressure pain threshold for masticatory structures in children reporting orofacial pain related to temporomandibular disorders and symptom-free children. J. Orofac. Pain 2007, 21, 133–142. [Google Scholar] [PubMed]
- Kamińska, A.; Dalewski, B.; Sobolewska, E. The Usefulness of the Pressure Algometer in the Diagnosis and Treatment of Orofacial Pain Patients: A Systematic Review. Occup. Ther. Int. 2020, 2020, 5168457. [Google Scholar] [CrossRef] [PubMed]
- Carra, M.C.; Huynh, N.; Lavigne, G. Sleep bruxism: A comprehensive overview for the dental clinician interested in sleep medicine. Dent. Clin. N. Am. 2012, 56, 387–413. [Google Scholar] [CrossRef]
- Leketas, M.; Šaferis, Ã.V. Oral Behaviors and Parafunctions: Comparison of Temporomandibular Dysfunction Patients and Controls. J. Craniofac. Surg. 2017, 28, 1933–1938. [Google Scholar] [CrossRef] [PubMed]
- Waskom, M. Seaborn: Statistical Data Visualization. J. Open Source Softw. 2021, 6, 3021. [Google Scholar] [CrossRef]
- Noguchi, K.; Gel, Y.R.; Brunner, E.; Konietschke, F. nparLD: An R Software Package for the Nonparametric Analysis of Longitudinal Data in Factorial Experiments. J. Stat. Softw. 2012, 50. [Google Scholar] [CrossRef]
- Macedo, C.R.; Silva, A.B.; Machado, M.A.; Saconato, H.; Prado, G.F. Occlusal splints for treating sleep bruxism (tooth grinding). Cochrane Database Syst. Rev. 2007, 17, CD005514. [Google Scholar] [CrossRef]
- Keskinruzgar, A.; Kucuk, A.O.; Yavuz, G.Y.; Koparal, M.; Caliskan, Z.G.; Utkun, M. Comparison of kinesio taping and occlusal splint in the management of myofascial pain in patients with sleep bruxism. J. Back Musculoskelet. Rehabil. 2019, 32, 1–6. [Google Scholar] [CrossRef]
- Beril, D.; Figen, Y.; Ayşe, K.; Ernur, E. Comparative the Effectiveness of Occlusal Splint and TENS Treatments on Clinical Findings and Pain Threshold of Temporomandibular Disorders Secondary to Bruxism. Turkiye Fiz Tip Ve Rehabil Derg. 2009, Retrieved January 18 2021. Available online: https://www.thefreelibrary.com/Comparative+the+effectiveness+of+occlusal+splint+and+TENS+treatments...-a0196053297 (accessed on 27 May 2021).
- Nilner, M.; Ekberg, E.; Doepel, M.; Andersson, J.; Selovuo, K.; Bell, Y.L. Short-term effectiveness of a prefabricated occlusal appliance in patients with myofascial pain. J. Orofac. Pain 2008, 22, 209–218. [Google Scholar]
- Öz, S.; Gökçen-Röhlig, B.; Saruhanoglu, A.; Tuncer, E.B. Management of myofascial pain: Low-level laser therapy versus occlusal splints. J. Craniofac. Surg. 2010, 21, 1722–1728. [Google Scholar] [CrossRef] [PubMed]
- Gomes, C.A.F.P.; El-Hage, Y.; Amaral, A.P.; Herpich, C.M.; Politti, F.; Kalil-Bussadori, S.; Gonzalez, T.O.; Biasotto-Gonzalez, D.A. Effects of Massage Therapy and Occlusal Splint Usage on Quality of Life and Pain in Individuals with Sleep Bruxism: A Randomized Controlled Trial. J. Jpn. Phys. Ther. Assoc. Rigaku Ryoho. 2015, 18, 1–6. [Google Scholar]
- Noguchi, T.; Kashiwagi, K.; Fukuda, K. The effectiveness of stabilization appliance therapy among patients with myalgia. Clin. Exp. Dent. Res. 2020, 6, 244–253. [Google Scholar] [CrossRef]
- Farella, M.; Michelotti, A.; Steenks, M.H.; Romeo, R.; Cimino, R.; Bosman, F. The diagnostic value of pressure algometry in myofascial pain of the jaw muscles. J. Oral Rehabil. 2000, 27, 9–14. [Google Scholar] [CrossRef]
- Silva, R.S.; Conti, P.C.R.; Lauris, J.R.P.; da Silva, R.O.F.; Pegoraro, L.F. Pressure pain threshold in the detection of masticatory myofascial pain: An algometer-based study. J. Orofac. Pain 2005, 19, 318–324. [Google Scholar]
- Reichardt, G.; Miyakawa, Y.; Otsuka, T.; Sato, S. The mandibular response to occlusal relief using a flat guidance splint. Int. J. Stomatol. Occlusion Med. 2013, 6, 134–139. [Google Scholar] [CrossRef] [PubMed]
