Concentrating Cocoa Polyphenols—Clarification of an Aqueous Cocoa Extract by Protein Precipitation and Filtration
Abstract
1. Introduction
2. Materials and Methods
2.1. Chemicals and Reagents
2.2. Physicochemical Analysis of Extract, Supernatant, and Permeate
2.2.1. Dry Matter Content Based on a Halogen Dryer Method
2.2.2. Protein Content Using the Bradford Method
2.2.3. Content of Individual Flavanols Using Ultra-Performance Liquid Chromatography (UPLC) Analysis
2.3. Experimental Design of the Clarification of the Cocoa Extract
2.3.1. Extraction of Cocoa Extract—Step (0)
2.3.2. Precipitation and Centrifugation of the Cocoa Extracts—Step (I)
2.3.3. Filtration of the Supernatant—Step (II)
2.4. Dynamic Crossflow Filtration with a Laboratory System (Crossflow Filtration with Rotating Disc Module; CRDM)
2.5. Evaluation of the Clarification Efficiency of the Filtration Experiments
2.5.1. Permeate Quality Evaluation
2.5.2. Productivity Evaluation
3. Results and Discussion
3.1. Influence of the Pre-Treatment of Cocoa Extract on the Yield in Relation to the Analysed Compounds
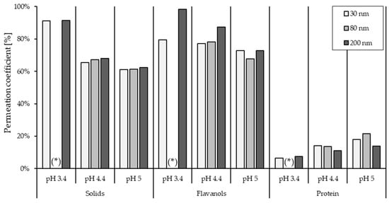
3.2. Influence of Different Membrane Pore Sizes of the Filtration on the Permeate Quality and Productivity
3.3. Influence of Pre-Treatment and Filtration on the Permeate Quality and Productivity
4. Conclusions
Supplementary Materials
Author Contributions
Funding
Institutional Review Board Statement
Data Availability Statement
Acknowledgments
Conflicts of Interest
References
- Cassano, A.; De Luca, G.; Conidi, C.; Drioli, E. Effect of polyphenols-membrane interactions on the performance of membrane-based processes. A review. Coord. Chem. Rev. 2017, 351, 45–75. [Google Scholar] [CrossRef]
- Andújar, I.; Recio, M.C.; Giner, R.M.; Ríos, J.L. Cocoa Polyphenols and Their Potential Benefits for Human Health. Oxidative Med. Cell. Longev. 2012, 2012, 906252. [Google Scholar] [CrossRef] [PubMed]
- Sorrenti, V.; Ali, S.; Mancin, L.; Davinelli, S.; Paoli, A.; Scapagnini, G. Cocoa Polyphenols and Gut Microbiota Interplay: Bioavailability, Prebiotic Effect, and Impact on Human Health. Nutrients 2020, 12, 1908. [Google Scholar] [CrossRef] [PubMed]
- Hu, Y.; Pan, Z.J.; Liao, W.; Li, J.; Gruget, P.; Kitts, D.D.; Lu, X. Determination of antioxidant capacity and phenolic content of chocolate by attenuated total reflectance-Fourier transformed-infrared spectroscopy. Food Chem. 2016, 202, 254–261. [Google Scholar] [CrossRef]
- Dalabasmaz, S.; Toker, Ö.S.; Palabiyik, I.; Konar, N. Cocoa polyphenols and milk proteins: Covalent and non-covalent interactions, chocolate process and effects on potential polyphenol bioaccesibility. Crit. Rev. Food Sci. Nutr. 2023, 64, 9082–9094. [Google Scholar] [CrossRef]
- Urbańska, B.; Szafrański, T.; Kowalska, H.; Kowalska, J. Study of Polyphenol Content and Antioxidant Properties of Various Mix of Chocolate Milk Masses with Different Protein Content. Antioxidants 2020, 9, 299. [Google Scholar] [CrossRef]