- Rugh, J.D.; Graham, G.S.; Smith, J.C.; Ohrbach, R.K. Effects of canine versus molar occlusal splint guidance on nocturnal bruxism and craniomandibular symptomatology. J. Craniomandib. Disord. 1989, 3, 203–210. [Google Scholar] [PubMed]








| Variable | Group A | Group B | p | ||||||||
|---|---|---|---|---|---|---|---|---|---|---|---|
| Before | After | Before | After | Group | Time | Group × Time | |||||
| Mean | SD | Mean | SD | Mean | SD | Mean | SD | ||||
| ML | 2.85 | 1.19 | 3.20 | 1.60 | 2.29 | 0.70 | 2.43 | 0.82 | 0.05 | 0.00 | 0.80 |
| MTAL | 4.12 | 1.36 | 4.95 | 1.94 | 3.22 | 0.76 | 3.38 | 0.98 | 0.00 | 0.02 | 0.25 |
| MTML | 5.59 | 1.93 | 6.20 | 2.31 | 4.63 | 0.88 | 5.39 | 1.43 | 0.01 | 0.00 | 0.01 |
| MTPL | 5.84 | 2.16 | 6.17 | 2.49 | 4.55 | 1.00 | 5.54 | 1.43 | 0.01 | 0.00 | 0.00 |
| TMJL | 3.40 | 1.11 | 3.87 | 1.66 | 2.67 | 0.68 | 2.94 | 0.56 | 0.00 | 0.00 | 0.13 |
| MOSL | 3.54 | 1.61 | 3.82 | 1.96 | 2.33 | 0.56 | 2.65 | 0.69 | 0.00 | 0.00 | 0.12 |
| MR | 3.12 | 1.41 | 3.47 | 1.83 | 2.27 | 0.65 | 2.44 | 0.72 | 0.02 | 0.01 | 0.76 |
| MTAR | 4.32 | 1.68 | 4.74 | 1.96 | 3.40 | 1.15 | 3.43 | 1.19 | 0.01 | 0.06 | 0.52 |
| MTMR | 5.76 | 2.07 | 6.00 | 2.10 | 4.91 | 1.04 | 5.44 | 1.52 | 0.22 | 0.00 | 0.15 |
| MTPR | 5.34 | 2.10 | 6.00 | 2.69 | 4.59 | 1.04 | 5.25 | 1.52 | 0.33 | 0.00 | 0.02 |
| TMJR | 3.53 | 1.60 | 3.83 | 1.36 | 2.41 | 0.77 | 3.00 | 0.62 | 0.00 | 0.00 | 0.02 |
| MOSP | 3.23 | 1.92 | 3.60 | 2.00 | 2.44 | 0.84 | 2.85 | 0.77 | 0.31 | 0.00 | 0.20 |
| phalanx | 5.31 | 1.79 | 5.37 | 1.32 | 6.61 | 1.59 | 6.46 | 1.82 | 0.01 | 0.92 | 0.97 |
| c7 | 6.30 | 1.97 | 6.58 | 1.99 | 6.55 | 1.14 | 7.03 | 1.58 | 0.42 | 0.39 | 0.82 |
| pain factor | −0.17 | 1.08 | −0.50 | 1.32 | 0.50 | 0.45 | 0.21 | 0.56 | 0.00 | 0.00 | 0.10 |
| Variable | Factor 1 (Pain Factor) |
|---|---|
| ML | −0.87 |
| MTAL | −0.86 |
| MTML | −0.87 |
| MTPL | −0.87 |
| TMJL | −0.87 |
| MOSL | −0.91 |
| MR | −0.89 |
| MTAR | −0.88 |
| MTMR | −0.78 |
| MTPR | −0.88 |
| TMJR | −0.88 |
| MOSP | −0.89 |
Publisher’s Note: MDPI stays neutral with regard to jurisdictional claims in published maps and institutional affiliations. |
© 2021 by the authors. Licensee MDPI, Basel, Switzerland. This article is an open access article distributed under the terms and conditions of the Creative Commons Attribution (CC BY) license (https://creativecommons.org/licenses/by/4.0/).
Share and Cite
Dalewski, B.; Kamińska, A.; Kiczmer, P.; Węgrzyn, K.; Pałka, Ł.; Janda, K.; Sobolewska, E. Pressure Algometry Evaluation of Two Occlusal Splint Designs in Bruxism Management-Randomized, Controlled Clinical Trial. J. Clin. Med. 2021, 10, 2342. https://doi.org/10.3390/jcm10112342
Dalewski B, Kamińska A, Kiczmer P, Węgrzyn K, Pałka Ł, Janda K, Sobolewska E. Pressure Algometry Evaluation of Two Occlusal Splint Designs in Bruxism Management-Randomized, Controlled Clinical Trial. Journal of Clinical Medicine. 2021; 10(11):2342. https://doi.org/10.3390/jcm10112342
Chicago/Turabian StyleDalewski, Bartosz, Agata Kamińska, Paweł Kiczmer, Krzysztof Węgrzyn, Łukasz Pałka, Katarzyna Janda, and Ewa Sobolewska. 2021. "Pressure Algometry Evaluation of Two Occlusal Splint Designs in Bruxism Management-Randomized, Controlled Clinical Trial" Journal of Clinical Medicine 10, no. 11: 2342. https://doi.org/10.3390/jcm10112342
APA StyleDalewski, B., Kamińska, A., Kiczmer, P., Węgrzyn, K., Pałka, Ł., Janda, K., & Sobolewska, E. (2021). Pressure Algometry Evaluation of Two Occlusal Splint Designs in Bruxism Management-Randomized, Controlled Clinical Trial. Journal of Clinical Medicine, 10(11), 2342. https://doi.org/10.3390/jcm10112342