- Bertazzo, A.; Agnolin, F.; Comai, S.; Zancato, M.; Costa, C.V.L.; Seraglia, R.; Traldi, P. The protein profile of Theobroma cacao L. seeds as obtained by matrix-assisted laser desorption/ionization mass spectrometry. Rapid Commun. Mass Spectrom. 2011, 25, 2035–2042. [Google Scholar] [CrossRef]
- Kieserling, H.; de Bruijn, W.J.C.; Keppler, J.; Yang, J.; Sagu, S.T.; Güterbock, D.; Rawel, H.; Schwarz, K.; Vincken, J.; Schieber, A.; et al. Protein–phenolic interactions and reactions: Discrepancies, challenges, and opportunities. Compr. Rev. Food Sci. Food Saf. 2024, 23, e70015. [Google Scholar] [CrossRef] [PubMed]
- Jakobek, L. Interactions of polyphenols with carbohydrates, lipids and proteins. Food Chem. 2015, 175, 556–567. [Google Scholar] [CrossRef]
- Rohn, S. Possibilities and limitations in the analysis of covalent interactions between phenolic compounds and proteins. Food Res. Int. 2014, 65, 13–19. [Google Scholar] [CrossRef]
- Ozdal, T.; Capanoglu, E.; Altay, F. A review on protein–phenolic interactions and associated changes. Food Res. Int. 2013, 51, 954–970. [Google Scholar] [CrossRef]
- Bhattacharjee, C.; Saxena, V.K.; Dutta, S. Analysis of fouling and juice quality in crossflow ultrafiltration of watermelon juice. Food Sci. Technol. 2018, 38, 71–76. [Google Scholar] [CrossRef]
- Conidi, C.; Cassano, A.; Caiazzo, F.; Drioli, E. Separation and purification of phenolic compounds from pomegranate juice by ultrafiltration and nanofiltration membranes. J. Food Eng. 2017, 195, 1–13. [Google Scholar] [CrossRef]
- Pénicaud, C.; Achir, N.; Dhuique-Mayer, C.; Dornier, M.; Bohuon, P. Degradation of β-carotene during fruit and vegetable processing or storage: Reaction mechanisms and kinetic aspects: A review. Fruits 2011, 66, 417–440. [Google Scholar] [CrossRef]
- Buchner, N.; Krumbein, A.; Rohn, S.; Kroh, L.W. Effect of thermal processing on the flavonols rutin and quercetin. Rapid Commun. Mass Spectrom. 2006, 20, 3229–3235. [Google Scholar] [CrossRef]
- Sagu, S.T.; Ulbrich, N.; Morche, J.R.; Nichani, K.; Özpinar, H.; Schwarz, S.; Henze, A.; Rohn, S.; Rawel, H.M. Formation of Cysteine Adducts with Chlorogenic Acid in Coffee Beans. Foods 2024, 13, 1660. [Google Scholar] [CrossRef]
- Cissé, M.; Vaillant, F.; Pallet, D.; Dornier, M. Selecting ultrafiltration and nanofiltration membranes to concentrate anthocyanins from roselle extract (Hibiscus sabdariffa L.). Food Res. Int. 2011, 44, 2607–2614. [Google Scholar] [CrossRef]
- Urošević, T.; Povrenović, D.; Vukosavljević, P.; Urošević, I.; Stevanović, S. Recent developments in microfiltration and ultrafiltration of fruit juices. Food Bioprod. Process. 2017, 106, 147–161. [Google Scholar] [CrossRef]
- Marella, C.; Muthukumarappan, K.; Metzger, L. Application of Membrane Separation Technology for Developing Novel Dairy Food Ingredients. J. Food Process. Technol. 2013, 4, 9. [Google Scholar] [CrossRef]
- Kroll, J.; Rawel, H.M.; Rohn, S. Reactions of Plant Phenolics with Food Proteins and Enzymes under Special Consideration of Covalent Bonds. Food Sci. Technol. Res. 2003, 9, 205–218. [Google Scholar] [CrossRef]
- Polidori, J.; Dhuique-Mayer, C.; Dornier, M. Crossflow microfiltration coupled with diafiltration to concentrate and purify carotenoids and flavonoids from citrus juices. Innov. Food Sci. Emerg. Technol. 2018, 45, 320–329. [Google Scholar] [CrossRef]
- Chaparro, L.; Dhuique-Mayer, C.; Castillo, S.; Vaillant, F.; Servent, A.; Dornier, M. Concentration and purification of lycopene from watermelon juice by integrated microfiltration-based processes. Innov. Food Sci. Emerg. Technol. 2016, 37, 153–160. [Google Scholar] [CrossRef]
- de Abreu, F.P.; Dornier, M.; Dionisio, A.P.; Carail, M.; Caris-Veyrat, C.; Dhuique-Mayer, C. Cashew apple (Anacardium occidentale L.) extract from by-product of juice processing: A focus on carotenoids. Food Chem. 2013, 138, 25–31. [Google Scholar] [CrossRef] [PubMed]
- Zhu, Z.; Jiang, T.; He, J.; Barba, F.J.; Cravotto, G.; Koubaa, M. Ultrasound-Assisted Extraction, Centrifugation and Ultrafiltration: Multistage Process for Polyphenol Recovery from Purple Sweet Potatoes. Molecules 2016, 21, 1584. [Google Scholar] [CrossRef] [PubMed]
- Marchal, R.; Barret, J.; Maujean, A. Relation between physico-chemical characteristics of a bentonite and its adsorptive capacity. OENO One 1995, 29, 27. [Google Scholar] [CrossRef]
- Hortolomeu, A.; Mirila, D.C.; Roșu, A.-M.; Nedeff, F.M.; Scutaru, I.; Ureche, D.; Sturza, R.; Fînaru, A.-L.; Nistor, I.D. Chemically Modified Clay Adsorbents Used in the Retention of Protein and Polyphenolic Compounds from Sauvignon Blanc White Wine. Nanomaterials 2024, 14, 588. [Google Scholar] [CrossRef]
- Dordoni, R.; Colangelo, D.; Giribaldi, M.; Giuffrida, M.G.; De Faveri, D.M.; Lambri, M. Effect of Bentonite Characteristics on Wine Proteins, Polyphenols, and Metals under Conditions of Different pH. Am. J. Enol. Vitic. 2015, 66, 518–530. [Google Scholar] [CrossRef]
- Beeler, N.; Hühn, T.; Rohn, S.; Colombi, R. Development and optimization of a cocoa extraction treatment by means of the response surface methodology (RSM) and artificial neural networks (ANN). Ind. Crop Prod. 2024, 222, 119610. [Google Scholar] [CrossRef]
- Bradford, M.M. A rapid and sensitive method for the quantitation of microgram quantities of protein utilizing the principle of protein-dye binding. Anal. Biochem. 1976, 72, 248–254. [Google Scholar] [CrossRef]
- Bussy, U.; You, H.; Kwik-Uribe, C. Determination of Cocoa Flavanols and Procyanidins (by Degree of Polymerization DP1-7) in Cocoa-Based Products by Hydrophilic Interaction Chromatography Coupled With Fluorescence Detection: Collaborative Study. J. AOAC Int. 2022, 105, 1060–1068. [Google Scholar] [CrossRef]
- Bussy, U.; May, B.R.; Olanrewaju, Y.; Hewitt, G.; Anderson, N.; Crozier, A.; Ottaviani, J.I.; Kwik-Uribe, C. Reliable, accessible and transferable method for the quantification of flavanols and procyanidins in foodstuffs and dietary supplements. Food Funct. 2020, 11, 131–138. [Google Scholar] [CrossRef] [PubMed]
- Hühn, T. Chocolate, Chocolate-Like Products, Chocolate Making Kit and Methods for Preparing the Same. 2018. Available online: https://patentimages.storage.googleapis.com/f6/c3/b9/85d68a8f141062/EP3114940B1.pdf (accessed on 14 November 2024).
- Chetschik, I.; Pedan, V.; Chatelain, K.; Kneubühl, M.; Hühn, T. Characterization of the Flavor Properties of Dark Chocolates Produced by a Novel Technological Approach and Comparison with Traditionally Produced Dark Chocolates. J. Agric. Food Chem. 2019, 67, 3991–4001. [Google Scholar] [CrossRef] [PubMed]
- Mora, F.; Pérez, K.; Quezada, C.; Herrera, C.; Cassano, A.; Ruby-Figueroa, R. Impact of Membrane Pore Size on the Clarification Performance of Grape Marc Extract by Microfiltration. Membranes 2019, 9, 146. [Google Scholar] [CrossRef] [PubMed]
- Hwang, K.-J.; Liao, C.-Y.; Tung, K.-L. Effect of membrane pore size on the particle fouling in membrane filtration. Desalination 2008, 234, 16–23. [Google Scholar] [CrossRef]
- Hwang, K.-J.; Chen, F.-F. Interpretation of particle fouling in submerged membrane filtration by blocking models. J. Sci. Eng. 2009, 12, 9–16. [Google Scholar] [CrossRef]
- Bedienungsanleitung CRD 01-Filteranlage; Novoflow: Rain, Germany, 2008.
- Beeler, N. Illustration of the CRDM and the experimental set-up with the dynamic crossflow filtration pilot plant. Feed: Supernatant from pre-treatments; Retentate: Retained product; Permeate: Clarified product. Created in BioRender. 2024. Available online: https://BioRender.com/q05o565 (accessed on 3 October 2024).
- Cerit, I.; Mehdizade, K.; Avcı, A.; Demirkol, O. Production of low-protein cocoa powder with enzyme-assisted hydrolysis. Food Sci. Nutr. 2024, 12, 3309–3321. [Google Scholar] [CrossRef]
- Loginov, M.; Boussetta, N.; Lebovka, N.; Vorobiev, E. Separation of polyphenols and proteins from flaxseed hull extracts by coagulation and ultrafiltration. J. Membr. Sci. 2013, 442, 177–186. [Google Scholar] [CrossRef]
- Dangles, O. Propriétés chimiques des polyphénols. In Les Polyphénols en Agroalimentaire; Cheynier, V., Sarni-Manchado, P., Eds.; Lavoisier: Paris, France, 2016; pp. 29–54. [Google Scholar]
- Scalbert, A.; Monties, B.; Lallemand, J.-Y.; Guittet, E.; Rolando, C. Ether linkage between phenolic acids and lignin fractions from wheat straw. Phytochemistry 1985, 24, 1359–1362. [Google Scholar] [CrossRef]
- Hahn, D.; Rooney, L.; Earp, C.F. Tannins and phenols of sorghum. Agric. Food Sci. 1984, 29, 776–779. [Google Scholar]
- Eliasson, C.; Kamal-Eldin, A.; Andersson, R.; Åman, P. High-performance liquid chromatographic analysis of secoisolariciresinol diglucoside and hydroxycinnamic acid glucosides in flaxseed by alkaline extraction. J. Chromatogr. A 2003, 1012, 151–159. [Google Scholar] [CrossRef]
- Renouard, S.; Hano, C.; Corbin, C.; Fliniaux, O.; Lopez, T.; Montguillon, J.; Barakzoy, E.; Mesnard, F.; Lamblin, F.; Lainé, E. Cellulase-assisted release of secoisolariciresinol from extracts of flax (Linum usitatissimum) hulls and whole seeds. Food Chem. 2010, 122, 679–687. [Google Scholar] [CrossRef]
- Boussetta, N.; Soichi, E.; Lanoisellé, J.-L.; Vorobiev, E. Valorization of oilseed residues: Extraction of polyphenols from flaxseed hulls by pulsed electric fields. Ind. Crops Prod. 2014, 52, 347–353. [Google Scholar] [CrossRef]
- Zeng, L.; Ma, M.; Li, C.; Luo, L. Stability of tea polyphenols solution with different pH at different temperatures. Int. J. Food Prop. 2017, 20, 1–18. [Google Scholar] [CrossRef]
- He, S.; Hider, R.; Zhao, J.; Tian, B. Effect of Bentonite Fining on Proteins and Phenolic Composition of Chardonnay and Sauvignon Blanc Wines. South Afr. J. Enol. Vitic. 2020, 41, 113–120. [Google Scholar] [CrossRef]
- Wang, L.; Boussetta, N.; Lebovka, N.; Vorobiev, E. Purification of polyphenols from apple skins by membrane electro-filtration. LWT 2021, 145, 111357. [Google Scholar] [CrossRef]
- Chandini, S.K.; Rao, L.J.; Subramanian, R. Membrane Clarification of Black Tea Extracts. Food Bioprocess Technol. 2013, 6, 1926–1943. [Google Scholar] [CrossRef]
- Howell, J.; Wu, D.; Field, R. Transmission of bovine albumin under controlled flux ultrafiltration. J. Membr. Sci. 1999, 152, 117–127. [Google Scholar] [CrossRef]
- Lim, Y.P.; Mohammad, A.W. Influence of pH and Ionic Strength during Food Protein Ultrafiltration: Elucidation of Permeate Flux Behavior, Fouling Resistance, and Mechanism. Sep. Sci. Technol. 2012, 47, 446–454. [Google Scholar] [CrossRef]
- Zhu, Z.; Li, S.; He, J.; Thirumdas, R.; Montesano, D.; Barba, F.J. Enzyme-assisted extraction of polyphenol from edible lotus (Nelumbo nucifera) rhizome knot: Ultra-filtration performance and HPLC-MS2 profile. Food Res. Int. 2018, 111, 291–298. [Google Scholar] [CrossRef]
- Papaioannou, E.H.; Mitrouli, S.T.; Patsios, S.I.; Kazakli, M.; Karabelas, A.J. Valorization of pomegranate husk—Integration of extraction with nanofiltration for concentrated polyphenols recovery. J. Environ. Chem. Eng. 2020, 8, 103951. [Google Scholar] [CrossRef]
- Tanudjaja, H.J.; Anantharaman, A.; Ng, A.Q.Q.; Ma, Y.; Tanis-Kanbur, M.B.; Zydney, A.L.; Chew, J.W. A review of membrane fouling by proteins in ultrafiltration and microfiltration. J. Water Process. Eng. 2022, 50, 103294. [Google Scholar] [CrossRef]
- Sarkar, P.; Ghosh, S.; Dutta, S.; Sen, D.; Bhattacharjee, C. Effect of different operating parameters on the recovery of proteins from casein whey using a rotating disc membrane ultrafiltration cell. Desalination 2009, 249, 5–11. [Google Scholar] [CrossRef]









Disclaimer/Publisher’s Note: The statements, opinions and data contained in all publications are solely those of the individual author(s) and contributor(s) and not of MDPI and/or the editor(s). MDPI and/or the editor(s) disclaim responsibility for any injury to people or property resulting from any ideas, methods, instructions or products referred to in the content. |
© 2024 by the authors. Licensee MDPI, Basel, Switzerland. This article is an open access article distributed under the terms and conditions of the Creative Commons Attribution (CC BY) license (https://creativecommons.org/licenses/by/4.0/).
Share and Cite
Beeler, N.; Hühn, T.; Rohn, S.; Colombi, R. Concentrating Cocoa Polyphenols—Clarification of an Aqueous Cocoa Extract by Protein Precipitation and Filtration. Membranes 2024, 14, 242. https://doi.org/10.3390/membranes14110242
Beeler N, Hühn T, Rohn S, Colombi R. Concentrating Cocoa Polyphenols—Clarification of an Aqueous Cocoa Extract by Protein Precipitation and Filtration. Membranes. 2024; 14(11):242. https://doi.org/10.3390/membranes14110242
Chicago/Turabian StyleBeeler, Nicole, Tilo Hühn, Sascha Rohn, and Renato Colombi. 2024. "Concentrating Cocoa Polyphenols—Clarification of an Aqueous Cocoa Extract by Protein Precipitation and Filtration" Membranes 14, no. 11: 242. https://doi.org/10.3390/membranes14110242
APA StyleBeeler, N., Hühn, T., Rohn, S., & Colombi, R. (2024). Concentrating Cocoa Polyphenols—Clarification of an Aqueous Cocoa Extract by Protein Precipitation and Filtration. Membranes, 14(11), 242. https://doi.org/10.3390/membranes14110242

